Comprehensive Evaluation of Dust Retention and Metal Accumulation by the Leaves of Roadside Plants in Hangzhou among Seasons
Abstract
:1. Introduction
2. Materials and Methods
2.1. Study Area
2.2. Tested Plants
2.3. Sampleanalysis
2.3.1. Leaf Sampling
2.3.2. Particulate Matter Density in Leaf Surface
2.3.3. Particle Morphology and Element Analysis
2.3.4. Metal Accumulation of Blade and Foliar Particles
2.3.5. Comprehensive Evaluation
2.3.6. Data Analysis
3. Results and Discussion
3.1. The Surface Morphology and Elements of Particle
3.2. Characteristics of Metals in Particle
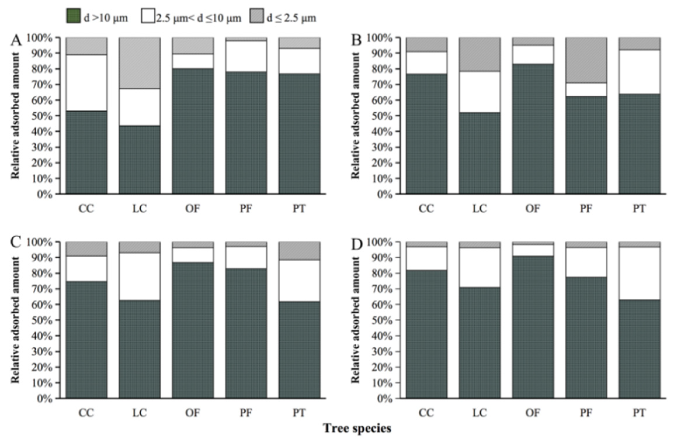
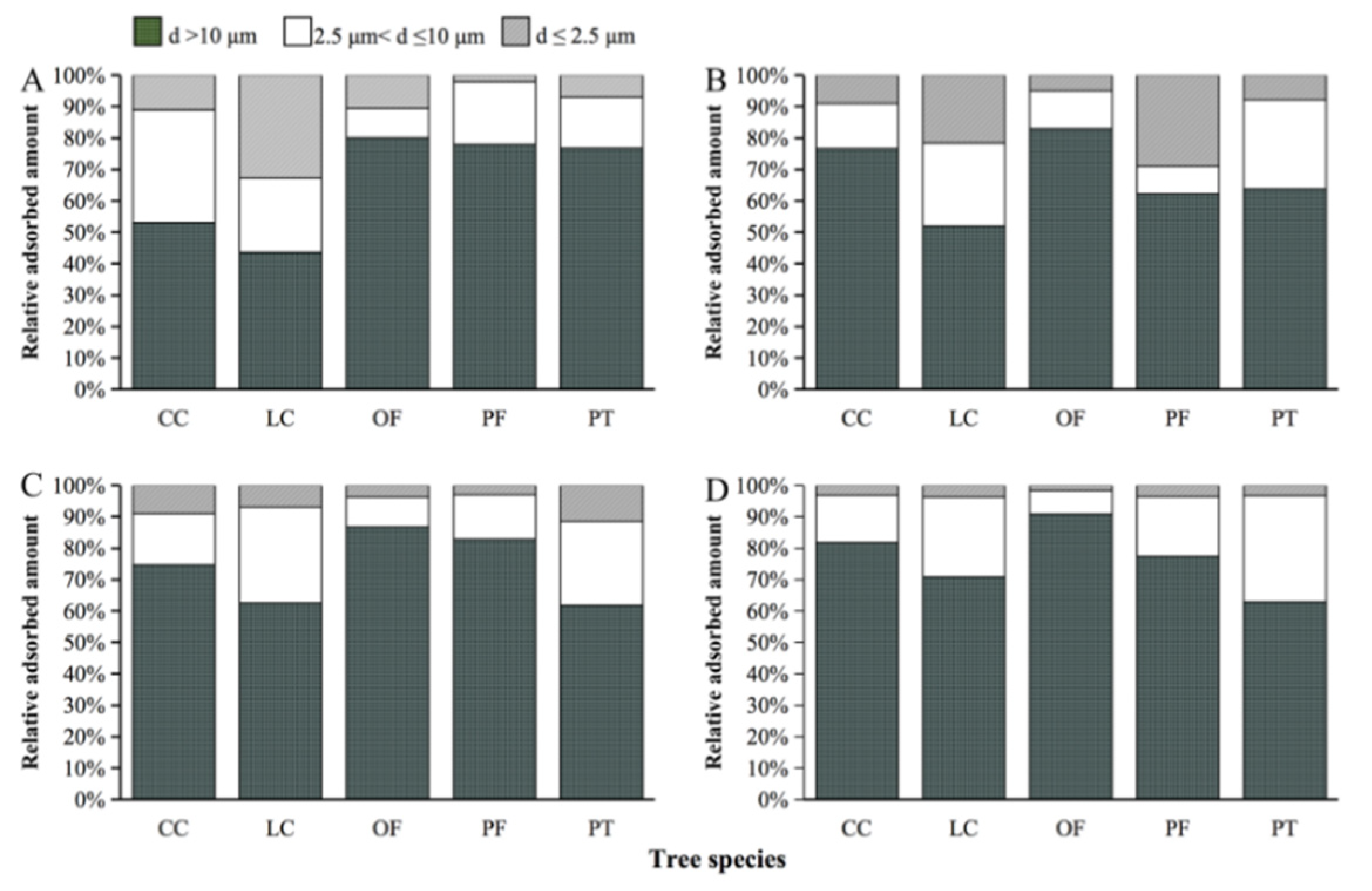
3.3. The Particle Retained by Plant Leaf
3.4. The Metal Accumulation in Leaf
3.5. Relationship between Leaf Metals and Particulate Matter Retention
3.6. Comprehensive Evaluation of Tested Plants
4. Conclusions
Supplementary Materials
Author Contributions
Funding
Institutional Review Board Statement
Informed Consent Statement
Data Availability Statement
Conflicts of Interest
References
- Alahabadi, A.; Ehrampoush, M.H.; Miri, M.; Aval, H.E.; Yousefzadeh, S.; Ghaffari, H.R.; Ahmadi, E.; Talebi, P.; Fahabadi, Z.A.; Babai, F.; et al. A comparative study on capability of different tree species in accumulating heavy metals from soil and ambient air. Chemosphere 2017, 172, 459–467. [Google Scholar] [CrossRef] [PubMed]
- World Health Organization (WHO). Air Pollution Levels Rising in Many of the World’s Poorest Cities. 2016, WHO News Release. Available online: http://www.who.int/mediacentre/news/releases/2016/air-pollution-rising/en/ (accessed on 1 November 2021).
- Sun, Y.; Xin, H.; Wu, J.; Lian, H.; Chen, Y. Fractionation and health risks of atmospheric particle-bound as and heavy metals in summer and winter. Sci. Total Environ. 2014, 493, 487–494. [Google Scholar] [CrossRef] [PubMed]
- Donham, K.J.; Popendorf, W.; Palmgren, U.; Larsson, L. Characterization of dusts collected from swine confinement buildings. Am. J. Ind. Med. 1986, 10, 294–297. [Google Scholar] [CrossRef]
- Dai, Q.L.; Bi, X.H.; Wu, J.H.; Zhang, Y.F.; Wang, J.; Xu, H.; Yao, L.; Jiao, L.; Feng, Y.C. Characterization and source identification of heavy metals in ambient PM10 and PM2.5 in an integrated iron and steel industry zone compared with a background site. Aerosol Air Qual. Res. 2015, 15, 875–887. [Google Scholar] [CrossRef]
- Zhu, W.; Cheng, Z.; Luo, L.; Lou, S.; Ma, Y.; Yan, N. Investigation of fungal spore characteristics in PM2.5 through organic tracers in Shanghai, China. Atmos. Pollut. Res. 2018, 9, 894–900. [Google Scholar] [CrossRef]
- Song, H.; Zhang, Y.; Luo, M.; Gu, L.; Wu, M.; Xua, D.; Xu, G.; Ma, L. Seasonal variation, sources and health risk assessment of polycyclic aromatic hydrocarbons in different particle fractions of PM2.5 in Beijing, China. Atmos. Pollut. Res. 2019, 10, 105–114. [Google Scholar] [CrossRef]
- Jia, M.Y.; Zhou, D.Q.; Lu, S.P.; Yu, J.P. Assessment of foliar dust particle retention and toxic metal accumulation ability of fifteen roadside tree species: Relationship and mechanism. Atmos. Pollut. Res. 2021, 12, 36–45. [Google Scholar] [CrossRef]
