Tree-Ring Patterns and Growth Response of Abies jaliscana to Climate along Elevational Gradients in the Mountains of Western Jalisco, Mexico
Abstract
1. Introduction
2. Materials and Methods
2.1. Study Area
2.2. Sample Collection
2.3. Tree-Ring Chronologies
2.4. Climate Records and Correlation Analysis
3. Results
3.1. Tree Ring-Width Chronologies and Statistics
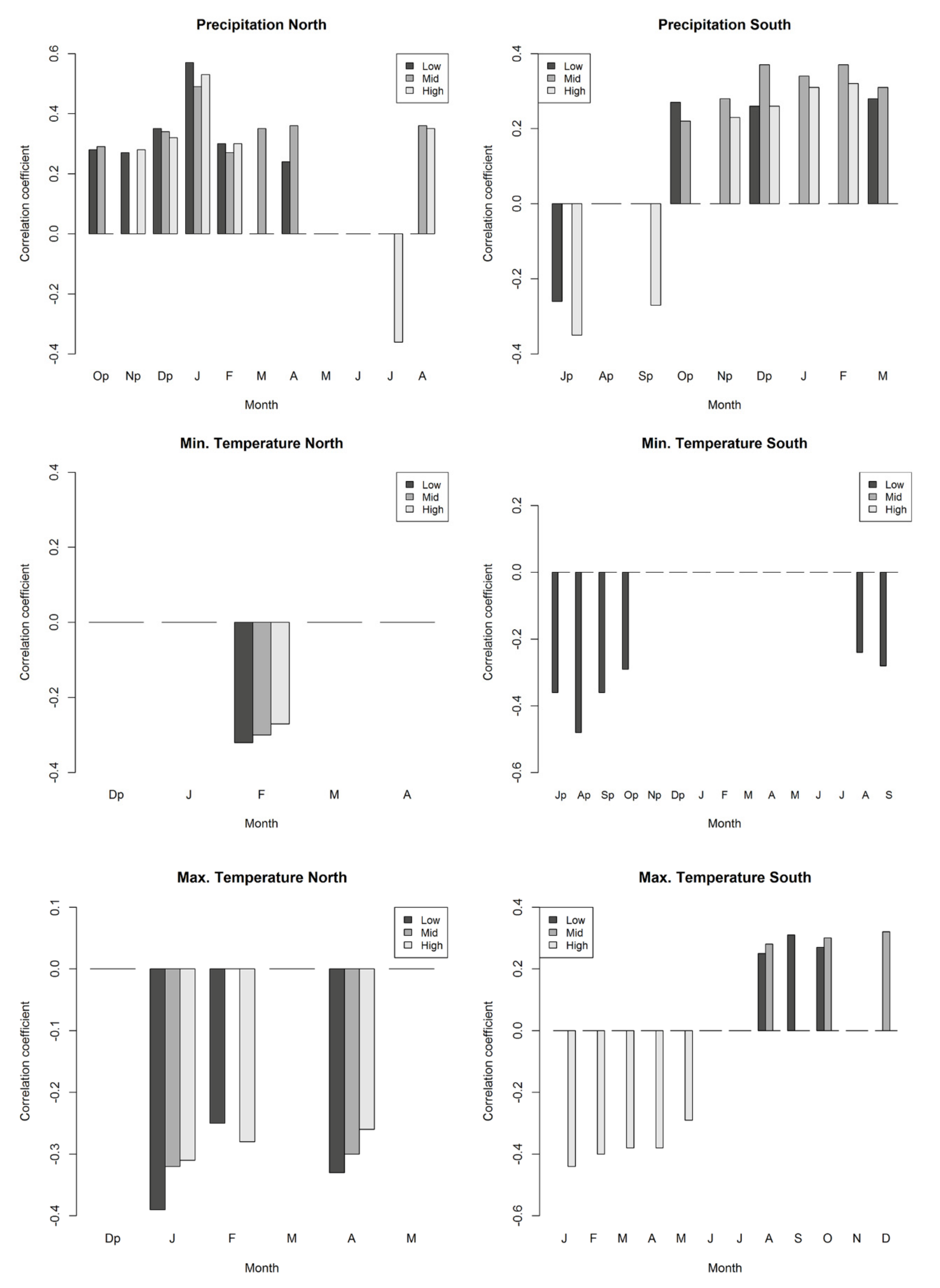
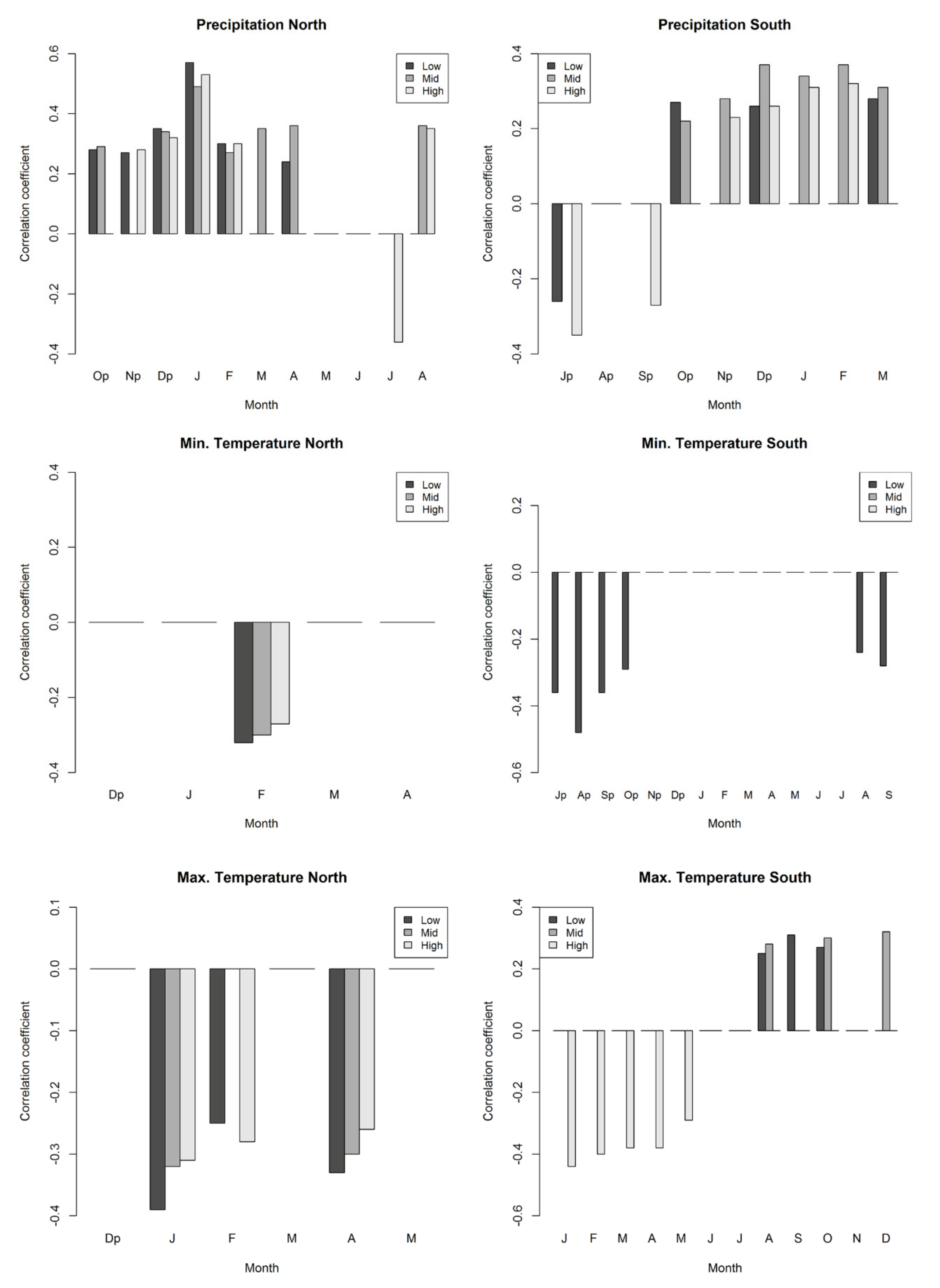
3.2. Response to Climatic Conditions
4. Discussion
5. Conclusions
Supplementary Materials
Author Contributions
Funding
Acknowledgments
Conflicts of Interest
References
- Liang, E.; Wang, Y.; Xu, Y.; Liu, B.; Shao, X. Growth variation in Abies georgei var. smithii along altitudinal gradients in the Sygera Mountains, southeastern Tibetan Plateau. Trees 2010, 24, 363–373. [Google Scholar] [CrossRef]
- Dang, H.; Jiang, M.; Zhang, Q.; Zhang, Y. Growth responses of subalpine fir (Abies fargesii) to climate variability in the Qinling Mountain, China. For. Ecol. Manag. 2007, 240, 143–150. [Google Scholar] [CrossRef]
- Linares, J.C.; Camarero, J.J.; Carreira, J.A. Interacting effects of changes in climate and forest cover on mortality and growth of the southernmost European fir forests. Glob. Ecol. Biogeogr. 2009, 18, 485–497. [Google Scholar] [CrossRef]
- Pasho, E.; Toromani, E.; Alla, A.Q. Climatic impact on tree-ring widths in Abies borisii-regis forests from South-East Albania. Dendrochronologia 2014, 32, 237–244. [Google Scholar] [CrossRef]
- Fritts, H.C.; Smith, D.G.; Cardis, J.W.; Budelsky, C.A. Tree-ring characteristics along a vegetation gradient in northern Arizona. Ecology 1965, 46, 393–401. [Google Scholar] [CrossRef]
