Comparison of Juvenile, Drought Tolerant Black Locust (Robinia pseudoacacia L.) Clones with Regard to Plant Physiology and Growth Characteristics in Eastern Hungary: Early Evaluation
Abstract
1. Introduction
2. Materials and Methods
2.1. Experiment Set Up
2.2. Field Measurements
2.3. Evapotranspiration and VPD Calculations
2.4. Statistical Data Analysis
3. Results
3.1. Evaluation of Weather Conditions of the Black Locust Experiment Site
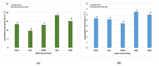
3.2. Results of Assimilation Measurements
3.3. Results of Stand Structure Factors and Growth
3.4. Evaluation of the Results of Normalized Difference Vegetation Index (NDVI)
4. Discussion
5. Conclusions
- -
- as a specified mixture (30–35%) for the planting of common black locust stands,
- -
- for the establishment of wide-spacing (min. 2.5 × 2.0 m), short-cutting (15–20 years) industrial tree plantations,
- -
- for the establishment of seed-orchard and plantations for the production of quality propagating material.
Author Contributions
Funding


Institutional Review Board Statement
Informed Consent Statement
Data Availability Statement
Acknowledgments
Conflicts of Interest
References
- Vítková, M.; Müllerová, J.; Sádlo, J.; Pergl, J.; Pyšek, P. Black locust (Robinia pseudoacacia) beloved and despised: A story of an invasive tree in Central Europe. For. Ecol. Manag. 2017, 384, 287–302. [Google Scholar] [CrossRef] [PubMed]
- Nicolescu, V.N.; Rédei, K.; Mason, W.L.; Vor, T.; Pöetzelsberger, E.; Bastien, J.C.; Brus, R.; Benčať, T.; Đodan, M.; Cvjetkovic, B.; et al. Ecology, growth and management of black locust (Robinia pseudoacacia L.), a non–native species integrated into European forests. J. For. Res. 2020, 31, 1081–1101. [Google Scholar] [CrossRef]
- Huntley, J.C. Robinia pseudoacacia L. black locust. Silv. N. Am. 1990, 2, 755–761. [Google Scholar]
- Barrett, R.P.; Mebrahtu, T.; Hanover, J.W. Black locust: A multi–purpose tree species for temperate climates. Advances in New Crops; Timber Press: Portland, OR, USA, 1990; pp. 278–283. [Google Scholar]
- Noh, N.J.; Son, Y.; Koo, J.W.; Seo, K.W.; Kim, R.H.; Lee, Y.Y.; Yoo, K.S. Comparison of nitrogen fixation for north–and south–facing Robinia pseudoacacia stands in central Korea. J. Plant Biol. 2010, 53, 61–69. [Google Scholar] [CrossRef]
- Böhm, C.; Quinkenstein, A.; Freese, D. Yield prediction of young black locust (Robinia pseudoacacia L.) plantations for woody biomass production using allometric relations. Ann. For. Res. 2011, 54, 215–227. [Google Scholar]
- Wojda, T.; Klisz, M.; Jastrzebowski, S.; Mionskowski, M.; Szyp–Borowska, I.; Szczygiel, K. The geographical distribution of the black locust (Robinia pseudoacacia L.) in Poland and its role on non–forest land. Pap. Glob. Change 2015, 22. [Google Scholar] [CrossRef]
