Abstract
The roles of different tree species and their impacts are key in assessing the dynamics of soil restoration in afforested post-mining sites. The objective of this study was to compare the effect of Scots pine (Pinus sylvestris L.), which is native to Central Europe and commonly used in afforestation, to that of the non-native black pine (Pinus nigra Arn.) on the development of carbon pools and the chemical properties of reclaimed soils after sand exploitation. The study was carried out in 20- and 35-year-old stands, and the results were compared to undisturbed forest sites. Samples of the litter horizon and mineral soils (0–5 and 5–20 cm) were analyzed for pH, soil organic carbon (SOC), and total nitrogen (Nt). In addition, electrical conductivity (EC), sorption complex properties, water-soluble carbon, and hot-water-extractable carbon were determined from the mineral soil samples. Scots and black pine had a similar effect on the properties of the reclaimed soils. However, the soils under Scots pine were characterized by lower pH values in the litter and 0–5 cm horizons, higher EC in the 0–5 cm horizon, and higher C stocks in the litter horizon. Changes in the C stocks and chemical properties with afforestation years were limited to the uppermost soil horizons (litter and 0–5 cm). For both pine species, soils under the older stands were characterized by lower pH, higher EC, higher exchangeable acidity, higher cation-exchange capacity, lower base saturation, higher SOC and Nt contents, and more stable soil organic matter than soil under younger stands. After 35 years, about 20% and 27% of the C stocks in the reclaimed mine soils had been restored under black pine and Scots pine, respectively (compared to undisturbed soils). This difference between the pine species resulted from the higher C stocks in the litter horizons under Scots pine. Pedogenesis in post-mining sites after sand exploitation under pine species tended to result in more acidic and oligotrophic soils in relation to the undisturbed soils in adjacent forest ecosystems with pine.
1. Introduction
Mining activities can cause widespread transformations of the earth’s surface and the degradation of entire ecosystems [1,2]. After mining has ceased, exposed or deposited substrates become the parent material for developing soils. Such substrates typically lack soil organic matter (SOM), are nutrient deficient (primarily lacking nitrogen [N] and phosphorus [P]), and exhibit disturbed nutrient ratios, low pH values, and unfavorable air–water properties [3,4]. Therefore, the reclamation of mined lands is important for both accelerating the recovery of post-mining ecosystems and combating global warming by enhancing carbon (C) sequestration [5,6].
Soil organic C (SOC) is a critical component of terrestrial ecosystems [7,8]. It plays a particularly important role during succession processes—for example, in post-mining sites [9,10]. SOM plays a key role in developing the physicochemical and biological properties of reclaimed mine soils (RMSs), such as pH, water-holding and sorption capacities, buffering capacity, bulk density, biomass, and activity of microorganisms [11,12]. Moreover, organic matter forms a link in the mineral nutrition cycle of plant communities and soil organisms by storing nutrients and increasing their availability, including N and P [2,11,13]. To evaluate the restoration processes of organic-matter pools in post-mining soils, it is important not only to determine the SOC content but also SOC’s decomposability and stability [14]. Determining the labile C fractions is a common technique to estimate the proportion of stabilized C in soil [14,15]. Water-extractable C is the most mobile fraction of SOM [16,17]. Since the solubility of SOC fractions depends on the temperature, two types of water-extractable C in soil are typically determined: cold-water-soluble C (WSC) and hot-water-extractable C (HWC) [17,18]. Quantitatively, WSC is very close to dissolved organic carbon (DOC) measured directly in soil using, for example, lysimeters [18,19]. WSC is considered the most reactive C source in soil, as it can be rapidly utilized and can migrate to deeper soil horizons than HWC [18,19]. HWC represents a larger fraction of water-extractable C than WSC [18], comprising a mixture of carbohydrates and proteins [20]. Moreover, HWC includes more stable components than WSC, which form a reserve of nutrients and energy for plants and microorganisms [21,22]. Therefore, the HWC reflects the bioavailable SOM, including organic compounds from the biomass of soil microbes, enzymes, and root exudates [21,22,23].
One of the factors determining SOC accumulation is the tree species introduced during afforestation [24,25]. The influence of tree species on SOC accumulation may be higher in RMSs in their early stage of development than in older soils—for example, in forests or following agricultural use [25]. For these reasons, forest managers should consider the potential impact of tree species on SOC accumulation and stability when selecting tree species for the afforestation of post-mining areas [26,27].
There are only a few tree species that can be introduced into the nutrient-poor sandy substrates left after sand mining. In Central Europe, mainly Scots pine has been introduced on sandy substrates because it has few habitat requirements [28,29]. However, as a result of climate change and its increasingly common extreme weather phenomena, including drought, there is a need to test non-native tree species [30]. Frequently, native species cannot withstand long-term drought. Indeed, the decay of Scots pine (Pinus sylvestris L.) stands in Europe is one example of large-scale forest dieback and change in natural distributions [31,32]. In addition, Scots pine stands at post-mining sites in the German Lusatian Mine District have suffered significant damage due to infection by the pathogen Heterobasidion annosum (Fr.) Bref. [33].
Black pine (Pinus nigra Arn.) is considered to be more drought-tolerant than Scots pine [34,35,36]. Similarly to Scots pine, black pine can tolerate a wide range of habitats and can be found in nutrient-poor sandy soils [37,38]. Its natural range extends to southern Europe and the Mediterranean region [39]. Black pine is one of the most frequently planted tree species, even outside its native range [40]. In Central Europe, black pine was introduced into areas under the influence of industrial emissions because it is more tolerant to heavy-metal pollution than the native Scots pine [41,42]. However, non-native tree species may adversely affect biodiversity, carbon sequestration, and the physicochemical parameters of soils compared to native species [43,44]. For these reasons, it is necessary to determine the influence of alien species—even those belonging to the same genus as native species on soil properties [44].
In this study, we aimed to assess and compare the effects of Scots pine and black pine on the C stocks and development of the chemical properties of sandy RMSs. We tested the following hypothesis: as a native tree species, Scots pine contributes to a higher C accumulation and more intensively influences the physicochemical parameters of soils than non-native black pine during pedogenesis at post-mining sites.
2. Materials and Methods
2.1. Study Site
The study site was the reclaimed and afforested Szczakowa sand pit located in southern Poland (Upper Silesia, 50°14.394′ N, 19°25.140′ E). In this region, the mean annual air temperature is 8.8 °C, with precipitation averaging 733 mm yr−1 from 1990–2019 (source: https://en.tutiempo.net; accessed date: 20 December 2021). Open-strip mining resulted in an approximately 3500-ha disturbed area with an excavated depth of 5–25 m. The sand deposits are genetically related to fluvioglacial Quaternary sediments deposited in a pre-Quaternary morphological depression. Initial reclamation treatments included a 2-year fertilization cycle (140, 130, and 150 kg ha−1 of NPK [potassium]) and a 2-year cycle of cultivating lupine (Lupinus luteus) and incorporating it into the soil as green manure. The site was then afforested [45].
The sampling plots were located in 20- and 35-year-old stands of Scots pine (SP-20 and SP-35) and black pine (BP-20 and BP-35) growing on sandy substrates in the Szczakowa sand excavation area. Additionally, we established control plots (CPs) in an undisturbed forest site with mature (105-year-old) Scots pine stands close to the post-mining site. The soils of the undisturbed forest site were podzols. There were a total of 20 sampling plots (10 × 10 m each), representing four replicates of each tree species and site (Figure 1). Details of the investigated stands’ growth parameter characteristics are provided in Table 1.
