On the Need to Further Refine Stock Quality Specifications to Improve Reforestation under Climatic Extremes
Abstract
:1. Introduction
2. Materials and Methods
2.1. Site Characterization
2.2. Experimental Design: Species, Stocklots, and Layout
2.3. Traits Selected and Post-Planting Monitoring
2.4. Data Analysis
3. Results
3.1. Meteorological Conditions in the 10-Year Period after Out-Planting
3.2. Stock Quality Influence in Out-Planting Performance
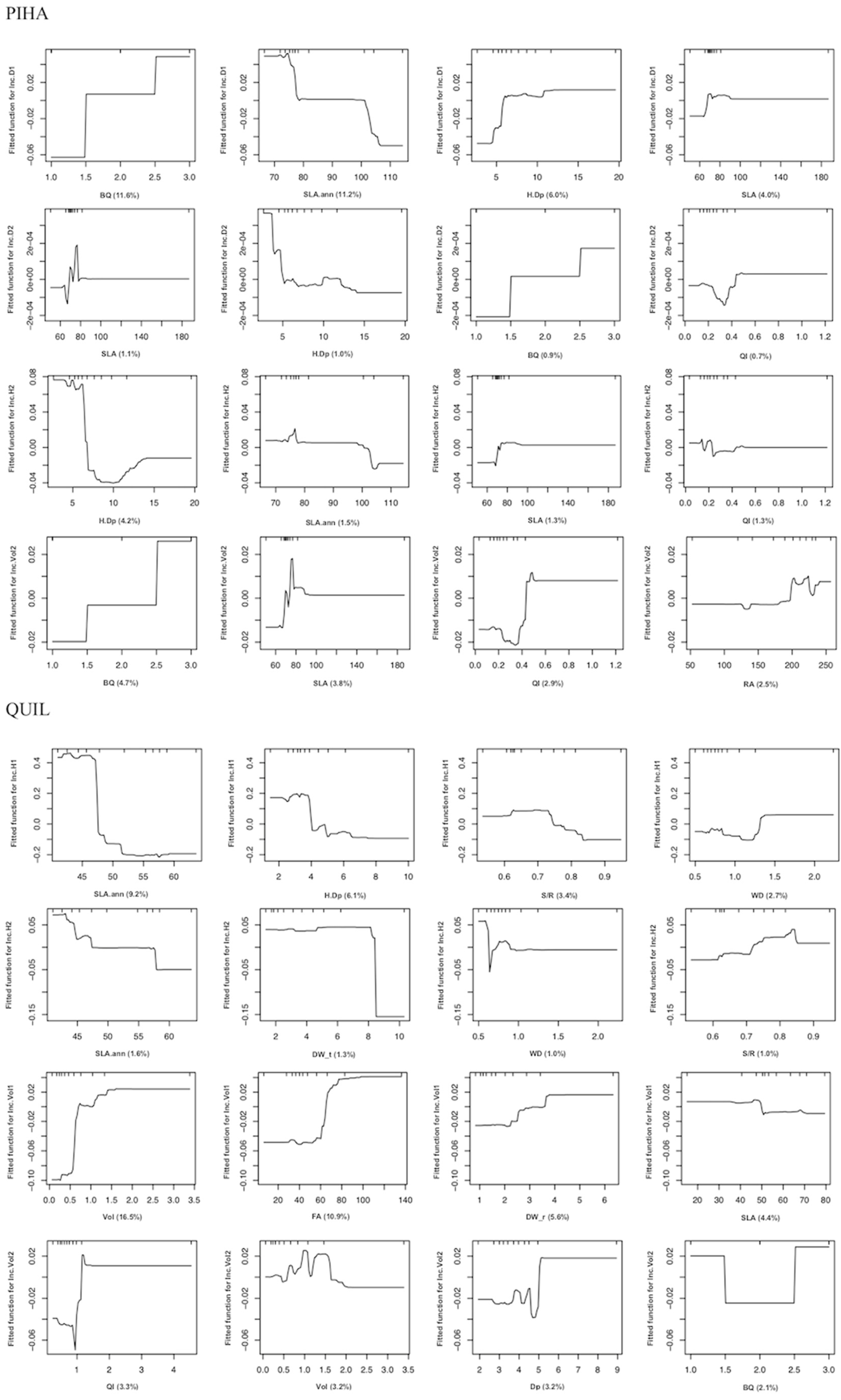
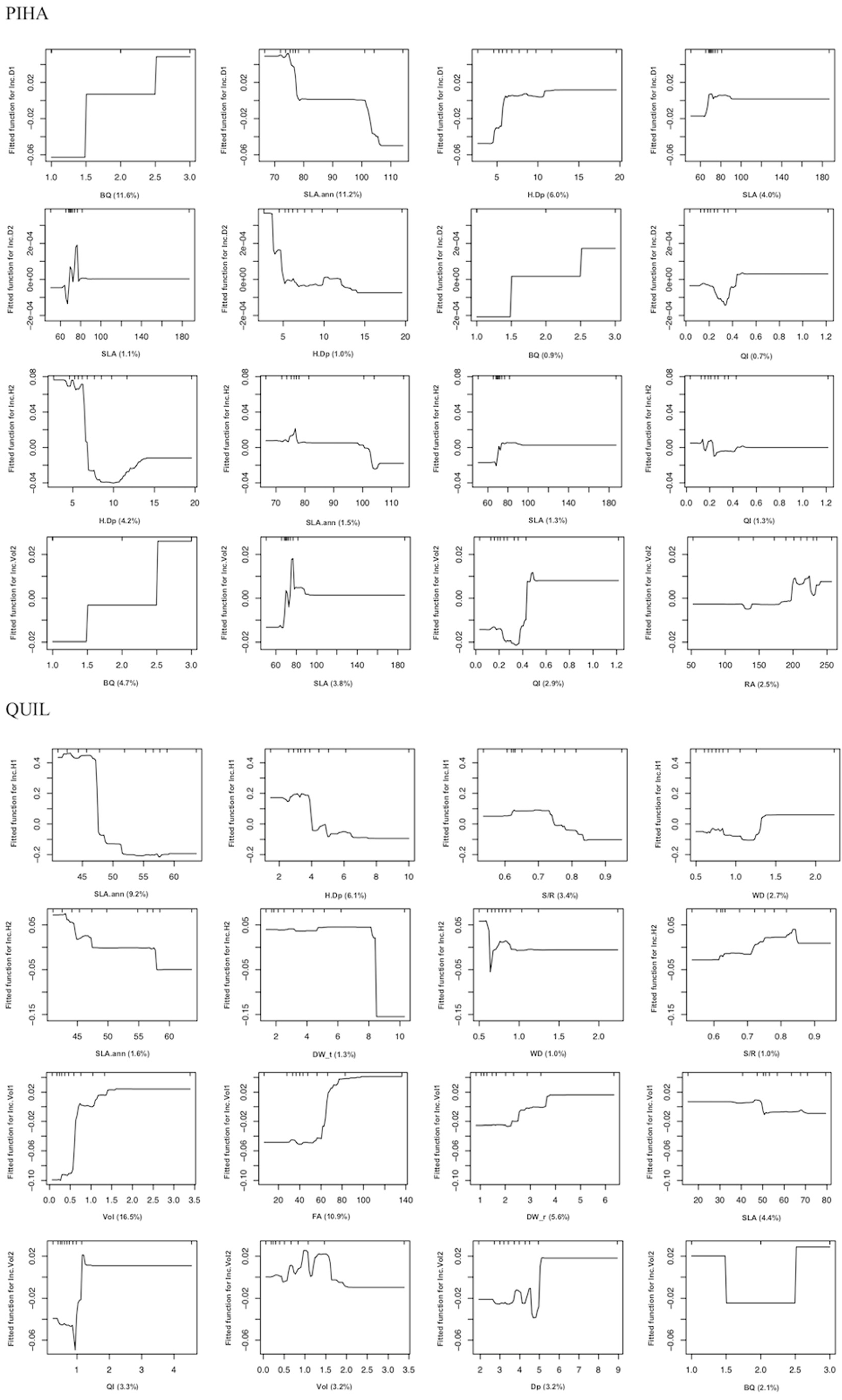
3.3. Relative Influence of Traits in Out-Planting Performance
3.3.1. Survival Performance
3.3.2. Early Growth Performance
4. Discussion
4.1. Limited Role of Stock Quality Traits in Plantation Establishment
4.2. Individual Plant Traits and Plantation Establishment
5. Conclusions
Supplementary Materials
Author Contributions
Funding
Institutional Review Board Statement
Informed Consent Statement
Data Availability Statement
Acknowledgments
Conflicts of Interest
References
- Stanturf, J.A.; Palik, B.J.; Dumroese, R.K. Contemporary Forest Restoration: A Review Emphasizing Function. For. Ecol. Manag. 2014, 331, 292–323. [Google Scholar] [CrossRef]