- Gunawardana, C.; Egodawatta, P.; Goonetilleke, A. Role of particle size and composition in metal adsorption by solids deposited on urban road surfaces. Environ. Pollut. 2014, 184, 44–53. [Google Scholar] [CrossRef]
- Soltani, N.; Keshavarzik, B.; Moore, F.; Tavakol, T.; Lahijanzadeh, A.R.; Jaafarzadeh, N.; Kermani, M. Ecological and human health hazards of heavy metals and polycyclic aromatic hydrocarbons (PAHs) in road dust of Isfahan metropolis. Iran. Sci. Total Environ. 2015, 505, 712–723. [Google Scholar] [CrossRef]
- Zheng, G.L.; Li, P. Resuspension of settled atmospheric particulate matter on plant leaves determined by wind and leaf surface characteristics. Environ. Sci. Pollut. Res. 2019, 26, 19606–19614. [Google Scholar] [CrossRef]
- Hopke, P.K.; Hill, E.L. Health and charge benefits from decreasing PM2.5 concentrations in New York State: Effects of changing compositions. Atmos. Pollut. Res. 2021, 12, 47–53. [Google Scholar] [CrossRef]
- Ozdemir, H. Mitigation impact of roadside trees on fine particle pollution. Sci. Total Environ. 2019, 659, 1176–1185. [Google Scholar] [CrossRef] [PubMed]
- Harrison, R.M.; Allan, J.; Carruthers, D.; Heal, M.R.; Lewis, A.C.; Marner, B.; Murrells, T.; Williams, A. Non-exhaust vehicle emissions of particulate matter and voc from road traffic: A review. Atmos. Environ. 2021, 262, 118592. [Google Scholar] [CrossRef]
- Harrison, R.M.; Jones, A.M.; Gietl, J.; Yin, J.; Green, D.C. Estimation of the Contributions of Brake Dust, Tire Wear, and Resuspension to Nonexhaust Traffic Particles Derived from Atmospheric Measurements. Environ. Sci. Technol. 2012, 46, 6523–6529. [Google Scholar] [CrossRef] [PubMed]
- Hjortenkrans, D.S.T.; Bergbäck, B.G.; Häggerud, A.V. Metal Emissions from Brake Linings and Tires: Case Studies of Stockholm, Sweden 1995/1998 and 2005. Environ. Sci. Technol. 2007, 41, 5224–5230. [Google Scholar] [CrossRef]
- Pierse, N.; Rushton, L.; Harris, R.S.; Kuehni, C.E.; Silverman, M.; Grigg, J. Locally generated particulate pollution and respiratory symptoms in young children. Thorax 2006, 61, 216–220. [Google Scholar] [CrossRef]
- Rosenlund, M.; Forastiere, F.; Porta, D.; De Sario, M.; Badaloni, C.; Perucci, C.A. Traffic-related air pollution in relation to respiratory symptoms, allergic sensitisation and lung function in schoolchildren. Thorax 2009, 64, 573–580. [Google Scholar] [CrossRef]
- Health Effects Institute (HEI). Traffic-Related Air Pollution: A Critical Review of the Literature on Emissions, Exposure and Health Effects; Panel on the Health Effects of Traffic-Related Air Pollution; Special Report 17; Health Effects Institute: Boston, MA, USA, 2010. [Google Scholar]
- Fuks, K.B.; Weinmayr, G.; Foraster, M.; Dratva, J.; Hampel, R.; Houthuijs, D.; Oftedal, B.; Oudin, A.; Panasevich, S.; Penell, J.; et al. Arterial blood pressure and long-term exposure to traffic-related air pollution: An analysis in the European Study of Cohorts for Air Pollution Effects (ESCAPE). Environ. Health Perspect. 2014, 122, 896–905. [Google Scholar] [CrossRef]
