Assessing Changes in Pulpwood Procurement Cost Relative to the Gradual Adoption of Longleaf Pine at the Landscape Level: A Case Study from Georgia, United States
Abstract
:1. Introduction
2. Materials and Methods
2.1. Study Area
2.2. Forest Management Scenarios
2.3. Economic Analysis
2.4. Model Assumptions
2.5. Simulation Model
2.6. Sensitivity Analysis
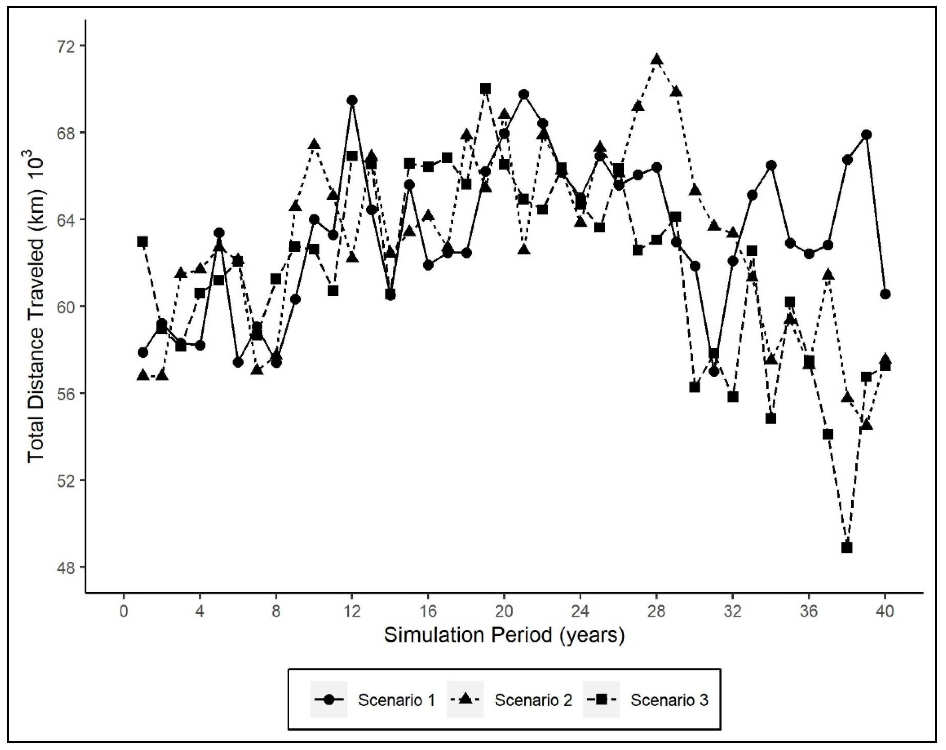
2.7. Results
3. Discussion
4. Conclusions
Author Contributions
Funding
Institutional Review Board Statement
Informed Consent Statement
Data Availability Statement
Conflicts of Interest
References
- Brandeis, T.J. Forests of Georgia, 2013. In Resource Update FS-38; US Department of Agriculture Forest Service Southern Research Station 4: Asheville, NC, USA, 2015; Volume 38, pp. 1–4. [Google Scholar]
- Stanturf, J.; Kellison, R.C.; Broerman, F.S.; Jones, S.B. Productivity of southern pine plantations: Where are we and how did we get here? J. For. 2003, 101, 26–31. [Google Scholar]
- Oswalt, M.C.; Cooper, J.A.; Brockway, D.G.; Brooks, H.W.; Walker, J.L.; Connor, K.F.; Oswalt, S.N.; Conner, R.C. History and current condition of longleaf pine in the southern United States. In General Technical Report-Southern Research Station, USDA Forest Service SRS-166; Southern Research Station: Asheville, NC, USA, 2012. [Google Scholar]
- Miles, P.D. Forest Inventory EVALIDator Web-Application Version 1.6. 0.03; US Department of Agriculture, Forest Service, Northern Research Station: St. Paul, MN, USA, 2019. Available online: https://apps.fs.usda.gov/fiadb-api/evalidator (accessed on 8 May 2019).
