Study of the Influence of Heat Treatment on OSB Panels Produced with Eucalyptus Wood in Different Layer Compositions
Abstract
1. Introduction
2. Materials and Methods
2.1. Materials
2.2. Methods
2.2.1. Characterization of Thermal Degradation of Materials
2.2.2. OSB Production
2.2.3. Heat Treatment of OSB
2.2.4. Physical and Mechanical Properties Evaluation
3. Results and Discussion
3.1. Thermal Characterization of Raw Materials
3.1.1. TGA
3.1.2. DSC
3.2. Physical Evaluations
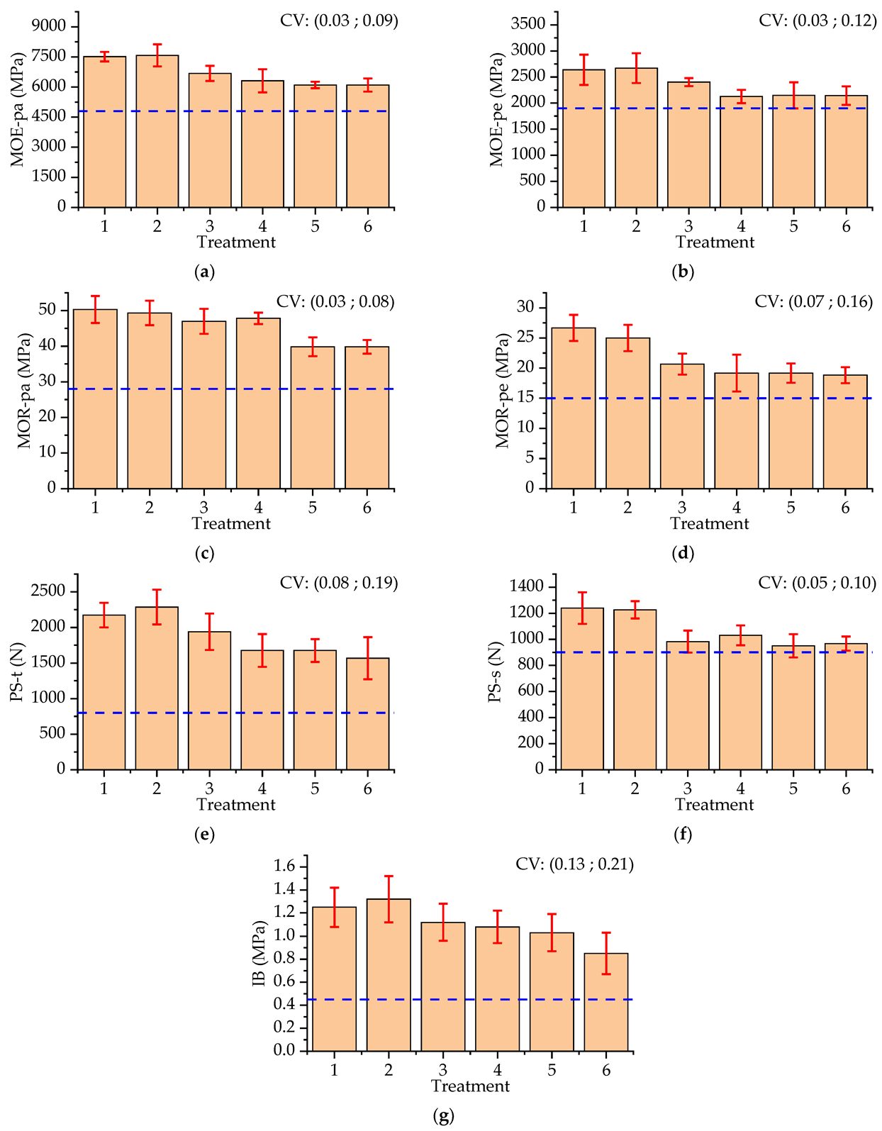
3.3. Mechanical Evaluations
3.4. Statistical Analysis
4. Conclusions
- The production and study of the performance of OSB submitted to heat treatment and variation of layer percentages presented itself as a relevant and technically feasible proposal, especially regarding its application in civil construction, since the panels need to present properties of strength and durability, proving to be able to be applicable as structural elements.