- Jørgensen, D. Ecological Restoration as Objective, Target, and Tool in International Biodiversity Policy. Ecol. Soc. 2015, 20, 43. [Google Scholar] [CrossRef] [Green Version]
- Jacobs, D.F.; Oliet, J.A.; Aronson, J.; Bolte, A.; Bullock, J.M.; Donoso, P.J.; Landhäusser, S.M.; Madsen, P.; Peng, S.; Rey-Benayas, J.M.; et al. Restoring Forests: What Constitutes Success in the Twenty-First Century? New For. 2015, 46, 601–614. [Google Scholar] [CrossRef]
- Burdett, A.N. Physiological Processes in Plantation Establishment and the Development of Specifications for Forest Planting Stock. Can. J. For. Res. 1990, 20, 415–427. [Google Scholar] [CrossRef]
- Le, H.D.; Smith, C.; Herbohn, J.; Harrison, S. More than Just Trees: Assessing Reforestation Success in Tropical Developing Countries. J. Rural. Stud. 2012, 28, 5–19. [Google Scholar] [CrossRef] [Green Version]
- Margolis, H.A.; Brand, D.G. An Ecophysiological Basis for Understanding Plantation Establishment. Can. J. For. Res. 1990, 20, 375–390. [Google Scholar] [CrossRef]
- UNEP Decision Adopted by the Conference of the Parties to the Convention on Biological Diversity XIII/5 Ecosystem Restoration: Short-Term Action Plan; UNEP: Cancun, Mexico, 2016.
