A Numerical Study of the Effect of Vegetative Windbreak on Wind Erosion over Complex Terrain
Abstract
1. Introduction
2. Numerical Methods and Their Applications
3. Results and Discussion
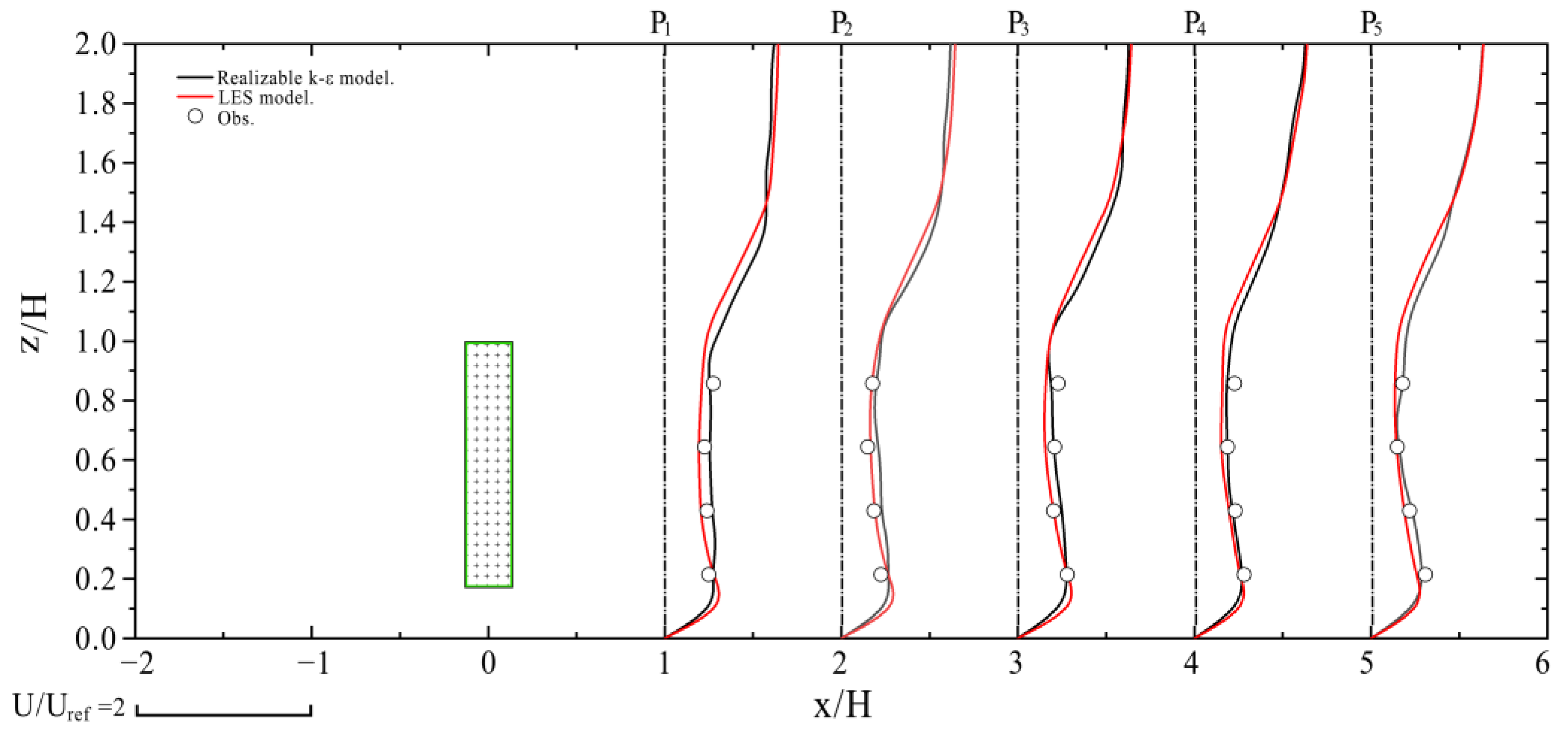
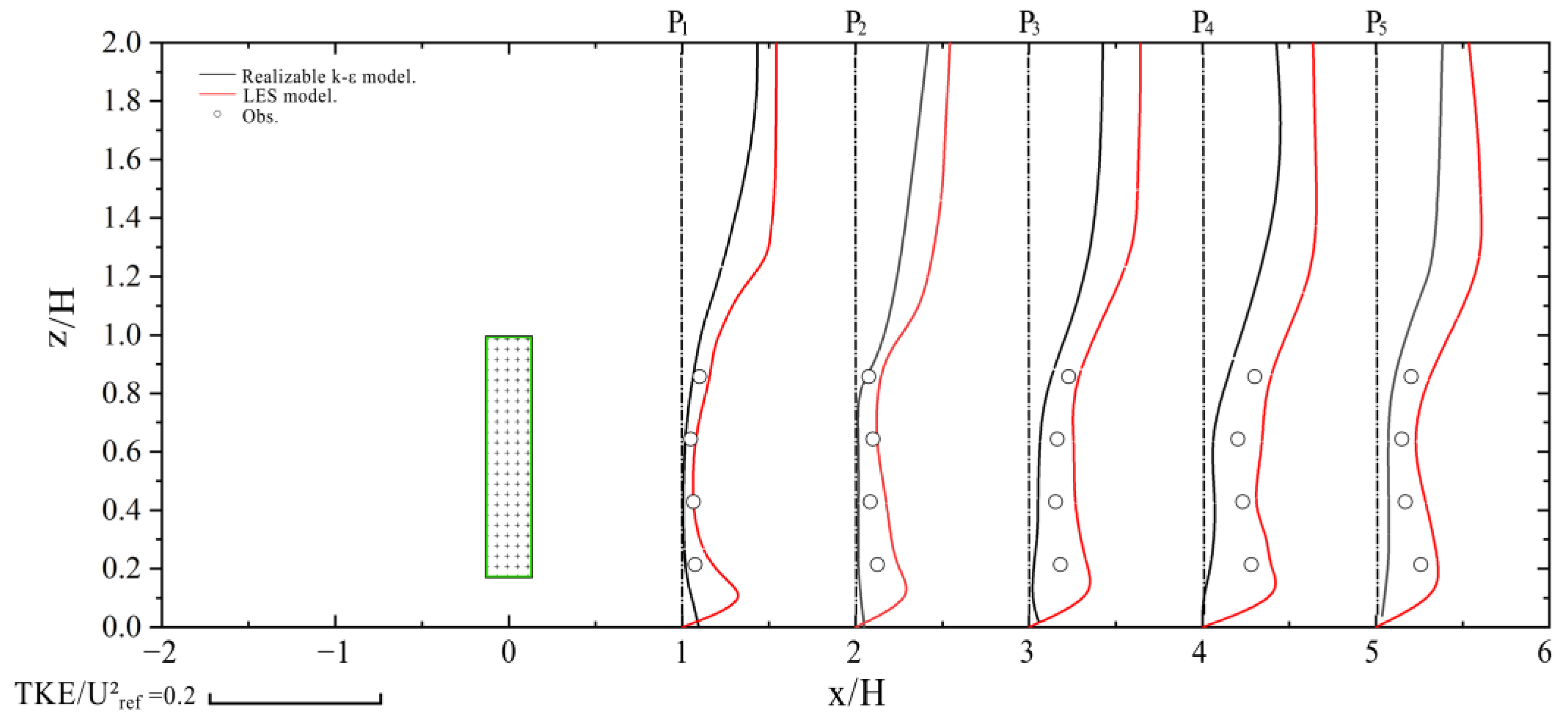
3.1. Validation of Numerical Method
3.2. Influence of Canopy Internal Structural Parameter
3.3. Influence of Canopy External Structural Parameter
3.4. Flow Fields around Shelterbelt over a Real Complex Terrain
3.5. Relationship between Local Wind Conditions and Wind Erosion
4. Conclusions
Author Contributions
Funding
Institutional Review Board Statement
Informed Consent Statement
Data Availability Statement
Acknowledgments
Conflicts of Interest
Appendix A
Appendix A.1. Turbulence Model
Appendix A.2. Modeling of Vegetation Canopy
Appendix B

| Maximum Element Size (m) | Elements | Nodes | |||||
|---|---|---|---|---|---|---|---|
| Zone 1 | Zone2 | Realizable k–ε | LES | Realizable k–ε | LES | ||
| Realizable k–ε | LES | ||||||
| Coarse | 0.4 | 10 | 5 | 482,781 | 880,374 | 86,825 | 156,070 |
| Medium | 0.2 | 5 | 2 | 2,057,629 | 5,076,704 | 351,937 | 884,857 |
| Fine | 0.1 | 2.5 | 1 | 10,035,004 | 33,778,305 | 1,690,923 | 5,742,383 |

References
- Heisler, G.M.; Dewalle, D.R. Effects of Windbreak Structure on Wind Flow. Agric. Ecosyst. Environ. 1988, 22, 41–69. [Google Scholar] [CrossRef]
- Santiago, J.L.; Martín, F.; Cuerva, A.; Bezdenejnykh, N.; Sanz-Andrés, A. Experimental and Numerical Study of Wind Flow behind Windbreaks. Atmos. Environ. 2007, 41, 6406–6420. [Google Scholar] [CrossRef]
- Buccolieri, R.; Santiago, J.-L.; Rivas, E.; Sanchez, B. Review on Urban Tree Modelling in CFD Simulations: Aerodynamic, Deposition and Thermal Effects. Urban For. Urban Green. 2018, 31, 212–220. [Google Scholar] [CrossRef]
- Chen, G.; Wang, W.; Sun, C.; Li, J. 3D Numerical Simulation of Wind Flow behind a New Porous Fence. Powder Technol. 2012, 230, 118–126. [Google Scholar] [CrossRef]
- Shang, R.; Yan, Z.; Wang, X.; Zhang, Z.; Gao, W. Research on the Wind Environment of the Landscape Forest Belts in Front of Dunhuang Mogao Grottoes. GAK 2016, 69, 752–760. [Google Scholar]