- Qin, J.; Xi, W.; Rahmlow, A.; Kong, H.; Zhang, Z.; Shangguan, Z. Effects of forest plantation types on leaf traits of Ulmus pumila and Robinia pseudoacacia on the Loess Plateau, China. Ecol. Eng. 2016, 97, 416–425. [Google Scholar] [CrossRef]
- Li, G.; Zhang, X.; Huang, J.; Wen, Z.; Du, S. Afforestation and climatic niche dynamics of black locust (Robinia pseudoacacia). For. Ecol. Manag. 2018, 407, 184–190. [Google Scholar] [CrossRef]
- Lee, H.; Lim, H.; Kang, J.W. Growth performance of exotic trees in Korea. J. For. Environ. Sci. 2019, 35, 115–120. [Google Scholar] [CrossRef]
- Zhu, Y.; Wang, Y.; Chen, L.; Li, Z. Does non–native black locust afforestation affect soil biodiversity at the regional scale? Case study of soil macroinvertebrates across the Chinese Loess Plateau. Catena 2021, 200, 105171. [Google Scholar] [CrossRef]
- Mantovani, D.; Veste, M.; Freese, D. Black locust (Robinia pseudoacacia L.) ecophysiological and morphological adaptations to drought and their consequence on biomass production and water–use efficiency. N. Z. J. For. Sci. 2014, 44, 1–11. [Google Scholar] [CrossRef]
- Moser, A.; Rötzer, T.; Pauleit, S.; Pretzsch, H. The urban environment can modify drought stress of small–leaved lime (Tilia cordata Mill.) and black locust (Robinia pseudoacacia L.). Forests 2016, 7, 71. [Google Scholar] [CrossRef]
- Moser, A.; Uhl, E.; Rotzer, T.; Biber, P.; Caldentey, J.M.; Pretzsch, H. Effects of climate and drought events on urban tree growth in Santiago de Chile. Cienc Invest Agrar 2018, 45, 35–50. [Google Scholar] [CrossRef]
- Bhusal, N.; Lee, M.; Han, A.R.; Han, A.; Kim, H.S. Responses to drought stress in Prunus sargentii and Larix kaempferi seedlings using morphological and physiological parameters. For. Ecol. Manag. 2020, 465, 118099. [Google Scholar] [CrossRef]
- Deng, L.; Shangguan, Z.P.; Rui, L.I. Effects of the grain–for–green program on soil erosion in China. Int. J. Sediment Res. 2012, 27, 120–127. [Google Scholar] [CrossRef]
- Lee, C.S.; Cho, H.J.; Yi, H. Stand dynamics of introduced black locust (Robinia pseudoacacia L.) plantation under different disturbance regimes in Korea. For. Ecol. Manag. 2004, 189, 281–293. [Google Scholar] [CrossRef]
- Zeleznik, J.D.; Skousen, J.G. Survival of three tree species on old reclaimed surface mines in Ohio. Am. Soc. Agron. Crop Sci. Soc. Am. Soil Sci. Soc. Am. 1996, 25, 1429–1435. [Google Scholar] [CrossRef][Green Version]
- Filcheva, E.; Noustorova, M.; Gentcheva–Kostadinova, S.V.; Haigh, M.J. Organic accumulation and microbial action in surface coal–mine spoils, Pernik, Bulgaria. Ecol. Eng. 2000, 15, 1–15. [Google Scholar] [CrossRef]
- DeGomez, T.; Wagner, M.R. Culture and use of black locust. HortTechnology 2001, 11, 279–288. [Google Scholar] [CrossRef]
- Grünewald, H.; Böhm, C.; Quinkenstein, A.; Grundmann, P.; Eberts, J.; von Wühlisch, G. Robinia pseudoacacia L.: A lesser known tree species for biomass production. BioEnergy Res. 2009, 2, 123–133. [Google Scholar] [CrossRef]
