Effects of Close-to-Nature Transformation on Soil Enzyme Activities and Organic Carbon Fractions in Cuninghamia lanceolata and Pinus massoniana Plantations
Abstract
:1. Introduction
2. Materials and Methods
2.1. Site Description
2.2. Experimental Design
2.3. Samplings and Measurements
2.4. Statistical Analyses
3. Results
3.1. Soil Chemical Properties
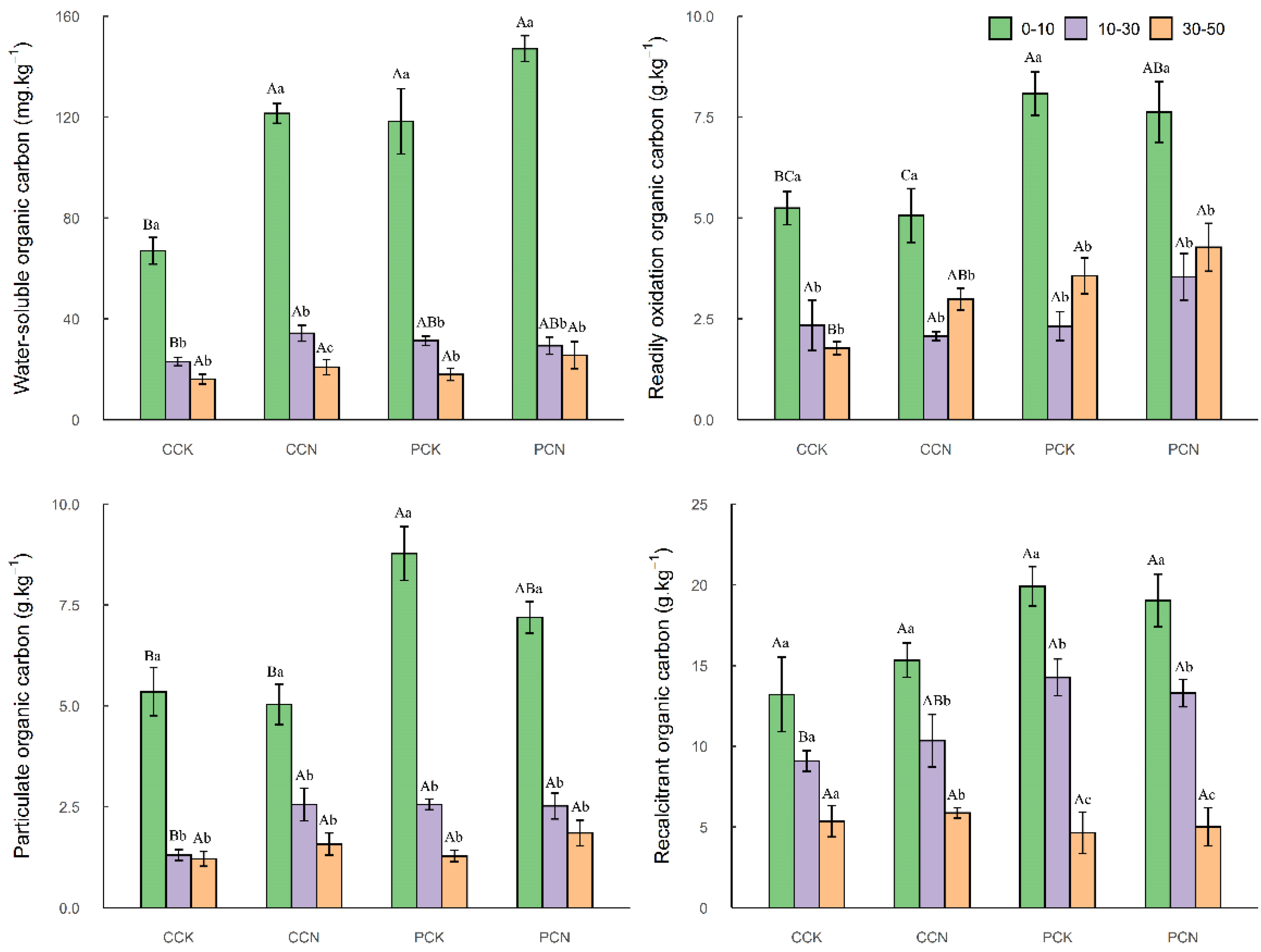
3.2. Soil Organic Carbon Fractions
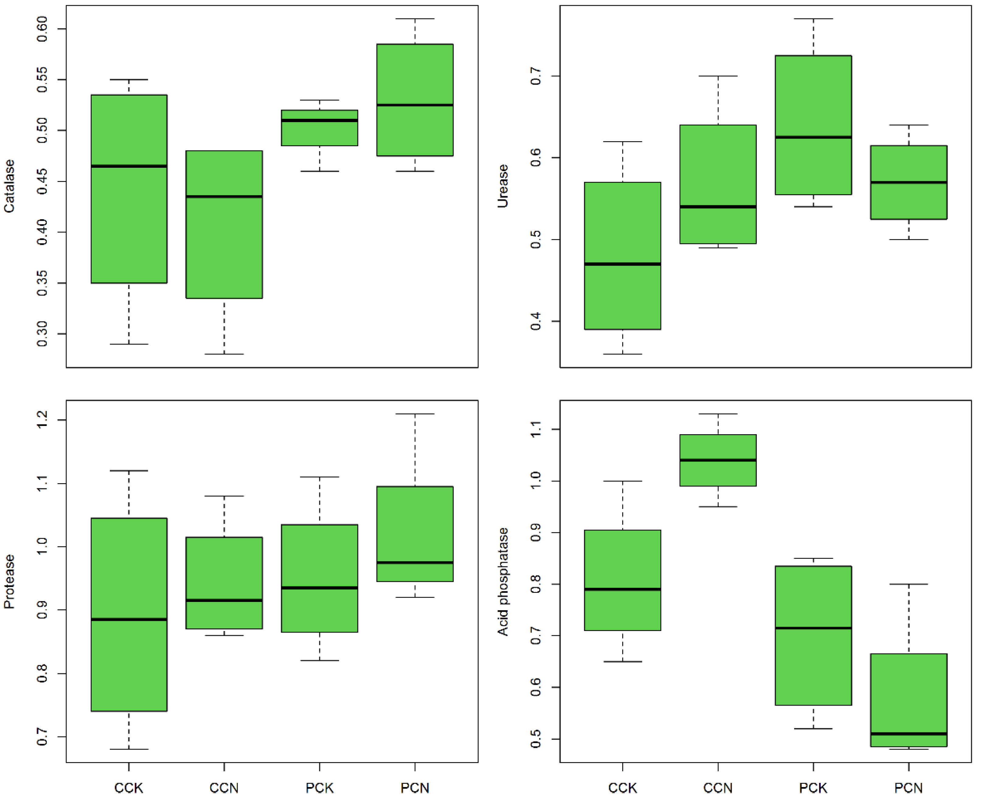
3.3. Soil Enzyme Activities
3.4. Correlation Analysis of Organic Carbon Fractions with Enzyme Activities and Chemical Factors
4. Discussion
5. Conclusions
Author Contributions
Funding
Acknowledgments
Conflicts of Interest
References
- Matos, E.S.; Freese, D.; Ślązak, A.; Bachmann, U.; Veste, M.; Hüttl, R. Organic-carbon and nitrogen stocks and organic-carbon fractions in soil under mixed pine and oak forest stands of different ages in NE Germany. J. Plant Nutr. Soil Sci. 2010, 173, 654–661. [Google Scholar] [CrossRef]
- Xiao, N.; Mo, X.Q.; Tan, X.M.; Su, X.Y.; Yan, J.L.; Gao, G.N.; Zhang, W.; Hang, X.M.; You, Y.M. Effects of muti-layer and mixed-age forest management of Pinus massoniana plantations on soil carbon components and transformation. Guangxi Zhiwu 2022, 42, 595–607. [Google Scholar] [CrossRef]
- Liu, S.R.; Yang, Y.J.; Wang, H. Development strategy and management countermeasures of planted forests in China: Transforming from timber-centered single objective management towards multi-purpose management for enhancing quality and benefits of ecosystem services. Acta Ecol. Sin. 2018, 38, 1–10. [Google Scholar]
- Bai, Y.X.; Sheng, M.Y.; Hu, Q.J.; Zhao, C.; Wu, J.; Zhang, M.S. Effects of land use change on soil organic carbon and its components in karst rocky desertification of southwest China. J. Appl. Ecol. 2020, 31, 10. [Google Scholar]
- Davidson, E.A.; Janssens, I.A. Temperature sensitivity of soil carbon decomposition and feedbacks to climate change. Nature 2006, 440, 165–173. [Google Scholar] [CrossRef]
- Pang, D.B.; Cui, M.; Liu, Y.G.; Wang, G.Z.; Cao, J.H.; Wang, X.R.; Zhou, J.X. Responses of soil labile organic carbon fractions and stocks to different vegetation restoration strategies in degraded karst ecosystems of southwest China. Ecol. Eng. 2019, 138, 391–402. [Google Scholar] [CrossRef]
