Assessing Resilience Components in Maritime Pine Provenances Grown in Common Gardens
Abstract
1. Introduction
2. Materials and Methods
2.1. Study Sites
2.2. Field Sampling and Dendrochronological Analysis
2.3. Climate Data, Identification of Drought Years
2.4. Resilience Components
2.5. Statistical Analysis
3. Results
3.1. Climate Conditions and Drought Years
3.2. Climate Conditions of the Sites and Provenance Origin
3.3. Growth Rates and Trends
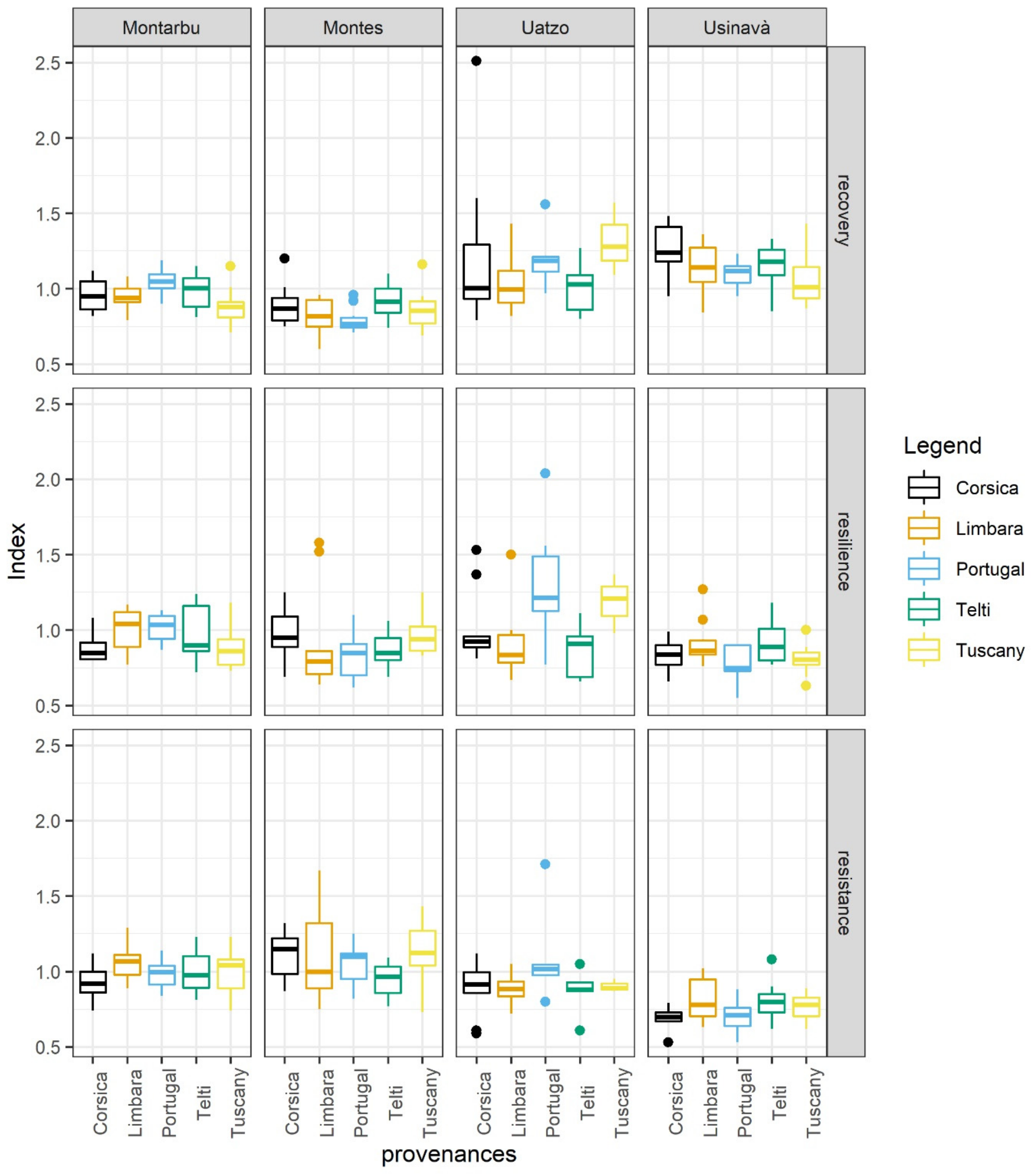
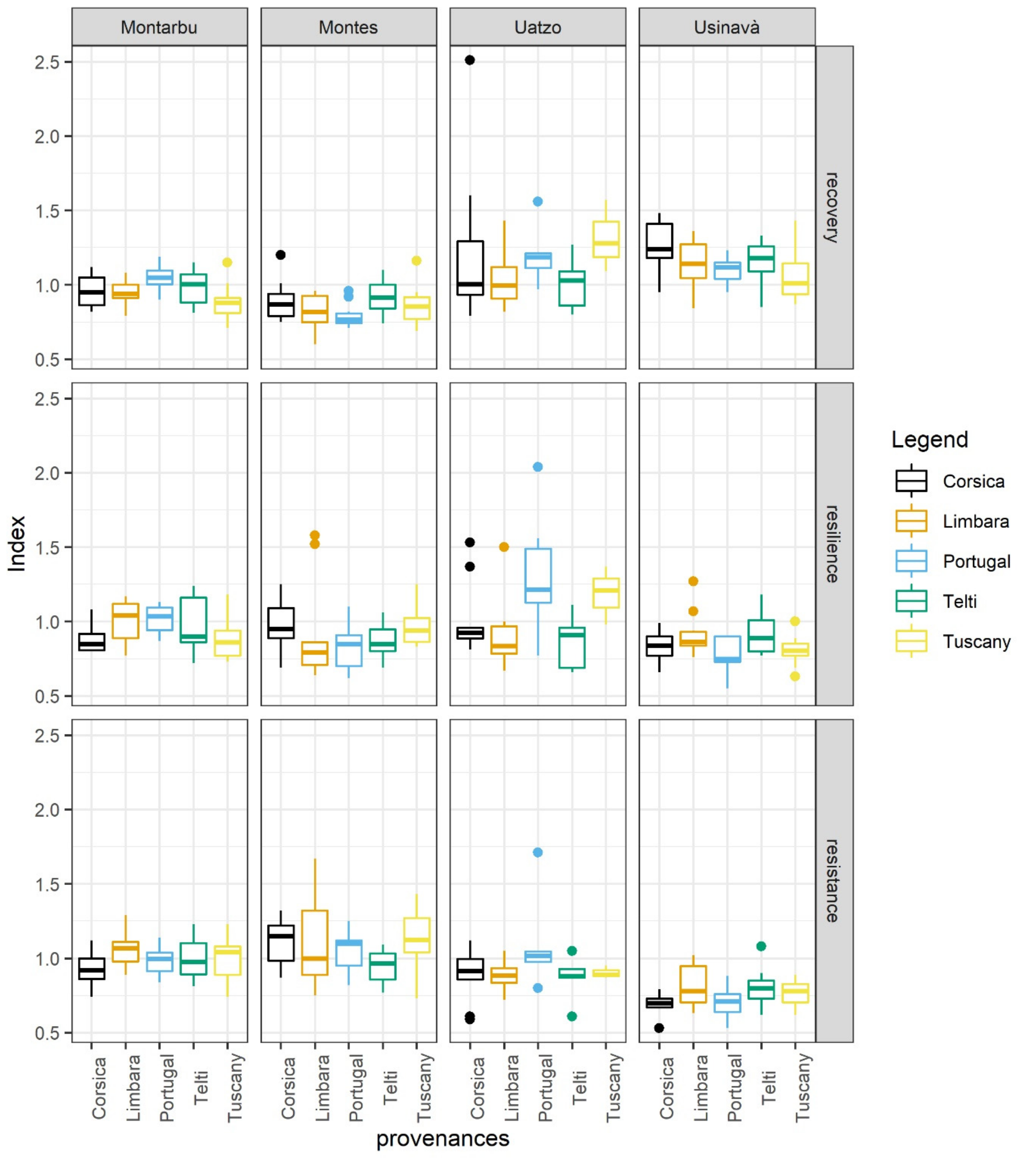
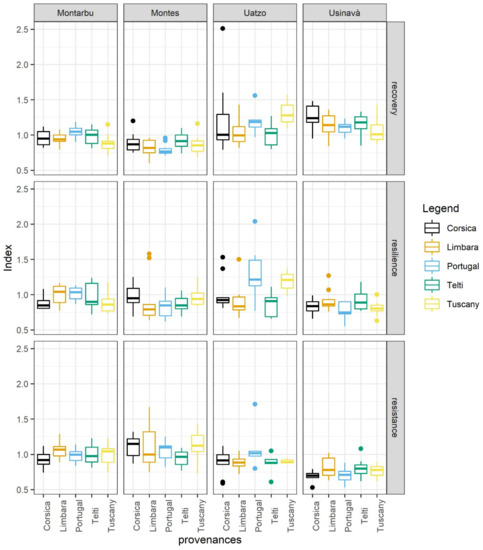
3.4. Resilience Components at Common Gardens and for Provenances
3.5. Resilience Components and Climate Variables
4. Discussion
4.1. Differences in Tree Growth among Provenances Is Influenced by Site Conditions More than Seed Sources
4.2. Environemtal Conditions and Tree Height Matter on Resilience Components
4.3. Temperature as a Proxy to Assess Resilience Components
4.4. Common Gardens as a Tool for Implementing Climate-Smart Forestry
5. Conclusions
Supplementary Materials
Author Contributions
Funding
Acknowledgments
Conflicts of Interest
References
- Bastin, J.-F.; Finegold, Y.; Garcia, C.; Mollicone, D.; Rezende, M.; Routh, D.; Zohner, C.M.; Crowther, T.W. Comment on “The Global Tree Restoration Potential”. Science 2019, 366, 76–79. [Google Scholar] [CrossRef] [PubMed]
- FOREST EUROPE, 2020: State of Europe’s Forests 2020. Available online: https://foresteurope.org/wp-content/uploads/2016/08/SoEF_2020.pdf (accessed on 8 September 2022).