- Kumar, A.; Kumar, P.; Singh, H.; Kumar, N. Adaptation and mitigation potential of roadside trees with bio-extraction of heavy metals under vehicular emissions and their impact on physiological traits during seasonal regimes—Sciencedirect. Urban For. Urban Green. 2021, 58, 126900. [Google Scholar] [CrossRef]
- Zheng, T.; Zhang, S.; Li, X.B.; Wu, Y.; Peng, Z.R. Impacts of vegetation on particle concentrations in roadside environments. Environ. Pollut. 2021, 282, 117067. [Google Scholar] [CrossRef]
- Sæbø, A.; Popek, R.; Nawrot, B.; Hanslin, H.M.; Gawronska, H.; Gawronski, S.W. Plant species differences in particulate matter accumulation on leaf surfaces. Sci. Total Environ. 2012, 427–428, 347–354. [Google Scholar] [CrossRef] [PubMed]
- Łukowski, A.; Popek, R.; Karolewski, P. Particulate matter on foliage of Betula pendula, Quercus robur, and Tilia cordata: Deposition and ecophysiology. Environ. Sci. Pollut. Res. 2020, 27, 10296–10307. [Google Scholar] [CrossRef]
- Roy, A.; Bhattacharya, T.; Kumari, M. Air pollution tolerance, metal accumulation and dust capturing capacity of common tropical trees in commercial and industrial sites. Sci. Total Environ. 2020, 722, 137622. [Google Scholar] [CrossRef]
- Maher, B.A.; Ahmed, I.A.M.; Davison, B.; Karloukovski, V.; Clarke, R. Impact of roadside tree lines on indoor concentrations of traffic-derived particulate matter. Environ. Sci. Technol. 2013, 47, 13737–13744. [Google Scholar] [CrossRef]
- Sharma, P.; Yadav, P.; Ghosh, C.; Singh, B. Heavy metal capture from the suspended particulate matter by morus alba and evidence of foliar uptake and translocation of pm associated zinc using radiotracer (65Zn). Chemosphere 2020, 254, 126863. [Google Scholar] [CrossRef] [PubMed]
- Shi, J.N.; Zhang, G.; An, H.L.; Yin, W.L.; Xia, X.L. Quantifying the particulate matter accumulation on leaf surfaces of urban plants in Beijing, China. Atmos. Pollut. Res. 2017, 8, 836–842. [Google Scholar] [CrossRef]
- Meravi, N.; Singh, P.K.; Prajapati, S.K. Seasonal variation of dust deposition on plant leaves and its impact on various photochemical yields of plants. Environ. Chall. 2021, 4, 100166. [Google Scholar] [CrossRef]
- Cho, M.C.; Jo, Y.G.; Son, J.A.; Kim, I.; Yook, S.J. Deposition characteristics of soot and tire-wear particles on urban tree leaves. J. Aerosol Sci. 2021, 155, 105768. [Google Scholar] [CrossRef]
- Lu, S.W.; Yang, X.B.; Li, S.N.; Chen, B.; Jiang, Y.; Wang, D.; Xu, L. Effects of plant leaf surface and different pollution levels on PM2.5 adsorption capacity. Urban For. Urban Green. 2018, 34, 64–70. [Google Scholar] [CrossRef]
- Niu, X.; Wang, B.; Wei, W.J. Response of the particulate matter capture ability to leaf age and pollution intensity. Environ. Sci. Pollut. Res. 2020, 27, 34258–34269. [Google Scholar] [CrossRef]
- Gao, P.P.; Xue, P.Y.; Dong, J.W.; Zhang, X.M.; Sun, H.X.; Geng, L.P.; Luo, S.X.; Zhao, J.J.; Liu, W.J. Contribution of PM2.5-Pb in atmospheric fallout to Pb accumulation in Chinese cabbage leaves via stomata. J. Hazard. Mater. 2021, 407, 124356. [Google Scholar] [CrossRef] [PubMed]