- Rédei, K.; Osvath–Bujtas, Z.; Veperdi, I. Black locust (Robinia pseudoacacia L.) improvement in Hungary: A review. Acta Silv. Et Lignaria Hung. 2008, 4, 127–132. [Google Scholar]
- Manzone, M.; Bergante, S.; Facciotto, G. Energy and economic sustainability of woodchip production by black locust (Robinia pseudoacacia L.) plantations in Italy. Fuel 2015, 140, 555–560. [Google Scholar] [CrossRef]
- Keresztesi, B. The Black Locust; Akadémiai Kiadó: Budapest, Hungary, 1988. [Google Scholar]
- Lee, K.J.; Sohn, J.H.; Rédei, K.; Yun, H.Y. Selection of early and late flowering Robinia pseudoacacia from domesticated and introduced cultivars in Korea and prediction of flowering period by accumulated temperature. J. Korean For. Soc. 2007, 96, 170–177. [Google Scholar]
- Nicolescu, V.N.; Hernea, C.; Bakti, B.; Keserű, Z.; Antal, B.; Rédei, K. Black locust (Robinia pseudoacacia L.) as a multi–purpose tree species in Hungary and Romania: A review. J. For. Res. 2018, 29, 1449–1463. [Google Scholar] [CrossRef]
- Kim, Y.K.; Kim, M.S.; Nam, J.I.; Song, J.H.; Kim, S.H. Analysis on floral nectar characteristics among the selected black locust (Robinia spp.) individuals. J. Apic. Res. 2021, 1–9. [Google Scholar] [CrossRef]
- Vadas, J. Az ákácfa Monográfiája; Országos Erdészeti Egyesület: Budapest, Hungary, 1911; p. 236. [Google Scholar]
- Muller, S. Robinia pseudoacacia L. Le robinier faux–acacia. In: Muller, S.(Coordinateur): Plantes invasives en France. Muséum national d’Histoire naturelle, Paris. Patrimoins Nat. 2004, 62, 92–93. (In French) [Google Scholar]
- Demené, J.M.; Merzeau, D. Le robinier faux acacia, Historique et caractéristiques biologiques. Forêt–Entreprise 2007, 177, 10–12. (In French) [Google Scholar]
- Halmágyi, L.; Keresztesi, B. A Méhlegelő; Akadémiai Kiadó: Budapest, Hungary, 1975. (In Hungarian) [Google Scholar]
- Járó, Z.; Lengyel, G. Stand establishment. In the Black Locust; Keresztesi, B., Ed.; Akadémiai Kiadó: Budapest, Hungary, 1988; pp. 87–115. [Google Scholar]
- Meyer–Münzer, B.; Grotehusmann, H.; Vor, T. Robinie (Robinia pseudoacacia L.). In Potenziale Und Risiken Eingeführter Baumarten: Baumartenportraits Mit Naturschutzfachlicher Bewertung; Vor, T., Spellmann, H., Bolte, A., Ammer, C., Eds.; Universitätsverlag Göttingen: Göttingen, Germany, 2015; pp. 277–296. (In German) [Google Scholar]
- Vítková, M.; Tonika, J.; Müllerová, J. Black locust—Successful invader of a wide range of soil conditions. Sci. Total Environ. 2015, 505, 315–328. [Google Scholar] [CrossRef]
- UN FAO. Global Forest Resources Assessment 2020 Report Hungary; UN FAO: Rome, Italy, 2020. [Google Scholar]
- Rédei, K.; Csiha, I.; Keserű, Z.; Kamandiné Végh, Á.; Győri, J. The silviculture of black locust (Robinia pseudoacacia L.) in Hungary: A review. South–East Eur. For. SEEFOR 2011, 2, 101–107. [Google Scholar] [CrossRef]
