Emissions Released by Forest Fuel in the Daxing’an Mountains, China
Abstract
:1. Introduction
2. Materials and Methods
2.1. Study Area
2.2. Sampling Plots and Sample Collection
2.3. Combustion Gas Collection
2.4. Calculation of Emission Factors
2.5. Statistical Analysis
3. Results
3.1. Emissions Released by Forest Fuel Combustion
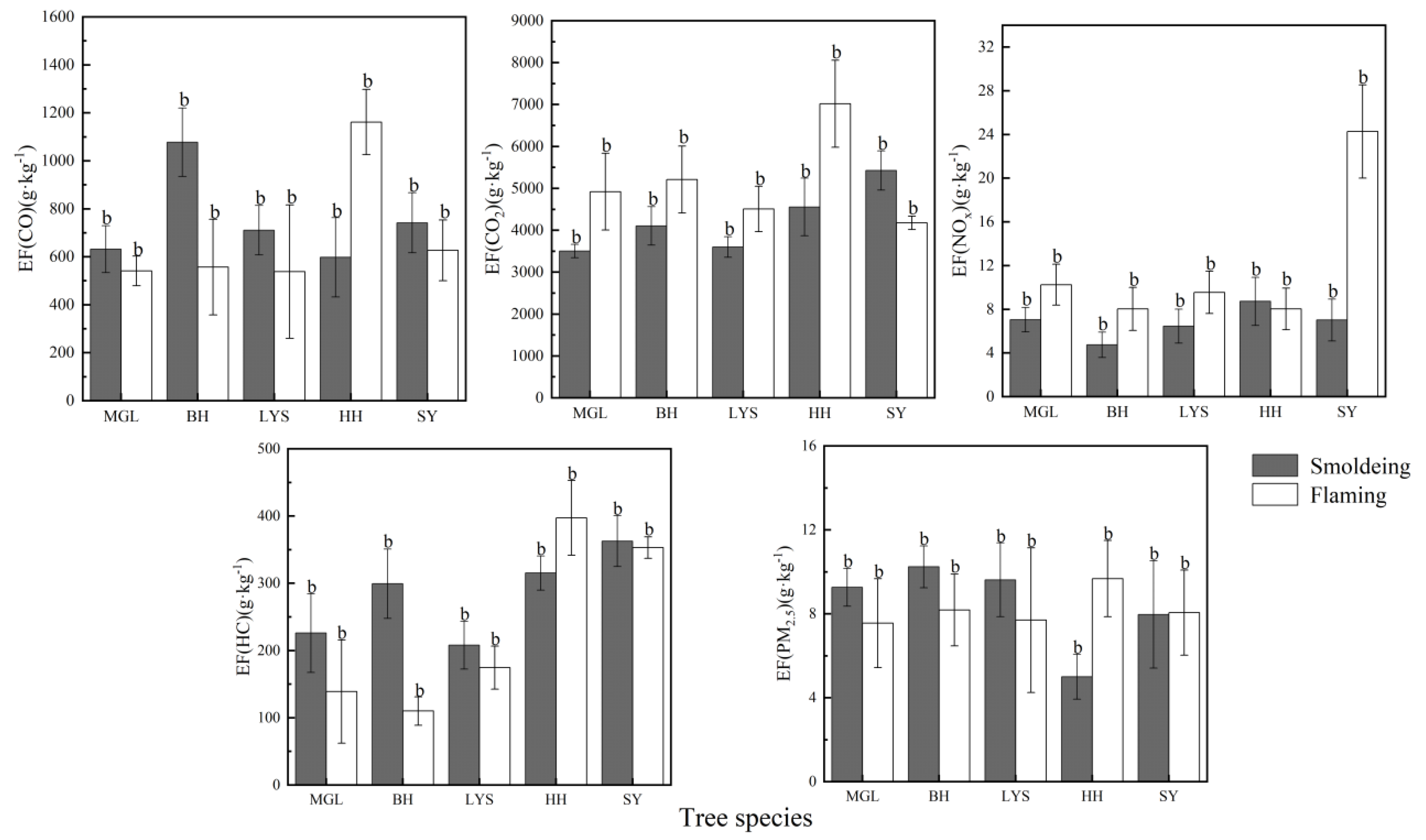
3.1.1. Emissions Released by Trees under Different Combustion States
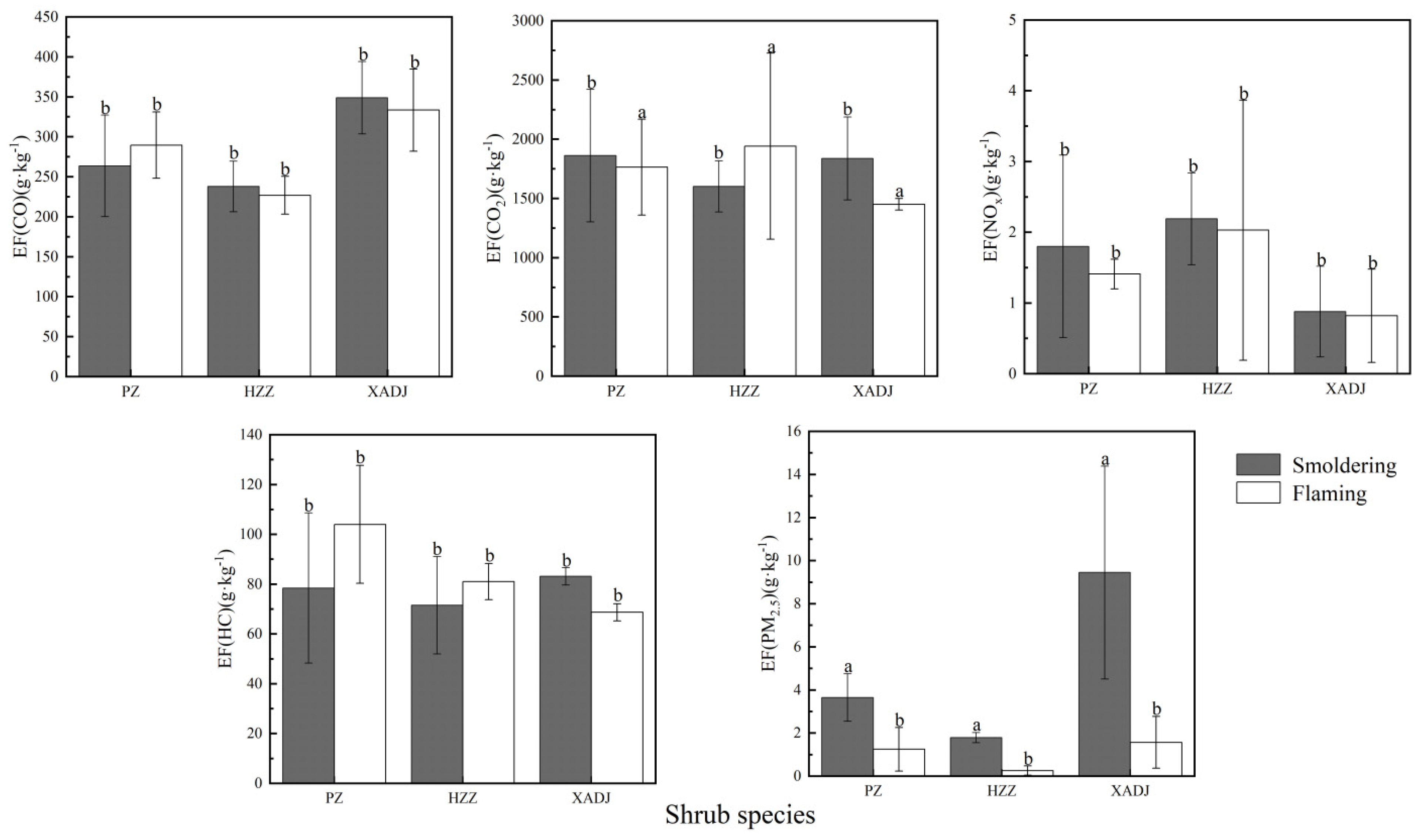
3.1.2. Emissions Released by Shrubs under Different Combustion States
3.1.3. Emissions Released by Surface Dead Fuel under Different Combustion States
4. Discussion
5. Conclusions
- (1)
- The overall difference in pollutant emissions released by the combustion of trees under different combustion states ordered from greatest to least was as follows: trunk > branch > bark. The main emission factors were CO, HC, and CO2, whereas NOx and PM2.5 were relatively minor. There were significant differences in emission factors of BH between the two combustion states, while there were significant differences in the emissions of CO, CO2, and NOx from LYS.
- (2)
- Of the five emission factors, the emission characteristics of PM2.5 were the most different, being significantly higher for each tree species under smoldering as compared to flaming. The mass of other emission factors of different tree species increased and decreased in the two combustion states. The total mass of pollutants emitted from the tree species’ combustion, ranked from high to low, was as follows: BH > HH > SY > LYS > MGL. Different combustion states had a particularly important effect on the HC released from BH branches.