Figure 1.
Locations of the study plots.
Table 1.
Growth parameters of investigated pine stands on reclaimed Szczakowa sand pit (source: Forest Data Bank, https://www.bdl.lasy.gov.pl/portal/en; accessed date: 20 January 2022).
2.2. Soil Sampling
At each sampling site, five single samples were taken (one from the middle and one from each of the four corners of the site) from the O horizon (litter, Oi + Oe) and the mineral soil (0–5 and 5–20 cm deep). We then pooled the samples from each horizon to form mixed samples of litter and mineral soil representative of the sampling site. Samples with intact structures were independently collected using 250 cm3 cylinders to determine the bulk density (BD). Samples from the organic horizons (litter layer, Oi + Oe) were collected from five 20 × 20 cm squares in each study plot.
2.3. Laboratory Analyses
The samples from the mineral horizons (0–5 and 5–20 cm) were divided into two parts. One part was air-dried, sieved through a 2 mm mesh, and used for physical and chemical analysis, while the other was left field-moist and used to determine the WSC (Chantigny et al., 2008). We measured the texture using a Fritsch GmbH Analysette 22 Laser Particle Sizer. The SOC and total N (Nt) contents were measured using a LECO TruMac® CNS analyzer. We measured the electrical conductivity (EC) conductometrically and the pH potentiometrically in H2O (pHH2O) in a 1:2.5 w/v ratio. The exchangeable acidity (EA) was measured in 1 M Ca(OAc)2, and the basic exchangeable cations (calcium [Ca2+], potassium [K+], magnesium [Mg2+], and sodium [Na+]) were measured in 1 M NH4Ac by inductively coupled plasma–optical emission spectrometry (iCAP™ 6000 Series). We calculated the cation-exchange capacity (CEC) as the sum of the exchangeable cations (total exchangeable bases; TEB) and the EA. To determine the WSC, we extracted 20 g of field-moist sample using 30 mL of 5 mm CaCl2 solution in an end-over-end shaker at 30 rpm for 30 min at 20 °C. Following extraction, the suspension was centrifuged at 3500 rpm for 20 min, and the supernatant solution was filtered through a 0.45 µm membrane filter. Next, we added a 30 mL aliquot of distilled water to the centrifuge tube with the soil, and the tube was placed in a water bath at 80 °C for 16 h. Following extraction, the suspension was centrifuged at 3500 rpm for 20 min, and the supernatant solution was filtered through a 0.45 µm membrane filter. The fraction thus obtained was the HWC. We determined the concentrations of WSC and HWC in the soil solutions using a Shimadzu TOC-VCPH Total Organic Carbon Analyzer [17,46,47].
The intact samples collected using cylinders were sieved (2 mm mesh), weighed, dried at 105 °C for 5 h, and reweighed. The final weight was used to calculate the dry weight of the original sample, which was then divided by the volume to obtain the BD of the fine fraction (<2 mm).
The litter samples (Oi + Oe horizons) were oven-dried to remove the moisture, weighed using an electronic balance to an accuracy of 1 g, and ground. The pH values of the litter samples were determined potentiometrically in H2O (pHH2O) at a 1:5 w/v ratio, and the C and N contents were determined using a LECO TruMac® CNS analyzer.
2.4. Data Evaluation
We calculated the C stocks in the litter and mineral horizons using the following equations:
where MOi + Oe is the dry mass of the litter horizons and SOC represents the C content in Oi + Oe, and
where SOC is the C content in the mineral horizons, BD is the BD of the fine fraction (< 2 mm), and T is the thickness of the soil layer.
C stock in Oi + Oe [Mg ha−1] = MOi + Oe [Mg ha−1] × SOC [%]/100
C stock [Mg ha−1] = SOC [%] × BD [g cm−3] × T [cm]
The datasets were first tested for normality using the Kolmogorov–Smirnov test and for variance homogeneity using Levene’s test. We analyzed the effects of pine species and stand age on the soil parameters in the RMSs using two-way analysis of variance for the majority of the response variables. Tukey’s honestly significant difference (HSD) test was performed if any significant differences were found (p < 0.05). We tested significant differences between the mean values of the soil characteristics between the RMSs and the undisturbed soil using Tukey’s HSD test (at p = 0.05). The correlations between the studied soil properties were described using Pearson’s correlation matrix. The statistical analyses employed Statistica software (version 13.1).
3. Results
3.1. Texture, pH, and BD
The studied soils had sandy textures, whereas the undisturbed soils were characterized by significantly higher silt particle content than RMSs. The studied soils were acidic and characterized by lower pH values in the litter and 0–5 cm layers under Scots pine than under black pine. The soils under the older (35-year-old) stands had lower pH values in the litter and 0–5 cm horizons than those under the younger (20-year-old) stands. The mineral horizons (0–5 and 5–20 cm) of the soils from the CPs had significantly higher pH values than the same horizons in the RMSs (Table 2).
Table 2.
Texture, BD, pH, and EC for reclaimed and undisturbed soils under pine species stands.
The EC values in both studied horizons occurred in the following order: 25-year-old stands <35-year-old stands < undisturbed sites. The EC value was significantly higher in the 0–5 cm horizons under Scots pine than in those under black pine (Table 2).
BD did not depend on pine species or stand age in the post-mining sites. However, it was significantly lower in the undisturbed soils than in the RMSs (Table 2).
3.2. Sorption Complex Parameters
In the sorption complexes of the RMSs, the ions that form the EA value dominated (base saturation [BS] 2.91%–32.08%) (Table 3). Pine species had no significant effect on the studied sorption complex properties (EA, TEB, CEC, and BS). The effect of stand age on these properties was manifested only in the 0–5 cm horizons. The EA and CEC were significantly higher and the BS was significantly lower in the younger stands than in the older ones. Finally, the soils from CPs were characterized by higher values of sorption complex parameters (EA, TEB, CEC, and BS) in both horizons (0–5 and 5–20 cm) compared to the RMSs (Table 3).
Table 3.
Sorption complex properties for reclaimed and undisturbed soils under pine stands.