- Seidl, R.; Thom, D.; Kautz, M.; Martin-Benito, D.; Peltoniemi, M.; Vacchiano, G.; Wild, J.; Ascoli, D.; Petr, M.; Honkaniemi, J. Forest Disturbances under Climate Change. Nat. Clim. Chang. 2017, 7, 395–402. [Google Scholar] [CrossRef] [Green Version]
- Grossnickle, S.C. Why Seedlings Survive: Influence of Plant Attributes. New For. 2012, 43, 711–738. [Google Scholar] [CrossRef]
- Grossnickle, S.C.; MacDonald, J.E. Why Seedlings Grow: Influence of Plant Attributes. New For. 2018, 49, 1–34. [Google Scholar] [CrossRef]
- Burdett, A.N. Quality Control in the Production of Forest Planting Stock. For. Chron. 1983, 59, 132–138. [Google Scholar] [CrossRef] [Green Version]
- Rose, R.; Campbell, S.J.; Landis, T.D. Target Seedling Symposium: Proceedings, Combined Meeting of the Western Forest Nursery Associations; Gen. Tech. Rep. RM-GTR-200; US Department of Agriculture, Forest Service, Rocky Mountain Forest and Range Experiment Station: Fort Collins, CO, USA, 1990; 286p.
- Del Campo, A.D.; Navarro-Cerrillo, R.M.; Hermoso, J.; Ibáñez, A.J. Relationship between Root Growth Potential and Field Performance in Aleppo Pine. Ann.For. Sci. 2007, 64, 541–548. [Google Scholar] [CrossRef]
- Del Campo, A.D.; Cerrillo, R.M.N.; Hermoso, J.; Ibáñez, A.J. Relationships between Site and Stock Quality in Pinus Halepensis Mill. Reforestation on Semiarid Landscapes in Eastern Spain. Ann.For. Sci. 2007, 64, 719–731. [Google Scholar] [CrossRef] [Green Version]
- Del Campo, A.D.; Navarro, R.M.; Ceacero, C.J. Seedling Quality and Field Performance of Commercial Stocklots of Containerized Holm Oak (Quercus Ilex) in Mediterranean Spain: An Approach for Establishing a Quality Standard. New For. 2010, 39, 19. [Google Scholar] [CrossRef]
- Pinto, J.R.; Dumroese, R.K.; Davis, A.S.; Landis, T.D. Conducting Seedling Stocktype Trials: A New Approach to an Old Question. J. For. 2011, 109, 293–299. [Google Scholar]
- Folk, R.S.; Grossnickle, S.C. Stock Quality Assessment: Still an Important Component of Operational Reforestation Programs. In National Proceedings, Forest and Conservation Nursery Association; Landis, T.D., Thompson, J.D., Eds.; USDA For. Serv. Gen. Tech Rep. PNW-GTR-419; US Department of Agriculture, Forest Service, Pacific Northwest Research Station: Corvallis, OR, USA, 1997; pp. 109–119. [Google Scholar]
- Kooistra, C.; Brazier, D. Seedling Standards and Need for Them. In National Proceedings: Forest and Conservation Nursery Associations; USDA, Forest Service, Southern Research Station: Asheville, NC, USA, 1999. [Google Scholar]
- Elith, J.; Leathwick, J.R.; Hastie, T. A Working Guide to Boosted Regression Trees. J. Anim. Ecol. 2008, 77, 802–813. [Google Scholar] [CrossRef] [PubMed]
- Ashraf, M.I.; Zhao, Z.; Bourque, C.P.-A.; MacLean, D.A.; Meng, F.-R. Integrating Biophysical Controls in Forest Growth and Yield Predictions with Artificial Intelligence Technology. Can. J. For. Res. 2013, 43, 1162–1171. [Google Scholar] [CrossRef]