- IPCC. Climate Change 2021: The Physical Science Basis. Contribution of Working Group I to the Sixth Assessment Report of the Intergovernmental Panel on Climate Change; DLR: Cologne, Germany, 2021. [Google Scholar]
- Allen, C.D.; Macalady, A.K.; Chenchouni, H.; Bachelet, D.; McDowell, N.; Vennetier, M.; Kitzberger, T.; Rigling, A.; Breshears, D.D.; Hogg, E.H.; et al. A Global Overview of Drought and Heat-Induced Tree Mortality Reveals Emerging Climate Change Risks for Forests. For. Ecol. Manag. 2010, 259, 660–684. [Google Scholar] [CrossRef]
- Williams, M.I.; Dumroese, R.K. Preparing for Climate Change: Forestry and Assisted Migration. J. For. 2013, 111, 287–297. [Google Scholar] [CrossRef]
- Locosselli, G.M.; Brienen, R.J.W.; Leite, M.S.; Gloor, M.; Krottenthaler, S.; Oliveira, A.A.; Barichivich, J.; Anhuf, D.; Ceccantini, G.; Schöngart, J.; et al. Global Tree-Ring Analysis Reveals Rapid Decrease in Tropical Tree Longevity with Temperature. Proc. Natl. Acad. Sci. USA 2020, 117, 33358–33364. [Google Scholar] [CrossRef]
- Vogel, J.; Paton, E.; Aich, V.; Bronstert, A. Increasing Compound Warm Spells and Droughts in the Mediterranean Basin. Weather Clim. Extrem. 2021, 32, 100312. [Google Scholar] [CrossRef]
- Ciais, P.; Reichstein, M.; Viovy, N.; Granier, A.; Ogée, J.; Allard, V.; Aubinet, M.; Buchmann, N.; Bernhofer, C.; Carrara, A.; et al. Europe-Wide Reduction in Primary Productivity Caused by the Heat and Drought in 2003. Nature 2005, 437, 529–533. [Google Scholar] [CrossRef]
- González-Martínez, S.C.; Alía, R.; Gil, L. Population Genetic Structure in a Mediterranean Pine (Pinus pinaster Ait.): A Comparison of Allozyme Markers and Quantitative Traits. Heredity 2002, 89, 199–206. [Google Scholar] [CrossRef]
- Nabuurs, G.-J.; Verkerk, P.J.; Schelhaas, M.-J.; González Olabarria, J.R.; Trasobares, A.; Cienciala, E. Climate-Smart Forestry: Mitigation Impacts in Three European Regions; European Forest Institute: Joensuu, Finland, 2018; ISBN 9789525980530. Available online: https://efi.int/sites/default/files/files/publication-bank/2018/efi_fstp_6_2018.pdf (accessed on 8 September 2022).
- Bowditch, E.; Santopuoli, G.; Binder, F.; del Río, M.; la Porta, N.; Kluvankova, T.; Lesinski, J.; Motta, R.; Pach, M.; Panzacchi, P.; et al. What Is Climate-Smart Forestry? A Definition from a Multinational Collaborative Process Focused on Mountain Regions of Europe. Ecosyst. Serv. 2020, 43, 101113. [Google Scholar] [CrossRef]
- Hewitt, N.; Klenk, N.; Smith, A.L.; Bazely, D.R.; Yan, N.; Wood, S.; Maclellan, J.I.; Lipsig-mumme, C.; Henriques, I. Taking Stock of the Assisted Migration Debate. Biol. Conserv. 2011, 144, 2560–2572. [Google Scholar] [CrossRef]
- Woodall, C.W.; Zhu, K.; Westfall, J.A.; Oswalt, C.M.; D’Amato, A.W.; Walters, B.F.; Lintz, H.E. Assessing the Stability of Tree Ranges and Influence of Disturbance in Eastern US Forests. For. Ecol. Manag. 2013, 291, 172–180. [Google Scholar] [CrossRef]
- Liang, Y.; Duveneck, M.J.; Gustafson, E.J.; Serra-Diaz, J.M.; Thompson, J.R. How Disturbance, Competition, and Dispersal Interact to Prevent Tree Range Boundaries from Keeping Pace with Climate Change. Glob. Chang. Biol. 2018, 24, e335–e351. [Google Scholar] [CrossRef] [PubMed]
- Westman, W.E. Measuring the Inertia and Resilience of Ecosystems. Bioscience 1978, 28, 705–710. [Google Scholar] [CrossRef]
- Folke, C.; Carpenter, S.R.; Walker, B.; Scheffer, M.; Chapin, T.; Rockström, J. Resilience Thinking: Integrating Resilience, Adaptability and Transformability. Ecol. Soc. 2010, 15, 20–28. [Google Scholar] [CrossRef]
- Lake, P.S. Resistance, Resilience and Restoration. Ecol. Manag. Restor. 2013, 14, 20–24. [Google Scholar] [CrossRef]
- Taeger, S.; Zang, C.; Liesebach, M.; Schneck, V.; Menzel, A. Impact of Climate and Drought Events on the Growth of Scots Pine (Pinus Sylvestris L.) Provenances. For. Ecol. Manag. 2013, 307, 30–42. [Google Scholar] [CrossRef]
- Bansal, S.; Harrington, C.A.; Bradley, J.; Clair, S. Tolerance to Multiple Climate Stressors: A Case Study of Douglas-Fir Drought and Cold Hardiness Tolerance to Multiple Climate Stressors: A Case Study of Douglas-Fir Drought and Cold Hardiness. Ecol. Evol. 2016, 6, 2074–2083. [Google Scholar] [CrossRef]