3.3. Carbon and Nitrogen Content
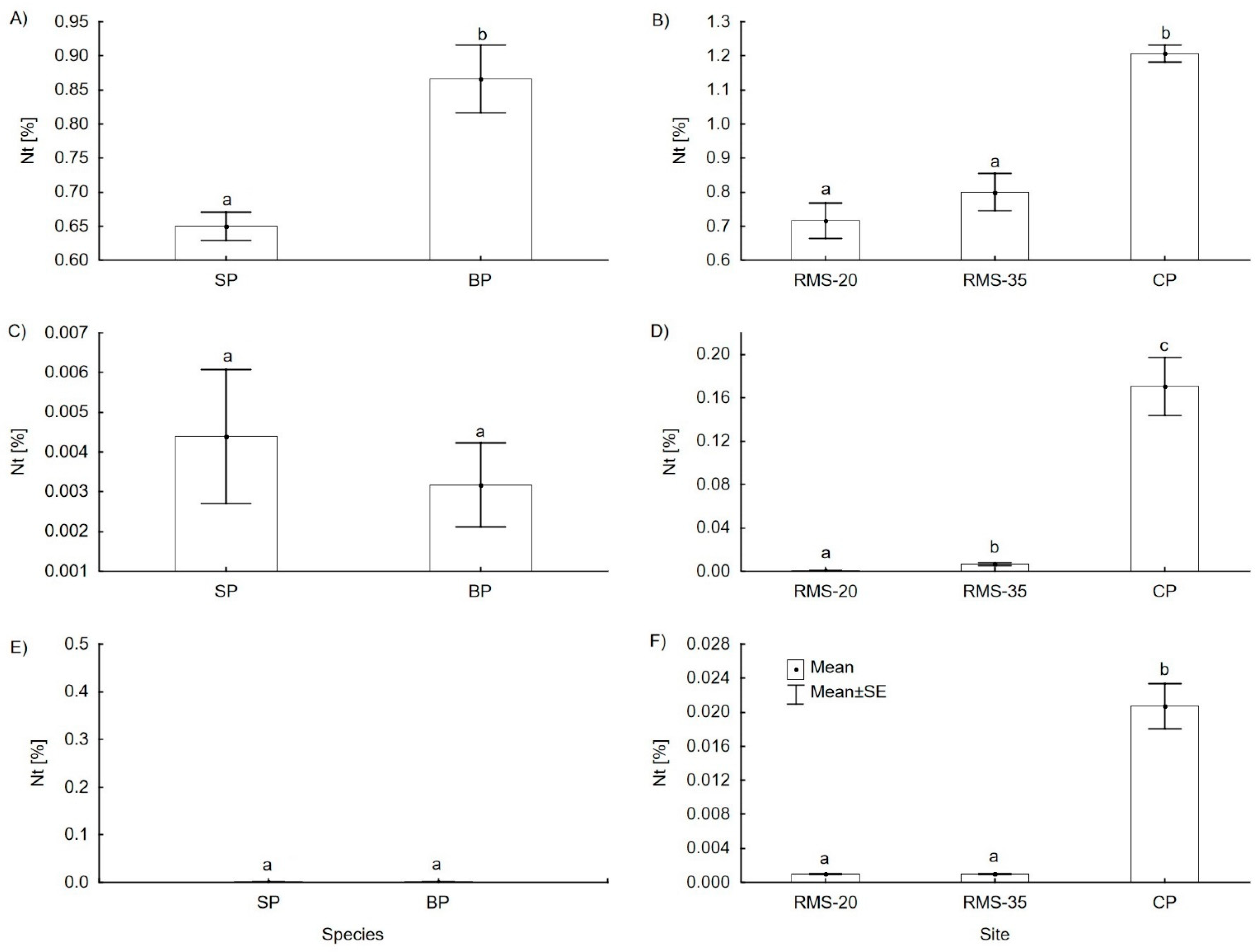
Pine species only affected the C stock and N content in the litter horizons (Figure 2 and Figure 3). The effect of species × age interaction on C stock and N content was not significant. The C stock in the litter horizons, and consequently the total soil C stock (litter + mineral soil), was significantly higher under Scots pine than under black pine. However, there were no differences in the mineral horizon C stocks between the pine species studied (Figure 2). The black pine litter horizons contained more N than those of Scots pine. Similar to C, there were no differences in the N content in the mineral horizons between the studied pine species (Figure 3).
Figure 2.
The C stock in litter (A,B), 0–5 cm (C,D), 5–20 cm (E,F), and total (organic + mineral horizons; (G,H) under the influence of pines on RMSs and undisturbed soils. Explanations: SP—Scots pine; BP—black pine; RMS-20—mine soils 20 years after tree planting; RMS-35—mine soils 35 after tree planting; CP—control plots; means followed by different lowercase (a, b, c) are significantly different.
Figure 3.
The Nt content in litter (A,B), 0–5 cm (C,D), and 5–20 cm (E,F) under the influence of pines on RMSs and undisturbed soils. Explanations: see Figure 2.
The total soil C stock in RMSs was much lower than in undisturbed soils from the CPs. After 35 years, about 20% (14.18 Mg ha−1) of the total soil C stocks in the RMSs for black pine and about 27% (19.74 Mg ha−1) for Scots pine had been restored compared to the undisturbed soils (Figure 2).
The results show a slow rate of restoration of the N pools in sandy RMSs; the main N reservoir was still in the litter horizons 35 years after afforestation. In the mineral soil horizons, the Nt-content upper detection limit (<0.001%) in the RMSs was only reached in the 0–5 cm horizons under a 35-year-old stand (Figure 3).
3.4. Water-Extractable Carbon
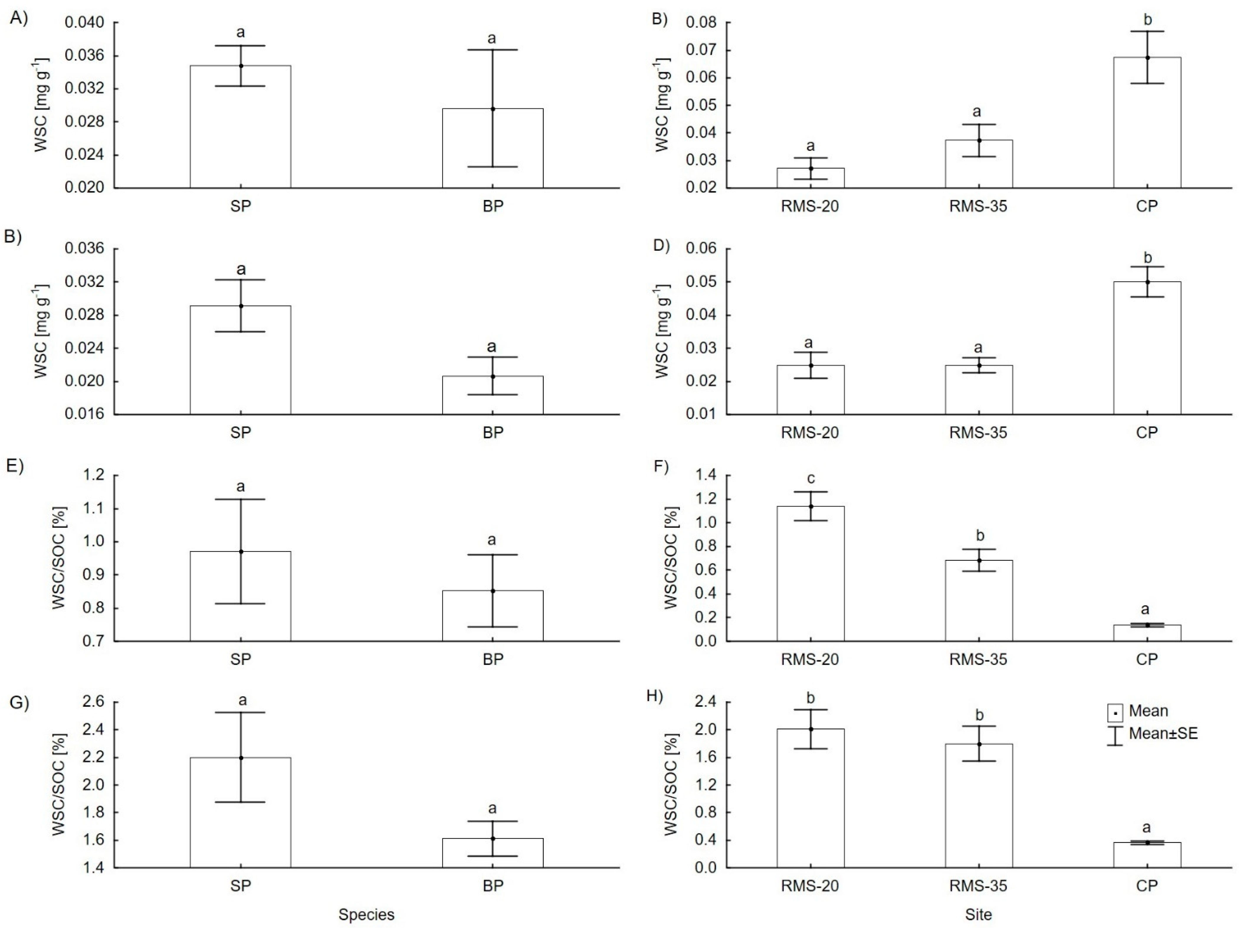
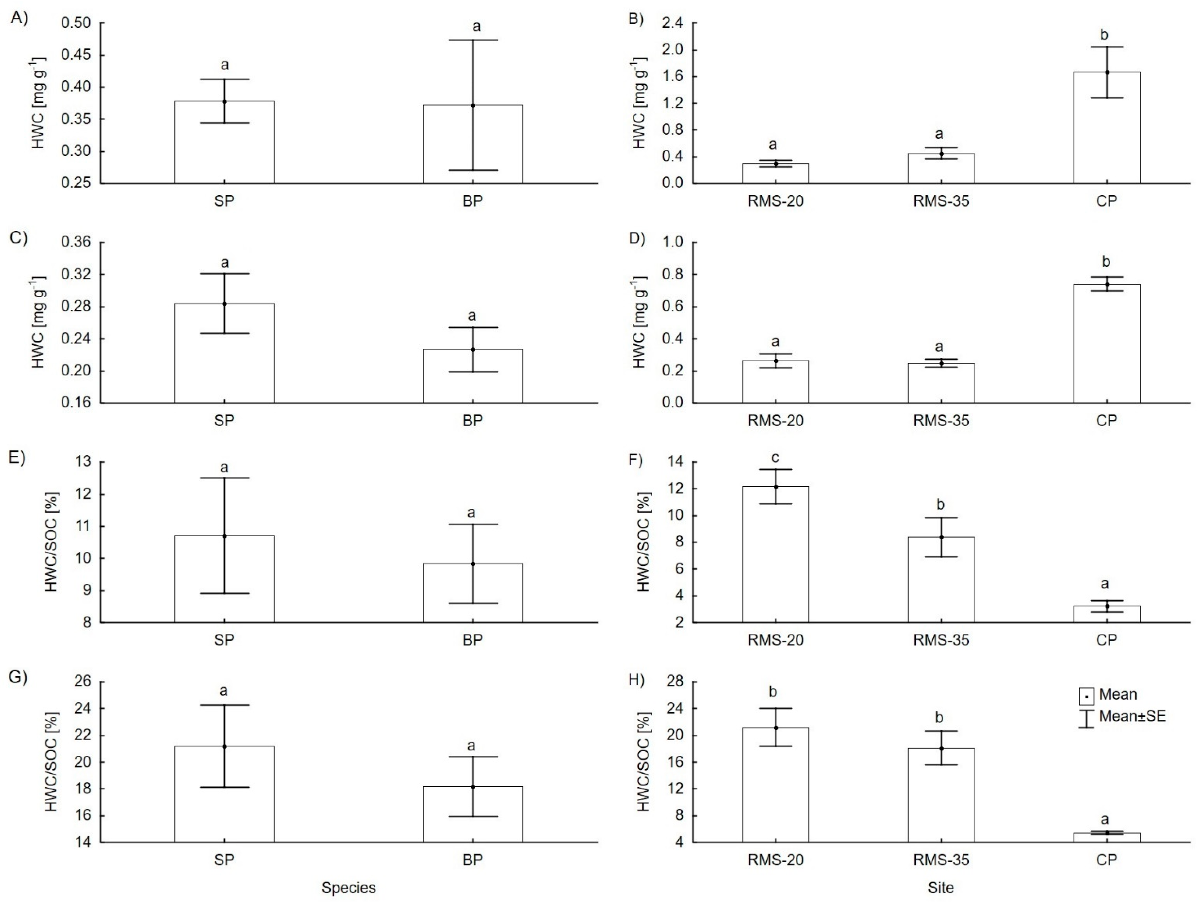
Pine species had no effect on the content of water-extractable C. The WSC and HWC contents also did not differ between the 20- and 35-year-old stands, although their proportion in SOC in 0–5 cm horizons decreased with site age (Figure 4 and Figure 5). Species × age interaction had no significant effect on WSC and HWC content.
Figure 4.
Cold-water-soluble C (WSC) content in the 0–5 cm (A,B) and 5–20 cm (C,D) horizons of the studied soils, and WSC share in SOC in the 0–5 cm (E,F) and 5–20 cm (G,H) horizons. Explanations: see Figure 2.