- The properties were all fully met in all tests performed, indicating the great technical efficiency achieved with the eucalyptus particles and castor oil polyurethane resin association.
- It can be stated that the thermal analysis to improve the production and heat treatment parameters was extremely useful to characterize the material, allowing to safely define the variables temperature and time, so as not to promote too much degradation of the material, ensuring safety by meeting the mechanical properties, while optimizing the production process.
- For all the temperatures analyzed, there was no tendency for a considerable decrease in mechanical properties to levels lower than those recommended by the standard after the heat treatment. On the other hand, there was an improvement in the physical properties and dimensional stability of the panel produced as observed in the results referring to water absorption properties and swelling in thickness, leading one to believe that the heat treatment made the surface more hydrophobic, reducing the interaction with water.
- It can also be observed that the variation of particle percentages in the layers did not show significant differences in most of the analyses performed, indicating that all the percentages studied can be adopted without compromising the physical-mechanical performance of the panel.
- The statistical differences observed in both physical and mechanical tests were punctual and the variations do not compromise the classification of all treatments studied as OSB/4 (heavy duty load bearing structural panel for use in wet conditions). Such statistical variations can also be related to possible occurrences in the production process, such as adhesive accumulation on the strands, non-homogeneous distribution of the material and the presence of voids due to manual layer formation, among other factors inherent to the material.
Author Contributions
Funding
Institutional Review Board Statement
Informed Consent Statement
Data Availability Statement
Acknowledgments
Conflicts of Interest
References
- United Nations. Our Common Future: Report of the World Commission on Environment and Development. 1987; Transmitted to the General Assembly as an Annex to document A/42/427. Development and International Cooperation: Environment, 1, 25. [Google Scholar]
- United Nations. The SDGS in Action. What Are the Sustainable Development Goals? United Nations Development Programme. 2015. Available online: https://www.undp.org/sustainable-development-goals (accessed on 16 October 2022).
- United Nations. Objetivos de Desenvolvimento Sustentável. 2022. Available online: https://brasil.un.org/pt-br/sdgs (accessed on 24 March 2022).
- Botelho, E.C.; Almeida, R.S.; Pardini, L.C.; Rezende, M.C. Influence of Hygrothermal Conditioning on the Elastic Properties of Carall Laminates. Appl. Compos. Mater. 2007, 14, 209–222. [Google Scholar] [CrossRef]
- Botelho, E.C.; Scherbakoff, N.; Rezende, M.C. Porosity Control in Glassy Carbon by Rheological Study of the Furfuryl Resin. Carbon 2001, 39, 45–52. [Google Scholar] [CrossRef]
- Gaefke, C.B.; Botelho, E.C.; Ferreira, N.G.; Rezende, M.C. Effect of Furfuryl Alcohol Addition on the Cure of Furfuryl Alcohol Resin Used in the Glassy Carbon Manufacture. J. Appl. Polym. Sci. 2007, 106, 2275–2281. [Google Scholar] [CrossRef]
- Cabral, M.R.; Fiorelli, J.; Savastano Junior, H.; Lagacé, R.; Godbout, S.; Palacios, J.H. Study of the Potential Use of the Sugarcane Bagasse in Cement-Panels. In Proceedings of the 10th International Conference on Composite Science and Technology ICCST/10, Lisbon, Portugal, 2–4 September 2015. [Google Scholar]
- Barbirato, G.H.A.; Fiorelli, J.; Mejiaa, J.; Sarasini, F.; Tirillò, J.; Ferrante, L. Quasi-Static and Dynamic Response of Oriented Strand Boards Based on Balsa Wood Waste. Compos. Struct. 2019, 219, 83–89. [Google Scholar] [CrossRef]
- Kokubun, Y.E. O Processo de Produção de Um Sistema Construtivo Em Painéis Estruturais Pré-Fabricados Em Madeira. Ph.D. Thesis, Universidade de São Paulo, São Paulo, Brazil, 2014. [Google Scholar]
- BS EN 300; Oriented Strand Boards (OSB). Definitions, Classification and Specifications. CEN European Committee for Standardization: Bruxelles, Belgium, 2006; p. 24.