- Van Lear, H.D.; Carroll, W.D.; Kapeluck, P.R.; Johnson, R. History and restoration of the longleaf pine-grassland ecosystem: Implications for species at risk. For. Ecol. Manag. 2005, 211, 150–165. [Google Scholar] [CrossRef]
- Gilliam, F.S.; Platt, W.J. Conservation and restoration of the Pinus palustris ecosystem. Appl. Veg. Sci. 2006, 9, 7–10. [Google Scholar] [CrossRef] [Green Version]
- Outcalt, W.K.; Brockway, D.G. Structure and composition changes following restoration treatments of longleaf pine forests on the Gulf Coastal Plain of Alabama. For. Ecol. Manag. 2010, 259, 1615–1623. [Google Scholar] [CrossRef]
- Johnsen, H.K.; Butnor, J.R.; Kush, J.S.; Schmidtling, R.C.; Nelson, C.D. Hurricane Katrina winds damaged longleaf pine less than loblolly pine. South. J. Appl. For. 2009, 33, 178–181. [Google Scholar] [CrossRef] [Green Version]
- Susaeta, A.; Gong, P. Economic viability of longleaf pine management in the Southeastern United States. For. Policy Econ. 2009, 100, 14–23. [Google Scholar] [CrossRef]
- Upadhaya, S.; Dwivedi, P. The role and potential of blueberry in increasing deforestation in southern Georgia, United States. Agric. Syst. 2019, 173, 39–48. [Google Scholar] [CrossRef]
- Paudel, K.; Dwivedi, P. Economics of Southern Pines with and without Payments for Environmental Amenities in the US South. Front. For. Glob. Chang. 2021, 4, 35. [Google Scholar] [CrossRef]
- Hatchell, G.E.; Marx, D.H. Response of longleaf, sand, and loblolly pines to Pisolithus ectomycorrhizae and fertilizer on a sandhills site in South Carolina. For. Sci. 1987, 33, 301–315. [Google Scholar]
- Wahlgren, H.E.; Schumann, D.R.; Bendtsen, B.A.; Ethington, R.L.; Galligan, W.L. Properties of Major Southern Pines: Part I: Wood Density Survey. Part II: Structural Properties and Specific Gravity; Forest Products Lab: Madison, WI, USA, 1975. [Google Scholar]
- Landers, J.L.; Van Lear, D.H.; Boyer, W.D. The longleaf pine forests of the southeast: Requiem or renaissance? J. For. 1995, 93, 39–44. [Google Scholar]
- Palmgren, M.; Rönnqvist, M.; Rebrand, P. A solution approach for log truck scheduling based on composite pricing and branch and bound. Int. Trans. Oper. Res. 2003, 10, 433–447. [Google Scholar] [CrossRef]
- Abbas, D.; Handler, R.; Dykstra, D.; Hartsough, B.; Lautala, P. Cost analysis of forest biomass supply chain logistics. J. For. 2013, 111, 271–281. [Google Scholar] [CrossRef]
- Haridass, K.; Valenzuela, J.; Yucekaya, A.D.; McDonald, T. Scheduling a log transport system using simulated annealing. Inf. Sci. 2014, 264, 302–316. [Google Scholar] [CrossRef]
- Coelho, C.L.; Gagliardi, J.; Renaud, J.; Ruiz, A. Solving the vehicle routing problem with lunch break arising in the furniture delivery industry. J. Oper. Res. Soc. 2016, 67, 743–751. [Google Scholar] [CrossRef]
- Conrad, J.L., IV; Greene, W.D.; Hiesl, P. The evolution of logging businesses in Georgia 1987–2017 and South Carolina 2012–2017. For. Sci. 2018, 64, 671–681. [Google Scholar] [CrossRef]
- Möller, B.; Nielsen, P.S. Analysing transport costs of Danish forest wood chip resources by means of continuous cost surfaces. Biomass Bioenergy 2007, 31, 291–298. [Google Scholar] [CrossRef]
- Ince, J.P.; Kramp, A.D.; Skog, K.E.; Yoo, D.I.; Sample, V.A. Modeling future US forest sector market and trade impacts of expansion in wood energy consumption. J. For. Econ. 2011, 17, 142–156. [Google Scholar]
- Polyakov, M.; Teeter, L.D.; Jackson, J.D. Econometric analysis of Alabama’s pulpwood market. For. Prod. J. 2005, 55, 41–44. [Google Scholar]
- Aksoy, B.; Cullinan, H.; Webster, D.; Gue, K.; Sukumaran, S.; Eden, M.; Sammons, N. Woody biomass and mill waste utilization opportunities in Alabama: Transportation cost minimization, optimum facility location, economic feasibility, and impact. Environ. Prog. Sustain. Energy 2011, 30, 720–732. [Google Scholar] [CrossRef]
- Dwivedi, P.; Bailis, R.; Carter, D.R.; Sharma, A. A landscape based approach for assessing spatiotemporal impacts of forest biomass-based electricity generation on the age structure of surrounding forest plantations in the Southern United States. GCB Bioenergy 2012, 4, 342–357. [Google Scholar] [CrossRef]
- Sun, C.; Zhang, D. Timber harvesting margins in the Southern United States: A temporal and spatial analysis. For. Sci. 2006, 52, 273–280. [Google Scholar]
- Mogus, A.; Stennes, B.; van Kooten, G.C. Canada–US softwood lumber trade revisited: Substitution bias in the context of a spatial price equilibrium framework. For. Sci. 2006, 52, 411–421. [Google Scholar]
- Anderson, M.N.; Germain, R.H.; Bevilacqua, E. Geographic information system-based spatial analysis of sawmill wood procurement. J. For. 2011, 109, 34–42. [Google Scholar]
- Susaeta, A.; Gong, P.; Adams, D. Implications of the reservation price strategy on the optimal harvest decision and production of nontimber goods in an even-aged forest stand. Can. J. For. Res. 2020, 50, 287–296. [Google Scholar] [CrossRef]
- Forman, R.T.; Godron, M. Patches and structural components for a landscape ecology. BioScience 1981, 31, 733–740. [Google Scholar]
- TMS. TimberMart-South: Southwide Average Prices. Athens, GA. Available online: http://www.timbermart-south.com (accessed on 17 April 2019).
