Divergent Seasonal Patterns of Qinghai Spruce Growth with Elevation in Northwestern China
Abstract
:1. Introduction
2. Materials and Methods
2.1. Study Area
2.2. Experimental Design
2.3. Data Collection
2.3.1. Dendrometer Record Collection
2.3.2. Weather and Soil Data Collection
2.4. Data Analysis
2.4.1. Seasonal Growth Pattern Assessment
2.4.2. Analysis of the Relationship between Stem Growth and Environmental Factors
3. Results
3.1. Environmental Variables and Gradients during the Growing Season across Different Elevations
3.2. Divergent Seasonal Patterns of Stem Diameter Growth with Changes in Elevation
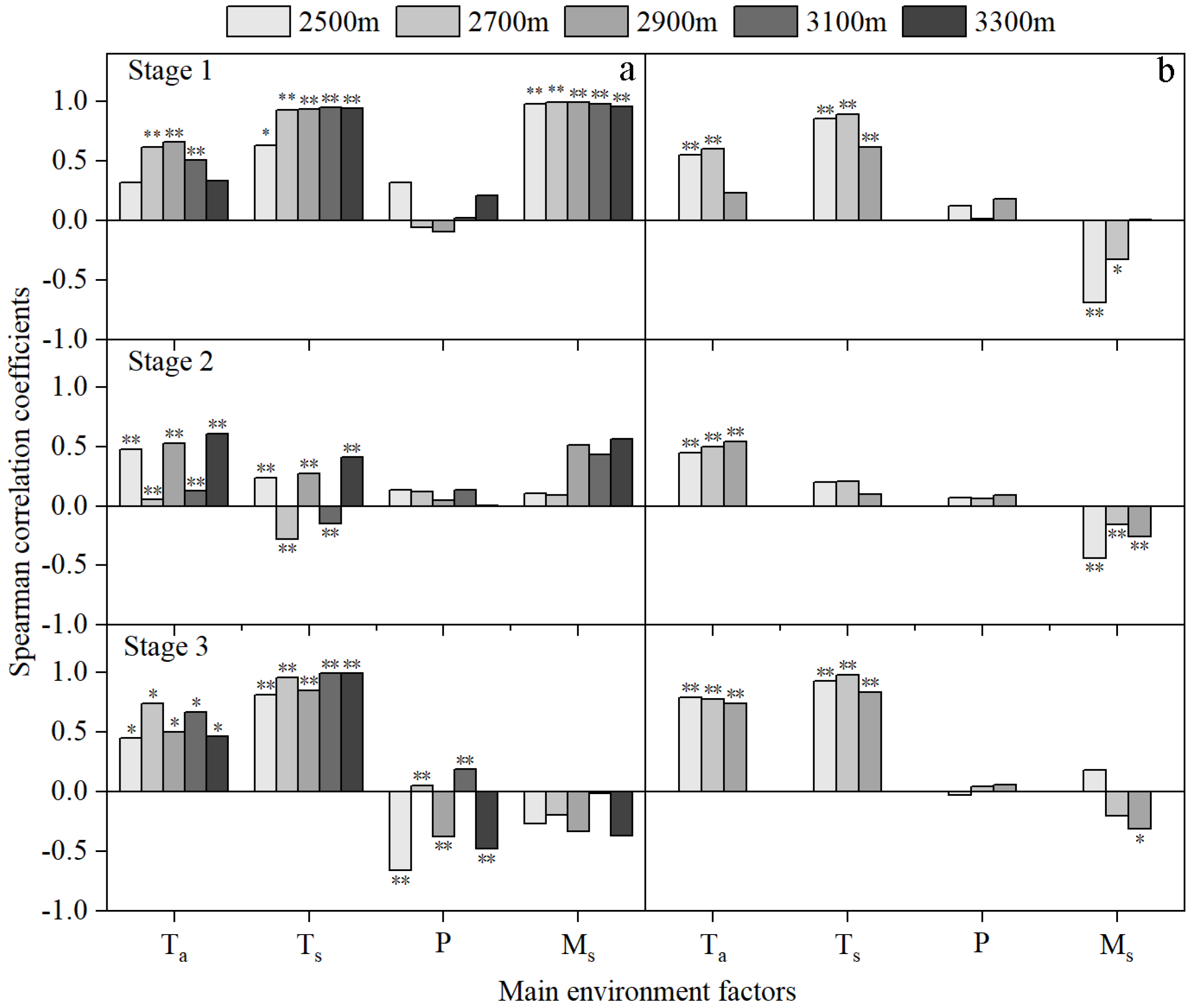
3.3. Thresholds of Environmental Factors for the Seasonal Patterns of Stem Diameter Growth
3.4. Impacts of Environmental Factors on the Daily Stem Growth Rate
4. Discussion
4.1. Impacts of Environmental Factors on Seasonal Growth Patterns across Different Elevations
4.2. Impacts of Environmental Factors on Daily Stem Growth across Different Elevations
4.3. Implications for Forest Management
5. Conclusions
Author Contributions
Funding
Data Availability Statement
Acknowledgments
Conflicts of Interest
References
- IPCC. Climate Change 2014: Mitigation of Climate Change. Contribution of Working Group III to the Fifth Assessment Report of the Intergovernmental Panel on Climate Change; Edenhofer, O., Pichs-Madruga, R., Sokona, Y., Farahani, E., Kadner, S., Seyboth, K., Adler, A., Baum, I., Brunner, S., Eickemeier, P., et al., Eds.; Cambridge University Press: Cambridge, UK, 2014. [Google Scholar]
- Li, J.; Cook, E.R.; D’arrigo, R.; Chen, F.; Gou, X. Moisture variability across China and Mongolia: 1951–2005. Clim. Dyn. 2009, 32, 1173–1186. [Google Scholar] [CrossRef]
- Piao, S.; Ciais, P.; Huang, Y.; Shen, Z.; Peng, S.; Li, J.; Zhou, L.; Liu, H.; Ma, Y.; Ding, Y. The impacts of climate change on water resources and agriculture in China. Nature 2010, 467, 43–51. [Google Scholar] [CrossRef] [PubMed]
- Hof, A.R.; Girona, M.M.; Fortin, M.J.; Tremblay, J.A. Using landscape simulation models to help balance conflicting goals in changing forests. Front. Ecol. Evol. 2021, 9, 818. [Google Scholar] [CrossRef]
- Ameray, A.; Bergeron, Y.; Valeria, O.; Montoro Girona, M.; Cavard, X. Forest carbon management: A review of silvicultural practices and management strategies across boreal, temperate and tropical forests. Curr. For. Rep. 2021, 7, 245–266. [Google Scholar] [CrossRef]