- FAO, Food and Agriculture Organization of the United Nations. Food and Agriculture Organization of the United Nations: Yearbook of Forest Products; FAO: Rome, Italy, 2021. [Google Scholar]
- Pozzer, T.; Gauss, C.; Ament Barbirato, G.H.; Fiorelli, J. Trapezoidal Core Sandwich Panel Produced with Sugarcane Bagasse. Constr. Build. Mater. 2020, 264, 120718. [Google Scholar] [CrossRef]
- Wang, Z.; Xie, W.; Lu, Y.; Li, H.; Wang, Z.; Li, Z. Dynamic and Static Testing Methods for Shear Modulus of Oriented Strand Board. Constr. Build. Mater. 2019, 216, 542–551. [Google Scholar] [CrossRef]
- Del Menezzi, C.H.S.; de Souza, R.Q.; Thompson, R.M.; Teixeira, D.E.; Okino, E.Y.A.; da Costa, A.F. Properties after Weathering and Decay Resistance of a Thermally Modified Wood Structural Board. Int. Biodeterior. Biodegrad. 2008, 62, 448–454. [Google Scholar] [CrossRef]
- Mendes, R.F.; Bortoletto Júnior, G.; de Almeida, N.F.; Surdi, P.G.; Barbeiro, I.N. Effects of Thermal Pre-Treatment and Variables of Production on Properties of OSB Panels of Pinus Taeda. Maderas Cienc. Tecnol. 2013, 15, 141–152. [Google Scholar] [CrossRef][Green Version]
- Ferro, F.S.; Silva, D.A.L.; Rocco Lahr, F.A.; Argenton, M.; González-García, S. Environmental Aspects of Oriented Strand Boards Production. A Brazilian Case Study. J. Clean. Prod. 2018, 183, 710–719. [Google Scholar] [CrossRef]
- Saldanha, L.K. Alternativas Tecnológicas Para Produção de Chapas de Partículas Orientadas OSB; Universidade Federal do Paraná: Curitiba, Brazil, 2004. [Google Scholar]
- Guimarães Júnior, J.B. Painéis de Madeira de Eucalipto: Estudo de Caso de Espécies E Procedências; Universidade Federal de Lavras: Lavras, Brazil, 2008. [Google Scholar]
- Geldermann, J.; Kolbe, L.M.; Krause, A.; Mai, C.; Militz, H.; Osburg, V.S.; Schöbel, A.; Schumann, M.; Toporowski, W.; Westphal, S. Improved Resource Efficiency and Cascading Utilisation of Renewable Materials. J. Clean. Prod. 2016, 110, 1–8. [Google Scholar] [CrossRef]
- Sugahara, E.S.; Arroyo, F.N.; de Campos, C.I.; Botelho, E.C.; Christoforo, A.L.; Costa, M.L.; Lahr, F.A.R. Thermal Treatment of OSB Panels: A Systematic and Bibliometric Overview. Eur. J. Wood Wood Prod. 2022, 80, 1–15. [Google Scholar] [CrossRef]
- Klímek, P.; Wimmer, R.; Meinlschmidt, P.; Kúdela, J. Utilizing Miscanthus Stalks as Raw Material for Particleboards. Ind. Crops Prod. 2018, 111, 270–276. [Google Scholar] [CrossRef]
- Barbirato, G.H.A.; Junior, W.E.L.; Hellmeister, V.; Pavesi, M.; Fiorelli, J. OSB Panels with Balsa Wood Waste and Castor Oil Polyurethane Resin. Waste Biomass Valoriz. 2020, 11, 743–751. [Google Scholar] [CrossRef]