- Yang, X.; Wang, D.; Lan, Y.; Meng, J.; Jiang, L.L.; Sun, Q.; Cao, D.Y.; Sun, Y.Y.; Chen, W.F. Labile organic carbon fractions and carbon pool management index in a 3-year field study with biochar amendment. J. Soils Sediments 2018, 18, 1569–1578. [Google Scholar] [CrossRef]
- Zeng, W.S. Close-to-Nature forest management: A practical approach to improve the forest quality of China. Forest Res. Manag. 2009, 2, 6–11. [Google Scholar]
- Moradi, M.; Mohadjer, M.R.M.; Sefidi, K.; Zobiri, M.; Omidi, A. Over-mature beech trees (Fagus orientalis Lipsky) and close-to-nature forestry in northern Iran. J. For. Res. 2012, 23, 6. [Google Scholar] [CrossRef]
- Jiang, J.; Liu, X.Z.; Jia, H.Y.; Ming, A.G.; Chen, B.B.; Lu, Y.C. Effects of stand density on understory species diversity and soil physicochemical properties after close-to-nature transformation management of Chinese fir plantation. J. Beijing For. Univ. 2019, 41, 174–181. [Google Scholar]
- Feng, C.; Ma, Y.H.; Jin, X.; Wang, Z.; Ma, Y.; Fu, S.L.; Chen, H.Y.H. Soil enzyme activities increase following restoration of degraded subtropical forests. Geoderma 2019, 351, 180–187. [Google Scholar] [CrossRef]
- He, Y.J.; Liang, X.Y.; Qin, L.; Li, Z.Y.; Shao, M.X.; Tan, L. Community characteristics and soil properties of coniferous plantation forest monocultures in the early stages after close-to-nature transformation management in southern subtropical China. Acta Ecol. Sin. 2013, 33, 2484–2495. [Google Scholar]
- Lai, J.M.; Li, K.Z.; Huang, C.D.; Zhan, J.; Yang, W.Q. Effect of improvement measures on soil labile organic carbon of low-efficiency Pinus massoniana forest. For. Res. 2013, 26, 167–173. [Google Scholar]
- Lu, G.; Huang, H.X.; Zhou, X.L.; Cao, X.P.; Zhao, A. Characteristics of soil organic carbon and changes of enzyme activities in burned area of spruce-fir forests in diebu forest region. Acta Agrestia Sin. 2022, 30, 943–949. [Google Scholar]
- Sinsabaugh, R.L.; Phenol, O. Peroxidase, and organic matter dynamics of soil. Soil Biol. Biochem. 2010, 42, 391–404. [Google Scholar] [CrossRef]
- Tai, T.Y. Studies on Soil Microbiological Characteristics of Da Xinganling Mountains Burned areas in Inner Mongolia. Master’s Thesis, Inner Mongolia Normal University, Hohhot, China, 2015. [Google Scholar]
- Wang, H.; He, Z.L.; Lu, Z.M.; Zhou, J.Z.; Nostrand, J.V.; Xu, X.H.; Zhang, Z.J. Genetic linkage of soil carbon pools and microbial functions in subtropical freshwater wetlands in response to experimental warming. Appl. Environ. Microb. 2012, 78, 7652–7661. [Google Scholar] [CrossRef] [Green Version]
