Applying Digital Image Correlation (DIC) Techniques to Characterise Plywood According to UNE-EN 314 Standards: Bonding Quality Tests
Abstract
:1. Introduction
2. Materials and Methods
2.1. Bonding Quality Tests
2.2. Types of Pre-Treatment
2.3. DIC Device
2.4. Test Equipment
2.5. Statistical Analysis
3. Results
4. Discussion
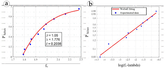
4.1. 15 mm Panel, Class 3 (Outdoor), with Pre-Treatment A
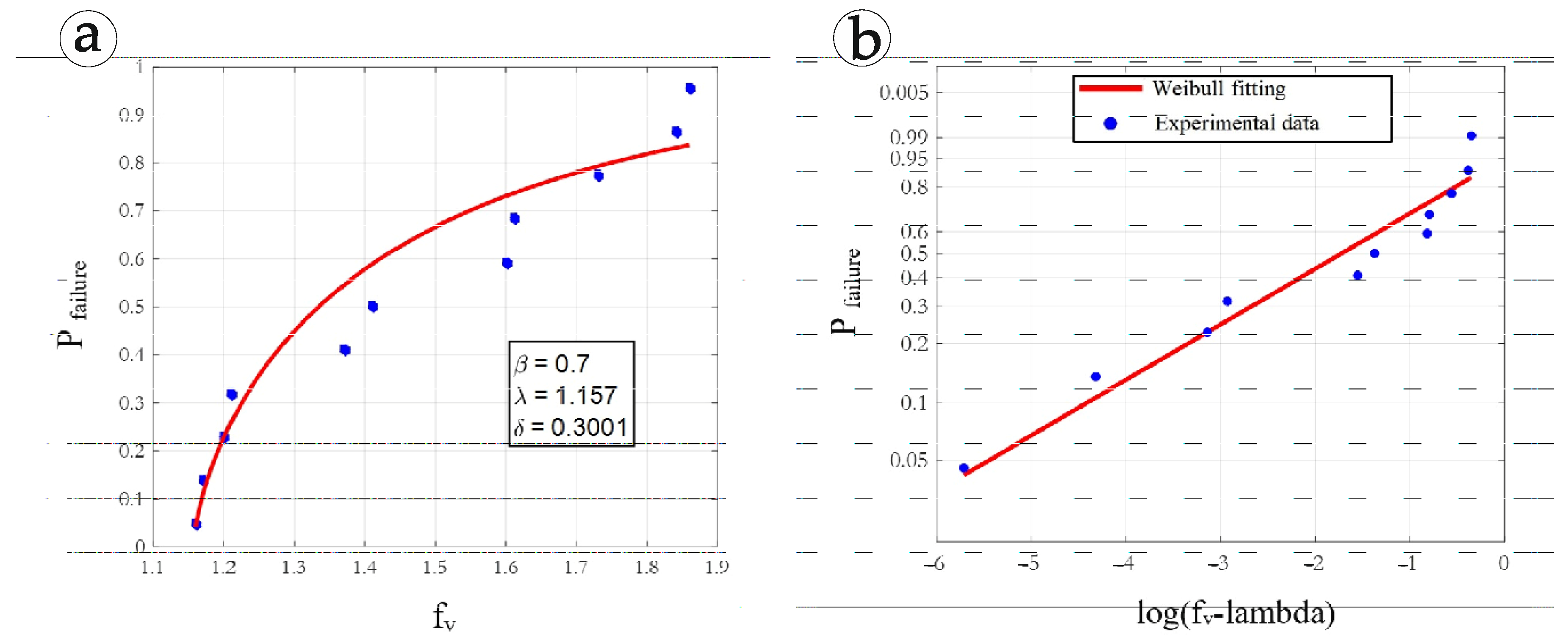
4.2. 15 mm Panel, Class 3 (Outdoor), with Pre-Treatment B
4.3. 18 mm Panel, Class 3 (Outdoor), with Pre-Treatment A
4.4. Interpretation of DIC Results in the Bonding Quality Test
5. Conclusions
Supplementary Materials
Author Contributions
Funding
Institutional Review Board Statement
Informed Consent Statement
Data Availability Statement
Conflicts of Interest
Abbreviations
| DIC | Digital image correlation |
| RMv,med | Mean apparent cohesive wood failure percentage value |
| fv | Shear fracture stress (N/mm2) |
| F | Test piece failure load (N) |
| l1 | Length of the shear area (mm) |
| b1 | Width of the shear area (mm) |
| fv,med | Mean shear stress value (N/mm2) |
| fv,min | Minimum shear stress value (N/mm2) |
| εy | Normal strain |
| εxy | Tangential strain |
References
- Food and Agriculture Organization of the United Nations. FAO Yearbook of Forest Products 2019; Food and Agriculture Organization of the United Nations: Rome, Italy, 2021. [Google Scholar]
- García Esteban, L.; Guindeo Casasús, A.; Peraza Oramas, C.; de Palacios de Palacios, P. La Madera y su Tecnología; Mundi, P., de Salazar, F.C.V., Eds.; AITIM: Madrid, Spain, 2010. [Google Scholar]
- Hermoso Prieto, E. Caracterización Mecánica de la Madera. Ph.D. Thesis, Universidad Politécnica de Madrid, Madrid, Spain, 2001. [Google Scholar]
- EN 314-1; European Standard. Plywood. Bonding Quality. Part 1: Test Methods. European Committee of Standardization (CEN): Brussels, Belgium, 2004.
- EN 314-2; European Standard. Plywood—Bonding Quality—Part 2: Requirements. European Committee of Standardization (CEN): Brussels, Belgium, 1993.
- EN 636:2012+A1:2015; European Standard. Plywood—Specifications. European Committee of Standardization (CEN): Brussels, Belgium, 2015.
- EN 326-1; European Standard. Wood-Based Panels—Sampling, Cuttizng and Inspection—Part 1: Sampling and Cutting of Test Pieces and Expression of Test Results. European Committee of Standardization (CEN): Brussels, Belgium, 1994.