- Andreu, L.; Gutierrez, E.; Macias, M.; Ribas, M.; Bosch, O.; Camarero, J.J. Climate increases regional tree-growth variability in Iberian pine forests. Glob. Chang. Biol. 2007, 13, 804–815. [Google Scholar] [CrossRef]
- Wang, B.; Yu, P.; Zhang, L.; Wang, Y.; Yu, P.; Wang, S. Differential trends of Qinghai spruce growth with elevation in Northwestern China during the recent warming hiatus. Forests 2019, 10, 712. [Google Scholar] [CrossRef] [Green Version]
- Wang, B.; Yu, P.; Yu, Y.; Wang, Y.; Zhang, L.; Wan, Y.; Wang, S.; Liu, X. Trees at a moderately arid site were more sensitive to long-term drought. Forests 2021, 12, 579. [Google Scholar] [CrossRef]
- Zhang, L.; Shi, H.; Yu, P.; Wang, Y.; Pan, S.; Wang, B.; Tian, H. Divergent growth responses to warming between stand-grown and open-grown trees in a dryland montane forest in Northwestern China. Forests 2019, 10, 1133. [Google Scholar] [CrossRef] [Green Version]
- Teets, A.; Fraver, S.; Weiskittel, A.R.; Hollinger, D.Y. Quantifying climate-growth relationships at the stand level in a mature mixed-species conifer forest. Glob. Chang. Biol. 2018, 24, 3587–3602. [Google Scholar] [CrossRef] [PubMed]
- Körner, C. Alpine Plant Life: Functional Plant Ecology of High Mountain Ecosystems; Springer: Berlin/Heidelberg, Germany, 2003. [Google Scholar] [CrossRef]
- Peterson, D.W.; Peterson, D.L. Mountain hemlock growth responds to climatic variability at annual and decadal time scales. Ecology 2001, 82, 3330–3345. [Google Scholar] [CrossRef]
- Takahashi, K. Effects of altitude and competition on growth and mortality of the conifer Abies sachalinensis. Ecol. Res. 2010, 25, 801–812. [Google Scholar] [CrossRef]
- Wang, Z.; Yang, B.; Deslauriers, A.; Achim, B. Intra-annual stem radial increment response of Qilian juniper to temperature and precipitation along an altitudinal gradient in Northwestern China. Trees 2015, 29, 25–34. [Google Scholar] [CrossRef]
- Moser, L.; Fonti, P.; Buntgen, U.; Esper, J.; Luterbacher, J.; Franzen, J.; Frank, D. Timing and duration of European larch growing season along altitudinal gradients in the Swiss Alps. Tree Physiol. 2010, 30, 225–233. [Google Scholar] [CrossRef] [PubMed]
- Saderi, S.; Rathgeber, C.B.K.; Rozenberg, P.; Fournier, M. Phenology of wood formation in larch (Larix decidua Mill.) trees growing along a 1000-m elevation gradient in the French Southern Alps. Ann. For. Sci. 2019, 76, 89. [Google Scholar] [CrossRef]
