Next Article in Journal
Species Diversity, Biomass and Carbon Stock Assessment of Kanhlyashay Natural Mangrove Forest
Next Article in Special Issue
Distribution of CO2 Concentration and Its Spatial Influencing Indices in Urban Park Green Space
Previous Article in Journal
The Diversity of Melia azedarach L. from China Based on Transcriptome-Developed SSR Marker
Previous Article in Special Issue
Construction and Proactive Management Led to Tree Removals on an Urban College Campus
 
 
Font Type:
Arial Georgia Verdana
Font Size:
Aa Aa Aa
Line Spacing:
Column Width:
Background:
Article

Water Availability Determines Tree Growth and Physiological Response to Biotic and Abiotic Stress in a Temperate North American Urban Forest

1
Entomology and Nematology Department, University of Florida, P.O. Box 110620, Gainesville, FL 32611, USA
2
Department of Entomology and Plant Pathology, North Carolina State University, Campus Box 7613, Raleigh, NC 27695, USA
*
Author to whom correspondence should be addressed.
Forests 2022, 13(7), 1012; https://doi.org/10.3390/f13071012
Submission received: 30 May 2022 / Revised: 23 June 2022 / Accepted: 24 June 2022 / Published: 28 June 2022
(This article belongs to the Special Issue Designing Future Urban Forests)

Abstract

:
Warmer temperatures and frequent drought directly affect urban tree health. Both abiotic conditions also affect tree health via increased density of some insect pests. Warming is predicted to benefit urban trees by increasing carbon sequestration and allocation to biomass. However, increased drought and pests are rarely considered despite often co-occurring with heat. To determine the combined effects of these abiotic and biotic factors, we manipulated water availability for established urban red maple trees across a gradient of warming and pest density and measured leaf-level processes and tree growth over two years. We find that water availability is a major determinant of tree growth, physiological processes, and resilience to urban stress factors. Maples performed better with more water, which also made them resistant to effects of temperature and pest density. However, when drought became too severe, leaf-level processes declined with warming. Tree basal area growth was unaffected after two years, but stem elongation increased with increasing water, temperature, and pest density. We discuss potential mechanisms driving these responses and the implications in the context of urban forest management. Urban forest designs that reduce drought and align species adaptations to local conditions are critical for designing more resilient and productive urban forests.

1. Introduction

Trees provide services such as atmospheric cooling, air filtration, and carbon sequestration that benefit human and environmental health [1,2,3,4]. The global climate is warming, which many predict will increase tree growth, and thus, the services they provide [5,6,7]. However, trees in urban areas, which often mimic conditions projected under global change, grow faster and sequester more carbon than trees in surrounding rural habitats in some cases [8,9], but not others [10]. Warming can also increase tree pest densities and reduce tree health [11,12], diminishing potential benefits of warming to trees. In addition, many global change projections suggest a greater frequency and severity of drought, which can have direct and indirect negative effects on tree growth and services [13,14,15,16]. It is clear that temperature, drought, and pests will interact to affect tree physiology, growth, and services in cities and under climate change generally. Despite this, research that investigates pests, drought, and warming simultaneously is limited [17]. It will be critical to understand these interactions when designing sustainable urban forests.
High temperatures and low water availability increase atmospheric demand for water. This increases negative pressure within a tree’s xylem, which can cause embolism and vessel cavitation when the tree has inadequate access to water [18]. Prolonged, drought-induced cavitation can reduce transpiration rates and cause branch dieback and eventual tree death [19,20]. Under heat and drought, plants are also less able to repair radical oxygen-induced damage to photosynthetic reaction centers, thereby reducing their energy efficiency and photosynthetic capacity [21]. Therefore, future periods of warming and reduced precipitation could cause large carbon losses in natural forests [22]. Similarly, urban trees commonly exhibit drought- and heat-associated reductions in gas exchange rates, which reduces carbon sequestration, air filtration, and cooling services [19,23,24,25,26]. Resilience to warming and drought is species-dependent, but understanding how the most common tree species respond will be important for predicting tree health and services.
The abundance and herbivory of many arthropod plant pests can also increase with warming caused by climate change and urbanization [11,27,28]. Warming and water stress can combine to increase pest density by increasing arthropod reproduction, voltinism, and winter survival [29,30], by increasing nitrogen concentrations within vascular fluids [31], or by reducing plant defenses [14]. Herbivore feeding can reduce woody plant services, such as carbon sequestration, by reducing photosynthesis and growth or even causing plant death [32,33]. For example, Coffelt et al. [34] found that caterpillar-induced leaf damage reduced oak tree growth and vigor, especially in trees in urban sites. Less conspicuous feeding by chronic herbivores, such as sap-feeders, more consistently reduce tree services and become more severe with warming [32,35,36,37]. For example, Smith and Schowalter [38] showed that Cinara pseudotsugae (Wilson), an aphid pest of the Douglas fir, drastically reduced root and shoot growth, which had lasting negative effects on carbohydrate storage. Additionally, feeding by the armored scale insect Unaspis euonymi (Comstock) reduced photosynthetic carbon assimilation by 63% compared to un-infested plants [39]. Because of their small size and sedentary life history, sap-feeding herbivores, such as scale insects, often escape detection. Therefore, scale-infested trees, a frequent condition of urban trees, may provide fewer ecosystem services than predicted by models that do not account for these chronic pests [40].
Previously, Dale and Frank [30] found that urban warming and drought stress additively increased the fitness of Melanaspis tenebricosa (Comstock) (Hemiptera: Diaspididae), a scale insect pest of Acer rubrum L. Acer rubrum is among the most common tree species in natural and urban forests in the southeastern United States, and Acer is the most common genus of landscape tree in the eastern U.S. [41,42]. Despite its popularity, A. rubrum street trees commonly experience water stress at or above damaging levels [30]. In addition, a large percentage of urban A. rubrum are infested with M. tenebricosa, which become more abundant and damaging at higher temperatures [11,43,44,45,46]. To determine the direct and indirect effects of warming, drought, and pests on tree carbon assimilation and physiology, we manipulated the water stress on A. rubrum street trees across an existing gradient of urban warming and pest density. Our prediction was that warming would increase photosynthetic carbon assimilation but be limited by drought such that warming would increase tree growth and photosynthesis only when sufficient water was available. If this is the case, then urban forests will need to be comprised of more environmentally resilient or pest-resistant species to mitigate the impacts of increased heat and reduced water.

2. Materials and Methods

2.1. Study Organisms

Acer rubrum authority is a widespread bottomland, softwood species native to eastern North America [47]. Because of its hardiness and aesthetic appeal, A. rubrum and related cultivars are commonly planted as street trees in the southeastern U.S. Xylem vulnerability curves suggest that A. rubrum is moderately drought-tolerant and can withstand as low as −3.9 MPa of stem xylem negative pressure before embolism occurs in 50% of vessels [48]. Dale and Frank [30] found that A. rubrum street trees frequently surpassed −3.9 MPa during midday water potential measurements, which suggests that damaging levels of water stress may be common in urban landscapes.
Melanaspis tenebricosa is a univoltine, armored scale insect herbivore that feeds on xylem parenchyma cells within the woody tissue of primarily A. rubrum [49,50,51]. These sessile insects are drastically more abundant and damaging in urban than surrounding rural habitats [27,46,50,52]. Severe M. tenebricosa infestations cause branch dieback, canopy thinning, and tree death [50,52].