- Sparks, D.L.; Page, A.; Helmke, P.; Loeppert, R.; Soltanpour, P.; Tabatabai, M.; Johnston, C.; Sumner, M. Methods of Soil Analysis. Part 3—Chemical Methods; Soil Science Society of America Inc.: Madison, WI, USA, 1996. [Google Scholar]
- Bao, S. Soil Agricultural Chemistry Analysis, 3rd ed.; China Agriculture Press: Beijing, China, 2000. [Google Scholar]
- Liu, G.; Jiang, N.; Zhang, L. Soil Physical and Chemical Analysis and Description of Soil Profiles; Standard Press of China: Beijing, China, 1996. [Google Scholar]
- Garten, C.T., Jr.; Post, W.M., III; Cooper, P. Forest soil carbon inventories and dynamics along an elevation gradient in the southern Appalachian Mountains. Biogeochemistry 1999, 45, 115–145. [Google Scholar] [CrossRef]
- Blair, G.; Lefroy, R.; Lisle, L. Soil carbon fractions based on their degree of oxidation, and the development of a carbon management index for agricultural systems. Aust. J. Agric. Res. 1995, 46, 393–406. [Google Scholar] [CrossRef]
- Xiang, H.M.; Wen, D.Z.; Zhang, L.L.; Li, J. Altitudinal changes in active and recalcitrant soil carbon pools of forests in the Dinghu Mountains. Acta Ecol. Sin. 2015, 35, 6089–6099. [Google Scholar]
- Yang, L.F.; Zeng, Q.; Hai-Bo, L.I.; Yan, J.J. Measurement of catalase activity in soil by ultraviolet spectrophotometry. Chin. J. Soil Sci. 2011, 42, 207–210. [Google Scholar]
- Zheng, H.Y.; Zhang, D.S. Determination and properties of soil protease activity. Chin. J. Soil Sci. 1981, 3, 32–34. [Google Scholar] [CrossRef]
- Kandeler, E.; Gerber, H. Short-term assay of soil urease activity using colorimetric determination of ammonium. Biol. Fert. Soils 1988, 6, 68–72. [Google Scholar] [CrossRef]
- Tabatabai, M.A.; Bremner, J.M. Use of p-nitrophenyl phosphate for assay of soil phosphatase activity. Soil Biol. Biochem. 1969, 1, 301–307. [Google Scholar] [CrossRef]
- R Core Team. R: A Language and Environment for Statistical Computing; R Foundation for Statistical Computing: Vienna, Austria, 2022; Available online: https://www.R-project.org/ (accessed on 10 June 2021).
- Jandl, R.; Lindner, M.; Vesterdal, L.; Auwens, B.B.; Baritz, R.; Hagedorn, F.; Johnson, D.W.; Minkkinen, K.; Byrne, K.A. How strongly can forest management influence soil carbon sequestration? Geoderma 2007, 137, 253–268. [Google Scholar] [CrossRef]