- Rédei, K.; Keserű, Z.; Csiha, I.; Rásó, J.; Honfy, V. Plantation silviculture of black locust (Robinia pseudoacacia L.) cultivars in Hungary–a review. South–East Eur. For. SEEFOR 2017, 8, 151–156. [Google Scholar] [CrossRef]
- Rédei, K.M.; Keserű, Z.; Bach, I.; Rásó, J.; Ábri, T.; Gál, J. Management of Robinia pseudoacacia cv.‘Üllői’–‘Üllői’locust. Acta Silv. Et Lignaria Hung. 2020, 16, 9–18. [Google Scholar] [CrossRef]
- Ábri, T.; Keserű, Z.; Rásó, J.; Rédei, K. Stand structure and growth of Robinia pseudoacacia ‘Jászkiséri’–‘Jászkiséri’black locust. J. For. Sci. 2021, 67, 489–497. [Google Scholar] [CrossRef]
- Rédei, K.; Keserű, Z.; Rásó, J. Early evaluation of micropropagated black locust (Robinia pseudoacacia L.) clones in Hungary. For. Sci. Pract. 2013, 15, 81–84. [Google Scholar] [CrossRef]
- Rédei, K.; Keserű, Z.; Csiha, I.; Rásó, J.; Kamandiné Végh, Á.; Antal, B. Juvenile Growth and Morphological Traits of Micropropagated Black Locust (Robinia pseudoacacia L.) Clones under Arid Site Conditions. Acta Silv. Et Lignaria Hung. 2013, 9, 35–42. [Google Scholar] [CrossRef][Green Version]
- Keserű, Z.; Borovics, A.; Ábri, T.; Rédei, K.M.; Lee, I.H.; Lim, H. Growing of Black Locust (Robinia pseudoacacia L.) Candidate Cultivars on Arid Sandy Site. Acta Silv. Et Lignaria Hung. 2021, 17, 51–61. [Google Scholar] [CrossRef]
- Keresztesi, B. Breeding and cultivation of black locust, Robinia pseudoacacia, in Hungary. For. Ecol. Manag. 1983, 6, 217–244. [Google Scholar] [CrossRef]
- Rédei, K.; Ostváth–Bujtás, Z.; Balla, I. Propagation methods for black locust (Robinia pseudoacacia L.) improvement in Hungary. J. For. Res. 2001, 12, 215–219. [Google Scholar] [CrossRef]
- Rédei, K.; Ostváth–Bujtás, Z.; Balla, I. Clonal approaches to growing black locust (Robinia pseudoacacia L.) in Hungary: A review. For. Int. J. For. Res 2002, 75, 547–552. [Google Scholar] [CrossRef]
- Barghchi, M. Mass clonal propagation in vitro of Robinia pseudoacacia L.(black locust) cv.‘Jaszkiseri’. Plant Sci. 1987, 53, 183–189. [Google Scholar] [CrossRef]
- Hanover, J.W.; Mebrathu, T.; Bloese, P. Genetic improvement of black locust: A prime agroforestry species. For. Chron. 1991, 67, 227–231. [Google Scholar] [CrossRef]
- Davis, J.M.; Keathley, D.E. Micropropagation of Black Locust (Robinia pseudoacacia L.). In High–Tech and Micropropagation II. Biotechnology in Agriculture and Forestry; Bajaj, Y.P.S., Ed.; Springer: Berlin/Heidelberg, Germany, 1992; Volume 18. [Google Scholar] [CrossRef]
- Chalupa, V. Tissue culture propagation of black locust. In Biology, Culture and Utilization; Hanover, J.W., Miller, K., Plesko, S., Eds.; Michigan State University: East Lansing, MI, USA, 1992; pp. 115–125. [Google Scholar]
- Chang, C.S.; Bongarten, B.; Hamrick, J. Genetic structure of natural populations of black locust (Robinia pseudoacacia L.) at Coweeta, North Carolina. J. Plant Res. 1998, 111, 17–24. [Google Scholar] [CrossRef]
