Determination Factors for the Spatial Distribution of Forest Cover: A Case Study of China’s Fujian Province
Abstract
1. Introduction
2. Data Sources and Research Methods
2.1. Data Sources
2.2. Research Methods
2.2.1. Global Spatial Auto-Correlation
2.2.2. Local Spatial Auto-Correlation
2.2.3. Geographical Detector
3. Research Results
3.1. Spatial Distribution of Forest Cover
3.2. Global Spatial Auto-Correlation
3.3. Local Spatial Auto-Correlation
3.4. Geographic Detector Results
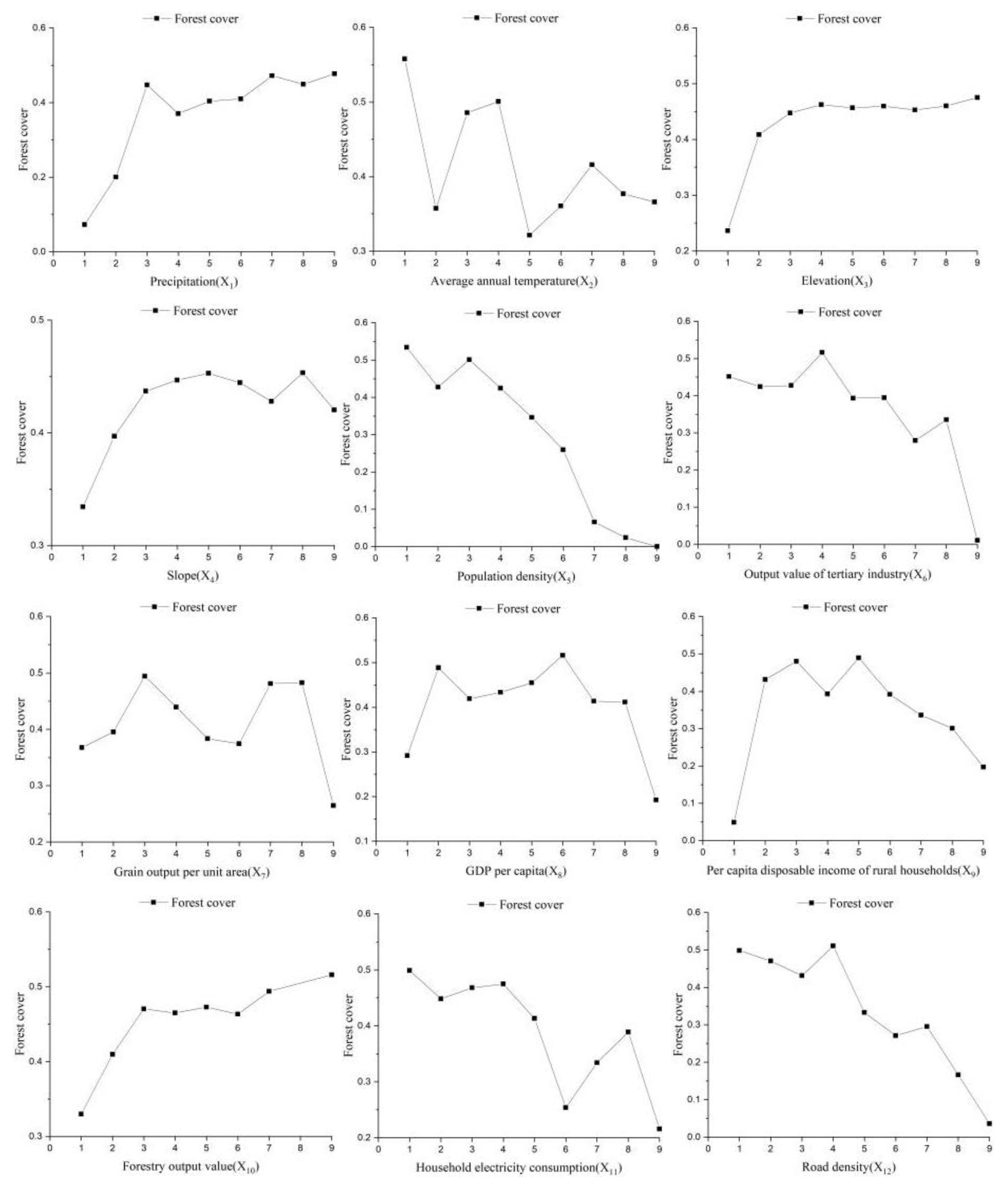
3.4.1. Factor Detector Results
3.4.2. Risk Detector Results
4. Discussion
5. Conclusions
Author Contributions
Funding
Data Availability Statement
Acknowledgments
Conflicts of Interest
References
- Mather, A.S. Forest transition theory and the reforesting of Scotland. Scott. Geogr. J. 2004, 120, 83–98. [Google Scholar] [CrossRef]
- Barbier, E.B.; Burgess, J.C. The economics of tropical deforestation and land use: An introduction to the special issue. Land Econ. 2001, 77, 155–171. [Google Scholar] [CrossRef]
- Laso Bayas, J.C.; See, L.; Georgieva, I.; Schepaschenko, D.; Danylo, O.; Dürauer, M.; Bartl, H.; Hofhansl, F.; Zadorozhniuk, R.; Burianchuk, M. Drivers of tropical forest loss between 2008 and 2019. Sci. Data 2022, 9, 146. [Google Scholar] [CrossRef] [PubMed]
- Geist, H.J.; Lambin, E.F. Proximate Causes and Underlying Driving Forces of Tropical DeforestationTropical forests are disappearing as the result of many pressures, both local and regional, acting in various combinations in different geographical locations. BioScience 2002, 52, 143–150. [Google Scholar] [CrossRef]
- Li, L.; Chhater, A.; Liu, J. Multiple drivers and pathways to China’s forest transition. For. Policy Econ. 2019, 106, 101962. [Google Scholar] [CrossRef]
- Xu, X.; Liu, J.; Zhuang, D.; Zhang, S. Spatial-Temporal Dynamic Characteristics and Driving Forces of Forestland Resources in China; Journal of Beijing Forestry University: Beijing, China, 2004; pp. 41–46. [Google Scholar]
- Niu, X.; Hu, Y.; Lei, Z.; Yan, H.; Ye, J.; Wang, H. Temporal and Spatial Evolution Characteristics and Its Driving Mechanism of Land Use/Cover in Vietnam from 2000 to 2020. Land 2022, 11, 920. [Google Scholar] [CrossRef]
- Demissie, F.; Yeshitila, K.; Kindu, M.; Schneider, T. Land use/Land cover changes and their causes in Libokemkem District of South Gonder, Ethiopia. Remote Sens. Appl. Soc. Environ. 2017, 8, 224–230. [Google Scholar] [CrossRef]