- Liu, F.; Zheng, X.; Qian, H. Comparison of particle concentration vertical profiles between downtown and urban forest park in Nanjing (China). Atmos. Pollut. Res. 2018, 9, 829–839. [Google Scholar] [CrossRef]
- Zhai, J.; Cong, L.; Yan, G.; Wu, Y.; Liu, J.; Wang, Y.; Liu, J.; Wang, Y.; Ma, W.; Zhang, Z. Dry deposition of particulate matter and ions in forest at different heights. Int. J. Environ. Res. 2019, 13, 117–130. [Google Scholar] [CrossRef]
- Bai, Y.; Luo, H.J.; Feng, X.; Gu, L.N.Z.; Jia, L.; Huang, W.; Wan, L.D. Analysis on characteristics of aerosol air pollutant levels in Beijing and Hangzhou. Environ. Sustain. Dev. 2016, 41, 173–178. [Google Scholar]
- Li, X.X.; Sun, G.J.; Wang, X.W.; Tian, W.L.; Zhang, Q.Y.; Jiao, L. Vehicle exhausts emission characteristics and contributions in Hangzhou district. China Environ. Sci. 2013, 33, 1684–1689. [Google Scholar]
- Lu, T.; Lin, X.; Chen, J.; Huang, D.; Li, M. Atmospheric particle retention capacity and photosynthetic responses of three common greening plant species under different pollution levels in Hangzhou. Glob. Ecol. Conserv. 2019, 20, e00783. [Google Scholar] [CrossRef]
- Dang, N.; Zhang, H.D.; Mir Md Abdus Salam, M.M.A.; Li, H.M.; Chen, G.C. Foliar dust particle retention and metal accumulation of five garden tree species in Hangzhou: Seasonal changes. Environ. Pollut. 2022, 306, 119472. [Google Scholar] [CrossRef] [PubMed]
- Wu, Y.; Lv, C.; Wei, W.; Feng, R.; Luo, K.; Wu, X.H.; Shen, Y.M.; Yan, S.J. Investigation and diversity analysis of road greening tree species in major urban areas of Hangzhou city. For. Resour. Manag. 2019, 3, 74–79+93. [Google Scholar]
- Sun, X.D.; Li, H.M.; Guo, X.; Sun, Y.K.; Li, S.M. Capacity of six shrub species to retain atmospheric particulates with different diameters. Environ. Sci. Pollut. Res. 2018, 25, 2643–2650. [Google Scholar] [CrossRef]
- Fan, Y.H.; Wang, Y.Q. Background characteristics of soil elements in four plains of Zhejiang Province. Geophys. Geochem. Explor. 2009, 33, 132–134. [Google Scholar]
- Muller, G. Schwermetalle in den sediments des Rheins-Veran-derungen seitt 1971. Umschan 1979, 79, 778–783. [Google Scholar]
- Cao, Y.N.; Zhang, Y.; Ma, C.X.; Li, H.M.; Zhang, J.F.; Chen, G.C. Growth, physiological responses, and copper accumulation in seven willow species exposed to cu—A hydroponic experiment. Environ. Sci. Pollut. Res. 2018, 25, 19875–19886. [Google Scholar] [CrossRef]
- Pöschl, U. Atmospheric aerosols: Composition, transformation, climate and health effects. Angew. Chem. Int. Ed. 2005, 44, 7520–7540. [Google Scholar] [CrossRef] [PubMed]
- Pratt, K.A.; Prather, K.A. Mass spectrometry of atmospheric aerosols—Recent developments and applications. Part II: On-Line mass spectrometry techniques. Mass Spectrom. Rev. 2011, 31, 1–16. [Google Scholar] [CrossRef] [PubMed]
- Dong, F.Q.; Chen, W.; Dai, Q.W.; Deng, Y.Q.; He, P.; He, X.C.; Tang, J.; Liu, L.Z.; He, H. Characterization of mineralogy and surface zeta potential of atmospheric dust fall in northwest China. Miner. Petrol. 2015, 109, 387–395. [Google Scholar] [CrossRef]