- George, J.P.; Grabner, M.; Karanitsch-Ackerl, S.; Mayer, K.; Weißenbacher, L.; Schueler, S. Genetic Variation, Phenotypic Stability, and Repeatability of Drought Response in European Larch throughout 50 Years in a Common Garden Experiment. Tree Physiol. 2017, 37, 33–46. [Google Scholar] [CrossRef]
- Zas, R.; Sampedro, L.; Solla, A.; Vivas, M.; Lombardero, M.J.; Alía, R.; Rozas, V. Dendroecology in Common Gardens: Population Differentiation and Plasticity in Resistance, Recovery and Resilience to Extreme Drought Events in Pinus pinaster. Agric. For. Meteorol. 2020, 291, 108060. [Google Scholar] [CrossRef]
- Fritts, H.C. Tree Rings, a Record of Seasonal Variations in Past Climate. Naturwissenschaften 1978, 65, 48–56. [Google Scholar] [CrossRef]
- Lloret, F.; Keeling, E.G.; Sala, A. Components of Tree Resilience: Effects of Successive Low-Growth Episodes in Old Ponderosa Pine Forests. Oikos 2011, 120, 1909–1920. [Google Scholar] [CrossRef]
- San-Miguel-Ayanz, J.; de Rig, D.; Caudullo, G.; Houston Durrant Achille, T. European Atlas of Forest Tree Species; Publication Office of the European Union: Luxembourg, 2016; Volume 11, ISBN 9789279367403. [Google Scholar]
- Eilmann, B.; de Vries, S.M.G.; den Ouden, J.; Mohren, G.M.J.; Sauren, P.; Sass-Klaassen, U. Origin Matters! Difference in Drought Tolerance and Productivity of Coastal Douglas-Fir (Pseudotsuga Menziesii (Mirb.)) Provenances. For. Ecol. Manag. 2013, 302, 133–143. [Google Scholar] [CrossRef]
- Bogino, S.M.; Bravo, F. Growth Response of Pinus pinaster Ait. To Climatic Variables in Central Spanish Forests. Ann. For. Sci. 2008, 65, 506. [Google Scholar] [CrossRef]
- Mazza, G.; Cutini, A.; Manetti, M.C. Influence of Tree Density on Climate-Growth Relationships in a Pinus pinaster Ait. Forest in the Northern Mountains of Sardinia (Italy). IForest 2015, 8, 456–463. [Google Scholar] [CrossRef]
- Corcuera, L.; Cochard, H.; Gil-Pelegrin, E.; Notivol, E. Phenotypic Plasticity in Mesic Populations of Pinus pinaster Improves Resistance to Xylem Embolism (P50) under Severe Drought. Trees-Struct. Funct. 2011, 25, 1033–1042. [Google Scholar] [CrossRef]
- Corcuera, L.; Gil-Pelegrín, E.; Notivol, E. Differences in Hydraulic Architecture between Mesic and Xeric Pinus pinaster Populations at the Seedling Stage. Tree Physiol. 2012, 32, 1442–1457. [Google Scholar] [CrossRef]
- De La Mata, R.; Merlo, E.; Zas, R. Among-Population Variation and Plasticity to Drought of Atlantic, Mediterranean, and Interprovenance Hybrid Populations of Maritime Pine. Tree Genet. Genomes 2014, 10, 1191–1203. [Google Scholar] [CrossRef]
- Tognetti, R.; Michelozzi, M.; Lauteri, M.; Brugnoli, E.; Giannini, R. Geographic Variation in Growth, Carbon Isotope, Discrimination, and Monoterpene Composition in Pinus pinaster Ait. Provenances. Can. J. For. Res. 2000, 30, 1682–1690. [Google Scholar] [CrossRef]
- Giannini, R.; Palmas, G.; Tani, A. Prove di Provenienza di Pinus pinaster Ait. in Sardegna. Monti Boschi 1992, 1, 55–60. [Google Scholar]
- Giannini, R.; Calamini, G.; Lavra, S.; Michelozzi, M.; Paffetti, D.; Rossi, F.; Tani, A. Risultati di Prove di Provenienza di Pino Marittimo in Sardegna. IFM 2002, 3, 293–301. [Google Scholar]
- Tabacchi, G.; Cosmo, L.; Gasparini, P. Stima del Volume e della Fitomassa delle Principali Specie Forestali Italiane. Equazioni di Previsione, Tavole del Volume e Tavole della Fitomassa Arborea Epigea; CRA: Trento, Italia, 2011; ISBN 9788897081111. [Google Scholar]
- Lombardi, F.; Cocozza, C.; Lasserre, B. Dendrochronological Assessment of the Time since Death of Dead Wood in an Old Growth Magellan’s Beech Forest, Navarino Island (Chile). Austral Ecol. 2011, 36, 329–340. [Google Scholar] [CrossRef]
- Eckstein, D.; Bauch, J. Beitrag Zur Rationalisierung Eines Dendrochronologischen Verfahrens Und Zur Analyse Seiner Aussagesicherheit. Forstwissenschaftliches Centralblatt 2007, 88, 230–250. [Google Scholar] [CrossRef]
- Holmes, R. Computer-Assisted Quality Control in Tree-Ring Dating and Measurement. Tree-Ring Bull. 1983, 43, 51–67. [Google Scholar]
- Speer, B.J.H. Fundamentals of Tree-Ring Research; Indiana State University: Terre Haute, IN, USA, 2009. [Google Scholar]
- Bunn, A.; Korpela, M.; Biondi, F.; Campelo, F.; Mérian, P.; Qeadan, F.; Zang, C.; Buras, A.; Cecile, A.; Mudelsee, M.; et al. DplR: Dendrochronology Program Library in R 2022. Available online: https://CRAN.R-project.org/package=dplR (accessed on 8 September 2022).
