Population Variability of Almond-Leaved Willow (Salix triandra L.) Based on the Leaf Morphometry: Isolation by Distance and Environment Explain Phenotypic Diversity
Abstract
1. Introduction
2. Materials and Methods
2.1. Plant Material
2.2. Environmental Data
2.3. Morphometric Analysis
2.4. Statistical Analysis
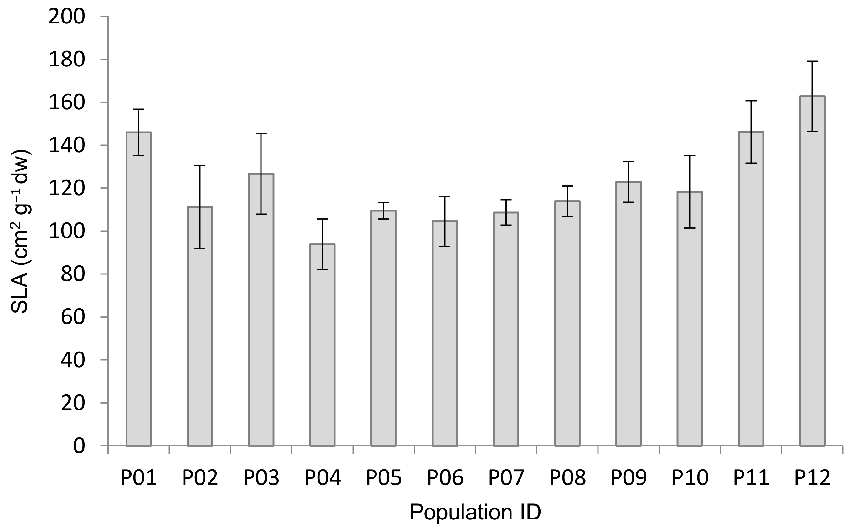
3. Results
3.1. Climate Differences among Sampling Sites
3.2. Populations’ Phenotypic Diversity
4. Discussion
5. Conclusions
Supplementary Materials
Author Contributions
Funding
Acknowledgments
Conflicts of Interest
References
- Czesnick, H.; Lenhard, M. Size control in plants—Lessons from leaves and flowers. Cold Spring Harb. Perspect. Biol. 2015, 7, a019190. [Google Scholar] [CrossRef] [PubMed]
- Ivanova, L.A.; Ivanov, L.A.; Ronzhina, D.A.; Yudina, P.K.; Migalina, S.V.; Shinehuu, T.; Tserenkhand, G.; Voronin, P.Y.; Anenkhonov, O.A.; Bazha, S.N.; et al. Leaf traits of C3- and C4-plants indicating climatic adaptation along a latitudinal gradient in Southern Siberia and Mongolia. Flora 2019, 254, 122–134. [Google Scholar] [CrossRef]
- Adamidis, G.C.; Varsamis, G.; Tiripidis, I.; Dimitrakopoulos, P.G.; Papageorgiou, A.C. Patterns of leaf morphological traits of beech (Fagus sylvatica L.) along an altitudinal gradient. Forests 2021, 12, 1297. [Google Scholar] [CrossRef]
- Viscosi, V.; Antonecchia, G.; Lepais, O.; Fortini, P.; Gerber, S.; Loy, A. Leaf shape and size differentiation in white oaks: Assessment of allometric relationships among three sympatric species and their hybrids. Int. J. Plant Sci. 2012, 173, 875–884. [Google Scholar] [CrossRef]
- Hagemeier, M.; Leuschner, C. Functional crown architecture of five temperate broadleaf tree species: Vertical gradients in leaf morphology, leaf angle and leaf area density. Forests 2019, 10, 265. [Google Scholar] [CrossRef]
- Flexas, J.; Bota, J.; Loreto, F.; Cornic, G.; Sharkey, T.D. Diffusive and metabolic limitations to photosynthesis under drought and salinity in C3 plants. Plant Biol. 2004, 6, 269–279. [Google Scholar] [CrossRef]
- Galmés, J.; Flexas, J.; Medrano, H.; Niinemets, Ü.; Valladares, F. Ecophysiology of photosynthesis in semi-arid environments. In Terrestrial Photosynthesis in a Changing Environment. A Molecular, Physiological and Ecological Approach, 1st ed.; Flexas, J., Loreto, F., Medrano, H., Eds.; Cambridge University Press: Cambridge, UK, 2012; pp. 448–464. [Google Scholar]
- Poorter, H.; Niinemets, Ü.; Poorter, L.; Wright, I.; Villar, R. Causes and consequences of variation in leaf mass per area (LMA): A meta-analysis. New Phytol. 2009, 182, 565–588. [Google Scholar] [CrossRef]
- De la Riva, E.G.; Olmo, M.; Poorter, H.; Ubera, J.L.; Villar, R. Leaf mass per area (LMA) and its relationship with leaf structure and anatomy in 34 Mediterranean woody species along a water availability gradient. PLoS ONE 2016, 11, e0148788. [Google Scholar] [CrossRef]
- Yan, Y.; Liu, Q.; Zhang, Q.; Ding, Y.; Li, Y. Adaptation of dominant species to drought in the inner Mongolia grassland—Species level and functional type level analysis. Front. Plant Sci. 2019, 10, 231. [Google Scholar] [CrossRef]
- Purohit, A.N.; Dhyani, P.P. Thermal gradients as control factors for leaf size variations at different altitudes in mountains. Acta Biotheor. 1988, 37, 3–26. [Google Scholar] [CrossRef]
- Tian, M.; Yu, G.; He, N.; Hou, J. Leaf morphological and anatomical traits from tropical to temperate coniferous forests: Mechanisms and influencing factors. Sci. Rep. 2016, 6, 19703. [Google Scholar] [CrossRef] [PubMed]
- Manishimwe, A.; Ntirugulirwa, B.; Zibera, E.; Nyirambangutse, B.; Mujawamariya, M.; Dusenge, M.E.; Bizuru, E.; Nsabimana, D.; Uddling, J.; Wallin, G. Warming responses of leaf morphology are highly variable among tropical tree species. Forests 2022, 13, 219. [Google Scholar] [CrossRef]
- Givnish, T.J. Leaf and canopy adaptations in tropical forests. In Physiological Ecology of Pants of the Wet Tropics; Medina, E., Mooney, H.A., Vázquez-Yánes, C., Eds.; Springer: Dordrecht, The Netherlands, 1984. [Google Scholar]
- Fonseca, C.R.; Overton, J.M.; Collins, B.; Westoby, M. Shifts in trait-combinations along rainfall and phosphorus gradients. J. Ecol. 2000, 88, 964–977. [Google Scholar] [CrossRef]