- Swamy, S.L.; Puri, S.; Kanwar, K. Propagation of Robinia pseudoacacia Linn. and Grewiaoptiva Drummond from rooted stem cuttings. Agrofor. Syst. 2002, 55, 231–237. [Google Scholar] [CrossRef]
- Liesebach, H.; Yang, M.S.; Schneck, V. Genetic diversity and differentiation in a black locust (Robinia pseudoacacia L.) progeny test. For. Genet. 2004, 11, 151–161. [Google Scholar]
- Zhang, J.; Liu, Y.; Wang, H. Micropropagation of black locust (Robinia pseudoacacia L.). Protoc. Micropropag. Woody Trees Fruits 2007, 19, 193–199. [Google Scholar] [CrossRef]
- Dini–Papanastasi, O. Effects of clonal selection on biomass production and quality in Robinia pseudoacacia var. monophylla Carr. For. Ecol. Manag. 2008, 256, 849–854. [Google Scholar] [CrossRef]
- Zhonghai, S. Research on the rapid propagation technology of tetraploid Robinia Pseudoacacia. J. Anhui Agric. Sci. 2008, 36, 2315. [Google Scholar]
- Dini–Papanastasi, O.; Kostopoulou, P.; Radoglou, K. Effects of seed origin, growing medium and mini–plug density on early growth and quality of black locust (Robinia pseudoacacia L.) seedlings. J. For. Sci. 2012, 58, 8–20. [Google Scholar]
- Lu, N.; Dai, L.; Wu, B.; Zhang, Y.; Luo, Z.; Xun, S.; Sun, Y.; Li, Y. A preliminary study on the crossability in Robinia pseudoacacia L. Euphytica 2015, 206, 555–566. [Google Scholar] [CrossRef]
- Szyp–Borowska, I.; Banha, C.; Wojda, T.; Szczygieł, K. Micropropagation of black locust (Robinia pseudoacacia L.) and genetic stability of long term cultivated plants. Folia For. Pol. 2016, 58, 13–19. [Google Scholar] [CrossRef]
- Han, C.; Xun, S.; Zhang, Y.; Qiao, Y.; Dong, Y.; Zhong, W.; Liu, Z.; Li, Q. A new cultivar of Robinia pseudoacacia‘Lüman Qingshan’. Acta Hortic. Sin. 2019, 46, 1425–1426. [Google Scholar] [CrossRef]
- Stankova, T.; Gyuleva, V.; Kalmukov, K.; Popov, E.; Pérez-Cruzado, C.; Glushkova, M.; Andonova, E. Effect of spacing, parental genotype and harvesting cycle on biomass production in two half–sib progenies of Robinia pseudoacacia L. For. Int. J. For. Res. 2020, 93, 505–518. [Google Scholar] [CrossRef]
- Yang, X.; Zhang, K.; Wang, J.; Jia, H.; Ma, L.; Li, Y.; Duan, J. Assessment of genetic diversity and chemical composition among seven black locust populations from Northern China. Biochem. Syst. Ecol. 2020, 90, 104010. [Google Scholar] [CrossRef]
- Kraszkiewicz, A. Productivity of Black Locust (Robinia pseudoacacia L.) Grown on a Varying Habitats in Southeastern Poland. Forests 2021, 12, 470. [Google Scholar] [CrossRef]
- Rouse, W.J.; Haas, R.H.; Schell, J.A.; Deering, D.W. Monitoring Vegetation Systems in the Great Plains with ERTS. In Proceedings of the Third ERTS Symposium, Washington, DC, USA, 10–14 December 1973; pp. 309–317. [Google Scholar]
- Hungarian Meteorological Service. Available online: https://met.hu/omsz/tevekenysegek/adattar/ (accessed on 10 January 2022).