- EN 12369-2; European Standard. Wood-Based Panels—Characteristic Values for Structural Design—Part 2: Plywood. European Committee of Standardization (CEN): Brussels, Belgium, 2011.
- EN 322:1994; European Standard. Wood-Based Panels—Determination of Moisture Content. European Committee of Standardization (CEN): Brussels, Belgium, 1993.
- EN 323:1994; European Standard. Wood-Based Panels—Determination of Density. European Committee of Standardization (CEN): Brussels, Belgium, 1993.
- Pan, B.; Qian, K.; Xie, H.M.; Asundi, A. Two dimensional digital image correlation for in plane displacement and strain measurement. A review. Meas. Sci. Technol. 2009, 20, 062001. [Google Scholar]
- Sutton, M.A.; Wolters, W.J.; Peters, W.H.; Ranson, W.F.; McNeill, S.R. Determination of displacements using an improved digital correlation method. Image Vis. Comput. 1983, 1, 133–139. [Google Scholar]
- Peters, W.H.; Ranson, W.F. Digital imaging techniques in experimental stress analysis. Opt. Eng. 1982, 21, 427–431. [Google Scholar]
- Kang, H.Y.; Muszynski, L.; Milota, M.R.; Kang, C.W.; Matsumura, J. Preliminary optical measurement of non-uniform drying strains and check formation in drying wood. J. Fac. Agric. Kyushu Univ. 2001, 56, 313–316. [Google Scholar]
- Kang, H.Y.; Kang, S.G.; Kang, C.W.; Matsumura, J. Measurement of strain distributions in white oak boards during drying using a digital image correlation method. J. Fac. Agric. Kyushu Univ. 2013, 58, 55–59. [Google Scholar]
- Peng, M.; Ho, Y.C.; Wang, W.C.; Chui, Y.H.; Gong, M. Measurement of wood shrinkage in jack pine using three dimensional digital image correlation (DIC). Holzforschung 2012, 66, 639–643. [Google Scholar]
- Lanvermann, C.; Wittel, F.K.; Niemz, P. Full-field moisture induced deformation in Norway spruce intra-ring variation of transverse swelling. Eur. J. Wood Wood Prod. 2014, 72, 43–52. [Google Scholar]
- García, R.A.; Rosero-Alvarado, J.; Hernández, R.E. Full-field moisture-induced strains of the different tissues of tamarack and red oak woods assessed by 3D digital image correlation. Wood Sci. Technol. 2020, 54, 139–159. [Google Scholar] [CrossRef]
- Oscarsson, J.; Olsson, A.; Enquist, B. Strain fields around knots in Norway spruce specimens exposed to tensile forces. Wood Sci. Technol. 2012, 46, 593–610. [Google Scholar]
- Villarino, A.; López-Rebollo, J.; Antón, N. Analysis of mechanical behavior through digital image correlation and reliability of Pinus halepensis Mill. Forests 2020, 11, 1232. [Google Scholar]