2.2. Study System and Design

For this study, we selected established A. rubrum street trees that ranged in size from 15 to 38 cm in diameter at breast height (DBH). All trees were in the right-of-way and therefore property of the City of Raleigh, NC, USA. In Raleigh, NC and other eastern U.S. cities, A. rubrum is the second most common street tree, comprising nearly 14% of street trees [51]. To select study sites, we used ArcMap 10.2 to overlay a geocoded street tree inventory map onto a Landsat thermal image of surface temperature acquired on 18 August 2007, prepared as described in Meineke et al. [53]. We used the fishnet selection function in ArcMap 10.2 to create a grid of 2 km × 2 km squares, divided the city into equal quadrants, and randomly selected three grid squares per quadrant. From each selected grid square, we chose a pair of A. rubrum from the hottest and coldest sites, resulting in 48 trees at 24 randomly selected sites. Tree pairs at each site were at least 15 m and no more than 75 m apart. Four study sites were lost between survey years due to tree damage or removal, which reduced the total sample size to 40 trees in 2015.

2.3. Tree Canopy Temperature and A. Rubrum Water Stress

We determined tree canopy temperature by placing an iButton thermochron DS1921G (Dallas Semiconductor, Dallas, TX, USA) remote temperature logger 4.5 m above ground within each tree’s canopy. iButtons were mounted on the underside of a lateral branch, attached to an iButton wall mount within a 59 mL portion container (Dart Container Corporation, Mason, MI, USA) using a cable-tie. iButtons recorded temperature every two hours from May through August 2014 and 2015.
All trees received natural precipitation, but at each site, one tree received supplemental water (watered, W) and one tree did not (unwatered, UW). Nineteen watered trees had diameters of 15 to 30 cm, which required two TreeGator® slow-release watering bags (Spectrum Products Inc., Youngsville, NC, USA) to fully surround and secure to their base per bag specifications. The five remaining watered trees were 32 to 38 cm in diameter and required three watering bags to fully surround and secure to their base per bag specifications. Each bag held approximately 75 L and was filled twice per week from May through August 2014 and 2015, resulting in 300 L of water per tree per week for nineteen trees and 450 L per week for five trees. Watered tree initial DBH ranged from 15 to 36 cm with an average of 25.96 cm. Unwatered tree DBH ranged from 16 to 40 cm with an average of 27.23 cm, which was no different from that of watered trees (p > 0.52).
To determine whether watering treatments affected water stress, we used a pressure chamber (PMS Instrument Company, Albany, OR, USA) to measure midday xylem water potential of each tree once during June, July, and August of 2014 and 2015 [11,54]. Midday water potential measurements were made from 1100 to 1500 by removing one 15 cm terminal twig from sun-exposed locations approximately 5.5 m above ground on the north and south sides of each tree. Weather conditions during each measuring period were mostly sunny and between 32 and 37 °C. Analyses of the association between water potential and canopy temperature used the mean canopy temperature per month.

2.4. M. Tenebricosa Density

To determine the density of M. tenebricosa on each tree, we removed one 0.15 m terminal twig approximately 4–5 m above ground from each cardinal direction of the tree canopy using a pole pruner. Twigs were collected in March 2014 when the insect population is composed of adults prior to egg hatch. Each twig was examined under a dissecting microscope, and the number of live M. tenebricosa individuals was recorded per twig. Scale insects were determined to be alive if their bodies were turgid once their armored covering was removed.

2.5. Measuring A. Rubrum Leaf-Level Processes

Light response curves were conducted using a Li-COR 6400 portable photosynthesis system to determine the light intensity at which photosynthetically active radiation (PAR) completely saturated A. rubrum photosystems, called the light-saturated photosynthetic rate (Asat) [55]. Light curves determined that a PAR of 1700 was the saturating light intensity; therefore, it was used for all light-saturated photosynthesis field measurements. For each study tree, we selected three fully expanded, undamaged leaves from the terminal ends of southeast-facing branches. Each leaf was growing from a different first-order lateral branch to eliminate an effect of branch origin on leaf processes. We measured Asat on 2 cm2 of each leaf, controlling leaf environmental conditions at 1700 PAR, 400 ppm CO2, 30 °C block temperature, and 50–60% relative humidity. Each leaf was exposed to these set environmental conditions until photosynthesis and stomatal conductance remained equilibrated for 3 min, at which point leaf processes were recorded.
To determine the effect of temperature and water stress on A. rubrum street tree leaf-level processes, we used the Li-COR 6400 with a pulse amplitude modulated (PAM) leaf chamber fluorometer sensor head to measure Asat (μmol m−2 s−1), stomatal conductance rate (mmol H2O m−2 s−1), and transpiration rate (mmol m−2 s−1) (LI6400, Li-COR Inc., Lincoln, NE, USA). Based on preliminary trials, leaves and branches had to remain attached to the tree to obtain accurate readings of leaf processes. Therefore, we took leaf measurements on 36 of 48 trees in 2014 and 30 of 40 trees in 2015 that had branches accessible to the portable photosynthesis system.
To determine the amount of drought-induced photosystem damage in the trees, we estimated the dark-adapted maximum quantum efficiency of leaf photosystem II reaction centers (Fv/Fm) [21]. We collected three branches from each tree, wrapped three leaves per branch in aluminum foil, placed them in a closed cooler on ice, and kept them in complete darkness for at least 4 h. We measured Fv/Fm on 48 A. rubrum street trees in 2014 and 40 in 2015 in a darkroom on dark-adapted leaves using the Li-COR 6400 portable photosynthesis system PAM leaf chamber fluorometer. All analyses investigating effects of temperature on leaf-level processes use mean 2014 and mean 2015 tree canopy temperature for the period May through August.

2.6. Effects on A. Rubrum Growth

Tree growth is a measure of the amount of carbon trees have sequestered and allocated to biomass. Growth also directly relates to tree height, canopy size, and leaf area, which dictate the amount of shade and transpirational cooling that a tree provides. To determine how temperature and drought affected tree growth, we measured basal area growth and total stem elongation after two years of water manipulation. We measured stem elongation on each tree by collecting five randomly selected branches from each cardinal direction and measuring the distance between bud scars for 2014 and 2015 growth. Mean total stem elongation of 20 branches per tree was used for analysis. Acer rubrum basal area growth (cm2) was determined by taking the difference of tree basal area in May 2014 from August 2015 of the 40 trees remaining at the end of the study. Analyses of associations with temperature used the two-year mean tree canopy temperature.

2.7. Statistical Analyses

All statistical analyses were conducted in SAS 9.4 statistical software (SAS Institute, Cary, NC, USA). We investigated the effect of temperature and watering treatment on xylem water potential over the entire study period using a linear mixed-effect model with monthly mean canopy temperature as a main effect and watering treatment (W or UW) as a categorical covariate. Tree nested within site was treated as a random intercept effect to account for repeated measurements from each tree and similar local conditions at each site. We used the same statistical approach to explore the effects of year and watering treatment on leaf-level processes to help us interpret observed responses over the entire study period.
To gain a higher resolution of the effects of local conditions on leaf-level processes, we also tested the effect of temperature, M. tenebricosa density, and water availability on leaf-level processes within each year using a linear mixed-effect model, treating mean summer temperature and watering treatment (W or UW) as main effects and site as a random effect. We used a similar approach to test the effect of temperature, water availability, and scale density on tree growth. However, tree basal area growth is dependent on initial tree size, such that larger trees assimilate larger amounts of carbon than smaller trees. Therefore, we used the residuals of the regression between initial tree DBH and basal area growth as a random intercept effect in our model predicting basal area growth. Study site was included as a random effect in each model since each site hosted a pair of watered and unwatered trees. Each full model initially included an interaction term, but if not significant, the term was removed to test for a difference in y-intercepts between watering treatment regression equations assuming equal slopes. All model residuals were evaluated to confirm that they met the assumptions of normality. Since temperature and M. tenebricosa density are positively correlated with one another, we calculated Variance Inflation Factor (VIF) values for each model that included both variables to determine whether multicollinearity among predictors was a concern. In no cases were variables collinear (all VIF values were less than 2). All analyses from 2014 include 48 trees unless otherwise noted. Because of compromised study sites, all 2015 data and analyses include 40 trees unless otherwise noted.