- Li, Y.; Zou, D.; Shrestha, N.; Xu, X.; Wang, Q.; Jia, W.; Wang, Z. Spatiotemporal variation in leaf size and shape in response to climate. J. Plant Ecol. 2020, 13, 87–96. [Google Scholar] [CrossRef]
- Robakowski, P.; Wyka, T.; Samardakiewicz, S.; Kierzkowski, D. Growth, photosynthesis, and needle structure of silver fir (Abies alba Mill.) seedlings under different canopies. For. Ecol. Manag. 2004, 201, 211–227. [Google Scholar] [CrossRef]
- Petritan, A.M.; von Lüpke, B.; Petritan, I.C. Influence of light availability on growth, leaf morphology and plant architecture of beech (Fagus sylvatica L.), maple (Acer pseudoplatanus L.) and ash (Fraxinus excelsior L.) saplings. Eur. J. For. Res. 2009, 128, 61–74. [Google Scholar] [CrossRef]
- Souza, M.L.; Duarte, A.A.; Lovato, M.B.; Fagundes, M.; Vallardes, F.; Lemos-Filho, J.P. Climatic factors shaping intraspecific leaf trait variation of a neotropical tree along a rainfall gradient. PLoS ONE 2018, 13, e0208512. [Google Scholar] [CrossRef]
- Boutsios, S.; Vidalis, A.; Adamidis, G.C.; Hatziskakis, S.; Varsamis, G.; Tsiripidis, I.; Karanikola, P.; Papageorgiou, A.C. Diversity in shade and light leaf morphology in beech populations of south Rodopi montains. Proc. Natl. Acad. Sci. India Sect. B Biol. Sci. 2021, 91, 53–61. [Google Scholar] [CrossRef]
- Danquah, J.A.; Appiah, M.; Ari, P. Eco-geographic in leaf morphology of African Mahogany (Khaya anthoteca and Khaya ivorensis) provenances in Ghana. Eur. J. Sci. Res. 2011, 51, 18–28. [Google Scholar]
- Fan, X.; Yan, X.; Qian, C.; Goudia Bachir, D.; Yin, X.; Sun, P.; Ma, X.-F. Leaf variations in a dominant desert shrub, Reaumuria soongarica, adapted to heterogeneous environments. Ecol. Evol. 2020, 10, 10076–10094. [Google Scholar] [CrossRef]
- Bar, M.; Ori, N. Leaf development and morphogenesis. Development 2014, 141, 4219–4230. [Google Scholar] [CrossRef]
- Tsukaya, H. Leaf shape diversity with an emphasis on leaf contour variation, developmental background, and adaptation. Semin. Cell Dev. Biol. 2018, 79, 48–57. [Google Scholar] [CrossRef]
- Wolters, H.; Jürgens, G. Survival of the flexible: Hormonal growth control and adaptation in plant development. Nat. Rev. Genet. 2009, 10, 305–317. [Google Scholar] [CrossRef] [PubMed]
- Fritz, M.A.; Rosa, S.; Sicard, A. Mechanisms underlying the environmentally induced plasticity of leaf morphology. Front. Genet. 2018, 9, 478. [Google Scholar] [CrossRef] [PubMed]
- Ren, J.; Ji, X.; Wang, C.; Hu, J.; Nervo, G.; Li, J. Variation and genetic parameters of leaf morphological traits of eight families from Populus simonii × P. nigra. Forests 2020, 11, 1319. [Google Scholar] [CrossRef]
- Jump, A.S.; Marchant, R.; Peñuelas, J. Environmental change and the option value of genetic diversity. Trends Plant Sci. 2009, 14, 51–58. [Google Scholar] [CrossRef]
- Petrik, P.; Petek, A.; Konôpková, A.; Bosela, M.; Fleischer, P.; Frýdl, J.; Kurjak, D. Stomatal and leaf morphology response of European beech (Fagus sylvatica L.) provenances transferred to contrasting climatic conditions. Forests 2020, 11, 1359. [Google Scholar] [CrossRef]
- Liu, W.; Zheng, L.; Qi, D. Variation in leaf traits at different altitudes reflects the adaptive strategy of plants to environmental changes. Ecol. Evol. 2020, 10, 8166–8175. [Google Scholar] [CrossRef]
- Liu, Y.; Xiang, H.; Huang, Z.; Xiang, X.; Yu, Y.; Wang, M.; Li, Z. Analysis of leaf-architecture characteristics and ecological adaptability of tree species in the upper reaches of the Chishui river. Ecol. Indic. 2022, 135, 108563. [Google Scholar] [CrossRef]
- Forsman, A. Rethinking phenotypic plasticity and its consequences for individuals, populations and species. Heredity 2014, 115, 276–284. [Google Scholar] [CrossRef]
- Karrenberg, S.; Edwards, P.; Kollmann, J. The life history of Salicaceae living in the active zone of floodplains. Freshw. Biol. 2002, 47, 733–748. [Google Scholar] [CrossRef]
- Drzewiecka, K.; Mleczek, M.; Gąsecka, M.; Magdziak, Z.; Goliński, P. Changes in Salix viminalis L. cv. ‘Cannabina’ morphology and physiology in response to nickel ions. Hydroponic investigations. J. Hazard. Meter. 2012, 217–218, 429–438. [Google Scholar] [CrossRef] [PubMed]