- Gao, J.; Yang, B.; He, M.; Shishov, V. Intra-annual stem radial increment patterns of Chinese pine, Helan Mountains, Northern Central China. Trees Struct. Funct. 2019, 33, 751–763. [Google Scholar] [CrossRef]
- Duchesne, L.; Houle, D.; D’Orangeville, L. Influence of climate on seasonal patterns of stem increment of balsam fir in a boreal forest of Québec, Canada. Agric. For. Meteorol. 2012, 108–114. [Google Scholar] [CrossRef]
- Zhang, J.; Gou, X.; Pederson, N.; Zhang, F.; Niu, H.; Zhao, S.; Wang, F. Cambial phenology in Juniperus przewalskii along different altitudinal gradients in a cold and arid region. Tree Physiol. 2018, 38, 840–852. [Google Scholar] [CrossRef]
- Wan, Y.; Yu, P.; Li, X.; Wang, Y.; Wang, B.; Yu, Y.; Zhang, L.; Liu, X.; Wang, S. Seasonal pattern of stem diameter growth of Qinghai spruce in the Qilian Mountains, northwestern China. Forests 2020, 11, 494. [Google Scholar] [CrossRef]
- Jiang, Y.; Wang, B.; Dong, M.; Huang, Y.; Wang, M.; Wang, B. Response of daily stem radial growth of Platycladus orientalis to environmental factors in a semi-arid area of North China. Trees 2015, 29, 87–96. [Google Scholar] [CrossRef]
- Ziaco, E.; Biondi, F. Tree growth, cambial phenology, and wood anatomy of limber pine at a Great Basin (USA) mountain observatory. Trees Struct. Funct. 2016, 30, 1507–1521. [Google Scholar] [CrossRef] [Green Version]
- Wang, B.; Chen, T.; Xu, G.; Liu, X.; Wang, W.; Wu, G.; Zhang, Y. Alpine timberline population dynamics under climate change: A comparison between Qilian juniper and Qinghai spruce tree species in the middle Qilian Mountains of Northeast Tibetan Plateau. Boreas 2016, 45, 411–422. [Google Scholar] [CrossRef]
- Tian, Q.; He, Z.; Xiao, S.; Peng, X.; Ding, A.; Lin, P. Response of stem radial growth of Qinghai spruce (Picea crassifolia) to environmental factors in the Qilian Mountains of China. Dendrochronologia 2017, 44, 76–83. [Google Scholar] [CrossRef]
- Li, X.; Liu, X.; Wang, L.; Yu, P.; Niu, Y.; Wang, S.; Wan, Y. Diameter structure and its effect on radial growth of Picea crassifolia forest in the Qilian Mountains. Arid Zone Res. 2017, 34, 1117–1123. [Google Scholar] [CrossRef]
- Zhao, Y.; Liu, X.; Li, G.; Wang, S.; Zhao, W.; Ma, J. Phenology of five shrub communities along an elevation gradient in the Qilian Mountains, China. Forests 2018, 9, 58. [Google Scholar] [CrossRef] [Green Version]