Figure 5.
Hot-water-extractable C (HWC) content in the 0–5 cm (A,B) and 5–20 cm (C,D) horizons of the studied soils, and HWC share in SOC in the 0–5 cm (E,F) and 5–20 cm (G,H) horizons. Explanations: see Figure 2.
3.5. Correlation between Studied Soil Parameters
C stock in 0–5 cm positively correlated with pH, EC, silt content, EA, TEB, CEC, and BS, and negatively with sand content. Similar to C stock, WSC and HWC positively correlated with EC, silt content, sorption complex properties, and negatively with sand (Table 4).
Table 4.
Pearson correlation coefficients (r) between studied soil parameters in 0–5 cm horizons.
4. Discussion
4.1. Soil Physico-Chemical Parameters
Our results confirm the finding that the pH in post-mining-site soils generally decreases over time [13,48]. The mineral horizons of the soils from the CP had higher pH values at higher SOC content values compared to the RMSs. This could explain the positive correlation between pH and SOC in the studied soils. Usually, the opposite relationship occurs in soils; that is, soils with higher SOC values have a lower pH. The accumulation of organic C in mineral soils is related to a build-up of humic substances that contain acidic carboxylic and phenolic groups, causing them to be associated with a decline in soil pH and an increase in EA [49,50]. Indeed, the undisturbed soils had higher EA values than the RMSs. This phenomenon may indicate a lower buffering capacity in RMSs compared to undisturbed soils [51]. As a consequence, post-mining sites may develop more acidic soils than undisturbed forest.
The studied soils had a low salt content, as indicated by the EC values [52]. A similar trend—higher EC for older stands—has been observed in reclaimed post-mining sites following coal mining in India [53]. The differences are most likely due to the release of different amounts of elements from better-developed litter horizons in older stands and under Scots pine, as well as the weathering of the primary minerals [53].
A similar trend—lower BD in undisturbed soils than in RMSs—was found on reclaimed sites after coal mining in the United States [54,55]. The lower BD in the undisturbed soils was due to a higher organic-matter and silt content [56], as confirmed by the correlation analysis. Other factors that may cause higher BD in the RMSs include heavy-machinery traffic during reclamation treatments [55] and reduced activity of the soil macrofauna and root penetration compared to well-developed, undisturbed soils [2,57].