- Shang, R.; Yan, Z.; Wang, X.; Zhang, Z.; Wang, J.; Fan, X.; Gao, W. Research on the Micro-Climate Environment of Mogao Grottoes. Dunhuang Res. 2016, 35, 117–123. [Google Scholar]
- Cornelis, W.M.; Gabriels, D.; Lauwaerts, T. Simulation of Windbreaks for Wind-Erosion Control in a Wind Tunnel. 1997. Available online: http://www.researchgate.net/publication/268052845 (accessed on 1 April 2022).
- Wang, H.; Takle, E.S. Momentum Budget and Shelter Mechanism of Boundary-Layer Flow near a Shelterbelt. Bound.-Layer Meteorol. 1997, 82, 417–437. [Google Scholar] [CrossRef]
- Wilson, J.D. A Second-Order Closure Model for Flow through Vegetation. Bound.-Layer Meteorol. 1988, 42, 371–392. [Google Scholar] [CrossRef]
- Krayenhoff, E.S.; Santiago, J.-L.; Martilli, A.; Christen, A.; Oke, T.R. Parametrization of Drag and Turbulence for Urban Neighbourhoods with Trees. Bound.-Layer Meteorol. 2015, 156, 157–189. [Google Scholar] [CrossRef]
- Santiago, J.-L.; Rivas, E.; Sanchez, B.; Buccolieri, R.; Martin, F. The Impact of Planting Trees on NOx Concentrations: The Case of the Plaza de La Cruz Neighborhood in Pamplona (Spain). Atmosphere 2017, 8, 131. [Google Scholar] [CrossRef]
- Wang, H.; Takle, E.S. On Three-Dimensionality of Shelterbelt Structure and Its Influences on Shelter Effects. Bound.-Layer Meteorol. 1996, 79, 83–105. [Google Scholar] [CrossRef]
- Fang, F.-M.; Chang, J.-C.; Li, Y.-C.; Chung, C.-Y.; Chan, M.-H. Shelter Effect of Pedestrian Wind behind Row Trees in a Line Arrangement. Forests 2022, 13, 392. [Google Scholar] [CrossRef]
- Santiago, J.-L.; Rivas, E. Advances on the Influence of Vegetation and Forest on Urban Air Quality and Thermal Comfort. Forests 2021, 12, 1133. [Google Scholar] [CrossRef]
- Finnigan, J.J.; Belcher, S.E. Flow over a Hill Covered with a Plant Canopy. Q. J. R. Meteorol. Soc. 2004, 130, 1–29. [Google Scholar] [CrossRef]
- Katul, G.G.; Finnigan, J.J.; Poggi, D.; Leuning, R.; Belcher, S.E. The Influence of Hilly Terrain on Canopy-Atmosphere Carbon Dioxide Exchange. Bound.-Layer Meteorol. 2006, 118, 189–216. [Google Scholar] [CrossRef]
- Poggi, D.; Katul, G.G. Turbulent Flows on Forested Hilly Terrain: The Recirculation Region. Q. J. R. Meteorol. Soc. 2007, 133, 1027–1039. [Google Scholar] [CrossRef]