- Zhang, L.; Yu, P.T.; Wang, Y.H.; Wang, S.L.; Liu, X.D. Biomass change of middle aged forest of Qinghai spruce along an altitudinal gradient on the north slope of Qilian Mountains. Sci. Silva. Sin. 2015, 51, 4–10. [Google Scholar] [CrossRef]
- Wang, J.; Chang, X.; Ge, S.; Miao, M.; Chang, Z.; Zhang, H. Vertical distribution of the vegetation and water and heat conditions of Qilian Mountain (northern slope). J. Northwest For. Coll. 2001, 16, 1–3. [Google Scholar]
- Wang, J.; Wang, Y.; Wang, S.; Yu, P.; Zhang, X.; Ge, S. A preliminary study on the precipitation variation of complex watershed on forestry and grasses of Qilian Mountains. For. Res. 2006, 19, 416–422. [Google Scholar]
- Yang, W.; Wang, Y.; Webb, A.; Li, Z.; Tian, X.; Han, Z.; Wang, S.; Yu, P. Influence of climatic and geographic factors on the spatial distribution of Qinghai spruce forests in the dryland Qilian Mountains of Northwest China. Sci. Total Environ. 2018, 612, 1007–1017. [Google Scholar] [CrossRef] [PubMed]
- Zeide, B. Analysis of growth equations. For. Sci. 1993, 39, 594–616. [Google Scholar] [CrossRef]
- Liu, X.; Wang, C.; Zhao, J. Seasonal drought effects on intra-annual stem growth of Taiwan Pine along an elevational gradient in subtropical China. Forests 2019, 10, 1128. [Google Scholar] [CrossRef] [Green Version]
- Deslauriers, A.; Morin, H. Intra-annual tracheid production in balsam fir stems and the effect of meteorological variables. Trees 2005, 19, 402–408. [Google Scholar] [CrossRef] [Green Version]
- Oladi, R.; Pourtahmasi, K.; Eckstein, D.; Brauning, A. Seasonal dynamics of wood formation in Oriental beech (Fagus orientalis Lipsky) along an altitudinal gradient in the Hyrcanian forest, Iran. Trees 2011, 25, 425–433. [Google Scholar] [CrossRef]
- Levanič, T.; Gričar, J.; Gagen, M.; Jalkanen, R.; Loader, N.J.; McCarroll, D.; Oven, P.; Robertson, I. The climate sensitivity of Norway spruce (Picea abies (L.) Karst) in the Southeastern European Alps. Trees 2008, 23, 169–180. [Google Scholar] [CrossRef] [Green Version]
- Oberhuber, W.; Gruber, A.; Kofler, W.; Swidrak, I. Radial stem growth in response to microclimate and soil moisture in a drought-prone mixed coniferous forest at an inner Alpine site. Eur. J. Res. 2014, 133, 467–479. [Google Scholar] [CrossRef] [PubMed] [Green Version]
- Rossi, S.; Deslauriers, A.; Anfodillo, T.; Morin, H.; Saracino, A.; Motta, R.; Borghetti, M. Conifers in cold environments synchronize maximum growth rate of tree-ring formation with day length. New Phytol. 2006, 170, 301–310. [Google Scholar] [CrossRef] [Green Version]