- Vieira, G.C.; de Mendonça, A.R.; da Silva, G.F.; Zanetti, S.S.; da Silva, M.M.; Dos Santos, A.R. Prognoses of Diameter and Height of Trees of Eucalyptus Using Artificial Intelligence. Sci. Total Environ. 2018, 619, 1473–1481. [Google Scholar] [CrossRef]
- Ou, Q.; Lei, X.; Shen, C. Individual Tree Diameter Growth Models of Larch–Spruce–Fir Mixed Forests Based on Machine Learning Algorithms. Forests 2019, 10, 187. [Google Scholar] [CrossRef] [Green Version]
- Fernandes, T.J.; Campo, A.D.D.; Garcia-Bartual, R.; Gonzalez-Sanchis, M. Coupling Daily Transpiration Modelling with Forest Management in a Semiarid Pine Plantation. iForest-Biogeosci. For. 2015, 9, 38. [Google Scholar] [CrossRef] [Green Version]
- Vallejo, V.R.; Smanis, A.; Chirino, E.; Fuentes, D.; Valdecantos, A.; Vilagrosa, A. Perspectives in Dryland Restoration: Approaches for Climate Change Adaptation. New For. 2012, 43, 561–579. [Google Scholar] [CrossRef] [Green Version]
- Coello, J.; Cortina, J.; Valdecantos, A.; Varela, E. Forest Landscape Restoration Experiences in Southern Europe: Sustainable Techniques for Enhancing Early Tree Performance. Unasylva 2015, 66, 82–90. [Google Scholar]
- Pedro, V.S. Restoration of Spanish Pine Plantations: A Main Challenge for the 21st Century. Reforesta 2016, 1, 53–66. [Google Scholar]
- del Campo, A.D.; Segura-Orenga, G.; Ceacero, C.J.; González-Sanchis, M.; Molina, A.J.; Reyna, S.; Hermoso, J. Reforesting Drylands under Novel Climates with Extreme Drought Filters: The Importance of Trait-Based Species Selection. For. Ecol. Manag. 2020, 467, 118156. [Google Scholar] [CrossRef]
- de Mena, J.H. Calidad de Planta de Pinus Halepensis Mill. En Repoblaciones Forestales En La Provincia de Valencia. Definición y Contraste de Los Estándares de Calidad de Planta. Ph.D. Thesis, Universidad de Córdoba, Córdoba, Spain, 2017. [Google Scholar]
- Navarro-Cerrillo, R.M.; del Campo, A.D.; Ceacero, C.J.; Quero, J.L.; de Mena, J.H. On the Importance of Topography, Site Quality, Stock Quality and Planting Date in a Semiarid Plantation: Feasibility of Using Low-Density LiDAR. Ecol. Eng. 2014, 67, 25–38. [Google Scholar] [CrossRef]
- World Meteorological Organization. Standardized Precipitation Index User Guide; Svoboda, M., Hayes, M., Wood, D., Eds.; WMO-No. 1090; World Meteorological Organization: Geneva, Switzerland, 2012. [Google Scholar]
- IBM Corp. IBM SPSS Statistics for Windows; Version 22.0; IBM Corp: Armonk, NY, USA, 2013. [Google Scholar]
- R Core-Team. R: A Language a Nd Environment for Statistical Computing; R Foundation for Statistical Computing: Vienna, Austria, 2015. [Google Scholar]
- Ridgeway, G. Gbm: Generalized Boosted Regression Models. 2017. Available online: https://CRAN.R-project.org/package=gbm (accessed on 10 May 2019).
- Elith, J.; Leathwick, J. Boosted Regression Trees for Ecological Modeling; R Documentation: Vienna, Austria, 2017; Available online: https://cran.r-project.org/web/packages/dismo/vignettes/brt.pdf (accessed on 10 May 2019).