- (3)
- The emissions of CO, HC, and PM2.5 from trees, shrubs, and surface dead fuel under smoldering combustion were significantly higher than those under flaming combustion, while for CO2 and NOx, the opposite was observed. CO emissions were mainly concentrated in the tree bark and the humus layer of surface dead fuel.
Author Contributions
Funding
Data Availability Statement
Conflicts of Interest
References
- Andreae, M.O.; Merlet, P. Emission of trace gases and aerosols from biomass burning. Glob. Biogeochem. Cycles 2001, 15, 955–966. [Google Scholar] [CrossRef] [Green Version]
- Ziemke, J.R.; Chandra, S.; Duncan, B.N.; Schoeberl, M.R.; Torres, O.; Damon, M.R.; Bhartia, P.K. Recent biomass burning in the tropics and related changes in tropospheric ozone. Geophys. Res. Lett. 2009, 36, 172–173. [Google Scholar] [CrossRef] [Green Version]
- Sippula, O.; Hokkinen, J.; Puustinen, H.; Yli-Pirilä, P.; Jokiniemi, J. Particle Emissions from Small Wood-fired District Heating Units. Energy Fuels 2009, 23, 2974–2982. [Google Scholar] [CrossRef]
- Alves, C.; Gonçalves, C.; Fernandes, A.P.; Tarelho, L.; Pio, C. Fireplace and woodstove fine particle emissions from combustion of western Mediterranean wood types. Atmos. Res. 2011, 101, 692–700. [Google Scholar] [CrossRef]
- Hu, H.Q.; Wang, G.Y.; Sun, L. Analyses of gas emission in ground cover combustion of main forest fuel types in Xiaoxing’an Mountain. Sci. Silvae Sin. 2009, 45, 109–114. [Google Scholar]
- Wang, W.Y.; Liu, F. Characteristics of gas release for main herbaceous fuel under broadleaved Pinus koraiensis in Xiaoxing’anling. Prot. For. Sci. Technol. 2012, 5, 10–14. [Google Scholar]
- Meyer, M.D.; Safford, H.D. Giant Sequoia Regeneration in Groves Exposed to Wildfire and Retention Harvest. Fire Ecol. 2011, 7, 2–16. [Google Scholar] [CrossRef]
- Baltzer, J.L.; Day, N.J.; Walker, X.J.; Greene, D.; Mack, M.C.; Alexander, H.D.; Arseneault, D.; Barnes, J.; Bergeron, Y.; Boucher, Y.; et al. Increasing fire and the decline of fire adapted black spruce in the boreal forest. Proc. Natl. Acad. Sci. USA 2021, 118, e2024872118. [Google Scholar] [CrossRef]
- Aleman, J.C.; Blarquez, O.; Elenga, H.; Paillard, J.; Kimpuni, V.; Itoua, G.; Issele, G.; Staver, A.C. Palaeo-trajectories of forest savannization in the southern Congo. Biol. Lett. 2019, 15. [Google Scholar] [CrossRef] [PubMed]
- Hu, H.Q.; Sun, L. Estimation of carbon release from shrubs, herbs and ground cover in Daxing’an Mountains from 1980 to 1999. Chin. J. Appl. Ecol. 2007, 18, 2647–2653. [Google Scholar]
- Urbanski, S.P.; Wei, M.H.; Baker, S.J. Chapter 4 Chemical Composition of Wildland Fire Emissions. Dev. Environ. Sci.UK 2008, 8, 79–107. [Google Scholar]
- Rein, G. Smoldering-Peat Megafires: The Largest Fires on Earth. In Coal and Peat Fires: A Global Perspective; Elsevier: Amsterdam, The Netherlands, 2015; pp. 1–11. [Google Scholar]
- Giglio, L.; Werf, G.R.V.D.; Randerson, J.T. Global estimation of burned area using Modis active fire observations. Chem. Phys. 2006, 6, 957–974. [Google Scholar] [CrossRef] [Green Version]
- Hoelzemann, J.J.; Schultz, M.G.; Brasseur, G.P. Global wildland fire emission model (GWEM), evaluating the use of global area burnt satellite data. J. Geophys. Res. 2004, 109, D14S04. [Google Scholar] [CrossRef]
- Vicente, E.D.; Duarte, M.A.; Calvo, A.I. Emission of carbon monoxide, total hydrocarbons and particulate matter during wood combustion in a stove operating under distinct conditions. Fuel Processing Technol. 2015, 131, 182–192. [Google Scholar] [CrossRef] [Green Version]