3. Results

3.1. Tree Canopy Temperature and A. Rubrum Water Stress

The 2015 field season (May through August) was, on average, over 1 °C warmer and received 10 cm less precipitation than 2014 [56]. The summer 2014 mean tree canopy temperature (N = 48) ranged from 23.5 to 25.9 °C, with a mean (±SE) of 24.7 (±0.1). The summer 2015 mean tree canopy temperature (N = 40) ranged from 24.4 to 27 °C, with a mean of 26.1 (±0.1). The two-year average of summer tree canopy temperatures (N = 40) ranged from 24 to 26.3 °C, with a mean of 25.4 (±0.1). There was no difference in tree canopy temperature between watered and unwatered trees during either year.
As predicted, our watering treatments significantly affected tree water stress (Table 1). The midday xylem water potential of watered trees in 2014 ranged from −3.5 to −2.3 Mpa, with a mean of −2.8 (±0.1). Unwatered tree xylem water potential in 2014 ranged from −3.9 to −1.9 Mpa, with a mean of −3.1 (±0.1). In 2015, watered tree water potential ranged from −3.7 to −2.7 Mpa, with a mean of −3.3 (±0.1), while that of unwatered trees ranged from −4.7 to −2.6 Mpa, with a mean of −3.6 (±0.1). On average, the water potential of unwatered trees was approximately 11% more negative than that of watered trees over the course of our study (Table 1). Watered trees never reached the −3.9 MPa threshold at which embolism occurs in 50% of vessels [48], but some unwatered trees did in both years.
Over the duration of our study, the mean xylem water potential became significantly more negative as the tree canopy temperature increased (Table 1). More importantly, watered A. rubrum were consistently less water-stressed than the unwatered trees across this temperature gradient (Table 1; Figure 1). Water potential also became more negative over time for all trees, likely due to the warmer, drier summer in 2015 (Figure 1). In fact, water potential was 15% more negative across all trees in 2015 than 2014. The difference in water potential between watered and unwatered trees increased over time such that unwatered trees were most different from watered trees on the final two survey dates (Figure 1). In July and August of 2015, the water potential of several unwatered trees surpassed the −3.9 MPa threshold at which embolism occurs in 50% of vessels [48].

3.2. M. Tenebricosa Density

As we know from previous studies (e.g., [43]), M. tenebricosa density (logx + 1) increases with tree canopy temperature (F1,46 = 44.6, p < 0.0001, R2 = 0.49). This held true in 2014 and 2015. We did not test the effect of watering treatment on the 2014 pest density because there is no reason to suspect an effect given the univoltine life history of this insect and the limited exposure to changes in water availability. Since water stress does increase M. tenebricosa fecundity [30], we investigated the effect of watering treatment on the 2015 M. tenebricosa density but found none (p > 0.2).

3.3. A. Rubrum Leaf-Level Processes

Light-saturated photosynthesis, stomatal conductance, and transpiration rates were measured on 36 A. rubrum in 2014 and 30 in 2015, each time with half of the trees represented by each watering treatment. On average, photosynthesis and stomatal conductance rates were higher in 2014 than in 2015 (F1,149 = 6.7, p = 0.01; F1,149 = 58.5, p < 0.0001, respectively), and photosynthesis rates were notably higher in watered than in unwatered trees over the two-year study period, although they were not statistically significant (F1,28 = 3.0, p = 0.08). In contrast, leaf transpiration rates were significantly greater in 2015 than in 2014 (F1,149 = 11.0, p = 0.001) but not different between watering treatments over the two-year study period (F1,28 = 0.2, p = 0.63).
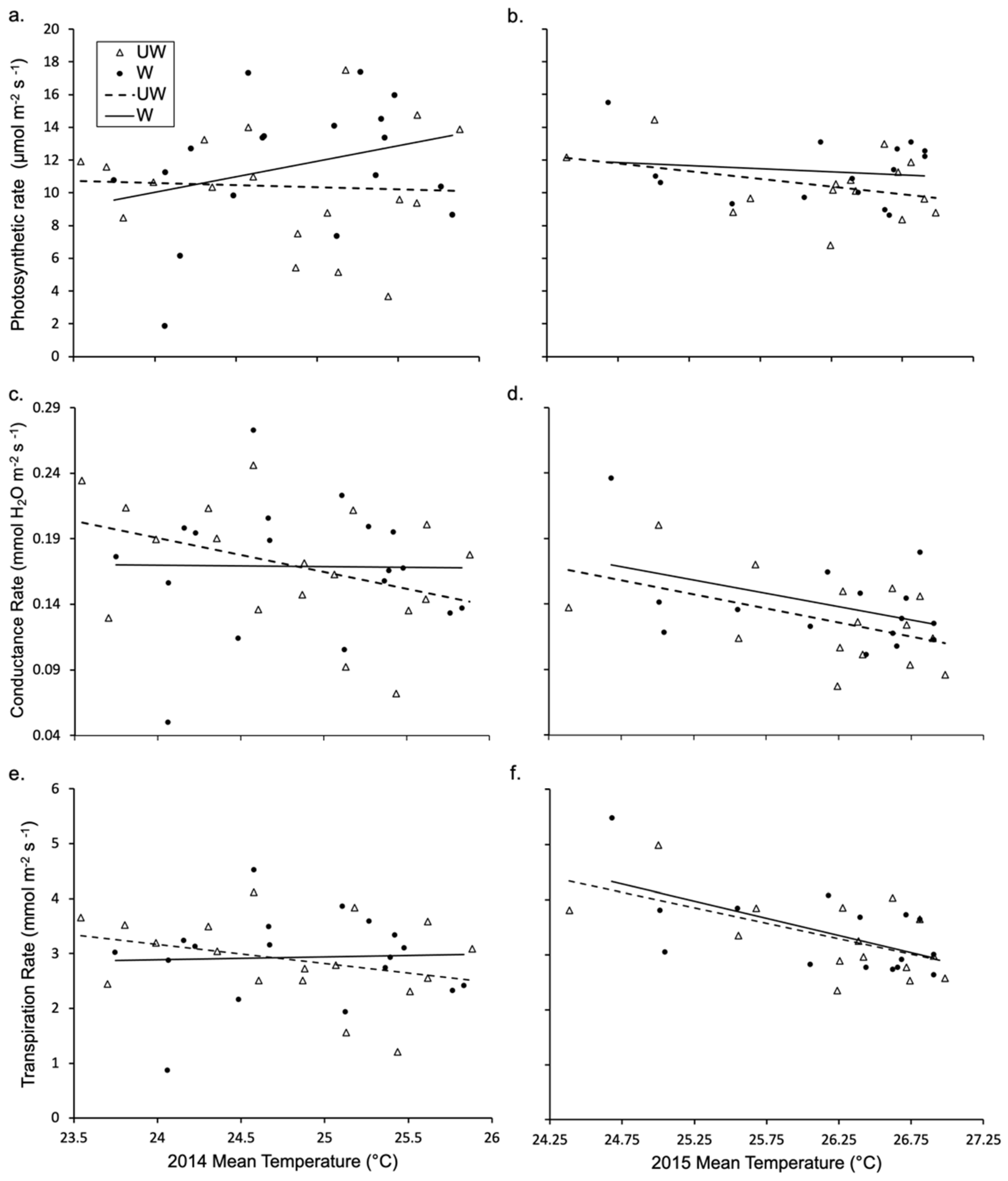
Within each year, all observed effects of independent variables on the photosynthesis rates were also observed on stomatal conductance and transpiration rates. Therefore, we describe the effects on leaf-level processes, which includes light-saturated photosynthesis, stomatal conductance, and transpiration rates. The effect of temperature and M. tenebricosa density on leaf-level processes varied by treatment and year. There was a significant interaction between canopy temperature and watering treatment in 2014, so the effects of temperature and pest density were explored within each watering treatment separately. Leaf physiological processes operated at higher rates and were unaffected by pest density or temperature in watered trees in 2014, but they were lower and affected by both factors in unwatered trees (Table 2, Figure 2a). Specifically, leaf-level processes in unwatered trees declined with warming temperatures but increased with greater pest density. In 2015, when conditions across all sites were warmer and drier and water stress was more severe, all leaf-level processes declined with increasing temperature in both watered and unwatered trees. There was no effect of pest density in 2015. Despite declining with increasing temperature, watered trees sustained higher leaf-level processes than unwatered trees across the temperature gradient (Table 2, Figure 2).
Over the entire study period, we observed no difference in mean photosystem II damage (Fv/Fm) between years or watering treatments (p > 0.36). Within each year, the effects of independent variables on Fv/Fm were less pronounced than on leaf-level processes, but they were marginally influenced by all factors at some point during the study period. The effect of watering treatment on Fv/Fm depended on which year we measured it such that unwatered trees in 2014 had Fv/Fm values nearly statistically lower (more photosystem damage) than watered trees but were no different in 2015. The 2014 Fv/Fm values were not associated with temperature, but there was a slight positive association between Fv/Fm and M. tenebricosa density (Table 2). In 2015, these relationships disappeared, and Fv/Fm nearly significantly declined (more photosystem damage) with increasing canopy temperature across all trees.