- Kończak, B.; Cempa, M.; Pierzchała, Ł.; Deska, M. Assessment of the ability of roadside vegetation to remove particulate matter from the urban air. Environ. Poll. 2021, 268, 115465. [Google Scholar] [CrossRef] [PubMed]
- Xie, R.K.; Seip, H.M.; Leinum, J.R.; Winje, T.; Xiao, J.S. Chemical characterizations of individual particles (PM10) form ambient air in Guiyang City, China. Sci. Total Environ. 2005, 343, 261–272. [Google Scholar] [CrossRef] [PubMed]
- Kaegi, R. Chemical and morphological analysis of airborne particles at a tunnel construction site. J. Aerosol Sci. 2004, 35, 621–632. [Google Scholar] [CrossRef]
- Shi, Z.; Shao, L.; Jones, T.P.; Whittaker, A.G.; Lu, S.; Bérubé, K.A.; He, T.; Richardsc, R.J. Characterization of airborne individual particles collected in an urban area, a satellite city and a clean air area in Beijing, 2001. Atmos. Environ. 2003, 37, 4097–4108. [Google Scholar] [CrossRef]
- Conner, T.L.; Norris, G.A.; Landis, M.S.; Williams, R.W. Individual particle analysis of indoor, outdoor, and community samples from the 1998 Baltimore particulate matter study. Atmos. Environ. 2001, 35, 3935–3946. [Google Scholar] [CrossRef]
- Yang, S.; Shao, L.; Wang, Z.; Tang, U.; Shen, R.; Li, W. Investigations of microscopic morphology of individual inhalable particulates in Macao in summer. Environ. Sci. 2009, 30, 1514–1519. [Google Scholar]
- González, L.T.; Longoria-Rodríguez, F.E.; Sánchez-Domínguez, M.; LeyvaPorras, C.; Acuña-Askar, K.; Kharissov, B.I.; Arizpe-Zapata, A.; AlfaroBarbosa, J.M. Seasonal variation and chemical composition of particulate matter: A study by XPS, ICP-AES and sequential microanalysis using Raman with SEM/EDS. J. Environ. Sci. 2018, 74, 32–49. [Google Scholar] [CrossRef]
- Zhu, X.; Yu, W.; Li, F.; Liu, C.; Ma, J.; Yan, J.; Wang, Y.; Tian, R. Spatio-temporal distribution and source identification of heavy metals in particle size fractions of road dust from a typical industrial district. Sci. Total Environ. 2021, 780, 146357. [Google Scholar] [CrossRef] [PubMed]
- Miri, M.; Allahabadi, A.; Ghaffari, H.R.; Fathabadi, Z.A.; Raisi, Z.; Rezai, M.; Rezai, M.; Aval, M.Y. Ecological risk assessment of heavy metal (hm) pollution in the ambient air using a new bio-indicator. Environ. Sci. Pollut. Res. 2016, 23, 14210–14220. [Google Scholar] [CrossRef] [PubMed]
- Johansson, C.; Norman, M.; Burman, L. Road traffic emission factors for heavy metals. Atmos. Environ. 2009, 43, 4681–4688. [Google Scholar] [CrossRef]
- Pant, P.; Harrison, R.M. Estimation of the contribution of road traffic emissions to particulate matter concentrations from field measurements: A review. Atmos. Environ. 2013, 77, 78–97. [Google Scholar] [CrossRef]
- Liu, Y.H.; Hou, Y.J.; Shu, D.Y.; Yang, B.; Cui, Y.C.; Ding, F.J. Properties and spatio-temporal variation of leaf retained particulate matters of the main tree species planted in Guiyang city. Sci. Silvae Sin. 2020, 56, 12–25. [Google Scholar]
- Liu, L.; Guan, D.; Peart, M. The morphological structure of leaves and the dust-retaining capability of afforested plants in urban Guangzhou, South China. Environ. Sci. Pollut. Res. 2012, 19, 3440–3449. [Google Scholar] [CrossRef]