- Deng, G.R. Study on the Release of Combustible Gases from Forests in the Greater Xing’an Mountains. Doctor’s Thesis, Northeast Forestry University, Harbin, China, 2006. [Google Scholar]
- Dong, X.B.; Han, Y.Q. Enlightenment and reflection on the construction of ecological civilization in the Daxing’an Mountains forest region of Inner Mongolia. North. Econ. 2014, 9, 52–53. [Google Scholar]
- Wei, S.J. Research on Quantitative Evaluation Method of Forest Fire Carbon Emission in Heilongjiang Province. Doctor’s Thesis, Northeast Forestry University, Harbin, China, 2013. [Google Scholar]
- Xin, Y.; Wang, X.R.; LI, Y.J. Experimental study on transformation of forest humus from smoldering to flaming. Fire Sci. Technol. 2018, 9, 1162–1166. [Google Scholar]
- Li, Y.; Dai, J.H.; Liu, Y.B. On the influence of forest fires on atmospheric environment. For. Fire Prev. 2000, 1, 22–23. [Google Scholar]
- Liu, B.; Tian, X.R. Research progress on carbon emission model of forest fires. World For. Res. 2010, 6, 35–39. [Google Scholar]
- Guo, H.W. Study on Carbon Emissions from Forest Fires in Sanming Area of Fujian Province. Master’s Thesis, Beijing Forestry University, Beijing, China, 2013. [Google Scholar]
- Kasischke, E.S.; Hyer, E.J.; Novelli, P.C.; Bruhwiler, L.P.; French, N.H.F.; Sukhinin, A.I.; Hewson, J.H.; Stocks, B.J. Influences of boreal fire emissions on Northern Hemisphere atmospheric carbon and carbon monoxide. Glob. Biogeochem. Cycles 2005, 19. [Google Scholar] [CrossRef]
- Rogers, B.M.; Soja, A.J.; Goulden, M.L.; Randerson, J.T. Influence of tree species on continental differences in boreal fires and climate feedbacks. Nat. Geosci. 2015, 8, 228–234. [Google Scholar] [CrossRef]
- Kondo, Y.; Matsui, H.; Moteki, N.; Sahu, L.; Takegawa, N.; Kajino, M.; Zhao, Y.; Cubison, M.J.; Jimenez, J.L.; Vay, S.; et al. Emissions of black carbon, organic, and inorganic aerosols from biomass burning in North America and Asia in 2008. J. Geophys. Res. Atmos. 2011, 116. [Google Scholar] [CrossRef] [Green Version]
- Levine, J. Global Biomass Burning: Atmospheric, Climatic, and Biospheric Implications. Eos Trans. Am. Geophys. Union 1990, 71, 1075. [Google Scholar] [CrossRef]
- Okoshi, R.; Rasheed, A.; Reddy, G.C. Size and mass distributions of ground-level sub-micrometer biomass burning aerosol from small wildfires. Atmos. Environ. 2014, 89, 392–402. [Google Scholar] [CrossRef]
- Li, S.; Wu, Z.W.; Liang, Y.; He, H.S. Temporal and spatial aggregation characteristics of forest fires in the Daxing’an Mountains. J. Ecol. 2017, 36, 198–204. [Google Scholar]
- Roman, K.; Roman, M.; Szadkowska, D.; Szadkowski, J.; Grzegorzewska, E. Evaluation of Physical and Chemical Parameters According to Energetic Willow (Salix viminalis L.) Cultivation. Energies 2021, 14, 2968. [Google Scholar] [CrossRef]
- Ju, Y.H.; Yang, X.J.; Jin, Q.F. Analysis of PM2.5 emission factors and main components of crop straw under different burning conditions. Acta Sci. Sin. 2018, 38, 92–100. [Google Scholar]
- Guo, F.; Ju, Y.; Wang, G. Inorganic chemical composition of PM2.5 emissions from the combustion of six main tree species in subtropical China. Atmos. Environ. 2018, 189, 107–115. [Google Scholar] [CrossRef]
- Mcmeeking, G.R.; Kreidenweis, S.M.; Baker, S. Emissions of trace gases and aerosols during the open combustion of biomass in the laboratory. J. Geophys. Res. Atmos. 2009, 114, 19210. [Google Scholar] [CrossRef] [Green Version]