- Kharal, D.K.; Thapa, U.K.; George, S.S.; Meilby, H.; Rayamajhi, S.; Bhujo, D.R. Tree-climate relations along an elevational transect in Manang Valley, central Nepal. Dendrochronologia 2017, 41, 57–64. [Google Scholar] [CrossRef]
- Splechtna, B.E.; Dobry, J.; Klinka, K. Tree-ring characteristics of subalpine fir (Abies lasiocarpa (Hook) Nutt.) in relation to elevation and climatic fluctuations. Ann. For. Sci. 2000, 57, 89–100. [Google Scholar] [CrossRef]
- Astudillo-Sánchez, C.; Villanueva-Díaz, J.; Endara-Agramont, A.R.; Nava-Bernal, G.E.; Gómez-Albores, M.A. Climatic variability at the treeline of Monte Tlaloc, Mexico: A dendrochronological approach. Trees 2017, 31, 441–453. [Google Scholar] [CrossRef]
- Peng, J.; Gou, X.; Chen, F.; Li, J.; Liu, P.; Zhang, Y. Altitudinal variability of climate-tree growth relationships along a consistent slope of Anyemaqen Mountains, northeastern Tibetan Plateau. Dendrochronologia 2008, 26, 87–96. [Google Scholar] [CrossRef]
- Yang, B.; Minhui, M.; Melvin, T.M.; Zhao, Y.; Briffa, K.R. Climate control on tree growth at the upper and lower treelines: A case study in the Qilian Mountains, Tibetan Plateau. PLoS ONE 2013, 8, e69065. [Google Scholar] [CrossRef]
- González-Elizondo, M.; Jurado, E.; Navar, J.; González-Elizondo, M.S.; Villanueva-Díaz, J.; Aguirre, O.; Jiménez, J. Tree-rings and climate relationships for Douglas-fir chronologies from the Sierra Madre Occidental, Mexico: A 1681–2001 rain reconstruction. For. Ecol. Manag. 2005, 213, 39–53. [Google Scholar] [CrossRef]
- Villanueva-Diaz, J.; Stahle, D.W.; Luckman, B.H.; Cerano-Paredes, J.; Therrell, M.D.; Cleaveland, M.K.; Cornejo-Oviedo, E. Winter-spring precipitation reconstructions from tree rings for northeast Mexico. Clim. Chang. 2007, 83, 117–131. [Google Scholar] [CrossRef]