3.4. Effects on A. Rubrum Growth

Basal area growth was dependent on initial tree size, such that larger-diameter trees allocated more carbon to basal area biomass than smaller-diameter trees. Therefore, we included the residuals of the regression between initial tree diameter and basal area growth as a random intercept effect in the model of temperature, M. tenebricosa, and watering treatment predicting basal area growth. Over two years, the basal area growth ranged from 0 to 21.6 cm2, with a mean of 10.8 (±1.4) in watered trees. Unwatered tree basal area growth ranged from 2.7 to 23.5 cm2, with a mean of 10.1 (±1.4). We detected no effect of tree canopy temperature, M. tenebricosa density, or watering treatment on basal area growth over the two-year study period (Table 3).
The average total stem elongation per tree for the 2014 and 2015 growing seasons ranged from 4.2 to 58.8 cm, with a mean of 29.2 (±3.7) on watered trees. On unwatered trees, this ranged from 5.9 to 38.9 cm, with a mean of 22.8 (±2.1). Tree canopy temperature, pest density, and watering treatment were all associated with total stem elongation over the two-year study period. On average, branches grew over 28% more on watered than unwatered trees, and growth increased as temperature and pest density increased (Table 3; Figure 3).

4. Discussion

Urban forests mitigate many of the anthropogenic disturbances associated with cities, such as warmer temperatures, carbon emissions, and pollution [1,4]. However, these services can be compromised due to improper plant selection, landscape design, or plant management tactics that reduce resilience to urban conditions [11,17,40]. Impervious surface cover is a ubiquitous feature and cause of high temperatures and dry soil conditions. We found that street tree water stress increased with urban warming but that supplemental water from water bags reduced this stress. Temperature and drought reduced photosystem II efficiency, stomatal conductance, and transpiration rates in trees at warmer sites, and these effects appear to be linked to the severity of water stress. For example, heat-induced reductions in photosynthesis rates occurred only in unwatered trees in 2014 and were more severe in 2015, when water stress was greater. Our results suggest that water demand is highly dependent on variability in weather conditions and that there is a threshold of water stress at which point temperature and pest density influence leaf-level processes. Taken together, our results suggest that urban warming effects on A. rubrum physiology and growth are highly dependent on water availability and that temporal changes in leaf-level processes and water availability may not translate to changes in carbon allocation to biomass within two years.
Urban trees often face water stress because temperatures are high and impervious surfaces and poor soils can reduce water infiltration [57,58,59]. Water stress causes xylem embolism and cavitation, which becomes damaging in A. rubrum at −3.9 MPa [48]. Unwatered trees in our study frequently reached or surpassed this threshold, suggesting that xylem cavitation may have played a role in temperature-associated reductions in leaf-level processes and reducing stem elongation on unwatered compared to watered trees. Supplemental water protected leaf-level processes in 2014, but not in 2015, likely due to the increased severity of water stress and warming in 2015. However, leaf-level processes did operate at higher rates in watered than unwatered trees in 2015, illustrating that water availability does play an important role in regulating tree physiology in warmer urban conditions.
Temperature and drought had a stronger effect on A. rubrum leaf-level processes than did M. tenebricosa density. We predicted that increasing pest density would reduce A. rubrum leaf-level processes and growth by reducing plant vigor and stealing plant nutrients [32]. However, we found the opposite effect of pest density on the leaf-level processes in unwatered trees in 2014, when photosynthesis, stomatal conductance, and transpiration rates increased with pest density. Although temperature and M. tenebricosa density are positively correlated, their effects on leaf-level processes diverged in trees experiencing moderate drought conditions (−3.12 Mpa average) in 2014. Based on this effect and the increase in water stress observed at all sites in 2015, we would anticipate a similar effect of pest density on the leaf-level processes in watered trees in 2015. However, we detected no interaction with watering treatment in 2015, likely because warmer temperatures overrode the effects of pests on tree physiology. Herbivory can cause an upregulation of plant photosynthesis rates to compensate for losses [60], although this primarily applies to chewing herbivory, and most studies have found negative effects of sap-feeding insects on leaf-level processes [32]. Collins et al. [61] did find an increase in photosynthesis rates associated with high aphid densities, but infestations ultimately reduced growth. Our findings may suggest a similar effect associated with moderate water stress around −3.12 Mpa and 25 °C (2014 unwatered tree conditions) canopy temperature, where A. rubrum compensates for herbivory at intermediate stress levels but not beyond that temperature.
This study occurred across an existing urban temperature gradient but also across two years that significantly differed in temperature and water stress. Reducing drought stress by increasing water availability increased photosynthetic carbon allocation to tree biomass via stem elongation and was greatest on the warmest, watered A. rubrum street trees. Trees with greater M. tenebricosa densities also had greater stem elongation over the two-year period, which could, in part, be linked to the aforementioned upregulation of leaf-level processes observed in 2014. However, we suspect that this is more reflective of the positive association between canopy temperature and pest density, and that warming was the primary driver of stem elongation. Experimental warming studies suggest that future warmer temperatures will increase tree growth rates for some species in some situations [5]. For example, [62] found that warming increased the growth and bud development of spruce trees under controlled conditions. Across an urban–rural temperature gradient in New York, USA, Quercus rubra L. grew 23% more in warmer than cooler urban sites [9]. Although these studies provide insight into the effects of warming on tree growth, they ignore important environmental factors, such as drought and pests. Consistent with We et al. [16] and Meineke and Frank [17], our results suggest that the effect of temperature on photosynthesis and carbon allocation to biomass is dependent on drought stress. Therefore, our results support previous findings but elucidate the importance of drought in urban forest services and the complexity of interactions between temperature, pest density, and water availability, all of which are projected to become more severe under rapid urbanization and future climate change [6,13].
Trees reduce temperatures by water transpiration and by providing shade [63,64]. Transpiration is driven by the evaporation of water from stomates, which pull water from the roots to the leaves through xylem tissue and increase with temperature [19]. Under drought, plants may close stomates to conserve water and prevent xylem cavitation at the cost of reducing photosynthesis and using reserves of carbohydrates through respiration [24,65]. This may reduce tree growth, which did occur in the tree canopy of unwatered trees compared to watered trees. However, stem elongation still increased with canopy temperature, just less on unwatered trees. Despite receiving over 300 L of water each week, as temperatures warmed, water stress increased, and stomatal conductance decreased in watered trees in 2015. This is concerning since the unwatered trees represent the street tree status quo, and reduced conductance means less carbon allocation to biomass in the long term, although this did not become evident within the two years of our study. Interestingly, transpiration rates were much higher during the warmer, drier 2015 season, although trees closed their stomates in response to the urban temperature gradient. This may suggest that warmer temperatures associated with climate change and urbanization may increase A. rubrum water loss by shifting the point at which trees close their stomates, thereby increasing xylem cavitation rates and subsequent damage [22].
Our findings indicate that local abiotic conditions directly affect urban tree physiology and the capacity of urban forests to provide essential ecosystem services. Acer rubrum represents a significant proportion of the urban and natural forest species composition throughout the eastern U.S. and has traits that many urban trees are selected for, such as rapid growth, high aesthetic quality, dense canopies, and moderate tolerance to water stress [66]. Although previous work has found that the effects of local abiotic factors on urban Acer rubrum pests and tree condition persist across latitudes [45,51], the implications of our results for urban forest health may not translate to other tree species. Therefore, future work should investigate similar interactions with other common urban tree taxa to develop more comprehensive guidelines for urban forest managers. Despite this, mounting evidence illustrates the negative effects, either directly or indirectly, of impervious surface cover on multiple urban tree species [11,28,53]. Thus, urban tree decision-making tools, such as impervious surface thresholds [67], may help urban planners and managers build more resilient urban forests through proper landscape design, tree selection, and management tailored to local conditions.