- Li, W.Z.; Liu, C.H.; Wang, X.Z.; Shi, J.T.; Mei, C.T.; Van den Bulcke, J.; Van Acker, J. Understanding the impact of wood type and moisture on the bonding strength of glued wood. Wood Mater. Sci. Eng. 2022. [Google Scholar] [CrossRef]
- Kraus, K. Photogrammetry. Geometry from Images and Laser Scans; De Gruyter: Berlin, Germany, 2007. [Google Scholar]
- Lerma García, J.L. Fotogrametría Moderna: Analítica y Digital; Universidad Politécnica de Valencia Serv. Publ.: Valencia, Spain, 2002. [Google Scholar]
- Schenk, T. Digital Photogrammetry; Backgrounds, Fundamentals Automatic Orientation Procedures; TerraScience: Laurelville, OH, USA, 1999; Volume 1. [Google Scholar]
- Gasvik, K.J. Optical Metrology; Willey: Chichester, UK, 1995. [Google Scholar]
- Schwider, J. Advanced Evaluation Techniques in Interferometry. Prog. Opt. 1990, 28, 271–359. [Google Scholar]
- GOM. ARAMIS User Manual RevA—Software; GOM: Braunschweig, Germany, 2009. [Google Scholar]
- Sutton, M.A.; Orteu, J.J.; Schreier, H.W. Image Correlation for Shape, Motion and Deformation Measurements—Basic Concepts, Theory and Applications; Springer: New York, NY, USA, 2009. [Google Scholar]
- Castillo, E. Extreme Value Theory in Engineering; Academic Press INC: San Diego, CA, USA, 1988. [Google Scholar]
- Castillo, E.; Hadi, A.S.; Balakrishnan, N.; Sarabia, J.M. Extreme Value and Related Models with Applications in Engineering and Science; Wiley: New York, NY, USA, 2005. [Google Scholar]










| Panel Type | Humidity (%) | Density (kg/m3) |
|---|---|---|
| 15 mm panel, class 3 (outdoor) | 11.46 | 711.71 |
| 18 mm panel, class 1 (indoor) | 11.68 | 748.33 |
| Panel Type | Pre-Treatment Performed | Total Number of Pieces Tested | Number of Rejected Tests | Number of Valid Tests | |
|---|---|---|---|---|---|
| No Fracture | Exceed Time | ||||
| 15 mm panel, class 3 (outdoor) | A | 22 | 0 | 12 | 10 |
| B | 23 | 1 | 11 | 11 | |
| 18 mm panel, class 1 (indoor) | A | 28 | 6 | 9 | 13 |
| Total | 73 | 7 | 32 | 34 | |
| Test Piece | Dimension (mm) | Test Time (s) Load | Load F (N) Failure | Apparent Cohesive Wood Failure Percentage (%) | (N/mm2) | |
|---|---|---|---|---|---|---|
| l1 | b1 | |||||
| P27 | 26.00 | 26.27 | 31 | 1477.74 | 40 | 2.16 |
| P28 | 26.38 | 26.06 | 27 | 1277.78 | 70 | 1.86 |
| P30 | 25.88 | 25.95 | 33 | 1337.57 | 40 | 1.99 |
| P31 | 26.06 | 25.62 | 23 | 1238.84 | 80 | 1.86 |
| P32 | 24.62 | 25.40 | 20 | 1116.64 | 70 | 1.80 |
| P41 | 26.18 | 25.80 | 27 | 1542.74 | 90 | 2.16 |
| P42 | 26.34 | 25.52 | 20 | 1207.03 | 20 | 1.80 |
| P47 | 26.20 | 26.18 | 23 | 1483.19 | 70 | 2.16 |
| P49 | 26.00 | 26.42 | 36 | 1630.77 | 90 | 2.30 |