- Shen, G.F. Emission Factors and Influencing Factors of Carbon Particulate Matter and Polycyclic Aromatic Hydrocarbons Produced by Indoor Solid Fuel Combustion. Doctor’s Thesis, Peking University, Beijing, China, 2012. [Google Scholar]
- Akagi, S.K.; Yokelson, R.J. Emission factors for open and domestic biomass burning for use in atmospheric models. Atmos. Chem. Phys. 2010, 11, 27523–27602. [Google Scholar] [CrossRef] [Green Version]
- Wang, C.M. Comprehensive evaluation of Bilahe Nature Reserve in Inner Mongolia. Inn. Mong. For. Investig. Des. 2014, 37, 19–20, 26. [Google Scholar]
- Alves, C.; Vicente, A.; Nunes, T. Summer 2009 wildfires in Portugal: Emission of trace gases and aerosol composition. Atmos. Environ. 2011, 45, 641–649. [Google Scholar] [CrossRef]
- Yang, X.J.; Ma, Y.F.; Qi, Y.H. Estimation of time and space distribution of pollutants from open burning of straw in 2005–2014 in the main producing areas of agricultural products in South China. J. Agro-Environ. Sci. 2018, 37, 358–368. [Google Scholar]
- Li, Y.B. Analysis of Combustion of Gases of Main Shrub Forest Type in Heilongjiang Province. Master’s Thesis, Northeast Forestry University, Harbin, China, 2008. [Google Scholar]
- Sun, L.; Zhang, Y.; Guo, Q.X. Carbon release from forest fires in Daxing’an Mountains and recovery of NPP after fire in 1987. For. Sci. 2009, 45, 100–104. [Google Scholar]
- Xing, Y.; Li, X.-Q.; Zhou, Z.H.; Hong-Guang, C.; Bin, F.; Like, Z. Adsorption and kinetics of ammonium from aqueous medium onto biochar. Earth Environ. 2011, 39, 511–516. [Google Scholar]
- Demiral, H.; Demiral, İ.; Tümsek, F.; Karabacakoğlu, B. Biosorption of chromium (VI) from aqueous solution by activated carbon derived from olive bagasse and applicability of different biosorption models. Chem. Eng. J. 2008, 144, 188–196. [Google Scholar] [CrossRef]
- Aurell, J.; Gullett, B.K.; Tabor, D. Emissions from southeastern US Grasslands and pine savannas: Comparison of aerial and ground field measurements with laboratory burns. Atmos. Environ. 2015, 111, 170–178. [Google Scholar] [CrossRef]
- Zhu, B.; Zhu, X.L.; Zhang, Y.X.; Zeng, L.M. Study on PM2.5 emission factors of crop straw burning. Acta Sci. Circumst. 2005, 2, 29–33. [Google Scholar]
- Robertson, K.M.; Hsieh, Y.P.; Bugna, G.C. Fire environment effects on particulate matter emission factors in southeastern US pine-grasslands. Atmos. Environ. 2014, 99, 104–111. [Google Scholar] [CrossRef] [Green Version]
- Zhang, Y.S.; Liu, K.Z.; Chen, S.W.; Pan, Y.Y.; Li, S.H.; Wang, A.J. Characteristic analysis of fire combustion temperature change. For. Mach. Woodwork. Equip. 2019, 47, 30–33. [Google Scholar]
- Ito, A. Global Estimates of Biomass Burning Emissions Based on Satellite Imagery for the Year 2000. J. Geophys. Res. 2004, 109, D14S05. [Google Scholar] [CrossRef]
- Peng, X.J.; Ju, L.; Hu, H.Q. Flammability of four conifers in Heilongjiang Province. J. Northeast For. Univ. 2014, 42, 71–75. [Google Scholar]
- Guo, F.T.; Jin, Q.F.; Yang, X.J.; Liu, A.Q. An Air Compression System That Simulates the Burning of Wild Biomass. China 2016211196373, 12 April 2017. Available online: https://patents.google.com/patent/CN206092332U/zh (accessed on 1 May 2022).
- Wang, W.H.; Liu, A.Q.; Jin, Q.F.; Guo, F.T. A Simulated Combustion Device for Biomass Combustion in the Field. China 2016211196477, 10 May 2017. Available online: https://cprs.patentstar.com.cn/Search/Detail?ANE=9CGB5AFA3CAA9DDD8AGA9FDA9IAA4DAAFGHABEIA9FAABDIA (accessed on 1 May 2022).