- Cerano-Paredes, J.; Villanueva-Díaz, J.; Cervantes-Martínez, R.; Vázquez-Selem, L.; Trucios-Caciano, R.; Guerra de la Cruz, V. Winter-spring precipitation reconstruction for the Pico de Tancítaro National Park, Michoacan. Investig. Geogr. Bol. Inst. Geogr. 2014, 83, 41–54. [Google Scholar]
- Villanueva-Díaz, J.; Cerano-Paredes, J.; Fulé, J.P.Z.; Cortés-Montaño, C.; Vázquez-Selem, L.; Yocom, L.L.; Ruiz-Corral, J.A. Four centuries of reconstructed hydroclimatic variability for Northwestern Chihuahua, Mexico, based in tree rings. Investig. Geogr. Bol. Inst. Geogr. 2015, 87, 141–153. [Google Scholar]
- González-Cásares, M.; Pompa-García, M.; Venegas-González, A. Climate signals from intra-annual wood density fluctuations in Abies durangensis. IAWA J. 2019, 40, 276–287. [Google Scholar] [CrossRef]
- Takahashi, K.; Azuma, H.; Yasue, K. Effects of climate on the radial growth of tree species in the upper and lower distribution limits of an altitudinal ecotone on Mount Norikura, central Japan. Ecol. Res. 2003, 18, 549–558. [Google Scholar] [CrossRef]
- Guerrero-Hernández, R.; Muñiz-Castro, M.A.; Vázquez-García, J.A.; Ruiz-Corral, A.; Hernández-Vera, G. Vegetation structure, classification and climatic characteristics in temperate-like mountain forests dominated by Abies jaliscana in western Mexico. Kast. Univ. J. For. Fac. 2019, 19, 235–258. [Google Scholar]
- Vázquez-García, J.A.; Shalisko, V.; Cuevas-Guzmán, R.; Muñiz-Castro, M.A.; Mantilla-Blandón, M.R. Abies jaliscana (Pinaceae): A new combination in section Grandis and a key to the species of Abies in western Mexico. Phytotaxa 2014, 183, 27–36. [Google Scholar] [CrossRef][Green Version]