The predominance of EA in CEC is characteristic of acidic forest soils [58]. In forest soils, CEC values depend on C content, texture, and pH [58,59]. We confirmed this relationship in our soils using linear correlations. Similar to our results, increased CEC values with longer reclamation periods have been found in post-mining sites following coal mining in India [53]. In our soils, this occurred due to an increase in EA, which led to a decrease in BS. While the C and N pools in RMSs can be restored, it is difficult to restore TEB pools. In post-mining soils, the C stock increases with age through litterfall input and the decomposition of organic matter [9,13], while the N stock increases through precipitation and N fixation [60]. The pool of exchangeable cations depends mainly on nutrient content in the parent material [61]. In some post-mining soils, the exchangeable-cation content can increase with age through the weathering of minerals and organic-matter decomposition [62]. However, we found no significant differences between the sand excavation soils under younger and older pine stands. The RMSs’ lower TEB values compared to the undisturbed soils indicate that mining can cause the permanent loss of soil nutrients. This leads to the development of more oligotrophic habitats in reclaimed sand excavations compared to adjacent, undisturbed forest ecosystems.
4.2. Carbon and Nitrogen Pools
The main factors determining SOC accumulation are climate, parent-rock properties (especially texture), tree species, topography, and time [63,64]. Our correlation analysis confirmed that even a slight difference in the sand, silt, or clay content in sandy soils affects the SOC content. Differences in the C stock in the litter horizons may be due to the higher growth parameters of Scots pine compared to black pine (see Section 2) and the associated differences in litterfall production [65,66]. Coniferous species, including Scots pine, tend to form extensive organic horizons due to the low litter decomposition rate. On the other hand, their influence on the C stocks in mineral horizons is weaker than that of deciduous species [50,67].
Comparisons of RMSs with undisturbed soils have confirmed that mining causes a drastic decrease in the C and N pools [68,69]. The total soil C stocks in our RMSs were also lower compared to their values in natural forest ecosystems in Poland [67]. Some studies have indicated that properly executed reclamation treatments can rapidly restore SOM pools [2,69]. However, restoring C pools without topsoiling on extremely nutrient-poor sandy substrates is very difficult. In this condition, the aim of reclamation is to initiate the process of organic-matter accumulation [5]. This is a long-term process and depends on the amount and duration of the impact of litterfall, among other factors. For these reasons, in our soils, the increase in C stock with age was only evident in the uppermost soil horizons (litter and 0–5 cm). Similar findings—of a limited increase in the C stock in the litter and uppermost mineral soil horizons (0–10 cm)—were observed after six years of short-rotation alley-cropping with black locust (Robinia pseudoaccacia L.) on a reclaimed site following lignite mining in Germany [70].
The N introduced into the soil substrate in the form of mineral fertilizers may have been incorporated into the plant biomass or lost through leaching, which likely explains the N pools’ slow rate of restoration [60,61]. In addition, sandy substrates in the initial stages of developing RMSs exhibit intensive nutrient leaching due to their low absorption capacity [71].
Water-extractable C can be an indicator of land-use change and progress in ecological succession processes [17,72]. The mining disturbance and initial stage of soil development at the post-mining sites were evident when considering the HWC fraction content, which is consistent with the findings of Kanzler et al. [70]. In the case of WSC, we also observed significant differences compared to undisturbed soils. However, for sandy soils with no fossil-carbon content, the total SOC may be a better indicator of mining disturbance than water-extractable C.
The WSC/SOC ratio was slightly lower in the undisturbed soils, while the ratio in the RMSs was similar to the given range of 0.26% to 3.90% for arable and forest soils in Europe [47,73]. The HWC/SOC ratio in the undisturbed soils was similar to the reported range of 1% to 5% for arable and forest soils under European conditions [73,74,75] and RMSs following lignite mining [14,70]; the ratio in the RMSs exceeded this range. Higher soil HWC/SOC ratios have also been reported in the literature. For example, Hamkalo and Bedernichek [47] found higher HWC/SOC ratios of up to 16.5% in forest and arable soils in Ukraine. Moreover, Chodak et al. [76] recorded an HWC/SOC ratio of up to 11.5% in the mineral horizons under beech stands in Germany; this value is similar to our observations for the 0–5 cm horizons of the RMSs. Nevertheless, the higher WSC/SOC and HWC/SOC ratios in the RMSs compared to the undisturbed soils suggest that there is a significant share of components that are available in the short term in the organic matter of sandy soils in their early stages of development [70].
In forest soils, there are often higher or similar WSC/SOC and HWC/SOC ratios in the uppermost mineral horizons compared to the deeper ones [76,77]. However, the opposite tendency—of increasing ratios with depth—has also been observed, particularly when investigating soil horizons up to 2 m deep [78]. In the RMSs, we observed higher WSC/SOC and HWC/SOC ratios in the deeper (5–20 cm) rather than the shallower (0–5 cm) soil horizons. In addition, the decrease in the WSC/SOC and HWC/SOC ratios with site age in the RMSs indicates that the increase in C stabilization in the early stages of soil development is limited to the uppermost (0–5 cm) horizons.
5. Conclusions
Scots and black pine had a similar effect on the properties of the RMSs and the observed differences were relatively small. The soils under native Scots pine were characterized by lower pH values in the litter and 0–5 cm horizons, higher EC in the 0–5 cm horizon, and higher C stocks in the litter horizons compared to soils under black pine. The changes in soil chemical properties with afforestation years under influence of pines were limited to the uppermost soil horizons (litter and 0–5 cm). The soils under older (35-year-old) stands were characterized by lower pH, higher EC, higher EA, higher CEC, and lower base saturation values; higher C stocks and Nt contents; and more stable SOM than those under the younger (20-year-old) stands for both pine species. After 35 years, about 20% of the total C stock in the RMSs for black pine and about 27% for Scots pine had been restored compared to the undisturbed soils. This difference resulted from the higher C stock in the litter horizons under Scots pines. Scots pine and black pine, due to their similar influence on soil properties, can be used interchangeably in the reclamation of nutrient-poor sandy RMSs.
Author Contributions
Conceptualization, B.W.; methodology, B.W.; validation, B.W.; formal analysis, B.W.; investigation, B.W.; data curation, B.W. and M.P. (Marek Pająk); writing—original draft preparation, B.W. and M.P. (Marek Pająk); writing—review and editing, B.W. and M.P. (Marcin Pietrzykowski); visualization, B.W.; supervision, M.P. (Marcin Pietrzykowski); project administration, B.W.; funding acquisition, B.W. All authors have read and agreed to the published version of the manuscript.
Funding
This study was financed by the National Science Centre, Poland (Grant No. 2018/31/D/ST10/02137).
Data Availability Statement
The datasets are available from the corresponding author on reasonable request.
Conflicts of Interest
The authors declare no conflict of interest.