- Vieira, F.; Bayer, C.; Zanatta, J.A.; Dieckow, J.; Mielniczuk, J.; He, Z.L. Carbon management index based on physical fractionation of soil organic matter in an Acrisol under long-term no-till cropping systems. Soil Tillage Res. 2007, 96, 195–204. [Google Scholar] [CrossRef]
- Zhang, X.; Han, S.J.; Wang, S.Q.; Gu, Y.; Chen, Z.J. Change of soil organic carbon fractions at different successional stages of betula platyphylla forest in changbai mountains. Acta Ecol. Sin. 2016, 35, 282–289. [Google Scholar]
- Yang, Y.S.; Liu, Y.L.; Chen, G.S.; Li, L.; Xie, J.S.; Lin, P. Content and distribution of unprotected soil organic carbon in natural and monoculture plantation forests of Castanopsis kawakamii in subtropical China. Acta Ecol. Sin. 2004, 24, 1–8. [Google Scholar]
- Zhang, L.; Zhang, D.L.; Mao, Z.J. Charicateristic of Soil oranic carbon and its components in different successional series of broadleaved Korean Pine Forest in Xiaoxing’an Mountains. Sci. Silvae Sin. 2017, 53, 11–17. [Google Scholar]
- Xi, D.; Yu, Z.P.; Xiong, Y.; Liu, X.Y.; Liu, J. Altitudinal changes of soil organic carbon fractions of evergreen broadleaved forests in Guanshan Mountain Jiangxi, China. Chin. J. Appl. Ecol. 2020, 31, 3349–3356. [Google Scholar]
- Xi, D.; Weng, H.D.; Hu, Y.L.; Wu, J.P. Effects of canopy nitrogen addition and understory removal on soil organic carbon fractions in a Chinese fir plantation. Acta Ecol. Sin. 2021, 41, 8525–8534. [Google Scholar]
- Gao, Y.; Ma, H.L.; Gao, R.; Yin, Y.F.; Zhang, W.; Zhu, X.M.; Yang, Y.S. Effects of simulated nitrogen deposition on phenolics and soluble sugar in forest soils. Soils 2014, 46, 41–46. [Google Scholar]
- Liao, D.; Yu, D.S.; Zhao, Y.C.; Wang, N.; Zhang, H.D.; Pan, J.J.; Shi, X.Z. Composition of organic carbon in paddy soil in typical area of Chengdu and its influencing factors. Acta Pedol. Sin. 2015, 52, 517–527. [Google Scholar]
- Xiao, S.S. Carbon Sequestration and Response of Soil Organic Carbon Pool to Exogenous Nitrogen Input in Temperate Semi-Arid Grassland Ecosystem. Ph.D. Thesis, Graduate School of Chinese Academy of Sciences, Beijing, China, 2010. [Google Scholar]
- Huang, X.M.; Liu, S.R.; You, Y.M.; Wen, Y.G.; Hui, W.; Wang, J.X. Microbial community and associated enzymes activity influence soil carbon chemical composition in Eucalyptus urophylla plantation with mixing N2-fixing species in subtropical China. Plant Soil 2016, 414, 199–212. [Google Scholar] [CrossRef]