- Gąsecka, M.; Mleczek, M.; Drzewiceka, K.; Magdziak, Z.; Rissmann, I.; Chadzinikolau, T.; Golinski, P. Physiological and morphological changes in Salix viminalis L. as a result of plant exposure to copper. J. Environ. Sci. Health Part A 2012, 47, 548–557. [Google Scholar] [CrossRef] [PubMed]
- Özden Keleş, S. Variation in morphological and wood cell traits in coppice stems of Populus nigra L. and Salix alba L. J. For. Sci. 2021, 67, 396–407. [Google Scholar] [CrossRef]
- Dickman, D.I.; Kuzovkina, J. Poplars and willows of the world, with emphasis on silviculturally important species. In Poplars and Willows: Trees for Society and the Environment, 1st ed.; Isebrands, J., Richardson, J., Eds.; CABI: Wallingford, UK, 2014; pp. 8–91. [Google Scholar]
- Cunniff, J.; Purdy, S.J.; Barraclough, T.J.P.; Castle, M.; Maddison, A.L.; Jones, L.E.; Shield, I.F.; Gregory, A.S.; Karp, A. High yielding biomass genotypes of willow (Salix spp.) show differences in below ground biomass allocation. Biomass Bioenergy 2015, 80, 114–127. [Google Scholar] [CrossRef]
- Hietala, T.; Mozes, N.; Genet, M.J.; Roseqvist, H.; Laakso, S. Surface lipids and their distribution on willow (Salix) leaves: A combined chemical, morphological and physiochemical study. Colloids Surf. B 1997, 8, 205–215. [Google Scholar] [CrossRef]
- Marcysiak, K. Diversity of Salix reticulata (Salicaceae) leaf traits in Europe and its relation to geographical position. Plant Biosyst. 2012, 146, 101–111. [Google Scholar] [CrossRef]
- Marcysiak, K. Variation of leaf shape in Salix herbacea in Europe. Plant Syst. Evol. 2012, 298, 1597–1607. [Google Scholar] [CrossRef]
- Guet, J.; Fabbrini, F.; Fichot, R.; Sabatti, M.; Bastien, C.; Brignolas, F. Genetic variation for leaf morphology, leaf structure and leaf carbon isotope discrimination in European populations of black poplar (Populus nigra L.). Tree Physiol. 2015, 35, 850–863. [Google Scholar] [CrossRef]
- Ye, M.; Gao, P.; Jiang, P.; Wu, R. Identification of quantitative trait loci for altitude adaptation of tree leaf shape with Populus szechuanica in the Qinghai-Tibetan plateau. Front. Plant Sci. 2020, 11, 632. [Google Scholar] [CrossRef]
- Rushfort, K. Trees of Britain & Europe, 1st ed.; HarperCollins Publishers LLC.: New York, NY, USA, 1999; Volume 1, p. 1336. [Google Scholar]
- Isebrands, J.G.; Richardson, J. Introduction. In Poplars and Willows, 1st ed.; Isebrands, J.G., Richardson, J., Eds.; CABI: Wallingford, UK, 2014; Volume 1, pp. 1–7. [Google Scholar]
- Hörandl, E.; Florineth, F.; Hadacek, F. Weiden in Österreich und Angrenzenden Gebieten, 2nd ed.; University of Agriculture: Vienna, Austria, 2012; p. 164. [Google Scholar]
- Trybush, S.; Jahodova, Š.; Macalpine, W.; Karp, A. A genetic study of a Salix germplasm resource reveals new insights into relationships among subgenera, sections and species. Bioener. Res. 2008, 1, 67–69. [Google Scholar] [CrossRef]
- Tomaszewski, D. The wax layer and its morphological variability in for European Salix species. Flora 2004, 199, 320–326. [Google Scholar] [CrossRef]
- Khalili, Z.; Maassoumi, A.A.; Ghahremaninejad, F.; Mirzaie-Nodoushan, H. Foliar anatomy of some Salix species (Salicaceae) in Iran. Iran. J. Bot. 2010, 16, 293–302. [Google Scholar]
- Zou, Y.; Li, X.; Yang, G. Sprout regeneration of shrub willows after cuttings. Plants 2020, 9, 1684. [Google Scholar] [CrossRef]
- Maciejewska-Rutkowska, I.; Bocianowski, J.; Wrońska-Pilarek, D. Pollen morphology and variability of Polish native species from genus Salix L. PLoS ONE 2021, 16, e0252253. [Google Scholar] [CrossRef]
- Fick, S.E.; Hijmans, R.J. WorldClim 2: New 1km spatial resolution climate surfaces for global land areas. Int. J. Climatol. 2017, 37, 4302–4315. [Google Scholar] [CrossRef]
- Wani, A.A.; Zargar, S.A.; Malik, A.H.; Kashtwari, M.; Nazir, M.; Khuroo, A.A.; Ahmad, F.; Dar, T.A. Assessment of variability in morphological characters of apricot germplasm of Kashmir, India. Sci. Hortic. 2017, 225, 630–637. [Google Scholar] [CrossRef]
- WinFolia TM, version PRO 2005b; Regent Instruments Inc.: Quebec, QC, Canada, 2001.