- Zhang, W.; Jiang, Y.; Dong, M.; Kang, M.; Yang, H. Relationship between the radial growth of Picea meyeri and climate along elevations of the Luyashan Mountain in North-Central China. For. Ecol. Manag. 2012, 265, 142–149. [Google Scholar] [CrossRef]
- Salzer, M.W.; Hughes, M.K.; Bunn, A.G.; Kipfmueller, K.F. Recent unprecedented tree-ring growth in bristlecone pine at the highest elevations and possible causes. Proc. Natl. Acad. Sci. USA 2009, 106, 20348–20353. [Google Scholar] [CrossRef] [Green Version]
- Barber, V.A.; Juday, G.P.; Finney, B.P. Reduced growth of Alaskan white spruce in the twentieth century from temperature-induced drought stress. Nature 2000, 405, 668–673. [Google Scholar] [CrossRef]
- Liu, H.; Williams, A.P.; Allen, C.; Guo, D.; Wu, X.; Anenkhonov, O.; Liang, E.; Sandanov, D.; Yin, Y.; Qi, Z.; et al. Rapid warming accelerates tree growth decline in semi-arid forests of Inner Asia. Glob. Chang. Biol. 2013, 19, 2500–2510. [Google Scholar] [CrossRef]
- Tardif, J.; Flannigan, M.; Bergeron, Y. An analysis of the daily radial activity of 7 boreal tree species: Northwestern Quebec. Environ. Monit. Assess. 2001, 67, 141–160. [Google Scholar] [CrossRef]
- Deslauriers, A.; Morin, H.; Urbinati, C. Daily weather response of balsam fir (Abies balsamea (L.) Mill.) stem radius increment from dendrometer analysis in the boreal forests of Qubec (Canada). Trees 2003, 17, 477–484. [Google Scholar] [CrossRef]
- Zweifel, R.; Zimmermann, L.; Zeugin, F.; Newbery, D.M. Intra-annual radial growth and water relations of trees: Implications towards a growth mechanism. J. Exp. Bot. 2006, 57, 1445–1459. [Google Scholar] [CrossRef] [PubMed] [Green Version]
- Way, D.A.; Sage, R.F. Elevated growth temperatures reduce the carbon gain of black spruce (Picea mariana (Mill.) BSP). Glob. Chang. Biol. 2008, 14, 624–636. [Google Scholar] [CrossRef]
- Ren, L.; Wang, S.; Yu, P.; Wang, Y.; Zhang, X.; Wang, B.; Liu, X.; Jin, M. Seasonal change and numerical simulation of the frozen soil under two types of vegetation in Qilian Mountains. For. Res. 2016, 29, 596–602. [Google Scholar] [CrossRef]
- Achim, A.; Moreau, G.; Coops, N.C.; Axelson, J.N.; Barrette, J.; Bédard, S.; Byrne, K.E.; Caspersen, J.; Dick, A.R.; D’Orangeville, L.; et al. The changing culture of silviculture. For. Int. J. For. Res. 2021, cpab047. [Google Scholar] [CrossRef]