- Redo, D.J.; Aide, T.M.; Clark, M.L. The relative importance of socioeconomic and environmental variables in explaining land change in Bolivia, 2001–2010. Ann. Assoc. Am. Geogr. 2012, 102, 778–807. [Google Scholar] [CrossRef]
- Gerhardt, F.; Foster, D.R. Physiographical and historical effects on forest vegetation in central New England, USA. J. Biogeogr. 2002, 29, 1421–1437. [Google Scholar] [CrossRef]
- Schulz, J.J.; Cayuela, L.; Rey-Benayas, J.M.; Schröder, B. Factors influencing vegetation cover change in Mediterranean Central Chile (1975–2008). Appl. Veg. Sci. 2011, 14, 571–582. [Google Scholar] [CrossRef]
- Kanade, R.; John, R. Topographical influence on recent deforestation and degradation in the Sikkim Himalaya in India; Implications for conservation of East Himalayan broadleaf forest. Appl. Geogr. 2018, 92, 85–93. [Google Scholar] [CrossRef]
- Zhang, Q.; Ren, R.; Zhao, L. Spatial distribution pattern and influencing factors of forest in Northeast China. J. Northeast. Froestry Unversity 2013, 41, 25–28. [Google Scholar]
- Zhu, W.B.; Lv, A.F.; Jia, S.F. Spatial distribution of vegetation and the influencing factors in Qaidam Basin based on NDVI. J. Arid. Land 2011, 3, 85–93. [Google Scholar] [CrossRef][Green Version]
- Spathelf, P.; van der Maaten, E.; van der Maaten-Theunissen, M.; Campioli, M.; Dobrowolska, D. Climate change impacts in European forests: The expert views of local observers. Ann. For. Sci. 2014, 71, 131–137. [Google Scholar] [CrossRef]
- Huang, W.; Deng, X.; Lin, Y.; Jiang, Q. An Econometric Analysis of Causes of Forestry Area Changes in Northeast China. Procedia Environ. Sci. 2010, 2, 557–565. [Google Scholar] [CrossRef]
- Rodríguez García, V.; Caravaggio, N.; Gaspart, F.; Meyfroidt, P. Long- and Short-Run Forest Dynamics: An Empirical Assessment of Forest Transition, Environmental Kuznets Curve and Ecologically Unequal Exchange Theories. Forests 2021, 12, 431. [Google Scholar] [CrossRef]
- Senf, C.; Seidl, R. Mapping the coupled human and natural disturbance regimes of Europe’s forests. BioRxiv 2020. [Google Scholar] [CrossRef]
- Lambin, E.F.; Meyfroidt, P. Global land use change, economic globalization, and the looming land scarcity. Proc. Natl. Acad. Sci. USA 2011, 108, 3465–3472. [Google Scholar] [CrossRef]