- Biondi, F.; Qeadan, F. A Theory-Driven Approach to Tree-Ring Standardization: Defining the Biological Trend from Expected Basal Area Increment. Tree Ring Res. 2008, 64, 81–96. [Google Scholar] [CrossRef]
- Thornthwaite, C.W. An Approach toward a Rational Classification of Climate. Geogr. Rev. 1948, 38, 55–94. [Google Scholar] [CrossRef]
- Beguería, S.; Vicente-Serrano, S.M. SPEI: Calculation of the Standardised Precipitation-Evapotranspiration Index, R package version 1.7; 2017. Available online: https://CRAN.R-project.org/package=SPEI (accessed on 8 September 2022).
- Mckee, T.B.; Doesken, N.J.; Kleist, J. The Relationship of Drought Frequency and Duration to Time Scales. In Proceedings of the 8th Conference on Applied Climatology, Anaheim, CA, USA, 17–22 January 1993; pp. 17–22. [Google Scholar]
- Sohn, J.A.; Hartig, F.; Kohler, M.; Huss, J.; Bauhus, J. Heavy and Frequent Thinning Promotes Drought Adaptation in Pinus Sylvestris Forests. Ecological Applications 2016, 26, 2190–2205. [Google Scholar] [CrossRef]
- Fuchs, S.; Schuldt, B.; Leuschner, C. Forest Ecology and Management Identification of Drought-Tolerant Tree Species through Climate Sensitivity Analysis of Radial Growth in Central European Mixed Broadleaf Forests. For. Ecol. Manag. 2021, 494, 119287. [Google Scholar] [CrossRef]
- De Martonne, E.L. Indice d Aridité. La Meteorol. 1926, 2, 3–5. [Google Scholar]
- Emadodin, I.; Reinsch, T.; Taube, F. Drought and Desertification in Iran. Hydrology 2019, 6, 66. [Google Scholar] [CrossRef]
- Signorell, A.; Aho, K.; Alfons, A.; Anderegg, N.; Aragon, T.; Arachchige, C.; Arppe, A.; Baddeley, A.; Barton, K.; Bolker, B.; et al. DescTools: Tools for Descriptive Statistics 2022. R package version 0.99.45. Available online: https://cran.r-project.org/package=DescTools (accessed on 8 September 2022).
- Naimi, B.; Hamm, N.; Groen, T.A.; Skidmore, A.K.; Toxopeus, A.G. Where Is Positional Uncertainty a Problem for Species Distribution Modelling. Ecography 2014, 37, 191–203. [Google Scholar] [CrossRef]
- Zhang, D. rsq: R-Squared and Related Measures; R package version 2.5. 2022. Available online: https://CRAN.R-project.org/package=rsq (accessed on 8 September 2022).