- Pappas, C.; Bélanger, N.; Bergeron, Y.; Blarquez, O.; Chen, H.; Comeau, P.G.; Grandpré, L.D.; Delagrange, S.; DesRochers, A.; Diochon, A.; et al. Smartforests Canada: A network of monitoring plots for forest management under environmental change. In Climate-Smart Forestry in Mountain Regions; Springer: Cham, Switzerland, 2022; pp. 521–543. [Google Scholar] [CrossRef]
- Liang, E.; Wang, Y.; Piao, S.; Lu, X.; Camarero, J.; Zhu, H.; Zhu, L.; Ellison, A.; Ciais, P.; Penuelas, J. Species interactions slow warming-induced upward shifts of treelines on the Tibetan Plateau. Proc. Natl. Acad. Sci. USA 2016, 113, 4380–4385. [Google Scholar] [CrossRef] [Green Version]




| Plots | Elevation (m a.s.l.) | Soil Thickness (cm) | Aspect (°) | Slope (°) | Density (Trees·ha−1) | Average DBH (cm) | Average Tree Height (m) | Average Canopy Diameter (m) |
|---|---|---|---|---|---|---|---|---|
| P1 | 2500 | 80 | NE12 | 41 | 1375 | 11.8 ± 8.3 | 6.9 ± 5.0 | 3.3 ± 1.6 |
| P2 | 2700 | 70 | NE30 | 27 | 2100 | 11.8 ± 6.5 | 8.4 ± 3.8 | 3.0 ± 1.0 |
| P3 | 2900 | 60 | NE24 | 32 | 2000 | 13.6 ± 7.7 | 8.2 ± 3.7 | 3.2 ± 1.3 |
| P4 | 3100 | 50 | NE25 | 32 | 825 | 13.5 ± 8.3 | 6.9 ± 3.5 | 3.3 ± 1.4 |
| P5 | 3300 | 50 | NE32 | 35 | 375 | 14.2 ± 8.9 | 5.6 ± 2.9 | 4.2 ± 1.9 |
| Plots | Small Trees | Medium Trees | Large Trees | ||||||
|---|---|---|---|---|---|---|---|---|---|
| Average DBH (cm) | Average Height (m) | Average Canopy Diameter (m) | Average DBH (cm) | Average Height (m) | Average Canopy Diameter (m) | Average DBH (cm) | Average Height (m) | Average Canopy Diameter (m) | |
| P1 | 7.1 ± 1.8 | 3.7 ± 1.6 | 2.3 ± 0.2 | 21.4 ± 0.3 | 10.8 ± 1.1 | 5.2 ± 0.2 | 28.3 ± 3.9 | 13.0 ± 1.3 | 5.6 ± 0.1 |
| P2 | 8.5 ± 3.4 | 6.9 ± 3.2 | 2.7 ± 0.8 | 16.0 ± 0.8 | 11.8 ± 1.2 | 3.6 ± 0.4 | 30.6 ± 1.6 | 14.6 ± 1.5 | 5.7 ± 0.7 |
| P3 | 9.2 ± 3.0 | 6.3 ± 2.0 | 2.8 ± 0.5 | 15.3 ± 4.0 | 9.7 ± 3.7 | 3.7 ± 0.4 | 26.8 ± 5.0 | 14.0 ± 0.5 | 5.0 ± 0.7 |
| P4 | 8.1 ± 3.0 | 4.8 ± 1.9 | 2.2 ± 0.8 | 15.3 ± 2.7 | 8.6 ± 0.8 | 3.6 ± 0.6 | 30.8 ± 4.0 | 12.9 ± 0.9 | 6.0 ± 1.2 |
| P5 | 7.3 ± 2.2 | 3.1 ± 0.4 | 2.6 ± 0.7 | 16.9 ± 2.6 | 6.8 ± 0.3 | 4.6 ± 0.6 | 26.2 ± 2.5 | 9.3 ± 1.6 | 6.2 ± 0.6 |
| Years | Elevation (m a.s.l.) | Timing of Growth Initiation (DOY) | Timing of Growth Cessation (DOY) | Growing Season Duration (days) | Maximum Growth Rate (μm·day−1) | Day of Maximum Growth (DOY) | Cumulative Stem Growth (μm) |
|---|---|---|---|---|---|---|---|
| 2015 | 2500 | 138 | 269 | 132 | 6.907 | 186 | 675 |