References
- Bell, F.G.; Donnelly, L.J. Mining and Its Impact on the Environment; Taylor & Francis: London, UK; New York, NY, USA, 2006. [Google Scholar]
- Feng, Y.; Wang, J.; Bai, Z.; Reading, L. Effects of surface coal mining and land reclamation on soil properties: A review. Earth-Sci. Rev. 2019, 191, 12–25. [Google Scholar] [CrossRef]
- Pietrzykowski, M. Soil quality index as a tool for Scots pine (Pinus sylvestris) monoculture conversion planning on afforested, reclaimed mine land. J. For. Res. 2014, 25, 63–74. [Google Scholar] [CrossRef]
- Macdonald, S.E.; Landhäusser, S.; Skousen, J.; Franklin, J.; Frouz, J.; Hall, S.L.; Jacobs, D.; Quideau, S. Forest restoration following surface mining disturbance: Challenges and solutions. New For. 2015, 46, 703–732. [Google Scholar] [CrossRef] [Green Version]
- Pietrzykowski, M.; Daniels, W. Estimation of carbon sequestration by pine (Pinus sylvestris L.) ecosystems developed on reforested post-mining sites in Poland on differing mine soil substrates. Ecol. Eng. 2014, 73, 209–218. [Google Scholar] [CrossRef]
- Ahirwal, J.; Kumar, A.; Pietrzykowski, M.; Maiti, S.K. Reclamation of coal mine spoil and its effect on Technosol quality and carbon sequestration: A case study from India. Environ. Sci. Pollut. Res. 2018, 25, 27992–28003. [Google Scholar] [CrossRef] [PubMed]
- Schimel, D.S. Terrestrial ecosystems and the carbon cycle. Glob. Chang. Biol. 1995, 1, 77–91. [Google Scholar] [CrossRef]
- Ramesh, T.; Bolan, N.S.; Kirkham, M.B.; Wijesekara, H.; Kanchikerimath, M.; Rao, C.S.; Sandeep, S.; Rinklebe, J.; Ok, Y.S.; Choudhury, B.U.; et al. Soil organic carbon dynamics: Impact of land use changes and management practices: A review. Adv. Agron. 2019, 156, 1–107. [Google Scholar] [CrossRef]
- Pietrzykowski, M.; Krzaklewski, W. Soil organic matter, C and N accumulation during natural succession and reclamation in an opencast sand quarry (southern Poland). Arch. Agron. Soil Sci. 2007, 53, 473–483. [Google Scholar] [CrossRef]
- Čížková, B.; Woś, B.; Pietrzykowski, M.; Frouz, J. Development of soil chemical and microbial properties in reclaimed and unreclaimed grasslands in heaps after opencast lignite mining. Ecol. Eng. 2018, 123, 103–111. [Google Scholar] [CrossRef]
- Zhao, Z.; Shahrour, I.; Bai, Z.; Fan, W.; Feng, L.; Li, H. Soils development in opencast coal mine spoils reclaimed for 1–13 years in the West-Northern Loess Plateau of China. Eur. J. Soil Biol. 2013, 55, 40–46. [Google Scholar] [CrossRef]
- Adeli, A.; Brooks, J.P.; Read, J.J.; McGrew, R.; Jenkins, J.N. Post-reclamation Age Effects on Soil Physical Properties and Microbial Activity Under Forest and Pasture Ecosystems. Commun. Soil Sci. Plant Anal. 2018, 50, 20–34. [Google Scholar] [CrossRef]
- Bartuska, M.; Frouz, J. Carbon accumulation and changes in soil chemistry in reclaimed open-cast coal mining heaps near Sokolov using repeated measurement of chronosequence sites. Eur. J. Soil Sci. 2015, 66, 104–111. [Google Scholar] [CrossRef]
- Quinkenstein, A.; Böhm, C.; Matos, E.D.S.; Freese, D.; Hüttl, R.F. Assessing the Carbon Sequestration in Short Rotation Coppices of Robinia pseudoacacia L. on Marginal Sites in Northeast Germany. In Agroforestry—The Future of Global Land Use; Springer Science and Business Media LLC.: Berlin/Heidelberg, Germany, 2011; pp. 201–216. [Google Scholar]
- Schulz, E. Influence of site conditions and management on different soil organic matter (som) pools. Arch. Agron. Soil Sci. 2004, 50, 33–47. [Google Scholar] [CrossRef]
- Boyer, J.; Groffman, P. Bioavailability of water extractable organic carbon fractions in forest and agricultural soil profiles. Soil Biol. Biochem. 1996, 28, 783–790. [Google Scholar] [CrossRef]
- Ghani, A.; Dexter, M.; Perrott, K. Hot-water extractable carbon in soils: A sensitive measurement for determining impacts of fertilisation, grazing and cultivation. Soil Biol. Biochem. 2003, 35, 1231–1243. [Google Scholar] [CrossRef]
- Cepáková, Š.; Tošner, Z.; Frouz, J. The effect of tree species on seasonal fluctuations in water-soluble and hot water-extractable organic matter at post-mining sites. Geoderma 2016, 275, 19–27. [Google Scholar] [CrossRef]
- Scaglia, B.; Adani, F. Biodegradability of soil water soluble organic carbon extracted from seven different soils. J. Environ. Sci. 2009, 21, 641–646. [Google Scholar] [CrossRef]
- Balaria, A.; Johnson, C.E.; Xu, Z. Molecular-Scale Characterization of Hot-Water-Extractable Organic Matter in Organic Horizons of a Forest Soil. Soil Sci. Soc. Am. J. 2009, 73, 812–821. [Google Scholar] [CrossRef]
- Sparling, G.; Vojvodić-Vuković, M.; Schipper, L. Hot-water-soluble C as a simple measure of labile soil organic matter: The relationship with microbial biomass C. Soil Biol. Biochem. 1998, 30, 1469–1472. [Google Scholar] [CrossRef]
- Uchida, Y.; Nishimura, S.; Akiyama, H. The relationship of water-soluble carbon and hot-water-soluble carbon with soil respiration in agricultural fields. Agric. Ecosyst. Environ. 2012, 156, 116–122. [Google Scholar] [CrossRef]
- Curtin, D.; Qiu, W.; Peterson, M.; Beare, M.H.; Anderson, C.R.; Chantigny, M.H. Exchangeable cation effects on hot water extractable carbon and nitrogen in agricultural soils. Soil Res. 2020, 58, 356. [Google Scholar] [CrossRef]
- Józefowska, A.; Pietrzykowski, M.; Woś, B.; Cajthaml, T.; Frouz, J. The effects of tree species and substrate on carbon sequestration and chemical and biological properties in reforested post-mining soils. Geoderma 2017, 292, 9–16. [Google Scholar] [CrossRef]
- Hüblová, L.; Frouz, J. Contrasting effect of coniferous and broadleaf trees on soil carbon storage during reforestation of forest soils and afforestation of agricultural and post-mining soils. J. Environ. Manag. 2021, 290, 112567. [Google Scholar] [CrossRef] [PubMed]
- Yan, M.; Fan, L.; Wang, L. Restoration of soil carbon with different tree species in a post-mining land in eastern Loess Plateau, China. Ecol. Eng. 2020, 158, 106025. [Google Scholar] [CrossRef]