- Sokal, R.R.; Rohlf, F.J. Biometry: The Principles and Practice of Statistics in Biological Research, 4th ed.; W.H. Freeman and Co.: New York, NY, USA, 2012; p. 937. [Google Scholar]
- STATISTICA (Data Analysis Software System), version 13; StatSoft, Inc.: Tulsa, OK, USA, 2018.
- Douaihy, B.; Sobierajska, K.; Jasinska, A.K.; Boratynska, K.; Ok, T.; Romo, A.; Machon, N.; Didukh, Y.; Dagher-Kharrat, M.B.; Boratynski, A. Morphological versus molecular markers to describe variability in Juniperus excelsa subsp. excelsa (Cupressaceae). AoB Plants 2012, 2012, pls13. [Google Scholar]
- Boratynski, A.; Jasinska, A.K.; Marcysiak, K.; Mazur, M.; Romo, A.M.; Boratynska, K.; Sobierajska, K.; Iszkuło, G. Morphological differentiation supports the genetic pattern of the geographic structure of Juniperus thurifera (Cupressaceae). Plant Syst. Evol. 2013, 299, 773–784. [Google Scholar] [CrossRef]
- Sobierajska, K.; Boratynska, K.; Jasinska, A.; Dering, M.; Ok, T.; Douaihy, B.; Dagher-Kharrat, M.B.; Romo, A.; Boratynski, A. Effect of the Aegean Sea barrier between Europe and Asia on differentiation in Juniperus drupacea (Cupressaceae). Bot. J. Linn. Soc. 2016, 180, 365–385. [Google Scholar] [CrossRef]
- Poljak, I.; Idžojtić, M.; Šapić, I.; Korijan, P.; Vukelić, J. Diversity and structure of Croatian continental and Alpine-Dinaric populations of grey alder (Alnus incana (L.) Moench subsp. incana): Isolation by distance and environment explains phenotypic divergence. Šumarski list 2018, 142, 19–32. [Google Scholar] [CrossRef]
- R Core Team. R: A Language and Environment for Statistical Computing; R Foundation for Statistical Computing: Vienna, Austria, 2016; Available online: http://www.R-project.org/ (accessed on 20 December 2021).
- Koutecký, P. MorphoTools: A set of R functions for morphometric analysis. Plant Syst. Evol. 2015, 301, 1115–1121. [Google Scholar] [CrossRef]
- Hijmans, R.J.; Cameron, S.E.; Parra, J.L.; Jones, P.G.; Jarvis, A. Very high resolution interpolated climate surfaces for global land areas. Int. J. Climatol. 2005, 25, 1965–1978. [Google Scholar] [CrossRef]
- Mantel, N. The detection of disease clustering and a generalized regression approach. Cancer Res. 1967, 27, 209–220. [Google Scholar]
- Manly, B.F.J. Randomization, Bootstrap and Monte Carlo Methods in Biology, 3rd ed.; Chapman & Hall; CRC, Taylor & Francis Group: Boca Raton, FL, USA, 2007; p. 480. [Google Scholar]
- Smouse, P.E.; Long, J.C.; Sokal, R. Multiple regression and correlation extensions of the Mantel test of matrix correspondence. Syst. Zool. 1986, 35, 627–632. [Google Scholar] [CrossRef]
- Rohlf, F.J. Exeter Software (Firm) NTSYS-Pc: Numerical Taxonomy and Multivariate Analysis System; Applied Biostatistics, Inc.: Setauket, NY, USA, 2009. [Google Scholar]
- Krüssmann, G. Handbuch der Laubgehölze, 1st ed.; Paul Parey: Berlin, Germany, 1962; pp. 445–446. [Google Scholar]
- Bartha, D. Salix triandra L. In Enzyklopädie der Holzgewächse: Handbuch und Atlas der Dendrologie, 1st ed.; Roloff, A., Weisberger, H., Lang, U.M., Stimm, B., Schütt, P., Eds.; Wiley-VCH: Weinheim, Germany, 2011; Volume 3, p. 11. [Google Scholar]
- Calagari, M.; Modirrahmati, A.R.; Asadi, F. Morphological variation in leaf traits of Populus euphratica Oliv. natural populations. Int. J. Agri. Biol. 2006, 8, 754–758. [Google Scholar]
- Clair, S.B.; Monson, S.D.; Smith, E.A.; Cahill, D.G.; Calder, W.J. Altered leaf morphology, leaf resource dilution and defense chemistry induction in frost-defoliated aspen (Populus tremuloides). Tree Physiol. 2009, 29, 1259–1268. [Google Scholar] [CrossRef][Green Version]
- Al Afas, N.; Marron, N.; Ceulemans, R. Variability in Populus leaf anatomy and morphology in relation to canopy position, biomass production, and varietal taxon. Ann. For. Sci. 2007, 64, 521–532. [Google Scholar] [CrossRef]
- Čortan, D.; Tubić, B.; Šijačić-Nikolić, M.; Borota, D. Variability of black poplar (Populus nigra L.) leaf morphology in Vojvodina, Serbia. Šumarski List 2015, 139, 245–251. [Google Scholar]