| 2700 | 145 | 233 | 89 | 4.658 | 179 | 400 | |
| 2900 | 146 | 271 | 126 | 22.616 | 186 | 1520 | |
| 3100 | 148 | 238 | 91 | 3.881 | 184 | 370 | |
| 3300 | 150 | 273 | 124 | 8.642 | 194 | 722 | |
| 2016 | 2500 | 167 | 254 | 88 | 13.867 | 196 | 738 |
| 2700 | 172 | 258 | 87 | 5.327 | 204 | 380 | |
| 2900 | 172 | 265 | 94 | 31.144 | 200 | 1470 |
| Growth Characteristics | Environmental Factors | Elevation (m a.s.l.) | ||||
|---|---|---|---|---|---|---|
| 2500 | 2700 | 2900 | 3100 | 3300 | ||
| Initiation | Ta | 10.62 ± 4.41 a | 9.38 ± 3.93 a | 8.40 ± 3.86 a | 6.79 ± 3.79 ab | 3.50 ± 2.80 b |
| Ts | 1.66 ± 0.87 b | 2.70 ± 0.37 a | 0.06 ± 0.37 c | −0.18 ± 0.32 c | −0.25 ± 0.28 c | |
| Ms | 16.19 ± 0.41 e | 18.55 ± 0.09 d | 50.58 ± 0.02 b | 51.85 ± 0.04 a | 43.18 ± 0.07 c | |
| Cessation | Ta | 7.61 ± 1.80 b | 11.90 ± 2.65 a | 5.19 ± 1.46 c | 12.46 ± 0.85 a | 2.76 ± 1.52 d |
| Ts | 5.33 ± 0.83 c | 7.85 ± 0.31 a | 2.46 ± 0.59 d | 5.98 ± 0.50 b | 1.68 ± 0.57 e | |
| Ms | 21.17 ± 0.58 d | 21.44 ± 1.91 d | 51.52 ± 0.33 b | 52.49 ± 0.54 a | 43.67 ± 0.50 c | |
Publisher’s Note: MDPI stays neutral with regard to jurisdictional claims in published maps and institutional affiliations. |
© 2022 by the authors. Licensee MDPI, Basel, Switzerland. This article is an open access article distributed under the terms and conditions of the Creative Commons Attribution (CC BY) license (https://creativecommons.org/licenses/by/4.0/).
Share and Cite
Wan, Y.; Yu, P.; Li, X.; Wang, Y.; Wang, B.; Yu, Y.; Zhang, L.; Liu, X.; Wang, S. Divergent Seasonal Patterns of Qinghai Spruce Growth with Elevation in Northwestern China. Forests 2022, 13, 388. https://doi.org/10.3390/f13030388
Wan Y, Yu P, Li X, Wang Y, Wang B, Yu Y, Zhang L, Liu X, Wang S. Divergent Seasonal Patterns of Qinghai Spruce Growth with Elevation in Northwestern China. Forests. 2022; 13(3):388. https://doi.org/10.3390/f13030388
Chicago/Turabian StyleWan, Yanfang, Pengtao Yu, Xiaoqing Li, Yanhui Wang, Bin Wang, Yipeng Yu, Lei Zhang, Xiande Liu, and Shunli Wang. 2022. "Divergent Seasonal Patterns of Qinghai Spruce Growth with Elevation in Northwestern China" Forests 13, no. 3: 388. https://doi.org/10.3390/f13030388
APA StyleWan, Y., Yu, P., Li, X., Wang, Y., Wang, B., Yu, Y., Zhang, L., Liu, X., & Wang, S. (2022). Divergent Seasonal Patterns of Qinghai Spruce Growth with Elevation in Northwestern China. Forests, 13(3), 388. https://doi.org/10.3390/f13030388