- Versace, S.; Antonucci, S.; Santopuoli, G.; Marchetti, M.; Tognetti, R. Local Environment Prevails over Population Variations in Growth-Climate Relationships of Pinus pinaster Provenances. Dendrochronologia 2022, 75, 125983. [Google Scholar] [CrossRef]
- Moreno-Fernández, D.; Cañellas, I.; Calama, R.; Gordo, J.; Sánchez-González, M. Thinning Increases Cone Production of Stone Pine (Pinus Pinea L.) Stands in the Northern Plateau (Spain). Ann. For. Sci. 2013, 70, 761–768. [Google Scholar] [CrossRef]
- Nguyen, T.T.; Tai, D.T.; Zhang, P.; Razaq, M.; Shen, H.L. Effect of Thinning Intensity on Tree Growth and Temporal Variation of Seed and Cone Production in a Pinus Koraiensis Plantation. J. For. Res. 2019, 30, 835–845. [Google Scholar] [CrossRef]
- Aussenac, G.; Granier, A. Effects of Thinning on Water Stress and Growth in Douglas-Fir. Can. J. For. Res. 1988, 18, 100–105. [Google Scholar] [CrossRef]
- Camarero, J.; Linares, J.; Sangüesa-Barreda, G.; Sanchez-Salguero, R.; Gazol, A.; Navarro Cerrillo, R.; Carreira, J. The Multiple Causes of Forest Decline in Spain: Drought, Historical Logging, Competition and Biotic Stressors; Dendroecology; Springer: Cham, Switzerland, 2017; Volume 231, pp. 307–323. [Google Scholar] [CrossRef]
- Manrique-alba, À.; Beguer, S.; Tomas-burguera, M. Increased Post-Drought Growth after Thinning in Pinus Nigra Plantations. Forests 2021, 12, 985. [Google Scholar] [CrossRef]
- Sohn, J.A.; Saha, S.; Bauhus, J. Potential of Forest Thinning to Mitigate Drought Stress: A Meta-Analysis. For. Ecol. Manag. 2016, 380, 261–273. [Google Scholar] [CrossRef]
- Sohn, J.A.; Gebhardt, T.; Ammer, C.; Bauhus, J.; Häberle, K.H.; Matyssek, R.; Grams, T.E.E. Mitigation of Drought by Thinning: Short-Term and Long-Term Effects on Growth and Physiological Performance of Norway Spruce (Picea abies). For. Ecol. Manag. 2013, 308, 188–197. [Google Scholar] [CrossRef]
- Matejka, F.; Janouš, D.; Hurtalová, T.; Rožnovský, J. Effects of Thinning on Microclimate of a Young Spruce Forest. Ekol. Bratisl. 2004, 23, 30–38. [Google Scholar]
- Hale, S.E. The Effect of Thinning Intensity on the Below-Canopy Light Environment in a Sitka Spruce Plantation. For. Ecol. Manag. 2003, 179, 341–349. [Google Scholar] [CrossRef]
- Di Matteo, G.; Voltas, J. Multienvironment Evaluation of Pinus pinaster Provenances: Evidence of Genetic Trade-Offs between Adaptation to Optimal Conditions and Resistance to the Maritime Pine Bast Scale (Matsucoccus feytaudi). For. Sci. 2016, 62, 553–563. [Google Scholar] [CrossRef]
- Moreno-Gutiérrez, C.; Battipaglia, G.; Cherubini, P.; Saurer, M.; Nicolás, E.; Contreras, S.; Querejeta, J.I. Stand Structure Modulates the Long-Term Vulnerability of Pinus halepensis to Climatic Drought in a Semiarid Mediterranean Ecosystem. Plant Cell Environ. 2012, 35, 1026–1039. [Google Scholar] [CrossRef]
- Mazza, G.; Amorini, E.; Cutini, A.; Manetti, M.C. The Influence of Thinning on Rainfall Interception by Pinus pinea L. in Mediterranean Coastal Stands (Castel Fusano-Rome). Ann. For. Sci. 2011, 68, 1323–1332. [Google Scholar] [CrossRef]
- Cocozza, C.; Palombo, C.; Tognetti, R.; la Porta, N.; Anichini, M.; Giovannelli, A.; Emiliani, G. Monitoring Intra-Annual Dynamics of Wood Formation with Microcores and Dendrometers in Picea abies at Two Different Altitudes. Tree Physiol. 2016, 36, 832–846. [Google Scholar] [CrossRef] [PubMed]
- Chambel, M.R.; Climent, J.; Alía, R. Divergence among Species and Populations of Mediterranean Pines in Biomass Allocation of Seedlings Grown under Two Watering Regimes. Ann. For. Sci. 2007, 64, 87–97. [Google Scholar] [CrossRef]
- Kuusk, V.; Niinemets, Ü.; Valladares, F. A Major Trade-off between Structural and Photosynthetic Investments Operative across Plant and Needle Ages in Three Mediterranean Pines. Tree Physiol. 2018, 38, 543–547. [Google Scholar] [CrossRef]
- Sánchez-Salguero, R.; Camarero, J.J.; Rozas, V.; Génova, M.; Olano, J.M.; Arzac, A.; Gazol, A.; Caminero, L.; Tejedor, E.; de Luis, M.; et al. Resist, Recover or Both? Growth Plasticity in Response to Drought Is Geographically Structured and Linked to Intraspecific Variability in Pinus pinaster. J. Biogeogr. 2018, 45, 1126–1139. [Google Scholar] [CrossRef]