5. Conclusions

In this study, tree canopy stem elongation increased with urban warming and pest abundance regardless of water availability. Summer measurements of photosynthesis, stomatal conductance, and transpiration rates indicated that warming and water stress would reduce carbon allocation to biomass as predicted, yet we detected no effect on basal area growth and the opposite effect on tree canopy stem elongation. However, we did detect damaging levels of water stress in street trees that did not receive supplemental water. Dale and Frank [11] found that urban warming and M. tenebricosa density reduced tree condition by causing branch dieback and canopy thinning, and Backe and Frank [68] demonstrated that these effects on tree condition take nearly a decade to present themselves. Thus, we suspect that a longer study period would find an effect of water availability on carbon allocation to biomass. Moreover, although existing selected branches of our study trees grew more as temperature and M. tenebricosa abundance increased, we suspect that the overall carbon capture and storage are less in warmer street trees with more pests and reduced water availability. Less dense tree canopies have fewer leaves per canopy. Therefore, even if leaf-level processes are equal, a tree with a denser canopy will capture and store more carbon than one with a less dense canopy. In addition, we did not measure root growth and nutrient storage, which are affected by herbivore feeding and warmer temperatures [5,34,69]. In fact, Vranjic and Gullan [70] found that eucalyptus trees allocated greater biomass to shoots under scale insect herbivory at the cost of root biomass. Therefore, M. tenebricosa feeding and drought stress may have reduced carbohydrate storage in tree roots, making trees less resilient to damage and contributing to long-term declines in condition [71]. As urban areas expand, the combined effects of warming and drought will likely influence A. rubrum services in urban and natural forests, which has important implications for human and environmental health [3,4]. Urban designs, such as providing greater root area and better soil for trees, curb cuts that capture water for trees, selecting species more resilient to heat, drought, and pests, and increasing overall canopy cover to reduce temperatures, will reduce the combined negative effects of urbanization and climate change on tree health.

Author Contributions

Conceptualization, A.G.D. and S.D.F.; data curation, A.G.D.; formal analyses, A.G.D.; funding acquisition, S.D.F.; methodology, A.G.D. and S.D.F.; project administration, A.G.D. and S.D.F.; resources, A.G.D. and S.D.F.; supervision, A.G.D. and S.D.F.; writing—original draft preparation, A.G.D.; writing—review and editing, A.G.D. and S.D.F. All authors have read and agreed to the published version of the manuscript.

Funding

The Raleigh Parks, Recreation, and Cultural Resources Department provided tree maps and approved this study. This work was supported by Cooperative Agreement no. G11AC20471, G13AC00405, and G15AP00153 from the United States Geological Survey. Funding for this work was also provided by a Southeast Climate Science Center graduate fellowship awarded to A.G.D. This work was also supported by the National Institute of Food and Agriculture, U.S. Department of Agriculture, award numbers 2013-02476 to S.D.F. and 2016-70006-25827 to A.G.D. and S.D.F.

Data Availability Statement

All data used in this study are available from the Institutional Repository at the University of Florida, item number IR00011836: 00001. https://original-ufdc.uflib.ufl.edu//IR00011836/00001, accessed on 20 May 2022.

Acknowledgments

We sincerely thank Elsa Youngsteadt for advice and assistance with study design and methodology, Eric Archer and Sarah Jandricic for valuable technical assistance with fieldwork and data collection, and Sally Thigpen and Zach Manor for providing study sites and facilitating this work. We also thank the LI-COR Biosciences training team in Lincoln, NE, USA for training A.G.D. on the proper use of the LI-COR 6400 portable photosynthesis system.

Conflicts of Interest

The authors declare no conflict of interest. Funding agencies had no role in the experimental design, data collection, analyses, or interpretation of results, manuscript writing, nor the publication of results.