- USDA Natural Resources Conservation Service. NRCS Regional Conservation Partnership Program—Longleaf Pine Range. USDA Natural Resources Conservation Service. 2018. Available online: https://data.nal.usda.gov/dataset/nrcs-regional-conservation-partnership-program-longleaf-pine-range (accessed on 25 May 2019).
- Homer, C.; Dewitz, J.; Jin, S.; Xian, G.; Costello, C.; Danielson, P.; Gass, L.; Funk, M.; Wickham, J.; Stehman, S.; et al. Conterminous United States land cover change patterns 2001–2016 from the 2016 National Land Cover Database. ISPRS J. Photogramm. Remote Sens. 2020, 162, 184–199. [Google Scholar] [CrossRef]
- Chalker-Scott, L. Impact of mulches on landscape plants and the environment—A review. J. Environ. Hortic. 2007, 25, 239–249. [Google Scholar] [CrossRef]
- Makus, D.J.; Tiwari, S.C.; Pearson, H.A.; Haywood, J.D.; Tiarks, A.E. Okra production with pine straw mulch. Agrofor. Syst. 1994, 27, 121–127. [Google Scholar] [CrossRef]
- Dickens, E.D.; Morris, L.; Clabo, D.; Ogden, L. Pine straw raking and growth of southern pine: Review and recommendations. Forests 2020, 11, 799. [Google Scholar] [CrossRef]
- Dickens, E.D.; David, M.J.; Bargeron, C.T.; Morris, L.A.; Ogden, L.A.; McElvany, B.C. A Summary of pine straw yields and economic benefits in loblolly, longleaf and slash pine stands. Agrofor. Syst. 2012, 86, 315–321. [Google Scholar] [CrossRef]
- Dickens, E.D.; John, S.; Moorhead, D.J. Economics of Growing Loblolly, Longleaf, and Slash Pine to Various Rotation Ages with Three Stumpage Price Sets, Four Establishment Cost Sets, Four Discount Rates, with and without Pine Straw—Soil Expectation Value; University of Georgia Warnell School of Forestry and Natural Resources: Athens, GA, USA, 2014. [Google Scholar]
- Maggard, A.; Barlow, B. Costs & trends of southern forestry practices, 2016. In Publication FOR-2051, Alabama Cooperative Extension System; Auburn University: Auburn, AL, USA, 2018. [Google Scholar]
- Gonzalez-Benecke, A.C.; Samuelson, L.J.; Martin, T.A.; Cropper, W.P., Jr.; Johnsen, K.H.; Stokes, T.A.; Butnor, J.R.; Anderson, P.H. Modeling the effects of forest management on in-situ and ex-situ longleaf pine forest carbon stocks. For. Ecol. Manag. 2015, 355, 24–36. [Google Scholar] [CrossRef] [Green Version]
- Haywood, J.D. Influence of herbicides and felling, fertilization, and prescribed fire on longleaf pine growth and understory vegetation through ten growing seasons and the outcome of an ensuing wildfire. New For. 2011, 41, 55–73. [Google Scholar] [CrossRef]
- Binkley, D. Ten-year decomposition in a loblolly pine forest. Can. J. For. Res. 2002, 32, 2231–2235. [Google Scholar] [CrossRef]
- Knapp, B.O.; Wang, G.G.; Hu, H.; Walker, J.L.; Tennant, C. Restoring longleaf pine (Pinus palustris Mill.) in loblolly pine (Pinus taeda L.) stands: Effects of restoration treatments on natural loblolly pine regeneration. For. Ecol. Manag. 2011, 262, 1157–1167. [Google Scholar] [CrossRef]
- Matusick, G.; Hudson, S.J.; Garrett, C.Z.; Samuelson, L.J.; Kent, J.D.; Addington, R.N.; Parker, J.M. Frequently burned loblolly–shortleaf pine forest in the southeastern United States lacks the stability of longleaf pine forest. Ecosphere 2020, 11, e03055. [Google Scholar] [CrossRef]