- Greenwood, S.; Ruiz-Benito, P.; Martínez-Vilalta, J.; Lloret, F.; Kitzberger, T.; Allen, C.D.; Fensham, R.; Laughlin, D.C.; Kattge, J.; Bönisch, G.; et al. Tree Mortality across Biomes Is Promoted by Drought Intensity, Lower Wood Density and Higher Specific Leaf Area. Ecol. Lett. 2017, 20, 539–553. [Google Scholar] [CrossRef]
- Serra-Maluquer, X.; Mencuccini, M.; Martínez-Vilalta, J. Changes in Tree Resistance, Recovery and Resilience across Three Successive Extreme Droughts in the Northeast Iberian Peninsula. Oecologia 2018, 187, 343–354. [Google Scholar] [CrossRef]
- Mazza, G.; Manetti, M.C. Growth Rate and Climate Responses of Pinus pinea L. in Italian Coastal Stands over the Last Century. Clim. Change 2013, 121, 713–725. [Google Scholar] [CrossRef]
- Schwarz, J.; Skiadaresis, G.; Kohler, M.; Kunz, J.; Schnabel, F.; Vitali, V.; Bauhus, J. Quantifying Growth Responses of Trees to Drought—A Critique of Commonly Used Resilience Indices and Recommendations for Future Studies. Curr. For. Rep. 2020, 6, 185–200. [Google Scholar] [CrossRef]
- Kuusk, V.; Niinemets, Ü.; Valladares, F. Structural Controls on Photosynthetic Capacity through Juvenile-to-Adult Transition and Needle Ageing in Mediterranean Pines. Funct. Ecol. 2018, 32, 1479–1491. [Google Scholar] [CrossRef]
- Sarris, D.; Christodoulakis, D.; Körner, C. Recent Decline in Precipitation and Tree Growth in the Eastern Mediterranean. Glob. Chang. Biol. 2007, 13, 1187–1200. [Google Scholar] [CrossRef]
- Ryan, M.G.; Yoder, B.J. Hydraulic Limits to Tree Height and Tree Growth. Bioscience 1997, 47, 235–242. [Google Scholar] [CrossRef]
- Forrester, D.I.; Limousin, J.-M.; Pfautsch, S. The Relationship between Tree Size and Tree Water Use: Is Competition for Water Size-Symmetric or Size-Asymmetric? Tree Physiol. 2022, 42, 1916–1927. [Google Scholar] [CrossRef] [PubMed]
- Schwalm, C.R.; Anderegg, W.R.L.; Michalak, A.M.; Fisher, J.B.; Biondi, F.; Koch, G.; Litvak, M.; Ogle, K.; Shaw, J.D.; Wolf, A.; et al. Global Patterns of Drought Recovery. Nature 2017, 548, 202–205. [Google Scholar] [CrossRef] [PubMed]
- Rebetez, M.; Mayer, H.; Dupont, O.; Schinlder, D.; Gartner, K. Heat and Drought 2003 in Europe: A Climate Synthesis. Ann. For. Sci. 2006, 63, 569–577. [Google Scholar] [CrossRef]
- Hodgson, D.; McDonald, J.L.; Hosken, D.J. What Do You Mean, “Resilient”? Trends Ecol. Evol. 2015, 30, 503–506. [Google Scholar] [CrossRef]
- Tognetti, R.; Michelozzi, M.; Giovannelli, A. Geographical Variation in Water Relations, Hydraulic Architecture and Terpene Composition of Aleppo Pine Seedlings from Italian Provenances. Tree Physiol. 1997, 17, 241–250. [Google Scholar] [CrossRef]
- Pretzsch, H. The Social Drift of Trees. Consequence for Growth Trend Detection, Stand Dynamics, and Silviculture. Eur. J. For. Res. 2021, 140, 703–719. [Google Scholar] [CrossRef]
- Pretzsch, H. The Emergent Past: Past Natural and Human Disturbances of Trees Can Reduce Their Present Resistance to Drought Stress. Eur. J. For. Res. 2021, 141, 87–104. [Google Scholar] [CrossRef]
- Yang, B.; He, M.; Shishov, V.; Tychkov, I.; Vaganov, E.; Rossi, S.; Ljungqvist, F.C.; Bräuning, A.; Grießinger, J. New Perspective on Spring Vegetation Phenology and Global Climate Change Based on Tibetan Plateau Tree-Ring Data. Proc. Natl. Acad. Sci. USA 2017, 114, 6966–6971. [Google Scholar] [CrossRef]
- Grossiord, C.; Sevanto, S.; Limousin, J.M.; Meir, P.; Mencuccini, M.; Pangle, R.E.; Pockman, W.T.; Salmon, Y.; Zweifel, R.; McDowell, N.G. Manipulative Experiments Demonstrate How Long-Term Soil Moisture Changes Alter Controls of Plant Water Use. Environ. Exp. Bot. 2018, 152, 19–27. [Google Scholar] [CrossRef]
- Peltier, D.M.P.; Ogle, K. Legacies of More Frequent Drought in Ponderosa Pine across the Western United States. Glob. Chang. Biol. 2019, 25, 3803–3816. [Google Scholar] [CrossRef] [PubMed]