- Liu, X.D.; Chen, L.; Yang, X.G.; Zhang, Y.F.; Zhao, W.; Li, X.B. Characteristics of soil labile organic carbon fractions and their relationship with soil enzyme activities in four typical communities in desert steppe. Acta Bot. Boreali-Occident. Sin. 2016, 36, 1882–1890. [Google Scholar]
- Zhang, S.Y.; Yuan, H.H.; Lu, H.; Jiang, C.F.; Xiang, S.M. The soil enzyme activities of different land use types and the relationships between the soil enzyme activities and physical-chemical properties or microorganism in Mountainous Area of Northwest Yunnan Province. Subtrop. Soil Water Conserv. 2010, 22, 13–16. [Google Scholar]
- Marhan, S.; Kandeler, E.; Scheu, S. Phospholipid fatty acid profiles and xylanase activity in particle size fractions of forest soil and casts of Lumbricus terrestris L. (Oligochaeta, Lumbricidae). Appl. Soil Ecol. 2007, 35, 412–422. [Google Scholar] [CrossRef]
- Cenini, V.L.; Fornara, D.A.; Mcmullan, G.; Ternan, N.; Carolan, R.; Crawley, M.J.; Clément, J.C.; Lavorel, S. Linkages between extracellular enzyme activities and the carbon and nitrogen content of grassland soils. Soil Biol. Biochem. 2016, 96, 198–206. [Google Scholar] [CrossRef] [Green Version]
- Tursová, M.; Baldrian, P. Effects of soil properties and management on the activity of soil organic matter transforming enzymes and the quantification of soil-bound and free activity. Plant Soil 2013, 38, 99–110. [Google Scholar] [CrossRef]
- Sinsabaugh, R.L.; Carreiro, M.M.; Repert, D.A. Allocation of extracellular enzymatic activity in relation to litter composition, N deposition, and mass loss. Biogeochemistry 2002, 60, 1–24. [Google Scholar] [CrossRef]



| Plantation Types | CCK | CCN | PCK | PCN |
|---|---|---|---|---|
| Slope aspect | Southwest | Southwest | Northwest | Northwest |
| Slope (°) | 24.6 ± 2.6 a | 23.1 ± 2.9 a | 21.3 ± 3.6 a | 22.4 ± 4.1 a |
| Canopy density | 0.78 ± 0.09 b | 0.79 ± 0.11 b | 0.71 ± 0.09 b | 0.88 ± 0.03 a |
| Basal area (m2 ha−1) | 31.98 ± 2.18 b | 50.82 ± 1.21 c | 51.81 ± 0.21 a | 61.43 ± 0.90 d |
| Litterfall (t ha−1 yr−1) | 9.02 ± 0.19 b | 9.54 ± 0.34 b | 10.23 ± 0.94 a | 10.84 ± 0.49 a |
| Soil Chemical Properties | Soil Depth (cm) | CCK | CCN | PCK | PCN |
|---|---|---|---|---|---|