- Carlón-Allende, T.; Mendoza, M.E.; Pérez-Salicrup, D.R.; Villanueva-Díaz, J.; Lara, A. Climatic responses of Pinus pseudostrobus and Abies religiosa in the Monarch Butterfly Biosphere Reserve, Mexico. Dendrochronologia 2016, 38, 103–116. [Google Scholar] [CrossRef]
- Carlón-Allende, T.; Villanueva-Díaz, J.; Mendoza, M.E.; Pérez-Salicrup, D.R. Climatic signal in earlywood and latewood in conifer forests in the Monarch Butterfly Biosphere Reserve, Mexico. Tree Ring Res. 2018, 74, 63–75. [Google Scholar] [CrossRef]
- Aquino-Ramírez, M.; Velázquez-Martínez, A.; Villanueva-Díaz, J.; Hervert-Zamora, H.L.; Gómez-Guerrero, A.; Reyes-Hernández, V.J.; Ramírez-Valverde, G. Climatic response of Abies guatemalensis Rehder in Ixtlán de Juárez, Oaxaca, Mexico. Madera Bosques 2019, 25, e2521773. [Google Scholar]
- Villanueva-Díaz, J.; Martínez-Sifuentes, A.R.; Rubio-Camacho, E.A.; Chávez-Durán, A.; Benavides-Solorio, J.D.D.; Cerano-Paredes, J.; Estrada-Ávalos, J. Dendrohydrological reconstruction of the streamflow of the Coahuayana hydrological sub-basin, Jalisco State. Rev. Mex. Cienc. For. 2021, 12, 157–181. [Google Scholar]
- Sáenz-Ceja, J.E.; Pérez-Salicrup, D.R. Modification of fire regimes inferred from the age structure of two conifer species in a Tropical Montane Forest, Mexico. Forests 2020, 11, 1193. [Google Scholar] [CrossRef]
- Fick, S.E.; Hijmans, R.J. WorldClim 2: New 1-km spatial resolution climate surfaces for global land areas. Int. J. Climatol. 2017, 37, 4302–4315. [Google Scholar] [CrossRef]
- SMN. Servicio Meteorológico Nacional. 2018. Available online: https://smn.conagua.gob.mx/es/informacion-climatologica-por-estado?estado=jal (accessed on 5 April 2018).