- Simpson, D.G.; Ritchie, G.A. Does RGP Predict Field Performance? A Debate. New For. 1997, 13, 253–277. [Google Scholar] [CrossRef]
- Hobbs, S.D. The Influence of Species and Stocktype Selection on Stand Establishment: An Ecophysiological Perspective. In Seedling Physiology and Reforestation Success; Springer: Berlin/Heidelberg, Germany, 1984; pp. 179–224. [Google Scholar]
- Oliet, J.A.; Planelles, R.; Artero, F.; Jacobs, D.F. Nursery Fertilization and Tree Shelters Affect Long-Term Field Response of Acacia Salicina Lindl. Planted in Mediterranean Semiarid Conditions. For. Ecol. Manag. 2005, 215, 339–351. [Google Scholar] [CrossRef]
- Oliet, J.A.; Planelles, R.; Artero, F.; Valverde, R.; Jacobs, D.F.; Segura, M.L. Field Performance of Pinus Halepensis Planted in Mediterranean Arid Conditions: Relative Influence of Seedling Morphology and Mineral Nutrition. New For. 2009, 37, 313–331. [Google Scholar] [CrossRef]
- Puttonen, P. Criteria for Using Seedling Performance Potential Tests. New For. 1989, 3, 67–87. [Google Scholar] [CrossRef]
- Grossnickle, S.C.; MacDonald, J.E. Seedling Quality: History, Application, and Plant Attributes. Forests 2018, 9, 283. [Google Scholar] [CrossRef] [Green Version]
- Mattsson, A. Predicting Field Performance Using Seedling Quality Assessment. New For. 1997, 13, 227–252. [Google Scholar] [CrossRef]
- Ceacero, C.J.; Díaz-Hernández, J.L.; del Campo, A.D.; Navarro-Cerrillo, R.M. Interactions between Soil Gravel Content and Neighboring Vegetation Control Management in Oak Seedling Establishment Success in Mediterranean Environments. For. Ecol. Manag. 2012, 271, 10–18. [Google Scholar] [CrossRef]
- Vadell, E.; de-Miguel, S.; Pemán, J. Large-Scale Reforestation and Afforestation Policy in Spain: A Historical Review of Its Underlying Ecological, Socioeconomic and Political Dynamics. Land Use Policy 2016, 55, 37–48. [Google Scholar] [CrossRef]
- Stahl, U.; Reu, B.; Wirth, C. Predicting Species’ Range Limits from Functional Traits for the Tree Flora of North America. Proc. Natl. Acad. Sci. USA 2014, 111, 13739–13744. [Google Scholar] [CrossRef] [PubMed] [Green Version]
- Villar-Salvador, P.; Puértolas, J.; Cuesta, B.; Penuelas, J.L.; Uscola, M.; Heredia-Guerrero, N.; Benayas, J.M.R. Increase in Size and Nitrogen Concentration Enhances Seedling Survival in Mediterranean Plantations. Insights from an Ecophysiological Conceptual Model of Plant Survival. New For. 2012, 43, 755–770. [Google Scholar] [CrossRef]