| Tree Parts | Smoldering | |||||
|---|---|---|---|---|---|---|
| CO | CO2 | NOx | HC | PM2.5 | ||
| MGL | Trunk | 283.61 ± 35.85 b | 968.75 ± 90.43 b | 1.78 ± 0.29 b | 76.38 ± 9.56 b | 6.54 ± 2.98 b |
| Bark | 290.90 ± 37.95 b | 1149.33 ± 52.36 b | 1.63 ± 0.56 b | 100.86 ± 26.47 b | 15.61 ± 4.00 b | |
| Branch | 357.12 ± 104.51 b | 1174.51 ± 140.02 b | 1.11 ± 0.35 b | 239.37 ± 85.70 b | 6.56 ± 1.17 b | |
| BH | Trunk | 312.63 ± 13.98 a | 817.11 ± 45.55 b | 0.77 ± 0.16 b | 354.21 ± 53.02 b | 1.20 ± 0.19 b |
| Bark | 379.53 ± 51.32 a | 1012.87 ± 13.1 b | 5.91 ± 0.80 b | 75.33 ± 11.84 b | 6.36 ± 1.25 b | |
| Branch | 142.39 ± 49.99 a | 584.06 ± 80.5 b | 0.64 ± 0.45 b | 532.90 ± 171.95 b | 0.40 ± 0.50 b | |
| LYS | Trunk | 228.86 ± 92.87 b | 1200.29 ± 165.3 b | 1.63 ± 0.93 a | 88.70 ± 80.22 b | 1.84 ± 1.17 b |
| Bark | 362.18 ± 46.89 b | 944.65 ± 67.68 b | 6.65 ± 0.42 a | 92.33 ± 34.95 b | 4.89 ± 3.72 b | |
| Branch | 215.74 ± 17.53 b | 1148.98 ± 85.5 b | 2.56 ± 1.08 a | 109.57 ± 83.84 b | 3.36 ± 3.19 b | |
| HH | Trunk | 241.19 ± 22.47 b | 942.4 ± 93.59 b | 0.30 ± 0.16 b | 185.94 ± 80.25 b | 2.07 ± 1.60 b |
| Bark | 247.72 ± 4.79 b | 983.13 ± 74.65 b | 0.20 ± 0.06 b | 142.47 ± 52.90 b | 1.88 ± 0.56 b | |
| Branch | 201.08 ± 69.02 b | 1160.53 ± 151.68 b | 1.59 ± 0.42 b | 125.14 ± 44.98 b | 3.57 ± 3.09 b | |
| SY | Trunk | 279.88 ± 47.79 b | 1454.46 ± 359.87 b | 0.77 ± 0.51 a | 92.85 ± 46.45 b | 7.40 ± 6.52 b |
| Bark | 228.72 ± 33.9 b | 1287.40 ± 205.08 b | 0.38 ± 0.10 a | 120.76 ± 29.70 b | 4.73 ± 3.54 b | |
| Branch | 316.43 ± 18.28 b | 1638.28 ± 100.1 b | 2.99 ± 0.77 a | 97.18 ± 24.47 b | 4.74 ± 1.36 b | |
| Tree Parts | Flaming | |||||
| CO | CO2 | NOx | HC | PM2.5 | ||
| MGL | Trunk | 195.62 ± 81.01 b | 1088.14 ± 168.06 b | 8.53 ± 3.40 b | 153.66 ± 36.47 b | 1.59 ± 1.35 b |
| Bark | 211.74 ± 75.17 b | 1157.36 ± 113.72 b | 2.25 ± 0.34 b | 110.69 ± 19.93 b | 1.59 ± 1.53 b | |
| Branch | 212.10 ± 54.34 b | 1156.06 ± 104.56 b | 4.15 ± 0.72 b | 104.65 ± 17.91 b | 0.29 ± 0.18 b | |
| BH | Trunk | 149.45 ± 18.17 a | 1642.46 ± 85.86 b | 1.21 ± 0.18 b | 34.91 ± 3.88 b | 2.35 ± 0.22 b |
| Bark | 164.52 ± 59.22 a | 1696.38 ± 182.01 b | 2.89 ± 0.69 b | 46.03 ± 5.15 b | 3.40 ± 1.23 b | |
| Branch | 318.71 ± 13.35 a | 1379.26 ± 95.94 b | 0.70 ± 0.60 b | 30.44 ± 13.57 b | 0.30 ± 0.24 b | |
| LYS | Trunk | 221.01 ± 28.39 a | 1669.54 ± 80.09 a | 0.68 ± 0.10 a | 67.00 ± 17.11 b | 2.31 ± 0.94 b |
| Bark | 411.39 ± 78.71 a | 910.44 ± 257.14 a | 6.16 ± 0.66 a | 187.82 ± 123.11 b | 2.05 ± 0.78 b | |
| Branch | 154.50 ± 53.02 a | 1195.89 ± 106.24 a | 0.83 ± 0.45 a | 104.36 ± 20.71 b | 1.24 ± 0.75 b | |