- Singh, M.P.; Bhojvaid, P.P.; de Jong, W.; Ashraf, J.; Reddy, S.R. Forest transition and socio-economic development in India and their implications for forest transition theory. For. Policy Econ. 2017, 76, 65–71. [Google Scholar]
- Zhang, W.; Chong, Z.; Li, X.; Nie, G. Spatial patterns and determinant factors of population flow networks in China: Analysis on Tencent Location Big Data. Cities 2020, 99, 102640. [Google Scholar] [CrossRef]
- Michon, G.; de Foresta, H.; Levang, P.; Verdeaux, F. Domestic forests: A new paradigm for integrating local communities’ forestry into tropical forest science. Ecol. Soc. 2007, 12, 1. [Google Scholar] [CrossRef]
- Leblois, A.; Damette, O.; Wolfersberger, J. What has driven deforestation in developing countries since the 2000s? Evidence from new remote-sensing data. World Dev. 2017, 92, 82–102. [Google Scholar] [CrossRef]
- Liu, S.; Yang, Y.; Wang, H. Strategies and countermeasures for the development of plantation management in China: From single-objective management of seeking wood production to multi-objective management of enhancing ecosystem service quality and benefit. Acta Ecol. Sin. 2018, 38, 1–10. [Google Scholar]
- Kull, C.A.; Ibrahim, C.K.; Meredith, T.C. Tropical forest transitions and globalization: Neo-liberalism, migration, tourism, and international conservation agendas. Soc. Nat. Resour. 2007, 20, 723–737. [Google Scholar] [CrossRef]
- Laurance, W.F.; Campbell, M.J.; Alamgir, M.; Mahmoud, M.I. Road Expansion and the Fate of Africa’s Tropical Forests. Front. Ecol. Evol. 2017, 5, 75. [Google Scholar] [CrossRef]
- Pfaff, A.; Robalino, J.; Walker, R.; Aldrich, S.; Caldas, M.; Reis, E.; Perz, S.; Bohrer, C.; Arima, E.; Laurance, W.; et al. Road investments, spatial spillovers, and deforestation in the Brazilian Amazon. J. Reg. Sci. 2007, 47, 109–123. [Google Scholar] [CrossRef]
- Asher, S.; Garg, T.; Novosad, P. The ecological impact of transportation infrastructure. Econ. J. 2020, 130, 1173–1199. [Google Scholar] [CrossRef]
- Deng, X.; Huang, J.; Uchida, E.; Rozelle, S.; Gibson, J. Pressure cookers or pressure valves: Do roads lead to deforestation in China? J. Environ. Econ. Manag. 2011, 61, 79–94. [Google Scholar] [CrossRef]
- China Forestry Information Network [EB/OL]. Available online: http://www.lknet.ac.cn/ (accessed on 16 August 2022).