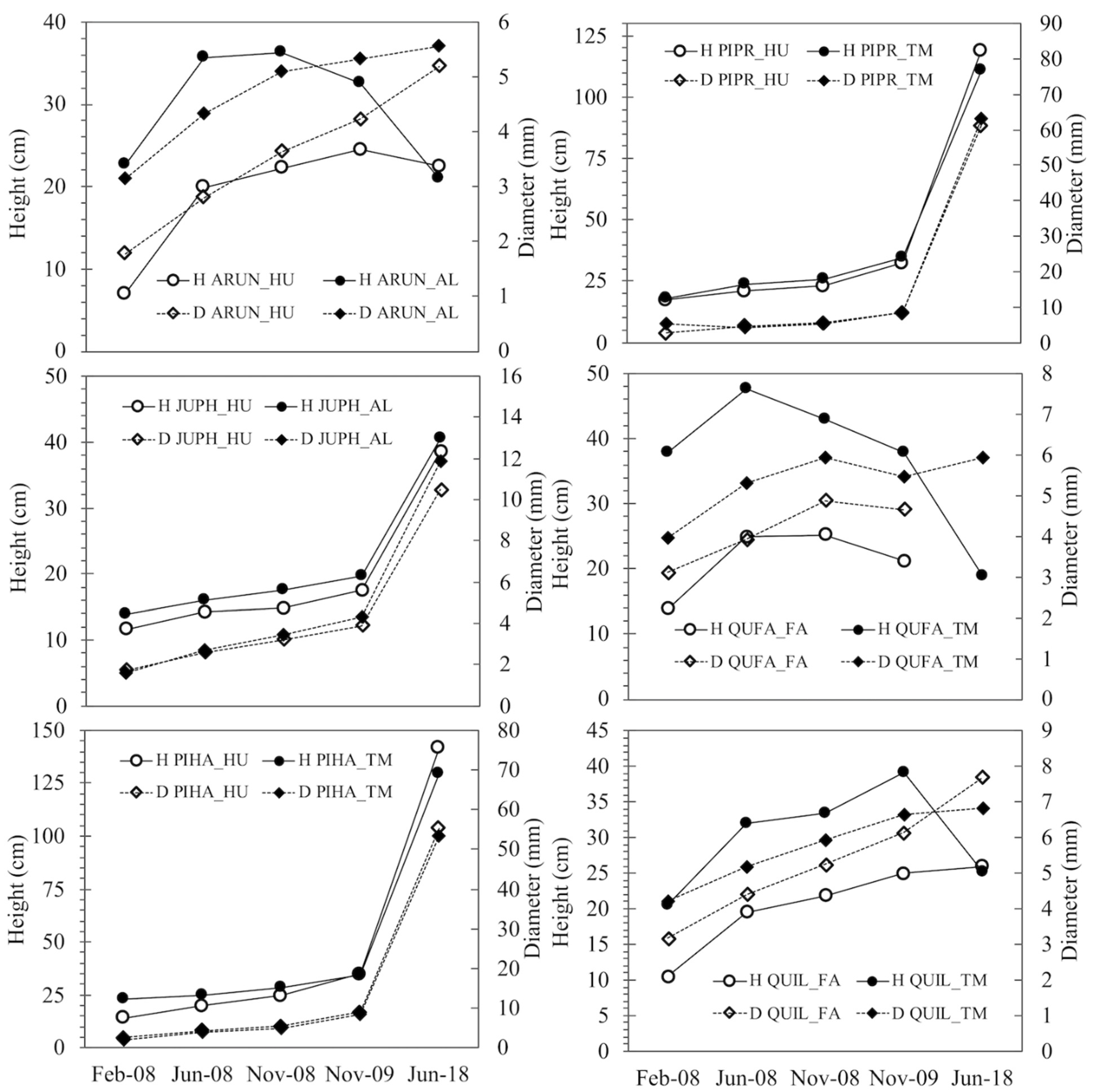
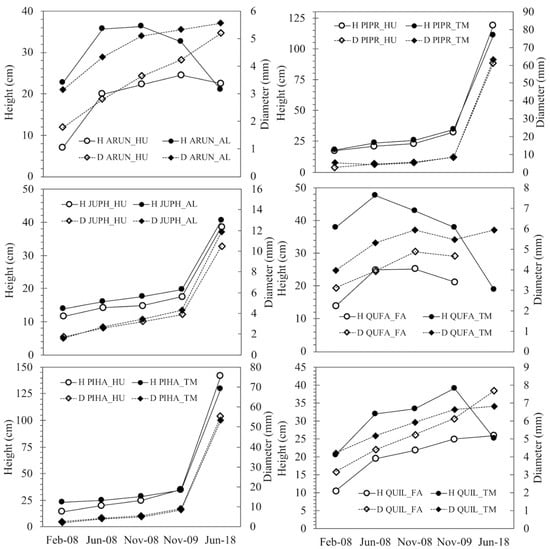
| Scientific Name | Common Name (Code) | Stocklot Code | Nursery of Origin (Growing Season) | Stock Type | Provenance (Seedlot Reference) |
|---|---|---|---|---|---|
| Arbutus unedo L. | Strawberry tree (ARUN) | ARUN-AL | Forest nursery Alharabe SL; Moratalla, Murcia (2007) | 1 + 0 | Range Iberic Meridional (E-068/25) |
| ARUN-HU | Forest nursery La Hunde; Ayora, Valencia (2007) | 1/2 + 1/2 | Range Iberic Meridional (E-068/25) | ||
| Juniperus phoenicea L. | Phoenician juniper (JUPH) | JUPH-AL | Forest nursery Alharabe SL; Moratalla, Murcia (2007) | 1 + 0 | Range Iberic Meridional (E-113/25) |
| JUPH-HU | Forest nursery La Hunde; Ayora, Valencia (2006–2007) | 1 + 1/2 | Range Iberic Meridional (E-113/25) | ||
| Pinus halepensis Mill. | Aleppo pine (PIHA) | PIHA-TM | Forest nursery Tragsa, San Fernado H., Madrid (2007) | 1 + 0 | Eastern inland (ES-10; F0045) |
| PIHA-HU | Forest nursery La Hunde; Ayora, Valencia (2007) | 1 + 0 | Eastern inland (E-024/10) | ||
| Pinus pinaster Ait. | Maritime pine (PIPR) | PIPR-TM | Forest nursery Tragsa, San Fernado H., Madrid (2007) | 1 + 0 | East (ES-16 F0055) |
| PIPR-HU | Forest nursery La Hunde; Ayora, Valencia (2007) | 1 + 0 | East (E-026/16) | ||
| Quercus faginea Lam. | Portuguese or Lusitanian oak (QUFA) | QUFA-TM | Forest nursery Tragsa, San Fernado H., Madrid (2006–2007) | 2 + 0 | Alcarria Serrania Cuenca (ES-10; F0015) |
| QUFA-FA | Forest nursery Fuenteamarga, Cabezón P., Valladolid | 1 + 0 | Alcarria Serrania Cuenca (E-044/10) | ||
| Quercus ilex subsp. ballota (Desf.) Samp. | Holm oak (QUIL) | QUIL-TM | Forest nursery Tragsa, San Fernado H., Madrid (2007) | 1 + 0 | La Mancha-Montiel (ES-12, F0018) |
| QUIL-HU | Forest nursery La Hunde; Ayora, Valencia (2007) | 1 + 0 | La Mancha-Montiel (ES-12) |
| Trait Type | Trait, Units | Stock Quality Traits (SQ), (n) | Individual Plant Traits | |||
|---|---|---|---|---|---|---|
| Abbrev. | Rel. Error (Testing Set) | R2 | n (*) | |||
| Shoot | Height, cm | SQ.H (200) | Hp | |||
| Sturdiness (H/D), cm/mm | SQ.ST (200) | H.Dp | ||||
| Foliage dry weight, g | SQ.FW (25) | DW_f | 0.167 | 0.823 | 2757 | |
| Shoot dry weight, g | SQ.SW (25) | DW_s | 0.113 | 0.898 | 2757 | |
| Total dry weight, g | SQ.TW (25) | DW_t | 0.141 | 0.867 | 2757 | |
| Shoot/root, g/g | SQ.SR (25) | S/R | ||||
| SLA, cm2/g (as FAp/DW-f) | SLA | 0.509 | 307 | |||
| SLA, cm2/g (neural netwk.) | SLA.ann | 0.379 | 0.583 | 307 | ||