References

  1. Donovan, G.H.; Butry, D.T.; Michael, Y.L.; Prestemon, J.; Liebhold, A.M.; Gatziolis, D.; Mao, M.Y. The Relationship between Trees and Human Health: Evidence from the spread of the emerald ash borer. Am. J. Prev. Med. 2013, 44, 139–145. [Google Scholar] [CrossRef] [PubMed]
  2. Lovasi, G.S.; Quinn, J.W.; Neckerman, K.M.; Perzanowski, M.S.; Rundle, A. Children living in areas with more street trees have lower prevalence of asthma. J. Epidemiol. Community Health 2008, 62, 647–649. [Google Scholar] [CrossRef] [PubMed] [Green Version]
  3. Maas, J.; Verheij, R.A.; Groenewegen, P.P.; de Vries, S.; Spreeuwenberg, P. Green space, urbanity, and health: How strong is the relation? J. Epidemiol. Community Health 2006, 60, 587–592. [Google Scholar] [CrossRef] [PubMed] [Green Version]
  4. Pataki, D.E.; Alig, R.J.; Fung, A.S.; Golubiewski, N.E.; Kennedy, C.A.; Mcpherson, E.G.; Nowak, D.J.; Pouyat, R.V.; Romero Lankao, P. Urban ecosystems and the North American carbon cycle. Glob. Chang. Biol. 2006, 12, 2092–2102. [Google Scholar] [CrossRef]
  5. Way, D.A.; Oren, R. Differential responses to changes in growth temperature between trees from different functional groups and biomes: A review and synthesis of data. Tree Physiol. 2010, 30, 669–688. [Google Scholar] [CrossRef] [Green Version]
  6. IPCC. Climate Change 2014: Synthesis Report. Contribution of Working Groups I, II, and III to the Fifth Assessment Report of the Intergovernmental Panel on Climate Change; IPCC: Geneva, Switzerland, 2014. [Google Scholar]
  7. Rustad, L.; Campbell, J.; Marion, G.; Norby, R.; Mitchell, M.; Hartley, A.; Cornelissen, J.; Gurevitch, J. A meta-analysis of the response of soil respiration, net nitrogen mineralization, and aboveground plant growth to experimental ecosystem warming. Oecologia 2001, 126, 543–562. [Google Scholar] [CrossRef]
  8. McPherson, E.G.; Peper, P.J. Urban Tree Growth Modeling. Arboric. Urban For. 2012, 38, 172–180. [Google Scholar] [CrossRef]
  9. Searle, S.Y.; Boelman, N.T.; Schuster, W.S.; Turnbull, M.H.; Yakir, D.; Griffin, K.L. Urban environment of New York City promotes growth in northern red oak seedlings. Tree Physiol. 2012, 32, 389–400. [Google Scholar] [CrossRef]
  10. Meineke, E.; Youngsteadt, E.; Dunn, R.; Frank, S.D. Urban warming reduces aboveground carbon storage. Proc. R. Soc. B Boil. Sci. 2016, 283, 20161574. [Google Scholar] [CrossRef]
  11. Dale, A.G.; Frank, S.D. The Effects of Urban Warming on Herbivore Abundance and Street Tree Condition. PLoS ONE 2014, 9, e102996. [Google Scholar] [CrossRef] [Green Version]
  12. Kurz, W.A.; Dymond, C.C.; Stinson, G.; Rampley, G.J.; Neilson, E.T.; Carroll, A.L.; Ebata, T.; Safranyik, L. Mountain pine beetle and forest carbon feedback to climate change. Nature 2008, 452, 987–990. [Google Scholar] [CrossRef] [PubMed]
  13. Carter, L.M.; Jones, J.W.; Berry, L.; Burkett, V.; Murley, J.F.; Obeysekera, J.; Schramm, P.J.; Wear, D. Ch. 17: Southeast and the Caribbean. Climate Change Impacts in the United States: The Third National Climate Assessment; Melillo, J.M., Richmond, T., Yohe, G.W., Eds.; U.S. Global Change Research Program: Washington, DC, USA, 2014; pp. 396–417. [Google Scholar] [CrossRef]
  14. Koricheva, J.; Larsson, S.; Haukioja, E. Insect Performance on Experimentally Stressed Woody Plants: A Meta-Analysis. Annu. Rev. Èntomol. 1998, 43, 195–216. [Google Scholar] [CrossRef] [PubMed] [Green Version]
  15. Ryan, M. Tree responses to drought. Tree Physiol. 2011, 31, 237–239. [Google Scholar] [CrossRef] [PubMed] [Green Version]
  16. Wu, Z.; Dijkstra, P.; Koch, G.W.; Peñuelas, J.; Hungate, B.A. Responses of terrestrial ecosystems to temperature and precipitation change: A meta-analysis of experimental manipulation. Glob. Chang. Biol. 2011, 17, 927–942. [Google Scholar] [CrossRef] [Green Version]
  17. Meineke, E.K.; Frank, S.D. Water availability drives urban tree growth responses to herbivory and warming. J. Appl. Ecol. 2018, 55, 1701–1713. [Google Scholar] [CrossRef]
  18. Sperry, J.S.; Tyree, M.T. Mechanism of Water Stress-Induced Xylem Embolism. Plant Physiol. 1988, 88, 581–587. [Google Scholar] [CrossRef] [Green Version]
  19. Litvak, E.; McCarthy, H.R.; Pataki, D.E. Transpiration sensitivity of urban trees in a semi-arid climate is constrained by xylem vulnerability to cavitation. Tree Physiol. 2012, 32, 373–388. [Google Scholar] [CrossRef] [Green Version]
  20. Vilagrosa, S.; Bellot, J.; Vallejio, V.R.; Gil-Pelegrin, E. Cavitation, stomatal conductance, and leaf dieback in seedlings of two co-occurring Mediterranean shrubs during an intense drought. J. Exp. Bot. 2003, 54, 2015–2024. [Google Scholar] [CrossRef]
  21. Maxwell, K.; Johnson, G.N. Chlorophyll fluorescence—A practical guide. J. Exp. Bot. 2000, 51, 659–668. [Google Scholar] [CrossRef]
  22. West, A.G.; Hultine, K.R.; Sperry, J.S.; Bush, S.E.; Ehleringer, J.R. Transpiration and hydraulic strategies in a pinon-juniper woodland. Ecol. Appl. 2008, 18, 911–927. [Google Scholar] [CrossRef] [Green Version]
  23. Savi, T.; Bertuzzi, S.; Branca, S.; Tretiach, M.; Nardini, A. Drought-induced xylem cavitation and hydraulic deterioration: Risk factors for urban trees under climate change? New Phytol. 2014, 205, 1106–1116. [Google Scholar] [CrossRef] [PubMed] [Green Version]
  24. Sperry, J.S. Hydraulic constraints on plant gas exchange. Agric. For. Meteorol. 2000, 104, 13–23. [Google Scholar] [CrossRef]
  25. Lahr, E.C.; Backe, K.M.; Frank, S.D. Intraspecific variation in morphology, physiology, and ecology of wildtype relative to horticultural varieties of red maple (Acer rubrum). Trees 2020, 34, 603–614. [Google Scholar] [CrossRef]
  26. Lahr, E.C.; Dunn, R.R.; Frank, S.D. Variation in photosynthesis and stomatal conductance among red maple (Acer rubrum) urban planted cultivars and wildtype trees in the southeastern United States. PLoS ONE 2018, 13, e0197866. [Google Scholar] [CrossRef] [PubMed] [Green Version]
  27. Youngsteadt, E.; Dale, A.G.; Terando, A.J.; Dunn, R.R.; Frank, S.D. Do cities simulate climate change? A comparison of herbivore response to urban and global warming. Glob. Chang. Biol. 2014, 21, 97–105. [Google Scholar] [CrossRef] [PubMed]
  28. Raupp, M.J.; Shrewsbury, P.M.; Herms, D.A. Ecology of Herbivorous Arthropods in Urban Landscapes. Annu. Rev. Èntomol. 2010, 55, 19–38. [Google Scholar] [CrossRef] [PubMed] [Green Version]
  29. Just, M.G.; Frank, S.D. Thermal Tolerance of Gloomy Scale (Hemiptera: Diaspididae) in the Eastern United States. Environ. Èntomol. 2020, 49, 104–114. [Google Scholar] [CrossRef]
  30. Dale, A.G.; Frank, S.D. Warming and drought combine to increase pest insect fitness on urban trees. PLoS ONE 2017, 12, e0173844. [Google Scholar] [CrossRef] [Green Version]
  31. White, T.C.R. The abundance of invertebrate herbivores in relation to the availability of nitrogen in stressed food plants. Oecologia 1984, 63, 90–105. [Google Scholar] [CrossRef]
  32. Zvereva, E.L.; Lanta, V.; Kozlov, M.V.; Kozlov, M. Effects of sap-feeding insect herbivores on growth and reproduction of woody plants: A meta-analysis of experimental studies. Oecologia 2010, 163, 949–960. [Google Scholar] [CrossRef]
  33. Nykänen, H.; Koricheva, J. Damage-induced changes in woody plants and their effects on insect herbivore performance: A meta-analysis. Oikos 2004, 104, 247–268. [Google Scholar] [CrossRef]