| pH | 0–10 | 4.77 ± 0.14 Aa | 4.80 ± 0.04 Aa | 4.24 ± 0.06 Ba | 4.25 ± 0.04 Ba |
| 10–30 | 4.67 ± 0.08 Aa | 4.64 ± 0.07 Aa | 4.31 ± 0.12 Aa | 4.29 ± 0.11 Aa | |
| 30–50 | 4.74 ± 0.10 Aa | 475 ± 0.08 Aa | 4.33 ± 0.05 ABa | 4.48 ± 0.08 Ba | |
| Organic carbon (g kg−1) | 0–10 | 18.45 ± 2.43 Ba | 20.40 ± 1.20 ABa | 26.65 ± 1.70 Aa | 27.99 ± 2.18 Aa |
| 10–30 | 9.52 ± 1.77 Bb | 12.41 ± 1.72 ABb | 16.58 ± 1.19 Ab | 16.82 ± 1.10 Ab | |
| 30–50 | 8.83 ± 1.73 Ab | 8.87 ± 0.15 Ab | 8.20 ± 0.93 Ac | 9.28 ± 1.71 Ac | |
| Total nitrogen (g kg−1) | 0–10 | 1.27 ± 0.04 Ba | 1.28 ± 0.05 Ba | 1.56 ± 0.06 Aa | 1.58 ± 0.09 Aa |
| 10–30 | 0.59 ± 0.14 Ab | 0.77 ± 0.05 Ab | 0.93 ± 0.10 Ab | 0.92 ± 0.04 Ab | |
| 30–50 | 0.53 ± 0.06 Ab | 0.69 ± 0.11 Ab | 0.66 ± 0.07 Ab | 0.61 ± 0.17 Ab | |
| Alkali-hydrolyzable nitrogen (mg kg−1) | 0–10 | 81.06 ± 6.45 Aa | 92.21 ± 9.81 Aa | 99.87 ± 2.40 Aa | 97.82 ± 4.8 Aa |
| 10–30 | 53.02 ± 7.83 Ab | 60.55 ± 3.99 Ab | 59.98 ± 5.35 Ab | 57.50 ± 3.93 Ab | |
| 30–50 | 32.26 ± 6.87 Ab | 46.71 ± 2.59 Ab | 50.68 ± 3.50 Ab | 53.73 ± 5.72 Ab | |
| Total phosphorus (g kg−1) | 0–10 | 0.23 ± 0.06 Aa | 0.26 ± 0.02 Aa | 0.26 ± 0.01 Aa | 0.27 ± 0.01 Aa |
| 10–30 | 0.20 ± 0.04 Aa | 0.21 ± 0.03 Aa | 0.20 ± 0.01 Ab | 0.20 ± 0.02 Aab | |
| 30–50 | 0.18 ± 0.04 Aa | 0.20 ± 0.04 Aa | 0.19 ± 0.02 Ab | 0.19 ± 0.03 Ab | |
| Available phosphorus (mg kg−1) | 0–10 | 1.15 ± 0.12 Ba | 1.08 ± 0.20 ABa | 1.81 ± 0.22 Aa | 1.70 ± 0.14 ABa |
| 10–30 | 0.50 ± 0.09 Bb | 0.80 ± 0.15 ABa | 1.03 ± 0.12 Ab | 1.05 ± 0.10 Ab | |
| 30–50 | 0.35 ± 0.08 Ab | 0.51 ± 0.04 Aa | 0.40 ± 0.08 Ac | 0.49 ± 0.13 Ac | |
| Total potassium (g kg−1) | 0–10 | 20.01 ± 2.64 Aa | 16.02 ± 3.81 AB | 6.45 ± 1.53 Ba | 5.81 ± 0.50 Ba |
| 10–30 | 19.87 ± 2.98 Aa | 14.70 ± 1.93 Aa | 7.04 ± 0.70 Ba | 6.22 ± 0.31 Ba | |
| 30–50 | 20.71 ± 6.62 Aa | 14.29 ± 2.48 ABa | 5.80 ± 0.27 Ba | 5.56 ± 0.58 Ba | |
| Available potassium (mg kg−1) | 0–10 | 125.59 ± 11.80 Aa | 106.38 ± 20.21 ABa | 72.98 ± 19.31 ABa | 51.33 ± 10.70 Ba |
| 10–30 | 73.68 ± 24.47 Aa | 96.12 ± 17.78 Aa | 38.78 ± 18.55 Aa | 24.39 ± 6.11 Aa | |
| 30–50 | 120.72 ± 24.55 Aa | 103.65 ± 25.35 ABa | 34.80 ± 18.55 Ba | 22.37 ± 5.75 Ba | |
| NO3−-N (mg kg−1) | 0–10 | 18.58 ± 0.53 A | 20.74 ± 1.63 A | 18.27 ± 1.14 A | 19.61 ± 0.97 A |
| NH4+ -N (mg kg−1) | 0–10 | 20.57 ± 1.09 A | 24.05 ± 3.01 A | 22.08 ± 1.99 A | 23.28 ± 2.63 A |
| CAT | PRO | URE | ACP | pH | TN | AN | TP | AP | TK | AK | NH4+-N | NO3−-N | |