- Maiti, S.K.; Bandyopadhyay, S.; Mukhopadhyay, S. Importance of selection of plant species for successful ecological restoration program in coal mine degraded land. In Phytorestoration of Abandoned Mining and Oil Drilling Sites; Elsevier BV: Amsterdam, The Netherlands, 2021; pp. 325–357. [Google Scholar]
- Pietrzykowski, M. Tree species selection and reaction to mine soil reconstructed at reforested post-mine sites: Central and eastern European experiences. Ecol. Eng. 2019, 142, 100012. [Google Scholar] [CrossRef]
- Vacek, Z.; Linda, R.; Cukor, J.; Vacek, S.; Šimůnek, V.; Gallo, J.; Vančura, K. Scots pine (Pinus sylvestris L.), the suitable pioneer species for afforestation of reclamation sites? For. Ecol. Manag. 2021, 485, 118951. [Google Scholar] [CrossRef]
- Woś, B.; Pająk, M.; Krzaklewski, W.; Pietrzykowski, M. Verifying the Utility of Black Locust (Robinia pseudoacacia L.) in the Reclamation of a Lignite Combustion Waste Disposal Site in Central European Conditions. Forests 2020, 11, 877. [Google Scholar] [CrossRef]
- Bigler, C.; Bräker, O.U.; Bugmann, H.; Dobbertin, M.; Rigling, A. Drought as an Inciting Mortality Factor in Scots Pine Stands of the Valais, Switzerland. Ecosystems 2006, 9, 330–343. [Google Scholar] [CrossRef] [Green Version]
- Pietrzykowski, M.; Woś, B. The Impact of Climate Change on Forest Tree Species Dieback and Changes in Their Distribution. In Soil Biology; Springer Science and Business Media LLC.: Berlin/Heidelberg, Germany, 2021; pp. 447–460. [Google Scholar]
- Knoche, D.; Ertle, C. Infection of Scots pine afforestations (Pinus sylvestris L.) by annosum root rot (Heterobasidion annosum (Fr.) Bref.) in the Eastern German Lignite District. Civ. Environ. Eng. Rep. 2010, 4, 35–45. [Google Scholar]
- Eilmann, B.; Rigling, A. Tree-growth analyses to estimate tree species’ drought tolerance. Tree Physiol. 2012, 32, 178–187. [Google Scholar] [CrossRef] [Green Version]
- Herrero, A.; Zamora, R. Plant Responses to Extreme Climatic Events: A Field Test of Resilience Capacity at the Southern Range Edge. PLoS ONE 2014, 9, e87842. [Google Scholar] [CrossRef]
- Marqués, L.; Camarero, J.J.; Gazol, A.; Zavala, M.A. Drought impacts on tree growth of two pine species along an altitudinal gradient and their use as early-warning signals of potential shifts in tree species distributions. For. Ecol. Manag. 2016, 381, 157–167. [Google Scholar] [CrossRef]
- Isajev, V.; Fady, B.; Semerci, H.; Andonovski, V. Euforgen Technical Guidelines for Genetic Conservation and Use for European Black Pine (Pinus nigra); International Plant Genetic Resources Institute: Rome, Italy, 2003. [Google Scholar]
- Thiel, D.; Nagy, L.; Beierkuhnlein, C.; Huber, G.; Jentsch, A.; Konnert, M.; Kreyling, J. Uniform drought and warming responses in Pinus nigra provenances despite specific overall performances. For. Ecol. Manag. 2012, 270, 200–208. [Google Scholar] [CrossRef]
- Dixon, C.; Fyson, G.F.; Pasiecznik, N.; Praciak, A.; Rushforth, K.; Sassen, M.; Sheil, D.; Correia, C.S.; Teeling, C.; van Heist, M. The CABI Encyclopedia of Forest Trees; CABI Publishing: Oxfordshire, UK, 2013. [Google Scholar]
- Forest Europe. State of Europe’s Forests 2015; Forest Europe Liaison Unit: Madrid, Spain, 2015. [Google Scholar]
- Oleksyn, J.; Oleksynowa, K.; Kozłowska, E.; Rachwał, L. Mineral content and the sensitivity of black pine (Pinus nigra) of various provenances to industrial air pollution. For. Ecol. Manag. 1987, 21, 237–247. [Google Scholar] [CrossRef]
- Chudzínska, E.; Diatta, J.B.; Wojnicka-Półtorak, A. Adaptation strategies and referencing trial of Scots and black pine populations subjected to heavy metal pollution. Environ. Sci. Pollut. Res. 2013, 21, 2165–2177. [Google Scholar] [CrossRef] [PubMed] [Green Version]
- Stanek, M.; Piechnik, Ł.; Stefanowicz, A.M. Invasive red oak (Quercus rubra L.) modifies soil physicochemical properties and forest understory vegetation. For. Ecol. Manag. 2020, 472, 118253. [Google Scholar] [CrossRef]
- Vacek, Z.; Cukor, J.; Vacek, S.; Linda, R.; Prokůpková, A.; Podrázský, V.; Gallo, J.; Vacek, O.; Šimůnek, V.; Drábek, O.; et al. Production potential, biodiversity and soil properties of forest reclamations: Opportunities or risk of introduced coniferous tree species under climate change? Forstwiss. Centralblatt 2021, 140, 1243–1266. [Google Scholar] [CrossRef]
- Pietrzykowski, M.; Gruba, P.; Sproull, G. The effectiveness of Yellow lupine (Lupinus luteus L.) green manure cropping in sand mine cast reclamation. Ecol. Eng. 2017, 102, 72–79. [Google Scholar] [CrossRef]
- Chantigny, M.H.; Angers, D.A.; Kaiser, K.; Kalbitz, K. Extraction and Characterization of Dissolved Organic Matter. In Soil Sampling and Methods of Analysis, 2nd ed.; Carter, M.R., Gregorich, E.G., Eds.; CRC Press Taylor & Francis: Boca Raton, FL, USA, 2007. [Google Scholar]
- Hamkalo, Z.; Bedernichek, T. Total, cold and hot water extractable organic carbon in soil profile: Impact of land-use change. Zemdirb.-Agric. 2014, 101, 125–132. [Google Scholar] [CrossRef] [Green Version]
- Rosenvald, K.; Kuznetsova, T.; Ostonen, I.; Truu, M.; Truu, J.; Uri, V.; Lõhmus, K. Rhizosphere effect and fine-root morphological adaptations in a chronosequence of silver birch stands on reclaimed oil shale post-mining areas. Ecol. Eng. 2011, 37, 1027–1034. [Google Scholar] [CrossRef]
- Mareschal, L.; Bonnaud, P.; Turpault, M.P.; Ranger, J. Impact of common European tree species on the chemical and physicochemical properties of fine earth: An unusual pattern. Eur. J. Soil Sci. 2010, 61, 14–23. [Google Scholar] [CrossRef]
- Woś, B.; Józefowska, A.; Likus-Cieślik, J.; Chodak, M.; Pietrzykowski, M. Effect of tree species and soil texture on the Carbon stock, macronutrient content and physicochemical properties of regenerated post-fire forest soils. Land Degrad. Dev. 2021. [Google Scholar] [CrossRef]
- Józefowska, A.; Sokołowska, J.; Woźnica, K.; Woś, B.; Pietrzykowski, M. Tree species and soil substrate affect buffer capacity of anthroposols in afforested postmine sites in Poland. J. Soil Water Conserv. 2019, 74, 372–379. [Google Scholar] [CrossRef]
- Soil Science Division Staff. Soil survey manual. In USDA Handbook 18; Ditzler, C., Scheffe, K., Monger, H.C., Eds.; Government Printing Office: Washington, DC, USA, 2017. [Google Scholar]