| P50 | 24.52 | 25.26 | 28 | 1191.48 | 90 | 1.92 |
| P72 | 25.84 | 26.55 | 25 | 1411.08 | 50 | 2.06 |
| P24 | 24.46 | 25.28 | 15 | 1073.73 | 30 | 1.74 |
| P25 | 26.13 | 25.70 | 45 | 1599.18 | 60 | 2.38 |
| P26 | 25.77 | 26.60 | 66 | 1776.28 | 30 | 2.59 |
| P29 | 25.94 | 26.59 | 51 | 1635.11 | 50 | 2.37 |
| P43 | 26.52 | 25.53 | 17 | 1077.34 | 10 | 1.59 |
| P44 | 26.35 | 25.52 | 17 | 1063.08 | 30 | 1.58 |
| P45 | 24.24 | 25.10 | 15 | 1008.99 | 50 | 1.66 |
| P46 | 25.11 | 25.60 | 19 | 1266.28 | 20 | 1.97 |
| P48 | 26.35 | 25.46 | 17 | 1098.83 | 20 | 1.64 |
| P71 | 25.88 | 25.44 | 18 | 1223.13 | 20 | 1.86 |
| P73 | 25.30 | 25.47 | 15 | 898.44 | 10 | 1.39 |
| Pre-Treatment | Panel Type | fv,med (N) | fv,med (N) | σ | C.V. (%) | RMv,med (%) | ||
|---|---|---|---|---|---|---|---|---|
| Valid Tests | All Tests | Valid Tests | All Tests | |||||
| A | 15 mm panel, class 3 (outdoor) | 2.02 | 1.95 | 1.78 | 0.20 | 9.95 | 60 | 55.5 |
| Test Piece | (%) | Test Piece | (%) | ||
|---|---|---|---|---|---|
| P27 | 40 | ![]() | P24 | 30 | ![]() |
| P28 | 70 | ![]() | P25 | 60 | ![]() |
| P30 | 40 | ![]() | P26 | 30 | ![]() |
| P31 | 80 | ![]() | P29 | 50 | ![]() |
| P32 | 70 | ![]() | P43 | 10 | ![]() |
| P41 | 90 | ![]() | P44 | 30 | ![]() |
| P42 | 20 | ![]() | P45 | 50 | ![]() |
| P46 | 70 | ![]() | P48 | 20 | ![]() |
| P47 | 90 | ![]() | P49 | 20 | ![]() |
| P50 | 90 | ![]() | P71 | 20 | ![]() |
| P72 | 50 | ![]() | P73 | 10 | ![]() |
| Test Piece | Dimension (mm) | Test Time (s) | Load F (N) | Apparent Cohesive Wood Failure Percentage (%) | (N/mm2) | |
|---|---|---|---|---|---|---|
| l1 | b1 | |||||
| P3 | 25.63 | 25.40 | 31 | 779.54 | 20 | 1.20 |
| P4 | 25.85 | 25.43 | 29 | 796.19 | 10 | 1.21 |
| P7 | 24.10 | 25.34 | 31 | 753.49 | 10 | 1.17 |
| P9 | 26.83 | 25.62 | 33 | 969.14 | 20 | 1.41 |
| P10 | 25.62 | 25.41 | 20 | 755.69 | 20 | 1.16 |
| P13 | 26.43 | 25.87 | 21 | 1098.28 | 50 | 1.61 |
| P14 | 25.83 | 26.62 | 24 | 1278.65 | 50 | 1.86 |
| P15 | 26.07 | 25.52 | 21 | 913.88 | 20 | 1.37 |
| P16 | 25.62 | 25.56 | 30 | 1053.08 | 100 | 1.60 |
| P20 | 26.66 | 25.73 | 32 | 1187.60 | 90 | 1.73 |
| P21 | 26.28 | 25.48 | 24 | 1234.26 | 100 | 1.84 |
| P1 | 25.93 | 25.64 | 69 | 854.57 | 20 | 1.29 |
| P2 | 25.82 | 25.51 | 198 | 879.90 | 100 | 1.34 |
| P5 | 26.11 | 25.54 | 44 | 1020.58 | 10 | 1.53 |
| P6 | 25.96 | 26.01 | 72 | 964.84 | 30 | 1.43 |
| P8 | 25.96 | 26.60 | 128 | 1462.03 | 50 | 2.12 |
| P11 | 26.30 | 26.13 | 121 | 1361.62 | 30 | 1.98 |
| P17 | 25.83 | 26.25 | 49 | 1141.48 | 60 | 1.68 |
| P18 | 26.04 | 26.17 | 67 | 1485.37 | 30 | 2.10 |