- Li, X.L.; Zhang, T.R.; Song, X.M.; Zhang, Y.K.; Huang, F.; Yu, H.; Zhang, G.H.; Qi, F.; Shao, F. The relationship between particulate matter retention capacity and leaf surface micromorphology of ten tree species in Hangzhou, China. Sci. Total Environ. 2021, 771, 144812. [Google Scholar] [CrossRef] [PubMed]
- Sgrigna, G.; Baldacchini, C.; Dreveck, S.; Cheng, Z.; Calfapietra, C. Relationships between air particulate matter capture efficiency and leaf traits in twelve tree species from an Italian urban-industrial environment. Sci. Total Environ. 2020, 718, 137310. [Google Scholar] [CrossRef] [PubMed]
- Cao, Y.N.; Wu, H.; Shen, L.M.; Chen, G.C.; Zhang, J.F. Analysis on the Dust Retention and Heavy Metal Absorption Ability of Leaves: A Case Study in Yuyao, Zhejiang Province. For. Res. 2016, 29, 662–669. [Google Scholar]
- Liao, H.M.; Shi, F.Q.; Li, M.; Zhu, Y.L. Study on dust retention rank and pattern recognition of typical garden plant leaves in Changsha. Ecol. Environ. Sci. 2022, 31, 110–116. [Google Scholar]
- Shao, F.; Wang, L.H.; Sun, F.B.; Li, G.; Yu, L.; Wang, Y.J.; Zeng, X.R.; Yan, H.; Dong, L.; Bao, Z.Y. Study on different particulate matter retention capacities of the leaf surfaces of eight common garden plants in Hangzhou, China. Sci. Total Environ. 2019, 652, 939–951. [Google Scholar] [CrossRef]
- Przybysz, A.; Sæbø, A.; Hanslin, H.M.; Gawroński, S.W. Accumulation of particulate matter and trace elements on vegetation as affected by pollution level, rainfall and the passage of time. Sci. Total Environ. 2014, 481, 360–369. [Google Scholar] [CrossRef] [PubMed]
- Prajapati, S.K.; Tripathi, B.D. Seasonal variation of leaf dust accumulation and pigment content in plant species exposed to urban particulates pollution. J. Environ. Qual. 2008, 37, 865–870. [Google Scholar] [CrossRef]
- Hajizadeh, Y.; Mokhtari, M.; Faraji, M.; Abdolahnejad, A.; Mohammadi, A. Biomonitoring of airborne metals using tree leaves: Protocol for biomonitor selection and spatial trend. MethodsX 2019, 6, 1694–1700. [Google Scholar] [CrossRef] [PubMed]
- Mo, L.; Ma, Z.; Xu, Y.; Sun, F.; Lun, X.; Liu, X.; Chen, J.; Yu, X. Assessing the capacity of plant species to accumulate particulate matter in Beijing, China. PLoS ONE 2015, 10, e0140664. [Google Scholar] [CrossRef] [PubMed]
- Lorenzini, G.; Grassi, C.; Nali, C.; Petiti, A.; Loppi, S.; Tognotti, L. Leaves of pittosporum tobira as indicators of airborne trace element and PM10 distribution in central Italy. Atmos. Environ. 2006, 40, 4025–4036. [Google Scholar] [CrossRef]
- Wang, X.L.; Wang, C. Research status and prospects on functions of urban forests in regulating the air particulate matter. Acta Ecol. Sin. 2014, 34, 1910–1921. [Google Scholar]
- Li, S.N.; Kong, L.W.; Lu, S.W.; Chen, B.; Gao, C.; Shi, Y. Beijing Common Green Tree Leaves’ Accumulation Capacity for Heavy Metals. Environ. Sci. 2014, 35, 1891–1900. [Google Scholar]
- Liang, J.; Fang, H.L.; Zhang, T.L.; Wang, X.X.; Liu, Y.D. Heavy metal in leaves of twelve plant species from seven different areas in Shanghai, China. Urban For. Urban Green. 2017, 27, 390–398. [Google Scholar] [CrossRef]