- Krauze-Michalska, E.; Boratyńska, K. European geography of Alnus incana leaf variation. Plant Biosyst. 2013, 147, 601–610. [Google Scholar] [CrossRef]
- Poljak, I.; Idžojtić, M.; Šapić, I.; Vukelić, J.; Zebec, M. Population variability of grey (Alnus incana /L./Moench) and black alder (A. glutinosa/L./Gaertn.) in the Mura and Drava region according to the leaf morphology. Šumarski List 2014, 138, 7–16. [Google Scholar]
- Pyakurel, A.; Wang, J.R. Leaf morphological variation among paper birch (Betula papyrifera Marsh.) genotypes across Canada. Open J. Ecol. 2013, 3, 284–295. [Google Scholar] [CrossRef]
- Franiel, I.; Więski, K. Leaf features of silver birch (Betula pendula Roth). Variability within and between two populations (uncontaminated vs Pb-contaminated and Zn-contaminated site). Trees 2005, 19, 81–88. [Google Scholar] [CrossRef]
- Dancik, B.P.; Barnes, B.V. Leaf variability in yellow birch (Betula alleghaniensis) in relation to environment. Can. J. For. Res. 1975, 5, 149–159. [Google Scholar] [CrossRef]
- Halle, F.; Oldeman, R.A.A.; Tomlinson, P.B. Tropical Trees and Forests: An Architectural Analysis, 1st ed.; Springer: Berlin/Heidleberg, Germany, 1978; p. 463. [Google Scholar]
- Hovenden, M.J.; Vander Schoor, J.K.; Osanai, Y. Relative humidity has dramatic impacts on leaf morphology but little effect on stomatal index or density in Nothofagus cuninghamii (Nothofagaceae). Aus. J. Bot. 2012, 60, 700–706. [Google Scholar] [CrossRef]
- Gong, H.; Gao, J. Soil and climatic drivers of plant SLA (specific leaf area). Glob. Ecol. 2019, 20, e00696. [Google Scholar] [CrossRef]
- Ashman, T.-L. The limits on sexual dimorphism in vegetative traits in a gynodioecious plant. Am. Nat. 2005, 166, 5–16. [Google Scholar] [CrossRef]
- Barret, S.C.H.; Hough, J. Sexual dimorphism in flowering plants. J. Exp. Bot. 2013, 64, 67–82. [Google Scholar] [CrossRef]
- Nicotra, A.B.; Chazdon, R.L.; Montgomery, R.A. Sexes show contrasting patterns of leaf and crown carbon gain in a dioecious rainforest shrub. Am. J. Bot. 2003, 90, 347–355. [Google Scholar] [CrossRef]
- Li, C.; Xu, G.; Zang, R.; Korpelainen, H.; Berninger, F. Sex-related differences in leaf morphological and physiological responses in Hippophae rhamnoides along an altitudinal gradient. Tree Psysiol. 2007, 27, 399–406. [Google Scholar] [CrossRef]
- Slate, M.L.; Rosenstiel, T.N.; Eppley, S.M. Sex-specific morphological and physiological differences in the moss Ceratodon purpureus (Dicranales). Ann. Bot. 2017, 120, 845–854. [Google Scholar] [CrossRef]
- Ågren, J.; Danell, K.; Elmqvist, T.; Eriscon, L.; Hjältén, J. Sexual dimorphism and biotic interactions. In Gender and Sexual Dimorphism in Flowering Plants; Geber, M.A., Dawson, T.E., Delph, L.F., Eds.; Springer: Berlin, Germany, 1999; pp. 217–246. [Google Scholar] [CrossRef]
- Hultine, K.R.; Grady, K.C.; Wood, T.E.; Shuster, S.M.; Stella, J.C.; Whitham, T.G. Climate change perils for dioecious plant species. Nat. Plants 2016, 2, 16109. [Google Scholar] [CrossRef] [PubMed]
- Korgiopoulou, C.; Bresta, P.; Nikolopoulos, D.; Karabourniotis, G. Sex-specific structural and functional leaf traits and sun–shade acclimation in the dioecious tree Pistacia vera (Anacardiaceae). Funct. Plant Biol. 2019, 46, 649–659. [Google Scholar] [CrossRef] [PubMed]
- Wheelwright, N.T.; Sinclair, J.P.; Hochwender, C.; Janzen, F.J. Leaf size in three generations of a dioecious tropical tree, Ocotea tenera (Lauraceae): Sexual dimorphism and changes with age. Am. J. Bot. 2012, 99, 1350–1355. [Google Scholar] [CrossRef] [PubMed]
- Brus, R.; Idžojtić, M.; Jarni, K. Morphologic variation in northern marginal Juniperus oxycedrus L. subsp. oxycedrus populations in Istria. Plant Biosyst. 2014, 150, 274–284. [Google Scholar] [CrossRef]
- Garbarino, M.; Weisberg, P.J.; Bagnara, L.; Urbinati, C. Sex-related spatial segregation along environmental gradients in the dioecious conifer, Taxus baccata. For. Ecol. Manag. 2015, 358, 122–129. [Google Scholar] [CrossRef]