- Gonzalez-Benecke, A.C.; Jokela, E.J.; Martin, T.A. Modeling the effects of stand development, site quality, and silviculture on leaf area index, litterfall, and forest floor accumulations in loblolly and slash pine plantations. For. Sci. 2012, 58, 457–471. [Google Scholar] [CrossRef]
- Gonzalez-Benecke, A.C.; Gezan, S.A.; Martin, T.A.; Cropper, W.P., Jr.; Samuelson, L.J.; Leduc, D.J. Individual tree diameter, height, and volume functions for longleaf pine. For. Sci. 2013, 60, 43–56. [Google Scholar] [CrossRef] [Green Version]
- Faustmann, M. On the Determination of the Value which Forest Land and Immature Stands Possess for Forestry; Gane, M., Translator; Oxford Institute: Oxford, UK, 1849; Paper 42; p. 1968. [Google Scholar]
- Conrad, J.L., IV. Costs and challenges of log truck transportation in Georgia, USA. Forests 2018, 9, 650. [Google Scholar] [CrossRef] [Green Version]
- Harrington, T.B. Silvicultural Approaches for Thinning Southern Pines: Method, Intensity, and Timing; Georgia Forestry Commission: Macon, GA, USA, 2001. [Google Scholar]
- ESRI. ArcMap 10.8. 2020. Available online: https//desktop.arcgis.com (accessed on 4 July 2022).
- Wear, D.N.; Carter, D.R.; Prestemon, J. The US South’s Timber Sector in 2005: A Prospective Analysis of Recent Change. Gen. Tech. Rep. SRS-99; US Department of Agriculture, Forest Service, Southern Research Station: Asheville, NC, USA, 2007; Volume 29, p. 99. [Google Scholar]
- Keramati, A.; Lu, P.; Sobhani, A.; Haji Esmaeili, S.A. Impact of Forest Road Maintenance Policies on Log Transportation Cost, Routing, and Carbon-Emission Trade-Offs: Oregon Case Study. J. Transp. Eng. Part A Syst. 2020, 146, 04020028. [Google Scholar] [CrossRef]
- Harris, A.B.; Singleton, C.N.; Straka, T.J. Land Value Differentials Resulting from Variability between the Sales Comparison and Income Approaches in Timberland Valuation. Apprais. J. 2018, 86, 192–205. [Google Scholar]
- Patterson, W.T.; Knapp, P.A. Observations on a rare old-growth montane longleaf pine forest in central North Carolina, USA. Nat. Areas J. 2016, 36, 153–161. [Google Scholar] [CrossRef]
- Spies, T.A. Ecological concepts and diversity of old-growth forests. J. For. 2004, 102, 14–20. [Google Scholar]
- Schroeder, J.G.; Taras, M.A.; Clark, A. Stem and Primary Product Weights for Longleaf Pine Sawtimber Trees; Forest Service, US Department of Agriculture, Southeastern Forest Experiment Station: Asheville, NC, USA, 1975; Volume 139. [Google Scholar]
- Regmi, A.; Grebner, D.L.; Willis, J.L.; Grala, R.K. Sawmill Willingness to Pay Price Premiums for Higher Quality Pine Sawtimber in the Southeastern United States. Forests 2022, 13, 662. [Google Scholar] [CrossRef]
- Paudel, K.; Dwivedi, P.; Dickens, D. Factors affecting the spatial density of longleaf pine plantations under the Conservation Reserve Program in Georgia, United States. Trees For. People 2021, 3, 100045. [Google Scholar] [CrossRef]











| Scenario # | Replacement by Longleaf | Replacement | Pine Straw | Periodic Burn |
|---|---|---|---|---|
| S1 | No | 0% | No | No |
| S2 | Yes | 10% | Yes | Yes |
| S3 | Yes | 10% | Yes | No |
| Treatment/Income Source | Year | Amount |
|---|---|---|
| Pulpwood Price | USD 9.9/t | |
| Sawtimber Price | USD 21.4/t | |
| Chip-n-Saw Price | USD 15.7/t | |
| Cost Sources | ||