| HH | Trunk | 275.73 ± 110.6 b | 1615.11 ± 543.01 b | 0.11 ± 0.05 b | 85.87 ± 30.75 b | 1.28 ± 0.79 b |
| Bark | 381.32 ± 44.54 b | 1493.40 ± 117.46 b | 0.82 ± 0.40 b | 57.85 ± 14.86 b | 1.48 ± 0.45 b | |
| Branch | 255.49 ± 17.16 b | 1053.47 ± 27.9 b | 1.01 ± 0.58 b | 108.30 ± 10.09 b | 1.91 ± 0.78 b | |
| SY | Trunk | 290.29 ± 49.19 b | 1415.63 ± 163.41 b | 0.39 ± 0.36 b | 61.52 ± 19.49 a | 1.26 ± 0.51 b |
| Bark | 251.03 ± 10.63 b | 1307.44 ± 154.32 b | 3.02 ± 3.24 b | 161.01 ± 36.75 a | 1.00 ± 0.26 b | |
| Branch | 271.96 ± 41.29 b | 1422.70 ± 39.41 b | 1.87 ± 0.99 b | 72.86 ± 0.61 a | 4.57 ± 2.63 b | |
| Surface Dead Fuel | Flaming | |||||
|---|---|---|---|---|---|---|
| CO | CO2 | NOx | HC | PM2.5 | ||
| MGL | Litter | 175.60 ± 28.84 b | 1505.94 ± 176.09 b | 3.45 ± 0.66 b | 61.59 ± 24.07 b | 2.84 ± 0.92 b |
| Semi-humus | 172.75 ± 17.83 b | 1853.95 ± 639.83 b | 3.79 ± 0.49 b | 44.89 ± 31.28 b | 1.77 ± 0.84 b | |
| Humus | 193.20 ± 15.04 b | 1561.70 ± 99.09 b | 3.00 ± 0.72 b | 32.60 ± 21.52 b | 2.94 ± 0.36 b | |
| BH | Litter | 128.25 ± 10.90 b | 1897.00 ± 414.18 b | 3.86 ± 1.05 b | 34.14 ± 5.04 b | 2.57 ± 0.51 b |
| Semi-humus | 179.02 ± 87.65 b | 1631.16 ± 95.20 b | 2.43 ± 0.30 b | 38.37 ± 5.56 b | 2.52 ± 0.47 b | |
| Humus | 249.78 ± 101.04 b | 1683.31 ± 288.86 b | 1.74 ± 0.62 b | 37.58 ± 10.54 b | 3.09 ± 0.73 b | |
| LYS | Litter | 154.38 ± 81.88 b | 1373.26 ± 98.98 b | 2.90 ± 0.58 b | 39.49 ± 5.58 a | 1.14 ± 0.76 b |
| Semi-humus | 169.42 ± 117.28 b | 1487.65 ± 152.77 b | 3.22 ± 0.24 b | 19.15 ± 11.39 a | 2.77 ± 1.05 b | |
| Humus | 154.50 ± 53.02 b | 1647.46 ± 289.74 b | 3.44 ± 1.13 b | 115.90 ± 15.13 a | 3.80 ± 0.64 b | |
| HH | Litter | 298.38 ± 28.08 a | 1698.27 ± 174.98 b | 2.42 ± 0.53 b | 131.23 ± 39.56 b | 4.21 ± 037 b |
| Semi-humus | 273.93 ± 64.81 a | 1627.33 ± 238.78 b | 3.07 ± 0.78 b | 140.54 ± 4.36 b | 1.85 ± 0.64 b | |
| Humus | 589.46 ± 42.89 a | 3965.67 ± 624.00 b | 2.55 ± 0.60 b | 125.62 ± 11.71 b | 3.62 ± 0.81 b | |
| SY | Litter | 237.98 ± 82.63 b | 1579.08 ± 79.15 b | 4.13 ± 1.21 b | 100.97 ± 3.87 a | 2.71 ± 0.74 b |
| Semi-humus | 227.82 ± 25.29 b | 1313.04 ± 61.24 b | 11.09 ± 1.58 b | 129.12 ± 2.63 a | 2.55 ± 0.85 b | |
| Humus | 161.21 ± 18.83 b | 1284.89 ± 18.54 b | 9.05 ± 1.47 b | 123.01 ± 9.57 a | 2.80 ± 0.44 b | |
| Surface Dead Fuel | Smoldering | |||||
| CO | CO2 | NOx | HC | PM2.5 | ||
| MGL | Litter | 192.21 ± 48.53 b | 1096.51 ± 48.07 b | 2.89 ± 0.34 a | 60.25 ± 12.42 b | 3.80 ± 0.10 b |
| Semi-humus | 217.20 ± 25.74 b | 1246.24 ± 91.17 b | 1.29 ± 0.47 a | 70.57 ± 18.63 b | 2.82 ± 0.30 b | |