- Caminero, L.; Génova, M.; Camarero, J.J.; Sánchez-Salguero, R. Growth Responses to Climate and Drought at the Southernmost European Limit of Mediterranean Pinus pinaster Forests. Dendrochronologia 2018, 48, 20–29. [Google Scholar] [CrossRef]
- Alakärppä, E.; Salo, H.M.; Valledor, L.; Cañal, M.J.; Häggman, H.; Vuosku, J. Natural Variation of DNA Methylation and Gene Expression May Determine Local Adaptations of Scots Pine Populations. J. Exp. Bot. 2018, 69, 5293–5305. [Google Scholar] [CrossRef] [PubMed]
- Correia, I.; Alía, R.; Yan, W.; David, T.; Aguiar, A.; Correia, I.; Alía, R.; Yan, W.; David, T.; Aguiar, A.; et al. Genotype x Environment Interactions in Pinus pinaster at Age 10 in a Multi-Environment Trial in Portugal: A Maximum Likelihood Approach. Ann. For. Sci. 2010, 67, 612. [Google Scholar] [CrossRef]
- Rodriguez-Vallejo, C.; Navarro-Cerrillo, R.M.; Manzanedo, R.D.; Palacios Rodriguez, G.; Gazol, A.; Julio Camarero, J. High Resilience, but Low Viability, of Pine Plantations in the Face of a Shift towards a Drier Climate. For. Ecol. Manag. 2021, 479, 118537. [Google Scholar] [CrossRef]
- Müller, L.M.; Bahn, M. Drought Legacies and Ecosystem Responses to Subsequent Drought. Glob. Chang. Biol. 2022, 28, 5086–5103. [Google Scholar] [CrossRef]




| Site | Latitude N | Longitude E | Altitude m a.s.l. | Aspect | Permeability | Soil Texture | Trees n./ha | Basal Area m2/ha | Volume m3/ha | DMI |
|---|---|---|---|---|---|---|---|---|---|---|
| Montarbu | 39°54′25″ | 9°23′13″ | 900 | N | Low | Loam | 1239 | 65 | 475 | 37 |
| Montes | 40°07′48″ | 9°22′37″ | 985 | N-E | Low | Loam | 748 | 58 | 458 | 41.43 |
| Uatzo | 39°58′49″ | 9°08′34″ | 770 | E | Low | Loam | 1109 | 64 | 560 | 35.3 |
| Usinavà | 40°41′40″ | 9°34′48″ | 750 | S-E | Mid | Sandy loam | 696 | 49 | 379 | 25.09 |
| Climate Type | DMI Values |
|---|---|
| Arid | DMI ≤ 10 |
| Semi-arid | 10 ≤ DMI < 20 |
| Mediterranean | 20 ≤ DMI < 24 |
| Semi-humid | 24 ≤ DMI < 28 |
| Humid | 28 ≤ DMI < 35 |
| Very humid | 35 ≤ DMI 55 |
| Extremely humid | DMI > 55 |
| Corsica | Portugal | Telti & Limbara | Tuscany | |
|---|---|---|---|---|
| Total precipitation (mm) | 726 | 953 | 653 | 808 |
| Mean temperature (°C) | 10.5 | 15.5 | 13.1 | 12.4 |
| De Martonne Index | 35.38 (a) | 37.35 (a) | 28.21 (b) | 36.13 (a) |
| Resistance | Resilience | Recovery | ||||
|---|---|---|---|---|---|---|
| Estimate | SE | Estimate | SE | Estimate | SE | |
| (Intercept) | 0.50 ** | 0.17 | 1.51 *** | 0.11 | 2.87 *** | 0.25 |
| T min | 0.05 *** | 0.01 | 0.01 | 0.01 | −0.02 ** | 0.01 |
| T max | 0.02 ** | 0.01 | --- | --- | ||
| Height | −0.02 *** | 0.01 | −0.03 *** | 0.01 | −0.01 * | 0.00 |
| DBH | --- | --- | --- | |||
| SPEI6AUG | --- | 0.60 ** | 0.18 | 0.97 *** | 0.17 | |
| AIC | −153.44 | −118.58 | −128.16 | |||
| R2 | 0.39 | 0.25 | 0.26 | |||
Publisher’s Note: MDPI stays neutral with regard to jurisdictional claims in published maps and institutional affiliations. |
© 2022 by the authors. Licensee MDPI, Basel, Switzerland. This article is an open access article distributed under the terms and conditions of the Creative Commons Attribution (CC BY) license (https://creativecommons.org/licenses/by/4.0/).
Share and Cite
Lisella, C.; Antonucci, S.; Santopuoli, G.; Marchetti, M.; Tognetti, R. Assessing Resilience Components in Maritime Pine Provenances Grown in Common Gardens. Forests 2022, 13, 1986. https://doi.org/10.3390/f13121986
Lisella C, Antonucci S, Santopuoli G, Marchetti M, Tognetti R. Assessing Resilience Components in Maritime Pine Provenances Grown in Common Gardens. Forests. 2022; 13(12):1986. https://doi.org/10.3390/f13121986
Chicago/Turabian StyleLisella, Concetta, Serena Antonucci, Giovanni Santopuoli, Marco Marchetti, and Roberto Tognetti. 2022. "Assessing Resilience Components in Maritime Pine Provenances Grown in Common Gardens" Forests 13, no. 12: 1986. https://doi.org/10.3390/f13121986
APA StyleLisella, C., Antonucci, S., Santopuoli, G., Marchetti, M., & Tognetti, R. (2022). Assessing Resilience Components in Maritime Pine Provenances Grown in Common Gardens. Forests, 13(12), 1986. https://doi.org/10.3390/f13121986