- Dupont, S.; Brunet, Y.; Finnigan, J.J. Large-Eddy Simulation of Turbulent Flow over a Forested Hill: Validation and Coherent Structure Identification. Q. J. R. Meteorol. Soc. 2008, 134, 1911–1929. [Google Scholar] [CrossRef]
- Jessie, P.B.; In-Bok, L.; Hyun-Seob, H.; Myeong-Ho, S. Numerical Simulation Study of a Tree Windbreak. Biosyst. Eng. 2012, 111, 40–48. [Google Scholar] [CrossRef]
- Miri, A.; Dragovich, D.; Dong, Z. Wind Flow and Sediment Flux Profiles for Vegetated Surfaces in a Wind Tunnel and Field-Scale Windbreak. CATENA 2021, 196, 104836. [Google Scholar] [CrossRef]
- Judd, M.J.; Raupach, M.R.; Finnigan, J.J. A Wind Tunnel Study of Turbulent Flow around Single and Multiple Windbreaks, Part I: Velocity Fields. Bound.-Layer Meteorol. 1996, 80, 127–165. [Google Scholar] [CrossRef]
- Středová, H.; Podhrázská, J.; Litschmann, T.; Středa, T.; Rožnovský, J. Aerodynamic Parameters of Windbreak Based on Its Optical Porosity. Contrib. Geophys. Geod. 2012, 42, 213–226. [Google Scholar] [CrossRef]
- He, Y.; Jones, P.J.; Rayment, M. A Simple Parameterisation of Windbreak Effects on Wind Speed Reduction and Resulting Thermal Benefits to Sheep.Pdf. Agric. Meteorol. 2017, 239, 96–107. [Google Scholar] [CrossRef]
- Schwartz, R.C.; Fryrear, D.W.; Harris, B.L.; Bilbro, J.D.; Juo, A.S.R. Mean Flow and Shear Stress Distributions as Influenced by Vegetative Windbreak Structure. Agric. Meteorol. 1995, 75, 1–22. [Google Scholar] [CrossRef]
- Desmond, C.J.; Watson, S.J.; Hancock, P.E. Modelling the Wind Energy Resource in Complex Terrain and Atmospheres. Numerical Simulation and Wind Tunnel Investigation of Non-Neutral Forest Canopy Flow. J. Wind Eng. Ind. Aerod. 2017, 166, 48–60. [Google Scholar] [CrossRef]
- Hong, S.-W.; Lee, I.-B.; Seo, I.-H. Modelling and Predicting Wind Velocity Patterns for Windbreak Fence Design. J. Wind Eng. Ind. Aerod. 2015, 142, 53–64. [Google Scholar] [CrossRef]
- Desmond, C.J.; Watson, S.J.; Aubrun, S.; Ávila, S.; Hancock, P.; Sayer, A. A Study on the Inclusion of Forest Canopy Morphology Data in Numerical Simulations for the Purpose of Wind Resource Assessment. J. Wind Eng. Ind. Aerod. 2014, 126, 24–37. [Google Scholar] [CrossRef]