|---|---|---|---|---|---|---|---|---|---|---|---|---|---|
| SOC | 0.61 * | 0.44 | 0.49 | −0.35 | −0.87 *** | 0.76 *** | 0.45 | −0.21 | 0.50 | −0.68 ** | −0.67 ** | 0.08 | 0.01 |
| WSOC | 0.42 | 0.25 | 0.44 | −0.22 | −0.55 * | 0.50 * | 0.50 | −0.07 | 0.52 * | −0.59 * | −0.54 * | 0.03 | 0.17 |
| ROOC | 0.59 * | 0.13 | 0.39 | −0.49 | −0.76 *** | 0.65 ** | 0.41 | −0.03 | 0.66 ** | −0.59 * | −0.58 * | 0.14 | 0.05 |
| ROC | 0.56 * | 0.53 * | 0.41 | −0.26 | −0.83 *** | 0.73 ** | 0.54 * | −0.26 | 0.37 | −0.65 ** | −0.63 ** | 0.05 | −0.01 |
| POC | 0.61 * | 0.40 | 0.47 | −0.45 | −0.83 *** | 0.69 ** | 0.40 | −0.00 | 0.51 * | −0.66 ** | −0.63 ** | −0.04 | −0.20 |
Publisher’s Note: MDPI stays neutral with regard to jurisdictional claims in published maps and institutional affiliations. |
© 2022 by the authors. Licensee MDPI, Basel, Switzerland. This article is an open access article distributed under the terms and conditions of the Creative Commons Attribution (CC BY) license (https://creativecommons.org/licenses/by/4.0/).
Share and Cite
Shu, W.; Ming, A.; Zhang, J.; Li, H.; Min, H.; Ma, J.; Yang, K.; Li, Z.; Zeng, J.; Wei, J.; et al. Effects of Close-to-Nature Transformation on Soil Enzyme Activities and Organic Carbon Fractions in Cuninghamia lanceolata and Pinus massoniana Plantations. Forests 2022, 13, 872. https://doi.org/10.3390/f13060872
Shu W, Ming A, Zhang J, Li H, Min H, Ma J, Yang K, Li Z, Zeng J, Wei J, et al. Effects of Close-to-Nature Transformation on Soil Enzyme Activities and Organic Carbon Fractions in Cuninghamia lanceolata and Pinus massoniana Plantations. Forests. 2022; 13(6):872. https://doi.org/10.3390/f13060872
Chicago/Turabian StyleShu, Weiwei, Angang Ming, Jihui Zhang, Hua Li, Huilin Min, Junxu Ma, Kun Yang, Zhongguo Li, Ji Zeng, Juling Wei, and et al. 2022. "Effects of Close-to-Nature Transformation on Soil Enzyme Activities and Organic Carbon Fractions in Cuninghamia lanceolata and Pinus massoniana Plantations" Forests 13, no. 6: 872. https://doi.org/10.3390/f13060872
APA StyleShu, W., Ming, A., Zhang, J., Li, H., Min, H., Ma, J., Yang, K., Li, Z., Zeng, J., Wei, J., Li, Z., & Tao, Y. (2022). Effects of Close-to-Nature Transformation on Soil Enzyme Activities and Organic Carbon Fractions in Cuninghamia lanceolata and Pinus massoniana Plantations. Forests, 13(6), 872. https://doi.org/10.3390/f13060872