- Fiorelli, J.; Bueno, S.B.; Cabral, M.R. Assessment of Multilayer Particleboards Produced with Green Coconut and Sugarcane Bagasse Fibers. Constr. Build. Mater. 2019, 205, 1–9. [Google Scholar] [CrossRef]
- Sugahara, E.S.; da Silva, S.A.M.; Buzo, A.L.S.C.; de Campos, C.I.; Morales, E.A.M.; Ferreira, B.S.; Azambuja, M.d.A.; Lahr, F.A.R.; Christoforo, A.L. High-Density Particleboard Made from Agro-Industrial Waste and Different Adhesives. BioResources 2019, 14, 5162–5170. [Google Scholar] [CrossRef]
- Buzo, A.L.S.C.; Sugahara, E.S.; Silva, S.A.D.M.D.; Morales, E.A.M.; Azambuja, M.d.A. Painéis de Pínus e Bagaço de Cana Empregando-Se Dois Adesivos Para Uso Na Construção Civil. Ambient. Construído 2019, 19, 183–193. [Google Scholar] [CrossRef]
- Carvalho, A.G.; Zanuncio, A.J.V.; Vital, B.R.; Carneiro, A.D.C.O.; da Silva, C.M.S.; Tonoli, G.H.D. Hydrothermal Treatment of Strand Particles of Pine for the Improvement of OSB Panels. Eur. J. Wood Wood Prod. 2018, 76, 155–162. [Google Scholar] [CrossRef]
- Silva, J.V.F.; Campos, C.I.D.; Ferreira, B.S.; Fernanda, M. Production and Characterization of Heat Treated OSB Made of Pinus taeda. Acta Sci. Technol. 2019, 41, 1–6. [Google Scholar] [CrossRef]
- Del Menezzi, C.H.S.; Tomaselli, I.; Okino, E.Y.A.; Teixeira, D.E.; Santana, M.A.E. Thermal Modification of Consolidated Oriented Strandboards: Effects on Dimensional Stability, Mechanical Properties, Chemical Composition and Surface Color. Eur. J. Wood Wood Prod. 2009, 67, 383–396. [Google Scholar] [CrossRef]
- Sugahara, E.; Casagrande, B.; Arroyo, F.; De Araujo, V.; Santos, H.; Faustino, E.; Christoforo, A.; Campos, C. Comparative Study of Plywood Boards Produced with Castor Oil-Based Polyurethane and Phenol-Formaldehyde Using Pinus taeda L. Veneers Treated with Chromated Copper Arsenate. Forests 2022, 13, 1144. [Google Scholar] [CrossRef]
- Li, C.; Tang, Y.; Wang, Y.; Yuan, X.; Zhang, B.; Wu, Z. A Novel Environment-Friendly Adhesive Based on Recycling of Broussonetia Papyrifera Leaf Forestry Waste Protein. Forests 2022, 13, 291. [Google Scholar] [CrossRef]
- Barbirato, G.H.A.; Lopes Junior, W.E.; Oliveira, D.C.G.; Nagata, E.Y.; Caneppele, F.L.; Fiorelli, J. Thermal Performance Of Aviary Prototypes Fitted With Osb Panel Ceiling Made of Balsa Wood Wastes. Braz. J. Biosyst. Eng. 2019, 13, 237–249. [Google Scholar] [CrossRef]
- Lopes Junior, W.E.; Barbirato, G.H.A.; Pavesi, M.; Soriano, J.; Fiorelli, J. Avaliação Do Teor Ótimo de Resinas Orgânicas Para Produção de Painéis OSB de Madeira Balsa (Ochroma pyramidale) Residual. Sci. For. 2021, 49, 1–11. [Google Scholar] [CrossRef]