- Guerrero-Hernández, R.; González-Gallegos, J.G.; Castro-Castro, A. Análisis florístico de un bosque de Abies y el bosque mesófilo de montaña adyacente en Juanacatlán, Mascota, Jalisco, México. Bot. Sci. 2014, 92, 541–562. [Google Scholar] [CrossRef]
- García, E. Modificaciones al Sistema de Clasificación Climática de Köppen, 5th ed.; Instituto de Geografía, Universidad Nacional Autónoma de México: Mexico City, Mexico, 2004. [Google Scholar]
- Holdridge, L. Determination of world plant formations from simple climatic data. Science 1947, 105, 367–368. [Google Scholar] [CrossRef]
- Rivas-Martínez, S.; Rivas-Sáenz, S.; Penas, A. Worldwide Bioclimatic Classification System. Glob. Geobot. 2011, 1, 1–634. [Google Scholar]
- Stokes, M.A.; Smiley, T.L. An Introduction to Tree-Ring Dating; University of Chicago: Chicago, IL, USA, 1968; p. 73. [Google Scholar]
- Holmes, R.L. Computer-assisted quality control in tree-ring dating and measurement. Tree Ring Bull. 1983, 43, 69–78. [Google Scholar]
- Speer, J.H. Fundamentals of Tree-Ring Research; University of Arizona Press: Tucson, AZ, USA, 2010; pp. 186–209. [Google Scholar]
- Cook, E.R. The decomposition of tree-ring series for environmental studies. Tree Ring Bull. 1987, 47, 37–59. [Google Scholar]
- Cook, E.R.; Peters, K. The smoothing spline: A new approach to standardizing forest interior tree-ring width series for dendroclimatic studies. Tree Ring Bull. 1981, 41, 45–53. [Google Scholar]
- Fritts, H.C.; Mosimann, J.E.; Bottorff, C.P. A revised computer program for standardizing tree ring series. Tree Ring Bull. 1969, 29, 15–20. [Google Scholar]
- Fritts, H.C. Tree Rings and Climate; Academic Press: New York, NY, USA, 1976; p. 567. [Google Scholar]
- Briffa, K.R.; Jones, P.D. Basic chronology statistics and assessment. In Methods of Dendrochronology: Applications in the Environmental Sciences; Cook, E.R., Kairiukstis, L.A., Eds.; Kluwer Academic Publishers: Dordrecht, The Netherlands, 1990; pp. 137–152. [Google Scholar]
- CLICOM. Base de Datos Climatológica Nacional. Available online: http://clicom-mex.cicese.mx/ (accessed on 21 November 2020).
- Biondi, F.; Waikul, K. DENDROCLIM2002: A C++ program for statistical calibration of climate signals in tree-ring chronologies. Comput. Geosci. 2004, 30, 303–311. [Google Scholar] [CrossRef]
- Anchukaitis, K.J.; Taylor, M.J.; Leland, C.; Pons, D.; Martin-Fernandez, J.; Castellanos, E. Tree-ring reconstructed dry season is rainfall in Guatemala. Clim. Dyn. 2015, 45, 1537–1546. [Google Scholar] [CrossRef]
- Meko, D.M.; Touchan, R.; Villanueva-Díaz, J.; Griffin, D.; Woodhouse, C.A.; Castro, C.L.; Carillo, C.; Leavitt, S.W. Sierra San Pedro Mártir, Baja California, cool-season Precipitation reconstructed from earlywood width of Abies concolor tree rings. J. Geophys. Res. Biogeosci. 2013, 118, 1660–1673. [Google Scholar] [CrossRef]
- Cook, E.R.; Shiyatov, S.; Mazepa, V. Estimation of the mean chronology. In Methods of Dendrochronology: Application in the Environmental Sciences; Cook, E.R., Kairiukstis, L.A., Eds.; Kluwer Academic Publishers: Dordrecht, The Netherlands, 1990; pp. 123–132. [Google Scholar]
- Brower, L.P.; Slayback, D.A.; Jaramillo-López, P.; Ramírez, I.; Oberhauser, K.S.; Williams, E.H.; Fink, L.S. Illegal logging of 10 hectares of forest in the Sierra Chincua monarch butterfly overwintering area in Mexico. Am. Entomol. 2016, 62, 92–97. [Google Scholar] [CrossRef][Green Version]