- Liu, P.Q.; Chen, Q.B.; Deng, Z.H.; Yang, H.Z. Enrichment of atmospheric heavy metals by urban forest. Environ. Chem. 2017, 36, 265–273. [Google Scholar]
- Edelstein, M.; Ben-Hur, M. Heavy metals and metalloids: Sources, risks and strategies to reduce their accumulation in horticultural crops. Sci. Hortic. 2018, 234, 431–444. [Google Scholar] [CrossRef]
- Gajbhiye, T.; Pandey, S.K.; Kim, K.H.; Szulejko, J.E.; Prasad, S. Airborne foliar transfer of PM bound heavy metals in Cassia siamea: A less common route of heavy metal accumulation. Sci. Total Environ. 2016, 573, 123–130. [Google Scholar] [CrossRef] [PubMed]




| Season | Tree Species | Cd | Ni | Pb | Cu | 
|---|---|---|---|---|---|
| Spring | CC | 4.86 ± 0.75 | 58.44 ± 1.32 | 269.69 ± 11.38 | 378.08 ± 5.49 | 
| LC | 1.95 ± 0.28 | 39.32 ± 2.94 | 142.34 ± 13.86 | 270.37 ± 4.55 | |
| OF | 6.07 ± 1.59 | 124.64 ± 17.06 | 273.52 ± 26.01 | 981.25 ± 127.32 | |
| PF | 3.86 ± 1.66 | 50.51 ± 2.77 | 192.50 ± 0.49 | 412.93 ± 15.66 | |
| PT | 3.54 ± 0.60 | 46.07 ± 2.78 | 186.80 ± 12.25 | 292.95 ± 30.34 | |
| Summer | CC | 6.44 ± 1.63 | 89.82 ± 34.11 | 245.49 ± 3.97 | 464.98 ± 23.88 | 
| LC | 2.74 ± 1.16 | 49.36 ± 7.83 | 54.05 ± 1.27 | 292.03 ± 11.91 | |
| OF | 22.13 ± 1.26 | 211.74 ± 13.48 | 547.13 ± 55.62 | 1734.3 ± 30.88 | |
| PF | 5.32 ± 0.39 | 61.26 ± 3.61 | 148.29 ± 23.03 | 423.86 ± 19.4 | |
| PT | 5.30 ± 0.16 | 52.2 ± 3.04 | 149.54 ± 11.6 | 450.62 ± 25.63 | |
| Autumn | CC | 4.88 ± 0.84 | 74.93 ± 1.55 | 336.24 ± 106.08 | 712.22 ± 23.47 | 
| LC | 3.63 ± 0.63 | 74.55 ± 1.14 | 247.77 ± 33.05 | 560.44 ± 37.94 | |
| OF | 7.05 ± 0.40 | 86.17 ± 1.63 | 213.2 ± 13.43 | 670.12 ± 24.32 | |
| PF | 5.17 ± 0.43 | 80.52 ± 4.76 | 243.62 ± 37.58 | 602.54 ± 1.50 | |
| PT | 2.54 ± 0.45 | 67.77 ± 0.24 | 312.94 ± 3.34 | 523.13 ± 8.64 | |
| Winter | CC | 8.48 ± 1.36 | 117.02 ± 3.48 | 556.65 ± 33.1 | 2157.88 ± 667.12 | 
| LC | 3.51 ± 0.44 | 59.4 ± 5.85 | 169.53 ± 16.43 | 701.75 ± 70.43 | |
| OF | 7.14 ± 0.99 | 71.36 ± 3.00 | 197.02 ± 9.6 | 684.19 ± 28.78 | |
| PF | 4.54 ± 0.50 | 76.71 ± 11.55 | 246.26 ± 14.83 | 761.75 ± 0.68 | |
| PT | 4.10 ± 0.07 | 68.81 ± 2.84 | 265.51 ± 11.44 | 682.5 ± 40.10 | 
| Tree Species | Metals | Coefficient of Correlation | |||||||
|---|---|---|---|---|---|---|---|---|---|
| Cd | Ni | Pb | Cu | TSP | d > 10 μm | 10 μm ≤ d < 2.5 μm | d ≤ 2.5 μm | ||
| CC | Cd | −0.052 | 0.019 | 0.076 | 0.211 | −0.007 | −0.388 | −0.141 | −0.073 | 
| Ni | −0.397 | −0.294 | −0.382 | −0.387 | −0.46 | −0.572 | −0.246 | −0.472 | |
| Pb | 0.423 | 0.392 | 0.520 | 0.627 * | 0.520 | 0.229 | 0.054 | 0.453 | |
| Cu | −0.334 | −0.458 | −0.355 | 0.001 | −0.063 | 0.125 | −0.517 | −0.085 | |
| LC | Cd | 0.404 | 0.498 | 0.628 * | 0.419 | 0.325 | 0.239 | −0.852 ** | 0.167 | 
| Ni | 0.32 | 0.417 | 0.615 * | 0.329 | 0.232 | −0.040 | −0.766 ** | 0.027 | |
| Pb | −0.124 | −0.291 | −0.270 | −0.136 | −0.093 | −0.019 | −0.119 | −0.113 | |
| Cu | 0.757 ** | 0.831 ** | 0.847 ** | 0.809 ** | 0.745 ** | 0.596 * | −0.500 | 0.712 ** | |