| Mechanical site preparation | Year 0 | USD 255.5/ha |
| Planting | Year 1 | USD 214.4/ha |
| Management Cost | All years | USD 12.3/ha/year |
| Tax | All years | USD 12.35/ha/year |
| Loblolly Pine | ||
| Chemical site preparation | Year 0 | USD 191.9/ha |
| Seedlings | USD 149.5/ha | |
| Herbaceous weed control | Year 1 | USD 141.1/ha |
| Thinning | Year 13 | USD 9.9/t |
| Thinning intensity | 45% | |
| Fertilize (140 DAP + 252 Urea) | Years 2 and 13 | USD 0.4/kg |
| Longleaf Pine (Scenario 2) | ||
| Site prep burn | Year 0 | USD 61.7/ha |
| Seedlings | USD 370/ha | |
| Weed control | Year 1 | USD 141.1/ha |
| First prescribed burn | Year 9 | USD 34.5/ha |
| Burning frequency | Every three years, between 9th and 23rd years | USD 34.5/ha |
| Pine straw price | Year 8–Year 23 (no pine straw collection in the years when the site was burned) | USD 142/t |
| Longleaf Pine (Scenario 3) | ||
| Site prep burn | Year 0 | USD 61.7/ha |
| Seedlings | USD 375.6/ha | |
| Weed control | Year 1 | USD 141/ha |
| First prescribed burn | Year 9 | USD 34.54/ha |
| Pine straw price | Years 8–Year 23 | USD 142 /t |
| Species | LEV (USD /ha) | Rotation Age | Pulpwood Yields at Rotation Age (t/ha) | Thinning Age (years) | Pulpwood Yield at Thinning Age (t/ha) |
|---|---|---|---|---|---|
| Loblolly Pine (S1, S2 and S3) | 3079 | 22 | 53 | 13 | 69 |
| Longleaf Pine (S2) | 2228 | 29 | 147 | - | |
| Longleaf Pine (S3) | 2799 | 23 | 97 | - |
| Change (%) | ||||
|---|---|---|---|---|
| Factors | Scenarios | +40 | 0 | −40 |
| Change in Transportation Cost | S1 | 402.4 (39.6) | 288.2 | 172.2 (−40.1) |
| S2 | 400.6 (39.3) | 287.5 | 170.6 (−40.6) | |
| S3 | 397.0 (40.4) | 282.9 | 169.0 (−40.0) | |
| Change in Real Discount Rate | S1 | 279.5 (−3.3) | 288.2 | 293.6 (2.4) |
| S2 | 278.8 (−3.3) | 287.5 | 296.1 (3.2) | |
| S3 | 277.2 (−2.0) | 282.9 | 285.7 (1.6) | |
Publisher’s Note: MDPI stays neutral with regard to jurisdictional claims in published maps and institutional affiliations. |
© 2022 by the authors. Licensee MDPI, Basel, Switzerland. This article is an open access article distributed under the terms and conditions of the Creative Commons Attribution (CC BY) license (https://creativecommons.org/licenses/by/4.0/).
Share and Cite
Paudel, K.; Dwivedi, P. Assessing Changes in Pulpwood Procurement Cost Relative to the Gradual Adoption of Longleaf Pine at the Landscape Level: A Case Study from Georgia, United States. Forests 2022, 13, 1112. https://doi.org/10.3390/f13071112
Paudel K, Dwivedi P. Assessing Changes in Pulpwood Procurement Cost Relative to the Gradual Adoption of Longleaf Pine at the Landscape Level: A Case Study from Georgia, United States. Forests. 2022; 13(7):1112. https://doi.org/10.3390/f13071112
Chicago/Turabian StylePaudel, Karuna, and Puneet Dwivedi. 2022. "Assessing Changes in Pulpwood Procurement Cost Relative to the Gradual Adoption of Longleaf Pine at the Landscape Level: A Case Study from Georgia, United States" Forests 13, no. 7: 1112. https://doi.org/10.3390/f13071112
APA StylePaudel, K., & Dwivedi, P. (2022). Assessing Changes in Pulpwood Procurement Cost Relative to the Gradual Adoption of Longleaf Pine at the Landscape Level: A Case Study from Georgia, United States. Forests, 13(7), 1112. https://doi.org/10.3390/f13071112