- Whipple, S.A.; Dix, R.L. Age structure and Succesional Dynamics of a Colorado Subalpine Forest. Am. Midl. Nat. 1979, 101, 142–158. [Google Scholar] [CrossRef]
- Klinka, K.; Wang, Q.; Carter, R.E.; Chen, H.Y.H. Height growth-elevation relationships in subalpine forests of interior British Columbia. For. Chron. 1996, 72, 193–198. [Google Scholar] [CrossRef]
- Papadopoulos, A. Tree-ring patterns and climate response of Mediterranean fir populations in Central Greece. Dendrochronologia 2016, 40, 17–25. [Google Scholar] [CrossRef]
- Biondi, F.; Hartsough, P.C.; Galindo-Estrada, I. Daily weather and tree growth at the tropical treeline of North America. Arct. Antarct. Alp. Res. 2005, 37, 16–24. [Google Scholar] [CrossRef]
- Cabral-Alemán, C.; Pompa-García, M.; Acosta-Hernández, A.C.; Zúñiga-Vásquez, J.M.; Camarero, J.J. Earlywood and latewood widths of Picea chihuahuana show contrasting sensitivity to seasonal climate. Forests 2017, 8, 173. [Google Scholar] [CrossRef]
- Gulev, S.K.; Thorne, P.W.; Ahn, J.; Dentener, F.J.; Domingues, C.M.; Gerland, S.; Gong, D.; Kaufman, D.S.; Nnamchi, H.C.; Quaas, J.; et al. Changing State of the Climate System. In Climate Change 2021: The Physical Science Basis; Contribution of Working Group I to the Sixth Assessment Report of the Intergovernmental Panel on Climate Change; Masson-Delmotte, V., Zhai, P., Eds.; Cambridge University Press: Cambridge, UK, 2021; pp. 287–422. [Google Scholar] [CrossRef]
- SEMARNAT-CONAGUA. Estaciones Climatológicas en Google Earth. Estación de Mascota. Estadística. 2022. Available online: https://smn.conagua.gob.mx/tools/RESOURCES/Estadistica/14096.pdf (accessed on 9 May 2022).
- Gaire, N.P.; Dhakal, Y.R.; Lekhak, H.C.; Bhuju, D.R.; Shah, S.K. Dynamics of Abies spectabilis in relation to climate change at the treeline ecotone in Langtang National Park. Nepal J. Sci. Technol. 2011, 12, 220–229. [Google Scholar] [CrossRef]
- Gazol, A.; Camarero, J.J.; Gutiérrez, E.; Popa, I.; Andreu-Hayles, L.; Motta, R.; Nola, P.; Ribas, M.; Sangüesa-Barreda, G.; Urbinati, C.; et al. Distinct effects of climate warming on populations of silver fir (Abies alba) across Europe. J. Biogeogr. 2015, 42, 1150–1162. [Google Scholar] [CrossRef]
- Jiang, Y.; Zhang, W.; Wang, M.; Kang, M.; Dong, M. Radial growth of two dominant montane conifer tree species in response to climate change in North-Central China. PLoS ONE 2014, 9, e112537. [Google Scholar] [CrossRef]
- Ruiz-Corral, J.A.; Medina-García, G.; Rodríguez-Moreno, V.M.; Sánchez-González, J.D.J.; Villavicencio-García, R.; Durán-Puga, N.; Grajeda-Grajeda, J.; García-Romero, G.E. Regionalization of climate change in Mexico. Rev. Mex. Cien. Agríc. 2016, 7, 2451–2464. [Google Scholar]
- Davidova-Belitskaya, V. Clima, cambio climático y sus perspectivas en Jalisco. Cap. II. In La Gestión Climática en Jalisco; Davidova-Belitskaya, V., Ed.; Editorial Universidad de Guadalajara: Guadalajara, Mexico, 2020; pp. 34–52. [Google Scholar]
- SEMARNAT. Protección Ambiental-Especies Nativas de México de Flora y Fauna Silvestres-Categorías de Riesgo y Especificaciones Para su Inclusión, Exclusión o Cambio—Lista de Especies en Riesgo, Secretaria de Medio Ambiente y Recursos Naturales; Norma Oficial Mexicana NOM-059-SEMARNAT-2010; Diario Oficial de la Federación: Mexico City, Mexico, 2010.