- Navi, P.; Sandberg, D. Chapter 9: Heat Treatment. In Thermo-Hydro-Mechanical Processing of Wood; Taylor & Francis Group: Boca Raton, FL, USA, 2011; p. 373. ISBN 9781439860434. [Google Scholar]
- Sandberg, D.; Kutnar, A.; Mantanis, G. Wood Modification Technologies—A Review. IForest 2017, 10, 895–908. [Google Scholar] [CrossRef]
- Serpa, P.N.; Vital, B.R.; Della Lucia, R.M.; Pimenta, A.S. Avaliação de Algumas Propriedades Da Madeira de Eucalyptus Grandis, Eucalyptus Saligna e Pinus Elliottii. Rev. Árvore 2003, 27, 723–733. [Google Scholar] [CrossRef][Green Version]
- Garzón Barrero, N.M. Estudo da Durabilidade de Painéis de Partículas de Bagaço de Cana de Açúcar e Resina Poliuretana a Base de Óleo de Mamona Para Aplicação Na Construção Civil; Universidade De São Paulo: São Paulo, Brazil, 2015. [Google Scholar]
- Ferro, F.S. Painéis OSB Com Madeira Schizolobium Amazonicum e Resina Poliuretana à Base de Óleo de Mamona: Viabilidade Técnica de Produção; Universidade De São Paulo: São Paulo, Brazil, 2013. [Google Scholar]
- Forest Products Laboratory. Wood Handbook–Wood as an Engineering Material; Service, F., Ed.; Centennial; United States Department of Agriculture: Madison, WI, USA, 2010. [Google Scholar]
- Zhuang, B.; Cloutier, A. Physical and Mechanical Properties of Oriented Strand Board Made from Eastern Canadian Softwood Species. Forests 2022, 13, 523. [Google Scholar] [CrossRef]
- Iwakiri, S. Painéis de Madeira Reconstituída; FUPEF: Curitiba, Brazil, 2005. [Google Scholar]
- Mendes, R.F. Efeito Do Tratamento Térmico Sobre as Propriedades de Painéis OSB; Universidade de São Paulo: São Paulo, Brazil, 2010. [Google Scholar]
- BS EN 323; Wood-Based Panels: Determination of Density. CEN European Committee for Standardization: Bruxelles, Belgium, 1993; p. 12.
- BS EN 322; Wood-Based Panels: Determination of Moisture Content. CEN European Committee for Standardization: Bruxelles, Belgium, 1993; pp. 1–10.
- BS EN 317; Particleboards and Fiberboards–Determination of Swelling in Thickness after Immersion in Water. CEN European Committee for Standardization: Bruxelles, Belgium, 1993; p. 12.
- BS EN 310; Wood-Based Panels–Determination of Modulus of Elasticity in Bending and Bending Strength. CEN European Committee for Standardization: Bruxelles, Belgium, 1993; p. 14.
- BS EN 320; Particleboards and Fibreboards–Determination of Resistance to Axial Withdrawal of Screws. CEN European Committee for Standardization: Bruxelles, Belgium, 2011; p. 14.
- BS EN 319; Particleboards and Fiberboards–Determination of Tensile Strength Perpendicular to the Plane of Board. CEN European Committee for Standardization: Bruxelles, Belgium, 1993; p. 12.