| P19 | 25.78 | 26.57 | 82 | 1443.62 | 40 | 1.77 |
| P22 | 25.96 | 26.74 | 47 | 1430.23 | 30 | 2.06 |
| P23 | 25.61 | 25.55 | 16 | 986.83 | 10 | 1.51 |
| P12 | No fracture | |||||
| Pre-Treatment | Panel Type | Fv,med (N) | Fv,med (N) | σ | C.V. (%) | RMv,med (%) | ||
|---|---|---|---|---|---|---|---|---|
| Valid Tests | All Tests | Valid Tests | All Tests | |||||
| B | 15 mm panel, class 3 (outdoor) | 1.47 | 1.61 | 1.16 | 0.26 | 17.95 | 40.91 | 42.27 |
| Test Piece | (%) | Test Piece | (%) | ||
|---|---|---|---|---|---|
| P3 | 20 | ![]() | P1 | 20 | ![]() |
| P4 | 10 | ![]() | P2 | 100 | ![]() |
| P7 | 10 | ![]() | P5 | 10 | ![]() |
| P9 | 20 | ![]() | P6 | 30 | ![]() |
| P10 | 20 | ![]() | P8 | 50 | ![]() |
| P13 | 50 | ![]() | P11 | 30 | ![]() |
| P14 | 50 | ![]() | P17 | 60 | ![]() |
| P15 | 20 | ![]() | P18 | 30 | ![]() |
| P16 | 100 | ![]() | P19 | 40 | ![]() |
| P20 | 90 | ![]() | P22 | 30 | ![]() |
| P21 | 100 | ![]() | P23 | 10 | ![]() |
| Test Piece | Dimension (mm) | Test Time (s) | Load F (N) | Apparent Cohesive Wood Failure Percentage (%) | (N/mm2) | |
|---|---|---|---|---|---|---|
| l1 | b1 | |||||
| P33 | 25.43 | 25.53 | 22 | 1273.88 | 90 | 1.96 |
| P36 | 25.92 | 25.36 | 30 | 2147.73 | 100 | 3.27 |
| P38 | 25.98 | 25.81 | 36 | 1899.72 | 100 | 2.83 |
| P39 | 26.09 | 25.78 | 34 | 2014.62 | 90 | 3.00 |
| P51 | 25.33 | 25.37 | 20 | 1358.08 | 100 | 2.11 |
| P55 | 25.80 | 25.48 | 20 | 1660.82 | 100 | 2.53 |
| P56 | 25.97 | 25.62 | 34 | 1700.75 | 100 | 2.55 |
| P58 | 25.89 | 25.34 | 39 | 1809.26 | 90 | 2.76 |
| P60 | 25.61 | 25.32 | 31 | 1937.87 | 100 | 2.99 |
| P63 | 26.02 | 26.61 | 21 | 1995.52 | 100 | 2.88 |
| P64 | 25.80 | 25.44 | 24 | 1972.62 | 100 | 3.01 |
| P65 | 25.50 | 25.42 | 39 | 1839.77 | 100 | 2.84 |
| P70 | 25.51 | 25.18 | 32 | 2099.87 | 100 | 3.27 |
| P37 | 26.02 | 25.84 | 57 | 2093.97 | 100 | 3.11 |
| P40 | 25.82 | 25.22 | 57 | 2038.77 | 90 | 3.13 |
| P57 | 25.62 | 25.49 | 41 | 1715.17 | 100 | 2.63 |
| P59 | 26.82 | 25.50 | 45 | 1923.09 | 90 | 2.81 |
| P61 | 25.50 | 25.70 | 140 | 1529.93 | 100 | 2.30 |
| P62 | 25.79 | 25.18 | 46 | 1640.42 | 100 | 2.56 |
| P67 | 25.95 | 25.60 | 17 | 1851.92 | 100 | 2.88 |
| P68 | 25.32 | 25.26 | 51 | 2190.62 | 100 | 3.34 |
| P69 | 25.46 | 25.17 | 52 | 2259.43 | 100 | 3.48 |
| P34 | No fracture | |||||
| P35 | No fracture | |||||
| P52 | No fracture | |||||
| P53 | No fracture | |||||
| P54 | No fracture | |||||
| P66 | No fracture | |||||
| Pre-Treatment | Panel Type | fv,med (N) | fv,med (N) | σ | C.V. (%) | RMv,med (%) | ||