| Humus | 222.80 ± 23.64 b | 1161.09 ± 22.85 b | 2.87 ± 0.30 a | 95.31 ± 27.43 b | 3.36 ± 0.50 b | |
| BH | Litter | 223.00 ± 76.48 a | 1364.50 ± 142.79 b | 1.05 ± 0.34 b | 106.88 ± 27.46 b | 3.75 ± 0.47 b |
| Semi-humus | 372.44 ± 8.49 a | 1336.58 ± 162.85 b | 2.29 ± 0.42 b | 80.80 ± 3.23 b | 3.34 ± 0.37 b | |
| Humus | 481.87 ± 57.72 a | 1403.48 ± 154.86 b | 1.41 ± 0.40 b | 111.63 ± 20.84 b | 3.15 ± 0.16 b | |
| LYS | Litter | 220.71 ± 69.31 b | 1158.28 ± 129.28 b | 1.28 ± 0.52 b | 101.61 ± 23.81 a | 3.77 ± 0.26 b |
| Semi-humus | 273.26 ± 14.51 b | 1316.19 ± 54.10 b | 2.46 ± 0.61 b | 19.93 ± 5.55 a | 3.67 ± 0.72 b | |
| Humus | 217.28 ± 19.04 b | 1126.49 ± 64.62 b | 2.72 ± 0.43 b | 86.45 ± 6.22 a | 2.18 ± 0.78 b | |
| HH | Litter | 164.10 ± 63.37 b | 1319.40 ± 240.1 b | 1.98 ± 0.46 b | 113.59 ± 14.81 b | 1.77 ± 0.51 b |
| Semi-humus | 221.20 ± 26.04 b | 1393.88 ± 106.93 b | 4.00 ± 1.41 b | 93.1 ± 4.33 b | 1.42 ± 0.28 b | |
| Humus | 213.03 ± 76.03 b | 1843.35 ± 342.99 b | 2.75 ± 0.34 b | 108.59 ± 6.30 b | 1.81 ± 0.28 b | |
| SY | Litter | 206.95 ± 58.04 b | 1576.82 ± 146.37 b | 1.45 ± 0.46 b | 139.80 ± 6.52 b | 2.14 ± 0.55 b |
| Semi-humus | 270.71 ± 30.03 b | 1835.19 ± 217.23 b | 2.80 ± 0.98 b | 129.22 ± 21.10 b | 3.22 ± 1.17 b | |
| Humus | 264.21 ± 37.00 b | 2017.39 ± 104.27 b | 2.77 ± 0.49 b | 93.84 ± 10.36 b | 2.62 ± 0.84 b | |
Publisher’s Note: MDPI stays neutral with regard to jurisdictional claims in published maps and institutional affiliations. |
© 2022 by the authors. Licensee MDPI, Basel, Switzerland. This article is an open access article distributed under the terms and conditions of the Creative Commons Attribution (CC BY) license (https://creativecommons.org/licenses/by/4.0/).
Share and Cite
Zhang, H.; Li, H.; Liu, X.; Ma, Y.; Zhou, Q.; Sa, R.; Zhang, Q. Emissions Released by Forest Fuel in the Daxing’an Mountains, China. Forests 2022, 13, 1220. https://doi.org/10.3390/f13081220
Zhang H, Li H, Liu X, Ma Y, Zhou Q, Sa R, Zhang Q. Emissions Released by Forest Fuel in the Daxing’an Mountains, China. Forests. 2022; 13(8):1220. https://doi.org/10.3390/f13081220
Chicago/Turabian StyleZhang, Heng, Hui Li, Xinyuan Liu, Yunjia Ma, Qing Zhou, Rula Sa, and Qiuliang Zhang. 2022. "Emissions Released by Forest Fuel in the Daxing’an Mountains, China" Forests 13, no. 8: 1220. https://doi.org/10.3390/f13081220
APA StyleZhang, H., Li, H., Liu, X., Ma, Y., Zhou, Q., Sa, R., & Zhang, Q. (2022). Emissions Released by Forest Fuel in the Daxing’an Mountains, China. Forests, 13(8), 1220. https://doi.org/10.3390/f13081220