- Schulz, H.R.; Acosta, A.P.; Barbosa, K.T.; Junior, M.A.P.D.S.; Gallio, E.; Delucis, R.D.Á.; Gatto, D.A. Chemical, Mechanical, Thermal, and Colorimetric Features of the Thermally Treated Eucalyptus Grandis Wood Planted in Brazil. J. Korean Wood Sci. Technol. 2021, 49, 2. [Google Scholar] [CrossRef]
- Copak, A.; Jirouš-rajkovi, V.; Špani, N. The Impact of Post-Manufacture Treatments on the Surface Characteristics Important for Finishing of OSB and Particleboard. Forests 2021, 12, 975. [Google Scholar] [CrossRef]
- Aro, M.D.; Brashaw, B.K.; Donahue, P.K. Mechanical and Physical Properties of Thermally Modified Plywood and Oriented Strand Board Panels. For. Prod. J. 2014, 64, 281–289. [Google Scholar] [CrossRef]
- Brito, J.O.; Silva, F.G.; Leão, M.M.; Almeida, G. Chemical Composition Changes in Eucalyptus and Pinus Woods Submitted to Heat Treatment. Bioresour. Technol. 2008, 99, 8545–8548. [Google Scholar] [CrossRef]
- Kamperidou, V. Chemical and Structural Characterization of Poplar and Black Pine Wood Exposed to Short Thermal Modification. Drv. Ind. 2021, 72, 155–167. [Google Scholar] [CrossRef]
- Cetera, P.; Negro, F.; Cremonini, C.; Todaro, L.; Zanuttini, R. Physico-Mechanical Properties of Thermally Treated Poplar OSB. Forests 2018, 9, 345. [Google Scholar] [CrossRef]
- Pipíška, T.; Pařil, P.; Čermák, P.; Dömény, J.; Král, P.; Kamke, F. Effect of Chemical and Thermal Modification, and Material Replacement on Strand Board Properties. Eur. J. Wood Wood Prod. 2020, 78, 565–575. [Google Scholar] [CrossRef]
- Direske, M.; Bonigut, J.; Wenderdel, C.; Scheiding, W.; Krug, D. Effects of MDI Content on Properties of Thermally Treated Oriented Strand Board (OSB). Eur. J. Wood Wood Prod. 2018, 76, 823–831. [Google Scholar] [CrossRef]
- American National Standards Institute. ANSI A208.1-1999 Particleboard; United States of America; Composite Panel Association, Premiere Court: Gaithersburg, MD, USA, 1999; p. 13. [Google Scholar]
- Lovrić, A.; Zdravković, V.; Popadić, R.; Milić, G. Properties of Plywood Boards Composed of Thermally Modified and Non-Modified Poplar Veneer Aleksandar. BioResources 2017, 12, 8581–8594. [Google Scholar]
- Pereira, G.F.; Iwakiri, S.; Trianoski, R.; Rios, P.D.; Raia, R.Z. Influence of Thermal Modification on the Physical and Mechanical Properties of Eucalyptus Badjensis Mixed Particleboard/Osb Panels. Floresta 2021, 51, 419–428. [Google Scholar] [CrossRef]
- Wilczak, L.; Trianoski, R.; Neto, S.C.; Pereira de Paula, C.R.; Villanova, R.L.; Azevedo, E. Efficiency of Castor Oil-Based Polyurethane in the Production of Plywood Panels. Sci. For. Sci. 2019, 47, 463–471. [Google Scholar] [CrossRef]
- Sinha, A.; Gupta, R.; Nairn, J.A. Effect of Heat on the Mechanical Properties of Wood and Wood Composites. In Proceedings of the 11th World Conference on Timber Engineering 2010, WCTE 2010, Trentino, Italy, 20–24 June 2010; Volume 1, pp. 661–668. [Google Scholar]








| Treatment | Description 1 | Panel Composition 2 |
|---|---|---|
| T1 | Reference 0 °C | 25:50:25 |
| T2 | Reference 0 °C | 30:40:30 |
| T3 | Temperature 175 °C | 25:50:25 |
| T4 | Temperature 175 °C | 30:40:30 |
| T5 | Temperature 200 °C | 25:50:25 |
| T6 | Temperature 200 °C | 30:40:30 |
| Property | Standard |
|---|---|
| Density (D) | EN 323 [42] |
| Moisture content (MC) | EN 322 [43] |
| Thickness Swelling after 24 h (TS) | EN 317 [44] |