- Gromke, C.; Buccolieri, R.; Di Sabatino, S.; Ruck, B. Dispersion Study in a Street Canyon with Tree Planting by Means of Wind Tunnel and Numerical Investigations—Evaluation of CFD Data with Experimental Data. Atmos. Environ. 2008, 42, 8640–8650. [Google Scholar] [CrossRef]
- Santiago, J.-L.; Buccolieri, R.; Rivas, E.; Calvete-Sogo, H.; Sanchez, B.; Martilli, A.; Alonso, R.; Elustondo, D.; Santamaría, J.M.; Martin, F. CFD Modelling of Vegetation Barrier Effects on the Reduction of Traffic-Related Pollutant Concentration in an Avenue of Pamplona, Spain. Sustain. Cities Soc. 2019, 48, 101559. [Google Scholar] [CrossRef]
- Buccolieri, R.; Santiago, J.L.; Martilli, A. CFD Modelling: The Most Useful Tool for Developing Mesoscale Urban Canopy Parameterizations. Build. Simul. 2021, 14, 407–419. [Google Scholar] [CrossRef]
- Mochida, A.; Tabata, Y.; Iwata, T.; Yoshino, H. Examining Tree Canopy Models for CFD Prediction of Wind Environment at Pedestrian Level. J. Wind Eng. Ind. Aerod. 2008, 96, 1667–1677. [Google Scholar] [CrossRef]
- Blocken, B. 50 Years of Computational Wind Engineering: Past, Present and Future. J. Wind Eng. Ind. Aerod. 2014, 129, 69–102. [Google Scholar] [CrossRef]
- Blocken, B. Computational Fluid Dynamics for Urban Physics: Importance, Scales, Possibilities, Limitations and Ten Tips and Tricks towards Accurate and Reliable Simulations. Build. Environ. 2015, 91, 219–245. [Google Scholar] [CrossRef]
- Blocken, B.; vander Hout, A.; Dekker, J.; Weiler, O. CFD Simulation of Wind Flow over Natural Complex Terrain: Case Study with Validation by Field Measurements for Ria de Ferrol, Galicia, Spain. J. Wind Eng. Ind. Aerod. 2015, 147, 43–57. [Google Scholar] [CrossRef]
- Li, J.; Liu, J.; Srebric, J.; Hu, Y. The Effect of Tree-Planting Patterns on the Microclimate within a Courtyard.Pdf. Sustainability. 2019, 11, 1665. [Google Scholar] [CrossRef]
- Taleb, H.M.; Kayed, M. Applying Porous Trees as a Windbreak to Lower Desert Dust Concentration: Case Study of an Urban Community in Dubai. Urban For. Urban Green. 2021, 57, 126915. [Google Scholar] [CrossRef]
- Shih, T.-H.; Liou, W.W.; Shabbir, A.; Yang, Z.; Zhu, J. A New K-ϵ Eddy Viscosity Model for High Reynolds Number Turbulent Flows. Comput. Fluids. 1995, 24, 227–238. [Google Scholar] [CrossRef]