| Study Area | Sampling Location | Site Code | Elevation (m) | Latitude | Longitude | AMT (°C) | AP (mm) | Slope (°) |
|---|---|---|---|---|---|---|---|---|
| North aspect | Low-elevation | NL | 2100 | 20.62 | 104.72 | 14.2 | 1480 | 28 |
| Mid-elevation | NM | 2260 | 20.62 | 104.70 | 13.5 | 1472 | 25 | |
| High-elevation | NH | 2400 | 20.63 | 104.70 | 13.3 | 1473 | 9 | |
| South aspect | Low-elevation | SL | 1785 | 20.21 | 104.76 | 16.3 | 1463 | 24 |
| Mid-elevation | SM | 2070 | 20.22 | 104.74 | 15.4 | 1512 | 30 | |
| High-elevation | SH | 2280 | 20.17 | 104.70 | 14.4 | 1491 | 15 |
| Site Code | ||||||
|---|---|---|---|---|---|---|
| NL | NM | NH | SL | SM | SH | |
| Chronology span | 1890–2017 | 1880–2017 | 1929–2016 | 1866–2017 | 1908–2017 | 1939–2017 |
| Years | 127 | 138 | 88 | 152 | 110 | 79 |
| Number of cores (trees) | 33 (19) | 58 (23) | 43 (19) | 28 (13) | 35 (16) | 37 (19) |
| Median age of trees (years) | 80.1 | 84.3 | 52 | 62.4 | 54.6 | 62 |
| Mean sensitivity | 0.205 | 0.216 | 0.166 | 0.235 | 0.196 | 0.209 |
| Signal-to-noise ratio | 3.223 | 9.032 | 5.479 | 3.442 | 4.311 | 2.22 |
| Mean ring-width (mm) | 3.05 | 2.96 | 6.32 | 4.24 | 4.75 | 4.47 |
| Standard deviation | 0.309 | 0.265 | 0.203 | 0.309 | 0.352 | 0.248 |
| Common period analysis | 1946–2016 | 1948–2010 | 1985–2015 | 1977–2016 | 1982–2015 | 1963–2015 |
| First-order autocorrelation | 0.61 | 0.408 | 0.436 | 0.392 | 0.704 | 0.429 |
| RBAR | 0.392 | 0.403 | 0.318 | 0.334 | 0.288 | 0.318 |
| EPS | 0.763 | 0.9 | 0.846 | 0.775 | 0.812 | 0.689 |
Publisher’s Note: MDPI stays neutral with regard to jurisdictional claims in published maps and institutional affiliations. |
© 2022 by the authors. Licensee MDPI, Basel, Switzerland. This article is an open access article distributed under the terms and conditions of the Creative Commons Attribution (CC BY) license (https://creativecommons.org/licenses/by/4.0/).
Share and Cite
Guerrero-Hernández, R.; Muñiz-Castro, M.Á.; Villanueva-Díaz, J.; Hernández-Vera, G.; Vázquez-García, J.A.; Ruiz-Corral, J.A. Tree-Ring Patterns and Growth Response of Abies jaliscana to Climate along Elevational Gradients in the Mountains of Western Jalisco, Mexico. Forests 2022, 13, 981. https://doi.org/10.3390/f13070981
Guerrero-Hernández R, Muñiz-Castro MÁ, Villanueva-Díaz J, Hernández-Vera G, Vázquez-García JA, Ruiz-Corral JA. Tree-Ring Patterns and Growth Response of Abies jaliscana to Climate along Elevational Gradients in the Mountains of Western Jalisco, Mexico. Forests. 2022; 13(7):981. https://doi.org/10.3390/f13070981
Chicago/Turabian StyleGuerrero-Hernández, Ricardo, Miguel Ángel Muñiz-Castro, José Villanueva-Díaz, Gerardo Hernández-Vera, José Antonio Vázquez-García, and José Ariel Ruiz-Corral. 2022. "Tree-Ring Patterns and Growth Response of Abies jaliscana to Climate along Elevational Gradients in the Mountains of Western Jalisco, Mexico" Forests 13, no. 7: 981. https://doi.org/10.3390/f13070981
APA StyleGuerrero-Hernández, R., Muñiz-Castro, M. Á., Villanueva-Díaz, J., Hernández-Vera, G., Vázquez-García, J. A., & Ruiz-Corral, J. A. (2022). Tree-Ring Patterns and Growth Response of Abies jaliscana to Climate along Elevational Gradients in the Mountains of Western Jalisco, Mexico. Forests, 13(7), 981. https://doi.org/10.3390/f13070981