- Alamgir, M.; Campbell, M.; Sloan, S.; Goosem, M.; Clements, G.R.; Ibrahim-Mahmoud, M.; Laurance, W.F. Economic, Socio-Political and Environmental Risks of Road Development in the Tropics. Curr. Biol. 2017, 27, 1130–1140. [Google Scholar] [CrossRef]
- Breda, N.; Peuffer, M. Vulnerability to forest decline in a context of climate changes: New prospects about an old question in forest ecology. Ann. For. Sci. 2014, 71, 627–631. [Google Scholar] [CrossRef]
- Resources and Environmental Science and Data Center, Chinese Academy of Sciences [EB/OL]. Available online: www.resdc.cn/ (accessed on 25 July 2022).
- Wang, J.; Xu, C. Geodetector: Principles and Prospects. Acta Geogr. Sin. 2017, 72, 116–134. [Google Scholar]
- Ju, H.; Zhang, Z.; Zuo, L.; Wang, J.; Zhang, S.; Wang, X.; Zhao, X. Driving forces and their interactions of built-up land expansion based on the geographical detector–a case study of Beijing, China. Int. J. Geogr. Inf. Sci. 2016, 30, 2188–2207. [Google Scholar] [CrossRef]
- Wright, S.J.; Muller-Landau, H.C. The Future of Tropical Forest Species1. Biotropica 2006, 38, 287–301. [Google Scholar] [CrossRef]
- Sandel, B.; Svenning, J. Human impacts drive a global topographic signature in tree cover. Nat. Commun. 2013, 4, 2474. [Google Scholar] [CrossRef] [PubMed]
- Sloan, S. Fewer people may not mean more forest for Latin American forest frontiers. Biotropica 2007, 39, 443–446. [Google Scholar] [CrossRef]
- Halas, M.; Klapka, P.; Tonev, P. The use of migration data to define functional regions: The case of the Czech Republic. Appl. Geogr. 2016, 76, 98–105. [Google Scholar] [CrossRef]
- Li, X.; Zhang, Y.; Liu, Y.; Zhao, T. Dynamic Evolution and Future Prediction of Land Use Patterns in the Arid Desert Region of Northwest China from 1990 to 2020. Forests 2022, 13, 1570. [Google Scholar] [CrossRef]
- Lorenzen, M.; Orozco-Ramírez, Q.; Ramírez-Santiago, R.; Garza, G.G. Migration, socioeconomic transformation, and land-use change in Mexico’s Mixteca Alta: Lessons for forest transition theory. Land Use Policy 2020, 95, 104580. [Google Scholar] [CrossRef]
- Laurance, W.F.; Peletier-Jellema, A.; Geenen, B.; Koster, H.; Verweij, P.; Van Dijck, P.; Lovejoy, T.E.; Schleicher, J.; Van Kuijk, M. Reducing the global environmental impacts of rapid infrastructure expansion. Curr. Biol. 2015, 25, 259–262. [Google Scholar] [CrossRef]
- Freitas, S.R.; Hawbaker, T.J.; Metzger, J.P. Effects of roads, topography, and land use on forest cover dynamics in the Brazilian Atlantic Forest. For. Ecol. Manag. 2010, 259, 410–417. [Google Scholar] [CrossRef]
- Barber, C.P.; Cochrane, M.A.; Souza, C.M., Jr.; Laurance, W.F. Roads, deforestation, and the mitigating effect of protected areas in the Amazon. Biol. Conserv. 2014, 177, 203–209. [Google Scholar] [CrossRef]
- Hughes, A.C. Understanding and minimizing environmental impacts of the Belt and Road Initiative. Conserv. Biol. 2019, 33, 883–894. [Google Scholar] [CrossRef] [PubMed]
- Caravaggio, N. Economic growth and the forest development path: A theoretical re-assessment of the environmental Kuznets curve for deforestation. For. Policy Econ. 2020, 118, 102259. [Google Scholar] [CrossRef]