| Foliar area, cm2 | FA | 0.213 | 0.739 | 312 | ||
| Stem volume, cm3 | Vol | |||||
| Wood density, g/cm3 | WD | |||||
| Root | Stem basal diameter, mm | SQ.D (200) | Dp | |||
| Root dry weight, g | SQ.RW (25) | DW_r | 0.186 | 0.827 | 2757 | |
| Dickson quality index | SQ.QI (25) | QI | ||||
| Root area, cm2 | RA | 0.570 | 0.447 | 312 | ||
| Perfm. | Height growth_ti, cm/month | Inc.D | ||||
| Diam. growth_ti, mm/month | Inc.H | |||||
| Volume growth_ti, cm3/month | Inc.Vol | |||||
| Root growth potential-length, no. | SQ.RGL (15) | |||||
| Root growth potential-weight, g | SQ.RGW (15) | |||||
| Nutr. | Foliar Nitrogen,% | SQ.N (25) | ||||
| Foliar Phosphorus,% | SQ.P (25) | |||||
| Foliar Potassium,% | SQ.K (25) | |||||
| Site | Experimental block, (BQ) | |||||
| Sp-Stocklot | SQ.H (cm) | SQ.D (mm) | SQ.SW (g) | SQ.RW (g) | SQ.ST | SQ.SR | SQ.QI | SQ.N (%) | SQ.P (%) | SQ.K (%) | SQ.RGL (no.) | SQ.RGW (g) |
|---|---|---|---|---|---|---|---|---|---|---|---|---|
| ARUN (8) | 17.6 ± 11.5 | 3.03 ± 1.17 | 2.7 ± 2.04 | 0.77 ± 0.55 | 5.5 | 3.2 | 0.38 | 0.93 | 0.14 | 0.91 | 24.8 | 0.028 |
| ARUN-HU | 10.3 ± 3.9 | 2.38 ± 0.6 | 1.12 ± 0.62 | 0.35 ± 0.17 | 4.3 | 3.12 | 0.17 | 1.22 | 0.14 | 1.06 | 8.3 | 0.009 |
| ARUN-AL | 27.4 ± 3.6 | 3.92 ± 0.68 | 2.42 ± 0.81 | 0.83 ± 0.3 | 7.2 | 3.06 | 0.32 | 0.75 | 0.14 | 0.90 | 14.8 | 0.009 |
| JUPH (5) | 12.8 ± 3.9 | 2.28 ± 0.72 | 0.83 ± 0.48 | 1.16 ± 0.8 | 5.8 | 0.68 | 0.31 | 1.28 | 0.25 | 0.93 | 6.9 | 0.014 |
| JUPH-AL | 15.6 ± 3.2 | 1.74 ± 0.33 | 0.6 ± 0.27 | 0.64 ± 0.48 | 9.1 | 1.12 | 0.12 | 2.20 | 0.59 | 1.13 | 6.6 | 0.010 |
| JUPH-HU | 12.5 ± 4 | 2.49 ± 0.73 | 0.97 ± 0.53 | 1.62 ± 1.15 | 5.1 | 0.65 | 0.41 | 0.81 | 0.12 | 0.80 | 8.8 | 0.011 |
| PIHA (64) | 16.3 ± 9.6 | 2.75 ± 1.02 | 2.07 ± 2.07 | 1.09 ± 0.65 | 5.8 | 1.43 | 0.45 | 2.09 | 0.30 | 0.84 | 19.1 | 0.060 |
| PIHA-TM | 21.4 ± 5.5 | 2.34 ± 0.58 | 1.13 ± 0.46 | 0.64 ± 0.3 | 9.4 | 1.95 | 0.17 | 1.85 | 0.79 | 1.56 | 12.2 | 0.029 |
| PIHA-HU | 16.0 ± 3.3 | 2.81 ± 0.47 | 1.47 ± 0.55 | 1.0 ± 0.39 | 5.8 | 1.51 | 0.29 | 1.36 | 0.22 | 0.96 | 23.1 | 0.065 |
| PIPR (16) | 13.6 ± 5.6 | 2.58 ± 0.66 | 1.31 ± 0.67 | 0.84 ± 0.42 | 5.3 | 1.57 | 0.34 | 1.25 | 0.29 | 0.87 | 13.5 | 0.053 |
| PIPR-HU | 17.9 ± 4.1 | 3.01 ± 0.46 | 1.67 ± 0.53 | 0.73 ± 0.25 | 6.0 | 2.34 | 0.28 | 1.01 | 0.23 | 0.82 | 11.6 | 0.051 |
| PIPR-TM | 19.6 ± 3 | 2.65 ± 0.39 | 1.25 ± 0.31 | 0.58 ± 0.19 | 7.5 | 2.22 | 0.18 | 1.68 | 0.70 | 1.40 | 9.5 | 0.031 |