| OF | Cd | −0.086 | −0.213 | −0.289 | −0.212 | −0.001 | 0.232 | −0.491 | −0.012 | 
| Ni | −0.468 | −0.467 | −0.42 | −0.475 | −0.365 | −0.458 | 0.671 * | −0.342 | |
| Pb | 0.043 | 0.185 | 0.221 | 0.306 | 0.579 * | 0.436 | 0.098 | 0.588 * | |
| Cu | −0.264 | −0.320 | −0.276 | −0.329 | −0.293 | −0.412 | 0.702 * | −0.269 | |
| PF | Cd | 0.178 | −0.041 | −0.182 | 0.004 | −0.009 | −0.268 | 0.457 | 0.161 | 
| Ni | −0.621 * | −0.729 ** | −0.681 * | −0.640 * | −0.581 * | 0.030 | −0.365 | −0.498 | |
| Pb | 0.114 | 0.132 | 0.068 | 0.473 | −0.062 | −0.378 | 0.219 | −0.001 | |
| Cu | −0.249 | −0.342 | −0.415 | −0.210 | −0.376 | −0.411 | 0.008 | −0.286 | |
| PT | Cd | 0.661 * | 0.351 | −0.218 | 0.334 | 0.029 | 0.513 | 0.291 | 0.322 | 
| Ni | −0.556 | −0.024 | 0.046 | −0.131 | −0.396 | −0.056 | −0.229 | −0.368 | |
| Pb | 0.583 * | 0.080 | −0.275 | 0.201 | 0.141 | 0.301 | −0.047 | 0.261 | |
| Cu | −0.732 ** | −0.448 | −0.404 | −0.571 | −0.584 * | −0.582 * | 0.575 | −0.696 * | |
| Tree Species | Membership Function Value | Comprehensive Evaluation | |||||||||
|---|---|---|---|---|---|---|---|---|---|---|---|
| TSP | PM10 | PM2.5 | Cd | Ni | Pb | Cu | Particulate Matter | Heavy Metal | Comprehensive | Rank | |
| CC | 0.00 | 0.00 | 0.00 | 0.00 | 0.19 | 0.72 | 0.70 | 0.00 | 0.40 | 0.20 | 5 | 
| LC | 1.00 | 1.00 | 1.00 | 0.08 | 1.00 | 1.00 | 0.83 | 1.00 | 0.73 | 0.86 | 1 | 
| OF | 0.75 | 0.13 | 0.14 | 0.28 | 0.00 | 0.06 | 0.45 | 0.34 | 0.20 | 0.27 | 3 | 
| PF | 0.18 | 0.12 | 0.25 | 0.22 | 0.11 | 0.00 | 0.00 | 0.18 | 0.08 | 0.13 | 4 | 
| PT | 0.28 | 0.28 | 0.10 | 1.00 | 0.17 | 0.11 | 1.00 | 0.22 | 0.57 | 0.40 | 2 | 
| Publisher’s Note: MDPI stays neutral with regard to jurisdictional claims in published maps and institutional affiliations. | 
© 2022 by the authors. Licensee MDPI, Basel, Switzerland. This article is an open access article distributed under the terms and conditions of the Creative Commons Attribution (CC BY) license (https://creativecommons.org/licenses/by/4.0/).
Share and Cite
Dang, N.; Zhang, H.; Li, H.; Salam, M.M.A.; Chen, G. Comprehensive Evaluation of Dust Retention and Metal Accumulation by the Leaves of Roadside Plants in Hangzhou among Seasons. Forests 2022, 13, 1290. https://doi.org/10.3390/f13081290
Dang N, Zhang H, Li H, Salam MMA, Chen G. Comprehensive Evaluation of Dust Retention and Metal Accumulation by the Leaves of Roadside Plants in Hangzhou among Seasons. Forests. 2022; 13(8):1290. https://doi.org/10.3390/f13081290
Chicago/Turabian StyleDang, Ning, Handan Zhang, Haimei Li, Mir Md Abdus Salam, and Guangcai Chen. 2022. "Comprehensive Evaluation of Dust Retention and Metal Accumulation by the Leaves of Roadside Plants in Hangzhou among Seasons" Forests 13, no. 8: 1290. https://doi.org/10.3390/f13081290
APA StyleDang, N., Zhang, H., Li, H., Salam, M. M. A., & Chen, G. (2022). Comprehensive Evaluation of Dust Retention and Metal Accumulation by the Leaves of Roadside Plants in Hangzhou among Seasons. Forests, 13(8), 1290. https://doi.org/10.3390/f13081290
 
         
                                                

 
                         
       