| Water absorption (WA) | EN 317 [44] |
| Modulus of Elasticity parallel (MOE-pa) | EN 310 [45] |
| Modulus of Elasticity perpendicular (MOE-pe) | EN 310 [45] |
| Static parallel bending parallel (MOR-pa) | EN 310 [45] |
| Static perpendicular bending perpendicular (MOR-pe) | EN 310 [45] |
| Resistance to withdrawal of screws—Surface (PS-s) | EN 320 [46] |
| Resistance to withdrawal of screws—Top (PS-t) | EN 320 [46] |
| Perpendicular traction or internal bonding (IB) | EN 319 [47] |
| Classification and specifications | EN 300 [10] |
| Configuration | T (°C) | MOE-pa | MOE-pe | MOR-pa | MOR-pe | PS-t | PS-s | IB |
|---|---|---|---|---|---|---|---|---|
| 25:50:25 | 0 | A | A | A | A | A | A | A |
| 175 | B | AB | A | B | AB | B | A | |
| 200 | C | B | B | B | B | B | A | |
| 30:40:30 | 0 | A | A | A | A | A | A | A |
| 175 | B | B | A | B | B | B | A | |
| 200 | B | B | B | AB | B | B | A | |
| Configuration | T (°C) | D | WA | MC | TS | |||
| 25:50:25 | 0 | A | A | A | A | |||
| 175 | A | AB | B | B | ||||
| 200 | A | B | B | B | ||||
| 30:40:30 | 0 | A | A | A | A | |||
| 175 | A | B | B | AB | ||||
| 200 | A | C | C | B |
| T (°C) | Configuration | MOE-pa | MOE-pe | MOR-pa | MOR-pe | PS-t | PS-s | IB |
|---|---|---|---|---|---|---|---|---|
| 0 | 25:50:25 | A | A | A | A | A | A | A |
| 30:40:30 | A | A | A | A | A | A | A | |
| 175 | 25:50:25 | A | A | A | A | A | A | A |
| 30:40:30 | A | A | A | A | A | A | A | |
| 200 | 25:50:25 | A | A | A | A | A | A | A |
| 30:40:30 | A | A | A | A | A | A | A | |
| T (°C) | Configuration | D | WA | MC | TS | |||
| 0 | 25:50:25 | A | A | A | A | |||
| 30:40:30 | A | A | A | A | ||||
| 175 | 25:50:25 | A | A | A | A | |||
| 30:40:30 | A | A | A | A | ||||
| 200 | 25:50:25 | A | A | A | A | |||
| 30:40:30 | A | A | A | A |
Publisher’s Note: MDPI stays neutral with regard to jurisdictional claims in published maps and institutional affiliations. |
© 2022 by the authors. Licensee MDPI, Basel, Switzerland. This article is an open access article distributed under the terms and conditions of the Creative Commons Attribution (CC BY) license (https://creativecommons.org/licenses/by/4.0/).
Share and Cite
Sugahara, E.; Dias, A.; Arroyo, F.; Christoforo, A.; Costa, M.L.; Botelho, E.C.; Dias, A.M.P.G.; Campos, C. Study of the Influence of Heat Treatment on OSB Panels Produced with Eucalyptus Wood in Different Layer Compositions. Forests 2022, 13, 2083. https://doi.org/10.3390/f13122083
Sugahara E, Dias A, Arroyo F, Christoforo A, Costa ML, Botelho EC, Dias AMPG, Campos C. Study of the Influence of Heat Treatment on OSB Panels Produced with Eucalyptus Wood in Different Layer Compositions. Forests. 2022; 13(12):2083. https://doi.org/10.3390/f13122083
Chicago/Turabian StyleSugahara, Estefani, Andre Dias, Felipe Arroyo, Andre Christoforo, Michelle L. Costa, Edson C. Botelho, Alfredo M. P. G. Dias, and Cristiane Campos. 2022. "Study of the Influence of Heat Treatment on OSB Panels Produced with Eucalyptus Wood in Different Layer Compositions" Forests 13, no. 12: 2083. https://doi.org/10.3390/f13122083
APA StyleSugahara, E., Dias, A., Arroyo, F., Christoforo, A., Costa, M. L., Botelho, E. C., Dias, A. M. P. G., & Campos, C. (2022). Study of the Influence of Heat Treatment on OSB Panels Produced with Eucalyptus Wood in Different Layer Compositions. Forests, 13(12), 2083. https://doi.org/10.3390/f13122083