| QUFA (7) | 17.8 ± 10.4 | 3.74 ± 1.0 | 1.51 ± 1.06 | 3.53 ± 1.56 | 4.8 | 0.41 | 1.11 | 1.56 | 0.28 | 0.59 | 4.1 | 0.015 |
| QUFA-TM | 28.1 ± 10.6 | 4.62 ± 0.8 | 1.99 ± 0.88 | 4.15 ± 1.57 | 6.2 | 0.62 | 0.99 | 1.43 | 0.36 | 0.57 | 2.7 | 0.011 |
| QUFA-FA | 14.1 ± 4.4 | 4.15 ± 0.91 | 0.51 ± 0.18 | 2.27 ± 0.81 | 3.4 | 0.24 | 0.94 | 1.07 | 0.23 | 0.66 | 2.1 | 0.005 |
| QUIL (34) | 14.3 ± 5.9 | 3.83 ± 0.99 | 1.77 ± 0.91 | 3.24 ± 1.69 | 3.8 | 0.57 | 1.23 | 1.43 | 0.12 | 0.46 | 8.9 | 0.032 |
| QUIL-HU | 11 ± 2.4 | 3.39 ± 0.72 | 1.09 ± 0.31 | 1.67 ± 0.57 | 3.3 | 0.69 | 0.81 | 1.20 | 0.11 | 0.52 | 0.9 | 0.005 |
| QUIL-TM | 22.1 ± 8.1 | 5.13 ± 0.85 | 2.68 ± 1.05 | 3.51 ± 0.83 | 4.4 | 0.77 | 1.25 | 1.66 | 0.26 | 0.64 | 8.0 | 0.028 |
| 1–2-Year Survival | 1–2-Year Growth | Mid-Term Survival | Mid-Term Growth | |
|---|---|---|---|---|
| ARUN | ↑ | ↑ | ||
| JUPH | ↑ | ↑ | ↑ | ≈ |
| PIHA | ↑ | ↑, ≈ | ↑ | ↓ |
| PIPR | ↑, ≈, ↓ | ↑, ≈ | ↓ | |
| QUFA | ↓ | ↓ | ||
| QUIL | ↑, ≈, ↓ | ≈, ↑ | ↓, ≈ | ↓ |
Publisher’s Note: MDPI stays neutral with regard to jurisdictional claims in published maps and institutional affiliations. |
© 2022 by the authors. Licensee MDPI, Basel, Switzerland. This article is an open access article distributed under the terms and conditions of the Creative Commons Attribution (CC BY) license (https://creativecommons.org/licenses/by/4.0/).
Share and Cite
del Campo, A.D.; Segura-Orenga, G.; Molina, A.J.; González-Sanchis, M.; Reyna, S.; Hermoso, J.; Ceacero, C.J. On the Need to Further Refine Stock Quality Specifications to Improve Reforestation under Climatic Extremes. Forests 2022, 13, 168. https://doi.org/10.3390/f13020168
del Campo AD, Segura-Orenga G, Molina AJ, González-Sanchis M, Reyna S, Hermoso J, Ceacero CJ. On the Need to Further Refine Stock Quality Specifications to Improve Reforestation under Climatic Extremes. Forests. 2022; 13(2):168. https://doi.org/10.3390/f13020168
Chicago/Turabian Styledel Campo, Antonio D., Guillem Segura-Orenga, Antonio J. Molina, María González-Sanchis, Santiago Reyna, Javier Hermoso, and Carlos J. Ceacero. 2022. "On the Need to Further Refine Stock Quality Specifications to Improve Reforestation under Climatic Extremes" Forests 13, no. 2: 168. https://doi.org/10.3390/f13020168
APA Styledel Campo, A. D., Segura-Orenga, G., Molina, A. J., González-Sanchis, M., Reyna, S., Hermoso, J., & Ceacero, C. J. (2022). On the Need to Further Refine Stock Quality Specifications to Improve Reforestation under Climatic Extremes. Forests, 13(2), 168. https://doi.org/10.3390/f13020168