- Mukhopadhyay, S.; Masto, R.E. Comparative evaluation of Cassia siamea and Albizia lebbeck for their potential to recover carbon and nutrient stocks in a chronosequence post-mining site. Catena 2021, 208, 105726. [Google Scholar] [CrossRef]
- Shrestha, R.K.; Lal, R. Land use impacts on physical properties of 28 years old reclaimed mine soils in Ohio. Plant Soil 2008, 306, 249–260. [Google Scholar] [CrossRef]
- Shrestha, R.K.; Lal, R. Changes in physical and chemical properties of soil after surface mining and reclamation. Geoderma 2011, 161, 168–176. [Google Scholar] [CrossRef]
- Arvidsson, J. Influence of soil texture and organic matter content on bulk density, air content, compression index and crop yield in field and laboratory compression experiments. Soil Tillage Res. 1998, 49, 159–170. [Google Scholar] [CrossRef]
- Nawaz, M.F.; Bourrié, G.; Trolard, F. Soil compaction impact and modelling. A review. Agron. Sustain. Dev. 2013, 33, 291–309. [Google Scholar] [CrossRef] [Green Version]
- Gruba, P.; Mulder, J. Tree species affect cation exchange capacity (CEC) and cation binding properties of organic matter in acid forest soils. Sci. Total Environ. 2015, 511, 655–662. [Google Scholar] [CrossRef]
- Manrique, L.A.; Jones, C.A.; Dyke, P.T. Predicting Cation-Exchange Capacity from Soil Physical and Chemical Properties. Soil Sci. Soc. Am. J. 1991, 55, 787–794. [Google Scholar] [CrossRef]
- Bradshaw, A. The use of natural processes in reclamation—Advantages and difficulties. Landsc. Urban Plan. 2000, 51, 89–100. [Google Scholar] [CrossRef]
- Marschner, P. Marschner’s Mineral Nutrition of Higher Plants, 3rd ed.; Academic Press: Cambridge, MA, USA, 2011. [Google Scholar]
- Kumar, S.; Maiti, S.K.; Chaudhuri, S. Soil development in 2–21 years old coalmine reclaimed spoil with trees: A case study from Sonepur-Bazari opencast project, Raniganj Coalfield, India. Ecol. Eng. 2015, 84, 311–324. [Google Scholar] [CrossRef]
- Stevenson, F.J.; Cole, M.A. Cycles of Soil: Carbon, Nitrogen, Phosphorus, Sulfur, Micronutrients, 2nd ed.; John Wiley & Sons: Hoboken, NJ, USA, 1999. [Google Scholar]
- Gurmesa, G.A.; Schmidt, I.K.; Gundersen, P.; Vesterdal, L. Soil carbon accumulation and nitrogen retention traits of four tree species grown in common gardens. For. Ecol. Manag. 2013, 309, 47–57. [Google Scholar] [CrossRef]
- Muukkonen, P. Needle biomass turnover rates of Scots pine (Pinus sylvestris L.) derived from the needle-shed dynamics. Trees 2004, 19, 273–279. [Google Scholar] [CrossRef]
- Starr, M.; Saarsalmi, A.; Hokkanen, T.; Merilä, P.; Helmisaari, H.-S. Models of litterfall production for Scots pine (Pinus sylvestris L.) in Finland using stand, site and climate factors. For. Ecol. Manag. 2005, 205, 215–225. [Google Scholar] [CrossRef]
- Gruba, P.; Socha, J. Exploring the effects of dominant forest tree species, soil texture, altitude, and pHH2O on soil carbon stocks using generalized additive models. For. Ecol. Manag. 2019, 447, 105–114. [Google Scholar] [CrossRef]
- Ganjegunte, G.K.; Wick, A.F.; Stahl, P.D.; Vance, G.F. Accumulation and composition of total organic carbon in reclaimed coal mine lands. Land Degrad. Dev. 2009, 20, 156–175. [Google Scholar] [CrossRef]
- Shrestha, R.K.; Lal, R. Soil Carbon and Nitrogen in 28-Year-Old Land Uses in Reclaimed Coal Mine Soils of Ohio. J. Environ. Qual. 2007, 36, 1775–1783. [Google Scholar] [CrossRef]
- Kanzler, M.; Böhm, C.; Freese, D. The development of soil organic carbon under young black locust (Robinia pseudoacacia L.) trees at a post-mining landscape in eastern Germany. New For. 2021, 52, 47–68. [Google Scholar] [CrossRef] [Green Version]
- Woś, B.; Smoliński, A.; Likus-Cieślik, J.; Pietrzykowski, M. The impact of alder litter on chemistry of Technosols developed from lignite combustion waste and natural sandy substrate: A laboratory experiment. Int. J. Phytoremed. 2021, 23, 415–425. [Google Scholar] [CrossRef]
- Sá, J.C.D.M.; Gonçalves, D.R.P.; Ferreira, L.A.; Mishra, U.; Inagaki, T.M.; Furlan, F.J.F.; Moro, R.S.; Floriani, N.; Briedis, C.; Ferreira, A.D.O. Soil carbon fractions and biological activity based indices can be used to study the impact of land management and ecological successions. Ecol. Indic. 2018, 84, 96–105. [Google Scholar] [CrossRef]
- Ćirić, V.; Belić, M.; Nešić, L.; Šeremešić, S.; Pejić, B.; Bezdan, A.; Manojlović, M. The sensitivity of water extractable soil organic carbon fractions to land use in three soil types. Arch. Agron. Soil Sci. 2016, 62, 1654–1664. [Google Scholar] [CrossRef]
- Leinweber, P.; Schulten, H.-R. Hot water extracted organic matter: Chemical composition and temporal variations in a long-term field experiment. Biol. Fertil. Soils 1995, 20, 17–23. [Google Scholar] [CrossRef]
- Kubát, J.; Cerhanová, D.; Nováková, J.; Klement, V.; Čermák, P.; Dostál, J. Total organic c and its decomposable part in arable soils in the Czech Republic. Arch. Agron. Soil Sci. 2004, 50, 21–32. [Google Scholar] [CrossRef]
- Chodak, M.; Khanna, P.; Beese, F. Hot water extractable C and N in relation to microbiological properties of soils under beech forests. Biol. Fertil. Soils 2003, 39, 123–130. [Google Scholar] [CrossRef]
- Bu, X.; Wang, L.; Ma, W.; Yu, X.; McDowell, W.H.; Ruan, H. Spectroscopic characterization of hot-water extractable organic matter from soils under four different vegetation types along an elevation gradient in the Wuyi Mountains. Geoderma 2010, 159, 139–146. [Google Scholar] [CrossRef]
- Corvasce, M.; Zsolnay, A.; D’Orazio, V.; Lopez, R.; Miano, T. Characterization of water extractable organic matter in a deep soil profile. Chemosphere 2006, 62, 1583–1590. [Google Scholar] [CrossRef]
Publisher’s Note: MDPI stays neutral with regard to jurisdictional claims in published maps and institutional affiliations. |
© 2022 by the authors. Licensee MDPI, Basel, Switzerland. This article is an open access article distributed under the terms and conditions of the Creative Commons Attribution (CC BY) license (https://creativecommons.org/licenses/by/4.0/).