- Qi, Y.; Ishihara, T. Numerical Study of Turbulent Flow Fields around of a Row of Trees and an Isolated Building by Using Modified K–ε Model and LES Model. J. Wind Eng. Ind. Aerod. 2018, 177, 293–305. [Google Scholar] [CrossRef]
- Bailey, B.N.; Stoll, R. Turbulence in Sparse, Organized Vegetative Canopies: A Large-Eddy Simulation Study. Bound.-Layer Meteorol. 2013, 147, 369–400. [Google Scholar] [CrossRef]
- Lopes, A.S.; Palma, J.M.L.M.; Lopes, J.V. Improving a Two-Equation Turbulence Model for Canopy Flows Using Large-Eddy Simulation. Bound.-Layer Meteorol. 2013, 149, 231–257. [Google Scholar] [CrossRef]
- Kurotani, Y.; Kiyota, N.; Kobayashi, S. Windbreak Effect of Tsuijimatsu in Izumo:Part. 2. Proc. Archit. Inst. Jpn. 2001, 745–746. [Google Scholar]
- Guan, D.; Zhang, Y.; Zhua, T. A Wind-Tunnel Study of Windbreak Drag.Pdf. Agric. Meteorol. 2003, 118, 75–84. [Google Scholar] [CrossRef]
- Wilson, J.D. Numerical Studies of Flow through a Windbreak. J. Wind Eng. Ind. Aerod. 1985, 21, 119–154. [Google Scholar] [CrossRef]
- Franke, J.; Hellsten, A.; Schlunzen, K.H.; Carissimo, B. The COST 732 Best Practice Guideline for CFD Simulation of Flows in the Urban Environment: A Summary. Int. J. Environ. Pollut. 2011, 44, 419–427. [Google Scholar] [CrossRef]
- Tominaga, Y.; Mochida, A.; Yoshie, R.; Kataoka, H.; Nozu, T.; Yoshikawa, M.; Shirasawa, T. AIJ Guidelines for Practical Applications of CFD to Pedestrian Wind Environment around Buildings. J. Wind Eng. Ind. Aerod. 2008, 96, 1749–1761. [Google Scholar] [CrossRef]
- Li, C.; Zhou, S.; Xiao, Y.; Huang, Q.; Li, L.; Chan, P.W. Effects of Inflow Conditions on Mountainous/Urban Wind Environment Simulation. Build. Simul. 2017, 10, 573–588. [Google Scholar] [CrossRef]
- Yamada, T.; Koike, K. Downscaling Mesoscale Meteorological Models for Computational Wind Engineering Applications. J. Wind Eng. Ind. Aerod. 2011, 99, 199–216. [Google Scholar] [CrossRef]
- Woodruff, N.P.; Siddoway, F.H. A Wind Erosion Equation. Soil Sci. Soc. Am. J. 1965, 29, 602–608. [Google Scholar] [CrossRef]
- FAO. A Provisional Methodology for Soil Degradation Assessment; FAO: Rome, Italy, 1979. [Google Scholar]
- Sanz, C. A Note on k–ε Modelling of Vegetation Canopy Air-Flows. Bound.-Layer Meteorol. 2003, 108, 191–197. [Google Scholar] [CrossRef]