|---|---|---|---|---|---|---|---|---|
| Valid Tests | All Tests | Valid Tests | All Tests | |||||
| A | Class 1 panel | 2.77 | 2.84 | 1.96 | 0.39 | 14.22 | 97.69 | 97.72 |
| Test Piece | (%) | Test Piece | (%) | ||
|---|---|---|---|---|---|
| P36 | 100 | ![]() | P65 | 100 | ![]() |
| P38 | 100 | ![]() | P70 | 100 | ![]() |
| P39 | 90 | ![]() | P37 | 100 | ![]() |
| P51 | 100 | ![]() | P40 | 90 | ![]() |
| P56 | 100 | ![]() | P57 | 100 | ![]() |
| P58 | 90 | ![]() | P59 | 90 | ![]() |
| P60 | 100 | ![]() | P61 | 100 | ![]() |
| P63 | 100 | ![]() | P62 | 100 | ![]() |
| P64 | 100 | ![]() | P67 | 100 | ![]() |
| P68 | 100 | ![]() | |||
| P69 | 100 | ![]() |
Publisher’s Note: MDPI stays neutral with regard to jurisdictional claims in published maps and institutional affiliations. |
© 2022 by the authors. Licensee MDPI, Basel, Switzerland. This article is an open access article distributed under the terms and conditions of the Creative Commons Attribution (CC BY) license (https://creativecommons.org/licenses/by/4.0/).
Share and Cite
Fernández Zúñiga, E.; García Esteban, L.; García Fernández, F.; de Palacios, P.; García-Iruela, A.; García, I.; Lozano, M.; Fernández Canteli, A. Applying Digital Image Correlation (DIC) Techniques to Characterise Plywood According to UNE-EN 314 Standards: Bonding Quality Tests. Forests 2022, 13, 2135. https://doi.org/10.3390/f13122135
Fernández Zúñiga E, García Esteban L, García Fernández F, de Palacios P, García-Iruela A, García I, Lozano M, Fernández Canteli A. Applying Digital Image Correlation (DIC) Techniques to Characterise Plywood According to UNE-EN 314 Standards: Bonding Quality Tests. Forests. 2022; 13(12):2135. https://doi.org/10.3390/f13122135
Chicago/Turabian StyleFernández Zúñiga, Elena, Luis García Esteban, Francisco García Fernández, Paloma de Palacios, Alberto García-Iruela, Ismael García, Miguel Lozano, and Alfonso Fernández Canteli. 2022. "Applying Digital Image Correlation (DIC) Techniques to Characterise Plywood According to UNE-EN 314 Standards: Bonding Quality Tests" Forests 13, no. 12: 2135. https://doi.org/10.3390/f13122135
APA StyleFernández Zúñiga, E., García Esteban, L., García Fernández, F., de Palacios, P., García-Iruela, A., García, I., Lozano, M., & Fernández Canteli, A. (2022). Applying Digital Image Correlation (DIC) Techniques to Characterise Plywood According to UNE-EN 314 Standards: Bonding Quality Tests. Forests, 13(12), 2135. https://doi.org/10.3390/f13122135

































