- Foster, A.D.; Rosenzweig, M.R. Economic growth and the rise of forests. Q. J. Econ. 2003, 118, 601–637. [Google Scholar] [CrossRef]



| Determination Factors | Units | Max | Min | |
|---|---|---|---|---|
| Natural environmental factors | Precipitation | Mm | 1948.4 | 1199.7 |
| Average annual temperature | °C | 21.0 | 16.4 | |
| Elevation | M | 2138 | −6 | |
| Slope | ° | 82.3 | 0 | |
| Socioeconomic factors | Population density | person/km2 | 18,301 | 68 |
| Output value of tertiary industry | billion | 17.58 | 0.34 | |
| Grain output per unit area | ton/ha | 7.03 | 4.58 | |
| GDP per capita | RMB (yuan) | 307,557 | 50,909 | |
| Per capita disposable income of rural households | RMB (yuan) | 29,323 | 14,449 | |
| Forestry output value | RMB (yuan) | 251,356 | 0 | |
| Household electricity consumption | million kw·h | 2372.4 | 147.3 | |
| Road density | km/km2 | 113.41 | 1.21 | |
| Moran’s I | Z Score | p Value | |
|---|---|---|---|
| Forest cover | 0.424560 | 6.120910 | 0.000000 |
| Auto-Correlation Type | Forest Cover | |
|---|---|---|
| Number | Ratio | |
| H-H cluster | 14 | 17.95% |
| H-L cluster | 0 | 0 |
| L-H cluster | 1 | 1.28% |
| L-L cluster | 10 | 12.82% |
| Not significant | 53 | 67.95% |
| Total | 78 | 100% |
| Determination Factors | Forest Cover | ||
|---|---|---|---|
| q Value | p Value | Rank | |
| Precipitation (X1) | 0.266 | 0.000 | 10 |
| Average annual temperature (X2) | 0.309 | 0.000 | 4 |
| Elevation (X3) | 0.277 | 0.000 | 7 |
| Slope (X4) | 0.073 | 0.000 | 12 |
| Population density (X5) | 0.566 | 0.000 | 1 |
| Output value of tertiary industry (X6) | 0.306 | 0.000 | 5 |
| Grain output per unit area (X7) | 0.273 | 0.000 | 8 |
| GDP per capita (X8) | 0.267 | 0.000 | 9 |
| Per capita disposable income of rural households (X9) | 0.316 | 0.000 | 3 |
| Forestry output value (X10) | 0.242 | 0.000 | 11 |
| Household electricity consumption (X11) | 0.304 | 0.000 | 6 |
| Road density (X12) | 0.418 | 0.000 | 2 |
Publisher’s Note: MDPI stays neutral with regard to jurisdictional claims in published maps and institutional affiliations. |
© 2022 by the authors. Licensee MDPI, Basel, Switzerland. This article is an open access article distributed under the terms and conditions of the Creative Commons Attribution (CC BY) license (https://creativecommons.org/licenses/by/4.0/).
Share and Cite
Dong, J.; Zhou, C.; Liang, W.; Lu, X. Determination Factors for the Spatial Distribution of Forest Cover: A Case Study of China’s Fujian Province. Forests 2022, 13, 2070. https://doi.org/10.3390/f13122070
Dong J, Zhou C, Liang W, Lu X. Determination Factors for the Spatial Distribution of Forest Cover: A Case Study of China’s Fujian Province. Forests. 2022; 13(12):2070. https://doi.org/10.3390/f13122070
Chicago/Turabian StyleDong, Jiayun, Congyi Zhou, Wenyuan Liang, and Xu Lu. 2022. "Determination Factors for the Spatial Distribution of Forest Cover: A Case Study of China’s Fujian Province" Forests 13, no. 12: 2070. https://doi.org/10.3390/f13122070
APA StyleDong, J., Zhou, C., Liang, W., & Lu, X. (2022). Determination Factors for the Spatial Distribution of Forest Cover: A Case Study of China’s Fujian Province. Forests, 13(12), 2070. https://doi.org/10.3390/f13122070