- Gouker, F.G.; Carlson, C.H.; Zou, J.; Evans, L.; Crowell, C.R.; Smart, C.D.; DiFazio, S.P.; Smart, L.B. Sexual dimorphism in the dioecious willow Salix purpurea. Am. J. Bot. 2021, 108, 1374–1387. [Google Scholar] [CrossRef]
- Midgley, J.J. Causes of secondary sexual differences in plants—Evidence from extreme leaf dimorphism in Leucadendron (Proteaceae). S. Afr. J. Bot. 2010, 76, 588–592. [Google Scholar] [CrossRef]
- Stefanović, M.; Nikolić, B.; Matić, R.; Popović, Z.; Vidaković, V.; Bojović, S. Exploration of sexual dimorphism of Taxus baccata L. needles in natural populations. Trees 2017, 31, 1697–1710. [Google Scholar] [CrossRef]
- Sanderson, B.J.; Wang, L.; Tiffin, P.; Wu, Z.; Olson, M.S. Sex-biased gene expression in flowers, but not leaves, reveals secondary sexual dimorphism in Populus balsamifera. New Phytol. 2019, 221, 527–539. [Google Scholar] [CrossRef]
- Robinson, K.M.; Delhomme, N.; Mähler, N.; Schiffthaler, B.; Önskog, J.; Albrectsen, B.R.; Ingvarsson, P.K.; Hvidsten, T.R.; Jansson, S.; Street, N.R. Populus tremula (European aspen) shows no evidence of sexual dimorphism. BMC Plant Biol. 2014, 14, 276. [Google Scholar] [CrossRef]
- Du, Q.; Xu, B.; Gong, C.; Yang, X.; Pan, W.; Tian, J.; Li, B.; Zhang, D. Variation in growth, leaf, and wood property traits of Chinese white poplar (Populus tomentosa), a major industrial tree species in Northern China. Can. J. For. Res. 2014, 44, 326–339. [Google Scholar] [CrossRef]
- McKown, A.D.; Klápště, J.; Guy, R.D.; Soolanayakanahally, R.Y.; La Mantia, J.; Porth, I.; Skyba, O.; Unda, F.; Douglas, C.J.; El-Kassaby, Y.A.; et al. Sexual homomorphism in dioecious trees: Extensive tests fail to detect sexual dimorphism in Populus. Sci. Rep. 2017, 7, 1831. [Google Scholar] [CrossRef] [PubMed]
- Ueno, N.; Suyama, Y.; Seiwa, K. What makes the sex ratio female-biased in the dioecious tree Salix sachalinensis? J. Ecol. 2007, 95, 951–959. [Google Scholar] [CrossRef]
- Dudley, L.S.; Galen, C. Satge-dependent patterns of drought tolerance and gas exchange vary between sexes in the alpine willow, Salix glauca. Oecologia 2007, 153, 1–9. [Google Scholar] [CrossRef]
- Chavarriá-Soley, G.; Contreras, J.; Raventoś, H. Chapter 6—Founder variations in isolated populations. In Translational and Applied Genomics, Genome Plasticity in Health and Disease; Forero, D.A., Patrinos, G.P., Eds.; Academic Press: Cambridge, MA, USA, 2020; pp. 77–91. [Google Scholar] [CrossRef]
- Royer, D.L.; McElwain, J.C.; Adams, J.M.; Wilf, P. Sensitivity of leaf size and shape to climate within Acer rubrum and Quercus kelloggii. New Phytol. 2008, 179, 808–817. [Google Scholar] [CrossRef] [PubMed]
- Li, X.; Li, Y.; Zhang, Z.; Li, X. Influences of environmental factors on leaf morphology of Chinese jujubes. PLoS ONE 2015, 10, e0127825. [Google Scholar] [CrossRef]
- Radersma, R.; Noble, D.W.A.; Uller, T. Plasticity leaves a phenotypic signature during local adaptation. Evol. Lett. 2020, 4, 360–370. [Google Scholar] [CrossRef]
- Meunier, C.; Boersma, M.; El-Sabaawi, R.; Halvorson, H.M.; Herstoff, E.M.; Van de Waal, D.B.; Vogt, R.J.; Litchman, E. From elements to function: Toward unifying ecological stoichiometry and trait-based ecology. Front. Environ. Sci. 2017, 5, 18. [Google Scholar] [CrossRef]
- Aerts, R.; Chapin, F.S. The mineral nutrition of wild plants revisited: A reevaluation of processes and patterns. Adv. Ecol. Res. 2000, 30, 1–67. [Google Scholar] [CrossRef]
- Chown, S.L.; Gaston, K.J.; Robinson, D. Macrophysiology: Large-scale patterns in physiological traits and their ecological implications. Funct. Ecol. 2004, 18, 159–167. [Google Scholar] [CrossRef]
- Wright, I.J.; Reich, P.B.; Westboy, M.; Ackerly, D.D.; Baruch, Z.; Bongers, F.; Cavender-Bares, J.; Chapin, T.; Cornelissen, J.H.C.; Diemer, M.; et al. The worldwide leaf economics spectrum. Nature 2004, 428, 821–827. [Google Scholar] [CrossRef] [PubMed]
- Liu, M.; Wang, Z.; Li, S.; Lü, X.; Wang, X.; Han, X. Changes in specifc leaf area of dominant plants in temperate grasslands along a 2500-km transect in northern China. Sci. Rep. 2017, 7, 10780. [Google Scholar] [CrossRef] [PubMed]