  34. Coffelt, M.A.; Schultz, P.B.; Wolf, D.D. Impact of late-season orangestriped oakworm (Lepidoptera: Saturniidae) defoliation on oak growth and vigor. Environ. Entomol. 1993, 22, 1318–1324. [Google Scholar] [CrossRef]
  35. Bale, J.S.; Masters, G.J.; Hodkinson, I.D.; Awmack, C.; Bezemer, T.M.; Brown, V.K.; Butterfield, J.; Buse, A.; Coulson, J.C.; Farrar, J.; et al. Herbivory in global climate change research: Direct effects of rising temperature on insect herbivores. Glob. Chang. Biol. 2002, 8, 1–16. [Google Scholar] [CrossRef]
  36. Boyd, I.L.; Freer-Smith, P.H.; Gilligan, C.A.; Godfray, H.C.J. The Consequence of Tree Pests and Diseases for Ecosystem Services. Science 2013, 342, 1235773. [Google Scholar] [CrossRef]
  37. Frank, S.D. Review of the direct and indirect effects of warming and drought on scale insect pests of forest systems. For. Int. J. For. Res. 2020, 94, 167–180. [Google Scholar] [CrossRef]
  38. Smith, J.P.; Schowalter, T.D. Aphid-induced reduction of shoot and root growth in Douglas-fir seedlings. Ecol. Èntomol. 2001, 26, 411–416. [Google Scholar] [CrossRef]
  39. Cockfield, S.D.; Potter, D.A.; Houtz, R.L. Chlorosis and Reduced Photosynthetic Co2 Assimilation of Euonymus fortunei Infested with Euonymus Scale (Homoptera: Diaspididae). Environ. Èntomol. 1987, 16, 1314–1318. [Google Scholar] [CrossRef]
  40. Cregg, B.M.; Dix, M.E. Tree moisture stress and insect damage in urban areas in relation to heat island effects. J. Arboric. 2001, 27, 8–17. [Google Scholar]
  41. Raupp, M.J.; Cumming, A.B.; Raupp, E.C. Street Tree Diversity in Eastern North America and Its Potential for Tree Loss to Exotic Borers. Arboric. Urban For. 2006, 32, 297–304. [Google Scholar] [CrossRef]
  42. Frank, S. A Survey of Key Arthropod Pests on Common Southeastern Street Trees. Arboric. Urban For. 2019, 45, 155–166. [Google Scholar] [CrossRef]
  43. Dale, A.; Frank, S.D. Urban warming trumps natural enemy regulation of herbivorous pests. Ecol. Appl. 2014, 24, 1596–1607. [Google Scholar] [CrossRef] [PubMed] [Green Version]
  44. Frank, S.D.; Just, M.G. Can Cities Activate Sleeper Species and Predict Future Forest Pests? A Case Study of Scale Insects. Insects 2020, 11, 142. [Google Scholar] [CrossRef] [PubMed] [Green Version]
  45. Just, M.G.; Dale, A.G.; Long, L.C.; Frank, S.D. Urbanization drives unique latitudinal patterns of insect herbivory and tree condition. Oikos 2019, 128, 984–993. [Google Scholar] [CrossRef]
  46. Long, L.C.; D’Amico, V.; Frank, S.D. Urban forest fragments buffer trees from warming and pests. Sci. Total Environ. 2018, 658, 1523–1530. [Google Scholar] [CrossRef]
  47. Tirmenstein, D.A. Acer rubrum. In: Fire Effects Information System, [Online]. U.S. Department of Agriculture, Forest Service, Rocky Mountain Research Station, Fire Sciences Laboratory, Fort Collins, Colorado (Producer). 1991. Available online: https://www.fs.fed.us/database/feis/plants/tree/acerub/all.html (accessed on 20 May 2022).
  48. Johnson, D.M.; McCulloh, K.A.; Meinzer, F.; Woodruff, D.R.; Eissenstat, D.M. Hydraulic patterns and safety margins, from stem to stomata, in three eastern US tree species. Tree Physiol. 2011, 31, 659–668. [Google Scholar] [CrossRef] [Green Version]
  49. Beardsley, J.W.; Gonzalez, R.H. The Biology and Ecology of Armored Scales. Annu. Rev. Èntomol. 1975, 20, 47–73. [Google Scholar] [CrossRef]
  50. Metcalf, Z.P. The gloomy scale. NC Agric. Exp. Stn. Tech. Bull. 1922, 21, 1–23. [Google Scholar]
  51. Just, M.G.; Dale, A.G.; Frank, S.D. Gloomy Scale (Hemiptera: Diaspididae) Ecology and Management on Landscape Trees. J. Integr. Pest Manag. 2020, 11, 24. [Google Scholar] [CrossRef]
  52. Frank, S.D.; Klingeman, W.; A White, S.; Fulcher, A. Biology, Injury, and Management of Maple Tree Pests in Nurseries and Urban Landscapes. J. Integr. Pest Manag. 2013, 4, 1–14. [Google Scholar] [CrossRef] [Green Version]
  53. Meineke, E.K.; Dunn, R.R.; Sexton, J.O.; Frank, S.D. Urban warming drives insect pest abundance on stree trees. PLoS ONE 2013, 8, e59687. [Google Scholar] [CrossRef]
  54. McCutchan, H.; Shackel, K.A. Stem-water Potential as a Sensitive Indicator of Water Stress in Prune Trees (Prunus domestica L. cv. French). J. Am. Soc. Hortic. Sci. 1992, 117, 607–611. [Google Scholar] [CrossRef] [Green Version]
  55. de Lobo, F.A.; de Barros, M.P.; Dalmagro, H.J.; Dalmolin, C.; Pereira, W.E.; de Souza, C.; Vourlitis, G.L.; Ortíz, C.E. Fitting net photosynthetic light-response curves with Microsoft Excel—A critical look at the models. Photosynthetica 2013, 51, 445–456. [Google Scholar] [CrossRef]
  56. NOAA National Centers for Environmental Information. Climate at a Glance. In Daily and Monthly Relative Humidity and Precipitation Data; NOAA: Raleigh, NC, USA, 2015. [Google Scholar]
  57. Graves, W. Urban Soil Temperatures and Their Potential Impact on Tree Growth. Arboric. Urban For. 1994, 20, 24–27. [Google Scholar] [CrossRef]
  58. Kim, H.H. Urban heat island. Int. J. Remote Sens. 1992, 13, 2319–2336. [Google Scholar] [CrossRef]
  59. Nielsen, C.; Bühler, O.; Kristoffersen, P. Soil Water Dynamics and Growth of Street and Park Trees. Arboric. Urban For. 2007, 33, 231–245. [Google Scholar] [CrossRef]
  60. Trumble, J.T.; Kolodny-Hirsch, D.M.; Ting, I.P. Plant Compensation for Arthropod Herbivory. Annu. Rev. Èntomol. 1993, 38, 93–119. [Google Scholar] [CrossRef]
  61. Collins, C.M.; Rosado, R.G.; Leather, S.R. The impact of the aphids Tuberolachnus salignus and Pterocomma salicis on willow trees. Ann. Appl. Biol. 2001, 138, 133–140. [Google Scholar] [CrossRef]
  62. Hellmers, H.; Genthe, M.K.; Ronco, F. Temperature affects growth and development of Engelmann spruce. For. Sci. 1970, 16, 447–452. [Google Scholar]
  63. Oke, T.R.; Crowther, J.M.; McNaughton, K.G.; Monteith, J.L.; Gardiner, B. The micrometeorology of the urban forest. Philos. Trans. R. Soc. B Biol. Sci. 1989, 324, 335–349. [Google Scholar] [CrossRef]
  64. Taha, H. Urban climates and heat islands: Albedo, evapotranspiration, and anthropogenic heat. Energy Build. 1997, 25, 99–103. [Google Scholar] [CrossRef] [Green Version]
  65. Adams, H.D.; Guardiola-Claramonte, M.; Barron-Gafford, G.A.; Villegas, J.C.; Breshears, D.D.; Zou, C.B.; Troch, P.A.; Huxman, T.E. Temperature sensitivity of drought-induced tree mortality portends increased regional die-off under global-change-type drought. Proc. Natl. Acad. Sci. USA 2009, 106, 7063–7066. [Google Scholar] [CrossRef] [Green Version]
  66. Backe, K.M.; Frank, S.D. Chronology of Gloomy Scale (Hemiptera: Diaspididae) Infestations on Urban Trees. Environ. Èntomol. 2019, 48, 1113–1120. [Google Scholar] [CrossRef]
  67. Avolio, M.L.; Pataki, D.E.; Trammell, T.L.E.; Endter-Wada, J. Biodiverse cities: The nursery industry, homeowners, and neighborhood differences drive urban tree composition. Ecol. Monogr. 2018, 88, 259–276. [Google Scholar] [CrossRef] [Green Version]
  68. Dale, A.; Youngsteadt, E.; Frank, S. Forecasting the Effects of Heat and Pests on Urban Trees: Impervious Surface Thresholds and the ‘Pace-to-Plant’ Technique. Arboric. Urban For. 2016, 42, 181–191. [Google Scholar] [CrossRef]
  69. Wargo, P.M.; Parker, J.; Houston, D.R. Starch content in roots of defoliated sugar maple. For. Sci. 1972, 18, 203–204. [Google Scholar]
  70. Vranjic, J.A.; Gullan, P.J. The Effect of a Sap-Sucking Herbivore, Eriococcus coriaceus (Homoptera: Eriococcidae), on Seedling Growth and Architecture in Eucalyptus blakelyi. Oikos 1990, 59, 157. [Google Scholar] [CrossRef]