- USS Working Group WRB. World Reference Base for Soil Resources 2014, International Soil Classification System for Naming Soils and Creating Legends for Soil Maps; World Soil Resources Reports: Rome, Italy, 2015. [Google Scholar]
- LI–COR Inc. Li–6800 Portable Photosynthesis System, Software Version 1.2; LI–COR Inc.: Lincoln, NE, USA, 2017. [Google Scholar]
- Tanner, C.B.; Sinclair, T.R. Efficient water use in crop production: Research or re–search. In Limitations to Efficient Water Use in Crop Production; ASA: Madison, WI, USA, 1983. [Google Scholar]
- Allen, R.G.; Pereira, L.S.; Raes, D.; Smith, M. Crop Evapotranspiration–Guidelines for Computing Crop Water Requirements–FAO Irrigation and Drainage Paper 56; FAO–Food and Agriculture Organization of the United Nations: Rome, Italy, 1998. [Google Scholar]
- Antal, E. Az éghajlatváltozás hatása a magyarországi aszályokra. Acta Geogr. Debrecina 1991, 28, 17–18. (In Hungarian) [Google Scholar]
- Lyr, H.; Fiedler, H.J.; Tranquillini, W. Physiologie und ökologie der Gehölze; Gustav Fischer Verlag: Jena, Germany, 1992. (In German) [Google Scholar]
- Kutasy, E.; Buday–Bódi, E.; Virág, I.C.; Forgács, F.; Melash, A.A.; Zsombik, L.; Nagy, A.; Csajbók, J. Mitigating the Negative Effect of Drought Stress in Oat (Avena sativa L.) with Silicon and Sulphur Foliar Fertilization. Plants 2022, 11, 30. [Google Scholar] [CrossRef] [PubMed]
- Csajbók, J.; Pepó, P.; Kutasy, E. Photosynthetic and Agronomic Traits of Winter Barley (Hordeum vulgare L.) Varieties. Agronomy 2020, 10, 1999. [Google Scholar] [CrossRef]
- Bhusal, N.; Bhusal, S.J.; Yoon, T.-M. Comparisons of physiological and anatomical characteristics between two cultivars in bi-leader apple trees (Malus × domestica Borkh. ) Sci. Hortic. 2018, 231, 73–81. [Google Scholar] [CrossRef]
- Stavros, N.; Petri, V.E.; Stournaras, V. Seasonal changes in photosynthetic activity and carbohydrate content in leaves and fruit of three fig cultivars (Ficus carica L.). Sci. Hortic. 2013, 160, 198–207. [Google Scholar] [CrossRef]
- Balla, K.; Bedő, Z.; Veisz, O. Effect of heat and drought stress on the photosynthetic processes of wheat. Cereal Res. Commun. 2006, 2006. 34, 381–384. [Google Scholar] [CrossRef]
- Chivasa, W.; Mutanga, O.; Biradar, C. Phenology-based discrimination of maize (Zea mays L.) varieties using multitemporal hyperspectral data. J. Appl. Remote Sens. 2019, 13, 017504. [Google Scholar] [CrossRef]
- Zhang, H.; Hinze, L.L.; Lan, Y.; Westbrook, J.K.; Hoffmann, W.C. Discriminating among Cotton Cultivars with Varying Leaf Characteristics Using Hyperspectral Radiometry. Trans. ASABE 2012, 55, 275–280. [Google Scholar] [CrossRef]
- Bhusal, N.; Lee, M.; Lee, H.; Adhikari, A.; Han, A.R.; Han, A.; Kim, H.S. Evaluation of morphological, physiological, and biochemical traits for assessing drought resistance in eleven tree species. Sci Total Environ. 2021, 779, 146466. [Google Scholar] [CrossRef]
- Cátia, B.; Dinis, L.-T.; Moutinho-Pereira, J.; Correia, C.M. Drought Stress Effects and Olive Tree Acclimation under a Changing Climate. Plants 2019, 8, 232. [Google Scholar] [CrossRef]
- Nadal–Sala, D.; Hartig, F.; Gracia, C.A.; Sabaté, S. Global warming likely to enhance black locust (Robinia pseudoacacia L.) growth in a Mediterranean riparian forest. For. Ecol. Manag. 2019, 449, 117448. [Google Scholar] [CrossRef]