- Sogachev, A.; Panferov, O. Modification of Two-Equation Models to Account for Plant Drag. Bound.-Layer Meteorol. 2006, 121, 229–266. [Google Scholar] [CrossRef]
- Blocken, B.; Stathopoulos, T.; Carmeliet, J. CFD Simulation of the Atmospheric Boundary Layer: Wall Function Problems. Atmos. Environ. 2007, 41, 238–252. [Google Scholar] [CrossRef]
- Richards, P. Appropriate Boundary Conditions for Computational Wind Engineering Models Using the K–ε Turbulence Model. J. Wind Eng. Ind. Aerod. 1993, 46, 145–153. [Google Scholar] [CrossRef]
- Enoki, K.; Ishihara, T. A generalized canopy model and its application to the prediction of urban wind climate. Agric. Ecosyst. Environ. 2012, 68, 28–47. [Google Scholar] [CrossRef][Green Version]






















| Case No | 1 | 2 | 3 | 4 | 5 | 6 |
|---|---|---|---|---|---|---|
| Width (m) | 0.1 H | 0.3 H | 0.5 H | 1 H | 2 H | 3 H |
| (m−1) | 27.4 | 9.14 | 5.49 | 2.74 | 1.37 | 0.91 |
Publisher’s Note: MDPI stays neutral with regard to jurisdictional claims in published maps and institutional affiliations. |
© 2022 by the authors. Licensee MDPI, Basel, Switzerland. This article is an open access article distributed under the terms and conditions of the Creative Commons Attribution (CC BY) license (https://creativecommons.org/licenses/by/4.0/).
Share and Cite
Li, H.; Yan, Z.; Zhang, Z.; Lang, J.; Wang, X. A Numerical Study of the Effect of Vegetative Windbreak on Wind Erosion over Complex Terrain. Forests 2022, 13, 1072. https://doi.org/10.3390/f13071072
Li H, Yan Z, Zhang Z, Lang J, Wang X. A Numerical Study of the Effect of Vegetative Windbreak on Wind Erosion over Complex Terrain. Forests. 2022; 13(7):1072. https://doi.org/10.3390/f13071072
Chicago/Turabian StyleLi, Hao, Zengfeng Yan, Zhengmo Zhang, Jiachen Lang, and Xudong Wang. 2022. "A Numerical Study of the Effect of Vegetative Windbreak on Wind Erosion over Complex Terrain" Forests 13, no. 7: 1072. https://doi.org/10.3390/f13071072
APA StyleLi, H., Yan, Z., Zhang, Z., Lang, J., & Wang, X. (2022). A Numerical Study of the Effect of Vegetative Windbreak on Wind Erosion over Complex Terrain. Forests, 13(7), 1072. https://doi.org/10.3390/f13071072