  71. Loescher, W.H.; McCamant, T.; Keller, J.D. Carbohydrate Reserves, Translocation, and Storage in Woody Plant Roots. HortScience 1990, 25, 274–281. [Google Scholar] [CrossRef] [Green Version]
Figure 1. Mean xylem water potential per tree during each summer month of the two-year study. Water potential became more negative over the course of each summer and was statistically more negative in 2015 and in unwatered trees (p < 0.05). Error bars are the standard error of mean values. W = watered and UW = unwatered trees.
Figure 1. Mean xylem water potential per tree during each summer month of the two-year study. Water potential became more negative over the course of each summer and was statistically more negative in 2015 and in unwatered trees (p < 0.05). Error bars are the standard error of mean values. W = watered and UW = unwatered trees.
Forests 13 01012 g001
Figure 2. Regression plots of tree canopy temperature predicting leaf-level services for 2014 (left column) and 2015 (right column). (a,b) Photosynthesis rate, (c,d) stomatal conductance rate, and (e,f) transpiration rate. W = watered and UW = unwatered trees.
Figure 2. Regression plots of tree canopy temperature predicting leaf-level services for 2014 (left column) and 2015 (right column). (a,b) Photosynthesis rate, (c,d) stomatal conductance rate, and (e,f) transpiration rate. W = watered and UW = unwatered trees.
Forests 13 01012 g002
Figure 3. Regression plot of two-year mean tree canopy temperature regressed with total stem elongation per tree for each watering treatment. W = watered and UW = unwatered trees.
Figure 3. Regression plot of two-year mean tree canopy temperature regressed with total stem elongation per tree for each watering treatment. W = watered and UW = unwatered trees.
Forests 13 01012 g003
Table 1. Results of multiple linear regression with monthly mean tree canopy temperature, watering treatment, and year predicting mean A. rubrum xylem water potential in June through August of 2014 and 2015. Bolded p-values are statistically significant (p < 0.05).
Table 1. Results of multiple linear regression with monthly mean tree canopy temperature, watering treatment, and year predicting mean A. rubrum xylem water potential in June through August of 2014 and 2015. Bolded p-values are statistically significant (p < 0.05).
Xylem Water PotentialModel R2Mean (±SE)Fp
0.54
Year2014 −2.98 (0.05)F1,252 = 5.1p = 0.03
2015 −3.43 (0.06)
Watering treatmentW −3.00 (0.04)F1,36 = 17.6p < 0.0001
UW −3.34 (0.06)
Canopy temperature F1,258 = 10.4p = 0.001
Table 2. Multiple linear regression with tree canopy temperature, M. tenebricosa density, and watering treatment predicting leaf-level processes in 2014 and 2015. If the interaction between watering treatment and temperature was significant (p < 0.05), separate models were created for each watering treatment. Full model R2 and variance inflation factors (VIF) for each variable are provided. The directionality of each significant main effect is indicated in the left column. Bolded p-values are statistically significant (p < 0.05) and italicized p-values are nearly significant (p < 0.1).
Table 2. Multiple linear regression with tree canopy temperature, M. tenebricosa density, and watering treatment predicting leaf-level processes in 2014 and 2015. If the interaction between watering treatment and temperature was significant (p < 0.05), separate models were created for each watering treatment. Full model R2 and variance inflation factors (VIF) for each variable are provided. The directionality of each significant main effect is indicated in the left column. Bolded p-values are statistically significant (p < 0.05) and italicized p-values are nearly significant (p < 0.1).
R2Main Effects FVIFp
Photosynthesis2014
0.24WateredTempF1,15 = 0.61.11p = 0.46
Pest densityF1,15 = 2.91.11p = 0.11
correlation 0.61UnwateredTempF1,15 = 8.61.44p = 0.01
+correlation Pest densityF1,18 = 23.31.44p < 0.001
20150.69
+Watered Watering trt F1,13 = 5.11.02p = 0.04
correlation Temp F1,13 = 7.91.22p = 0.01
Pest density F1,13 = 2.41.23p = 0.15
Conductance2014
0.04WateredTempF1,15 = 0.11.11p = 0.77
Pest densityF1,15 = 0.61.11p = 0.44
correlation 0.37UnwateredTempF1,15 = 8.11.44p = 0.01
+correlation Pest densityF1,15 = 5.21.44p = 0.04
20150.90
+Watered Watering trt F1,15 = 6.91.02p = 0.02
correlation Temp F1,25 = 12.81.22p = 0.001
Pest density F1,18 = 0.01.23p = 0.92
Transpiration2014
0.07WateredTempF1,16 = 0.11.12p = 0.93
Pest densityF1,16 = 1.21.12p = 0.29
correlation 0.37UnwateredTempF1,16 = 6.71.45p = 0.02
+correlation Pest densityF1,16 = 7.61.45p = 0.01
20150.86
Watering trt F1,15 = 0.71.02p = 0.42
correlation Temp F1,23 = 12.21.22p = 0.002
Pest density F1,16 = 0.21.23p = 0.68
Fv/Fm20140.40
+Watered Watering trt F1,23 = 3.21.02p = 0.08
Temp F1,28 = 2.31.28p = 0.14
+correlation Pest density F1,23 = 3.51.27p = 0.07
20150.23
Watering trt F1,20 = 0.01.00p = 0.93
correlation Temp F1,20 = 3.71.19p = 0.07
Pest density F1,18 = 1.81.19p = 0.19
Table 3. Multiple linear regression with two-year mean tree canopy temperature, M. tenebricosa density, and watering treatment predicting basal area growth and total stem elongation per tree over two years. Interactions were not significant, so they were removed from each model. Bolded p-values are significant (p < 0.05), and italicized p-values are nearly significant (p < 0.1).
Table 3. Multiple linear regression with two-year mean tree canopy temperature, M. tenebricosa density, and watering treatment predicting basal area growth and total stem elongation per tree over two years. Interactions were not significant, so they were removed from each model. Bolded p-values are significant (p < 0.05), and italicized p-values are nearly significant (p < 0.1).
R2StatisticpVIF
Basal Area Growth 0.98
Watering trt F1,17 = 1.50.241.00
2YR Temp F1,28 = 1.50.231.21
Pest density F1,26 = 1.60.221.21
Total Stem Elongation 0.65
+WateredWatering trt F1,18 = 5.50.031.02
+correlation2YR Temp F1,22 = 3.90.051.97
+correlationPest density F1,20 = 7.60.011.96
Publisher’s Note: MDPI stays neutral with regard to jurisdictional claims in published maps and institutional affiliations.

Share and Cite

MDPI and ACS Style

Dale, A.G.; Frank, S.D. Water Availability Determines Tree Growth and Physiological Response to Biotic and Abiotic Stress in a Temperate North American Urban Forest. Forests 2022, 13, 1012. https://doi.org/10.3390/f13071012

AMA Style

Dale AG, Frank SD. Water Availability Determines Tree Growth and Physiological Response to Biotic and Abiotic Stress in a Temperate North American Urban Forest. Forests. 2022; 13(7):1012. https://doi.org/10.3390/f13071012

Chicago/Turabian Style

Dale, Adam G., and Steven D. Frank. 2022. "Water Availability Determines Tree Growth and Physiological Response to Biotic and Abiotic Stress in a Temperate North American Urban Forest" Forests 13, no. 7: 1012. https://doi.org/10.3390/f13071012

APA Style

Dale, A. G., & Frank, S. D. (2022). Water Availability Determines Tree Growth and Physiological Response to Biotic and Abiotic Stress in a Temperate North American Urban Forest. Forests, 13(7), 1012. https://doi.org/10.3390/f13071012

Note that from the first issue of 2016, this journal uses article numbers instead of page numbers. See further details here.

Article Metrics

Back to TopTop