- Theofanous, N.; Chrysafis, I.; Mallinis, G.; Domakinis, C.; Verde, N.; Siahalou, S. Aboveground Biomass Estimation in Short Rotation Forest Plantations in Northern Greece Using ESA’s Sentinel Medium-High Resolution Multispectral and Radar Imaging Missions. Forests 2021, 12, 902. [Google Scholar] [CrossRef]








| Clones | |||||
|---|---|---|---|---|---|
| PL251 | NK1 | PL040 | NK2 | Üllői | |
| WUE (kg m−3) | 6.13 ± 0.191 a | 4.319 ± 0.191 b | 7.015 ± 0.191 c | 6.876 ± 0.191 c | 6.207 ± 0.191 a |
| Clones | Predicted Group Membership | ||||
|---|---|---|---|---|---|
| PL251 | NK1 | PL040 | NK2 | Üllői | |
| PL251 | 100% | 0% | 0% | 0% | 0% |
| NK1 | 0% | 100% | 0% | 0% | 0% |
| PL040 | 0% | 0% | 100% | 0% | 0% |
| NK2 | 0% | 0% | 0% | 66.7% | 33.3% |
| Üllői | 0% | 0% | 0% | 33.3% | 66.7% |
| Clones | Number of Stems | Height (cm) | Height Increment (cm) | Diameter at the Base (mm) | Diameter at the Base Increment (mm) | ||
|---|---|---|---|---|---|---|---|
| PL251 | May | n1 | 137 | 219.1 ± 4.139 a | 255.1 | 22.08 ± 0.395 a | 40.9 |
| Nov. | n2 | 146 | 474.2 ± 4.012 A | 62.95 ± 0.743 A | |||
| NK1 | May | n1 | 157 | 177.0 ± 2.795 b | 193.7 | 22.36 ± 0.305 ab | 40.8 |
| Nov. | n2 | 174 | 370.7 ± 3.332 B | 63.17 ± 0.648 A | |||
| PL040 | May | n1 | 124 | 188.7 ± 4.326 c | 236.1 | 22.87 ± 0.379 ab | 42.4 |
| Nov. | n2 | 126 | 424.9 ± 3.966 C | 65.29 ± 0.699 B | |||
| NK2 | May | n1 | 50 | 227.8 ± 6.273 a | 261.2 | 23.44 ± 0.583 b | 40.9 |
| Nov. | n2 | 97 | 489.0 ± 4.091 D | 64.30 ± 0.588 AB | |||
| Üllői | May | n1 | 81 | 137.5 ± 3.859 d | 176.2 | 15.01 ± 0.368 c | 38.9 |
| Nov. | n2 | 84 | 313.7 ± 5.537 E | 53.92 ± 1.108 C |
Publisher’s Note: MDPI stays neutral with regard to jurisdictional claims in published maps and institutional affiliations. |
© 2022 by the authors. Licensee MDPI, Basel, Switzerland. This article is an open access article distributed under the terms and conditions of the Creative Commons Attribution (CC BY) license (https://creativecommons.org/licenses/by/4.0/).
Share and Cite
Ábri, T.; Keserű, Z.; Borovics, A.; Rédei, K.; Csajbók, J. Comparison of Juvenile, Drought Tolerant Black Locust (Robinia pseudoacacia L.) Clones with Regard to Plant Physiology and Growth Characteristics in Eastern Hungary: Early Evaluation. Forests 2022, 13, 292. https://doi.org/10.3390/f13020292
Ábri T, Keserű Z, Borovics A, Rédei K, Csajbók J. Comparison of Juvenile, Drought Tolerant Black Locust (Robinia pseudoacacia L.) Clones with Regard to Plant Physiology and Growth Characteristics in Eastern Hungary: Early Evaluation. Forests. 2022; 13(2):292. https://doi.org/10.3390/f13020292
Chicago/Turabian StyleÁbri, Tamás, Zsolt Keserű, Attila Borovics, Károly Rédei, and József Csajbók. 2022. "Comparison of Juvenile, Drought Tolerant Black Locust (Robinia pseudoacacia L.) Clones with Regard to Plant Physiology and Growth Characteristics in Eastern Hungary: Early Evaluation" Forests 13, no. 2: 292. https://doi.org/10.3390/f13020292
APA StyleÁbri, T., Keserű, Z., Borovics, A., Rédei, K., & Csajbók, J. (2022). Comparison of Juvenile, Drought Tolerant Black Locust (Robinia pseudoacacia L.) Clones with Regard to Plant Physiology and Growth Characteristics in Eastern Hungary: Early Evaluation. Forests, 13(2), 292. https://doi.org/10.3390/f13020292