- Wilson, P.J.; Thompson, K.; Hodgson, J.G. Specific leaf area and leaf dry matter content as alternative predictors of plant strategies. New Phytol. 1999, 143, 155–162. [Google Scholar] [CrossRef]
- Dwyer, J.M.; Hobbs, R.J.; Mayfield, M.M. Specific leaf area responses to environmental gradients through space and time. Ecology 2014, 95, 399–410. [Google Scholar] [CrossRef]
- Wright, S. Isolation by distance. Genetics 1943, 28, 114–138. [Google Scholar] [CrossRef]
- Wang, I.J.; Bradburd, G.S. Isolation by environment. Mol. Ecol. 2014, 23, 5649–5663. [Google Scholar] [CrossRef]
- Sexton, J.P.; Hangartner, S.B.; Hoffmann, A. Genetic isolation by environment or distance: Which pattern of gene flow is most common? Evolution 2013, 68, 1–15. [Google Scholar] [CrossRef]
- Holt, R.D.; Gomulkiewicz, R. How does immigration influence local adaptation? A re-examination of a familiar paradigm. Am. Nat. 1997, 149, 563–572. [Google Scholar] [CrossRef]
- Sexton, J.P.; Strauss, S.Y.; Rice, K.J. Gene flow increases fitness at the warm edge of a species’ range. Proc. Natl. Acad. Sci. USA 2011, 108, 11704–11709. [Google Scholar] [CrossRef]
- Dewoody, J.; Trewin, H.; Taylor, G. Genetic and morphological differentiation in Populus nigra L.: Isolation by colonization or isolation by adaptation? Mol. Ecol. 2015, 24, 2641–2655. [Google Scholar] [CrossRef] [PubMed]
- Riordan, E.C.; Gugger, P.F.; Ortego, J.; Smith, C.; Gaddis, K.; Thompson, P.; Sork, V.L. Association of genetic and phenotypic variability with geography and climate in three southern California oaks. Am. J. Bot. 2016, 103, 73–85. [Google Scholar] [CrossRef] [PubMed]
- Buzatti, R.S.O.; Pfeilsticker, T.R.; Muniz, A.C.; Ellis, V.A.; Souza, R.P.; Lemos-Filho, J.P.; Lovato, M.B. Disentangling the environmental factors that shape genetic and phenotypic leaf trait variation in the tree Qualea grandiflora across the Brazilian savanna. Front. Plant Sci. 2019, 10, 1580. [Google Scholar] [CrossRef] [PubMed]
- Vidaković, A.; Liber, Z.; Šatović, Z.; Idžojtić, M.; Volenec, I.; Zegnal, I.; Pintar, V.; Radunić, M.; Poljak, I. Phenotypic diversity of almond-leaved pear (Pyrus spinosa Forssk.) along Eastern Adriatic coast. Forests 2021, 12, 1630. [Google Scholar] [CrossRef]
- Gao, J.; Liu, Z.-L.; Zhao, W.; Tomlinson, K.W.; Xia, S.-W.; Zeng, Q.-Y.; Wang, X.-R.; Chen, J. Combined genotype and phenotype analyses reveal patterns of genomic adaptation to local environments in the subtropical oak Quercus acutissima. J. Syst. Evol. 2021, 59, 541–556. [Google Scholar] [CrossRef]






| Population ID | Descriptive Parameter | LA (cm2) | FC | LL (cm) | MLW (cm) | PMLW (cm) | LW2 (cm) | LA1 (°) | LA2 (°) | PL (cm) |
|---|---|---|---|---|---|---|---|---|---|---|
| P01 | M | 5.47 | 0.37 | 5.75 | 1.33 | 2.78 | 0.46 | 28.95 | 20.17 | 0.92 |
| CV (%) | 45.15 | 21.20 | 24.56 | 21.87 | 30.05 | 28.03 | 20.21 | 20.78 | 32.94 | |
| P02 | M | 4.00 | 0.39 | 4.85 | 1.18 | 2.02 | 0.34 | 34.88 | 22.79 | 0.76 |
| CV (%) | 23.71 | 19.04 | 14.74 | 14.98 | 18.51 | 32.79 | 9.81 | 15.15 | 21.47 | |
| P03 | M | 3.84 | 0.37 | 4.91 | 1.11 | 2.09 | 0.33 | 32.49 | 21.05 | 0.56 |
| CV (%) | 26.94 | 16.78 | 16.13 | 15.23 | 19.86 | 31.17 | 11.12 | 12.56 | 23.68 | |
| P04 | M | 2.60 | 0.39 | 3.90 | 0.95 | 1.78 | 0.31 | 32.58 | 20.99 | 0.38 |
| CV (%) | 21.48 | 11.04 | 13.28 | 11.85 | 15.38 | 17.95 | 9.46 | 9.70 | 23.08 | |
| P05 | M | 3.75 | 0.40 | 4.60 | 1.15 | 2.06 | 0.34 | 34.80 | 22.67 | 0.72 |
| CV (%) | 24.15 | 13.13 | 11.11 | 16.02 | 16.80 | 31.12 | 9.00 | 10.60 | 15.91 | |
| P06 | M | 4.47 | 0.40 | 5.00 | 1.26 | 2.08 | 0.38 | 35.51 | 23.29 | 0.93 |
| CV (%) | 29.41 | 12.84 | 15.23 | 17.71 | 19.60 | 27.87 | 10.00 | 10.49 | 22.95 | |
| P07 | M | 3.48 | 0.36 | 4.69 | 1.03 | 2.02 | 0.32 | 32.39 | 20.73 | 0.83 |
| CV (%) | 25.35 | 11.45 | 13.20 | 16.57 | 19.84 | 20.75 | 9.27 | 12.87 | 23.37 | |
| P08 | M | 3.95 | 0.41 | 4.63 | 1.18 | 1.86 | 0.38 | 37.01 | 24.01 | 0.64 |
| CV (%) | 23.13 | 8.99 | 11.75 | 13.46 | 21.91 | 25.41 | 7.78 | 8.15 | 18.25 | |
| P09 | M | 5.08 | 0.34 | 5.78 | 1.20 | 2.33 | 0.36 | 32.56 | 20.10 | 0.84 |
| CV (%) | 32.14 | 9.42 | 15.58 | 16.05 | 31.06 | 31.31 | 10.90 | 10.45 | 26.81 | |
| P10 | M | 3.95 | 0.33 | 5.25 | 1.04 | 2.16 | 0.32 | 31.70 | 19.04 | 0.80 |
| CV (%) | 21.62 | 15.03 | 11.51 | 14.94 | 18.60 | 25.55 | 12.31 | 13.87 | 23.98 | |
| P11 | M | 7.76 | 0.35 | 7.00 | 1.58 | 2.48 | 0.47 | 34.59 | 22.22 | 1.21 |
| CV (%) | 25.04 | 18.32 | 13.28 | 17.04 | 22.99 | 26.19 | 10.18 | 13.50 | 20.77 | |
| P12 | M | 6.75 | 0.33 | 6.90 | 1.39 | 2.58 | 0.39 | 33.49 | 19.89 | 1.02 |
| CV (%) | 23.23 | 20.04 | 12.37 | 17.22 | 22.98 | 28.10 | 17.06 | 18.65 | 21.82 | |
| Total | M | 4.41 | 0.37 | 5.15 | 1.19 | 2.15 | 0.36 | 33.67 | 21.62 | 0.78 |
| SD | 1.75 | 0.06 | 1.10 | 0.24 | 0.55 | 0.11 | 4.31 | 3.23 | 0.26 | |
| Min | 1.47 | 0.17 | 2.81 | 0.58 | 0.92 | 0.23 | 17.00 | 12.00 | 0.13 | |
| Max | 16.06 | 0.66 | 10.47 | 2.35 | 6.40 | 0.89 | 48.00 | 35.00 | 2.18 | |
| CV (%) | 39.74 | 16.78 | 21.39 | 20.37 | 25.51 | 30.82 | 12.80 | 14.92 | 33.50 |
| Trait | Components of the Variance | df | F | Percent of Variability | p-Value |
|---|---|---|---|---|---|
| LA | Among populations | 11 | 15.28 | 53.31 | <0.01 |
| Within populations | 56 | 13.75 | 15.43 | <0.01 | |
| Error | 31.26 | ||||
| FC | Among populations | 11 | 2.66 | 14.41 | <0.01 |
| Within populations | 56 | 26.94 | 41.85 | <0.01 | |
| Error | 43.74 | ||||
| LL | Among populations | 11 | 19.77 | 57.53 | <0.01 |
| Within populations | 56 | 12.12 | 12.26 | <0.01 | |
| Error | 30.21 | ||||
| MLW | Among populations | 11 | 6.78 | 38.55 | <0.01 |
| Within populations | 56 | 21.60 | 26.82 | <0.01 | |
| Error | 34.63 | ||||
| PMLW | Among populations | 11 | 6.24 | 24.48 | <0.01 |
| Within populations | 56 | 10.74 | 21.54 | <0.01 | |
| Error | 53.98 | ||||
| LW2 | Among populations | 11 | 3.77 | 15.65 | <0.01 |
| Within populations | 56 | 12.06 | 23.81 | <0.01 | |
| Error | 60.54 | ||||
| LA1 | Among populations | 11 | 3.39 | 14.75 | <0.01 |
| Within populations | 56 | 25.34 | 43.36 | <0.01 | |
| Error | 41.89 | ||||
| LA2 | Among populations | 11 | 2.96 | 16.40 | <0.01 |
| Within populations | 56 | 33.39 | 46.41 | <0.01 | |
| Error | 37.19 | ||||
| PL | Among populations | 11 | 11.63 | 52.82 | <0.01 |
| Within populations | 56 | 24.13 | 22.61 | <0.01 | |
| Error | 24.56 |
Publisher’s Note: MDPI stays neutral with regard to jurisdictional claims in published maps and institutional affiliations. |
© 2022 by the authors. Licensee MDPI, Basel, Switzerland. This article is an open access article distributed under the terms and conditions of the Creative Commons Attribution (CC BY) license (https://creativecommons.org/licenses/by/4.0/).
Share and Cite
Tumpa, K.; Šatović, Z.; Vidaković, A.; Idžojtić, M.; Stipetić, R.; Poljak, I. Population Variability of Almond-Leaved Willow (Salix triandra L.) Based on the Leaf Morphometry: Isolation by Distance and Environment Explain Phenotypic Diversity. Forests 2022, 13, 420. https://doi.org/10.3390/f13030420
Tumpa K, Šatović Z, Vidaković A, Idžojtić M, Stipetić R, Poljak I. Population Variability of Almond-Leaved Willow (Salix triandra L.) Based on the Leaf Morphometry: Isolation by Distance and Environment Explain Phenotypic Diversity. Forests. 2022; 13(3):420. https://doi.org/10.3390/f13030420
Chicago/Turabian StyleTumpa, Katarina, Zlatko Šatović, Antonio Vidaković, Marilena Idžojtić, Rudolf Stipetić, and Igor Poljak. 2022. "Population Variability of Almond-Leaved Willow (Salix triandra L.) Based on the Leaf Morphometry: Isolation by Distance and Environment Explain Phenotypic Diversity" Forests 13, no. 3: 420. https://doi.org/10.3390/f13030420
APA StyleTumpa, K., Šatović, Z., Vidaković, A., Idžojtić, M., Stipetić, R., & Poljak, I. (2022). Population Variability of Almond-Leaved Willow (Salix triandra L.) Based on the Leaf Morphometry: Isolation by Distance and Environment Explain Phenotypic Diversity. Forests, 13(3), 420. https://doi.org/10.3390/f13030420

