Exploring the Relationship between Forest Scenic Beauty with Color Index and Ecological Integrity: Case Study of Jiuzhaigou and Giant Panda National Park in Sichuan, China
Abstract
1. Introduction
2. Materials and Methods
2.1. Study Area
2.2. Data Collection
2.2.1. Collection and Screening of Photos
2.2.2. Collection of Ecological Integrity Data
2.3. Scenic Beauty Estimation (SBE) Method
2.3.1. Questionnaire Survey
2.3.2. Score Standardization
2.3.3. Rank Order Method
2.4. Extraction and Quantification of the Color Index
2.4.1. Color Quantization Based on the HSV Model
2.4.2. Selection of Color Component Indicators
2.5. Ecological Integrity Calculation
3. Results
3.1. Scenic Beauty Evaluation
3.1.1. Reliability of the Questionnaires
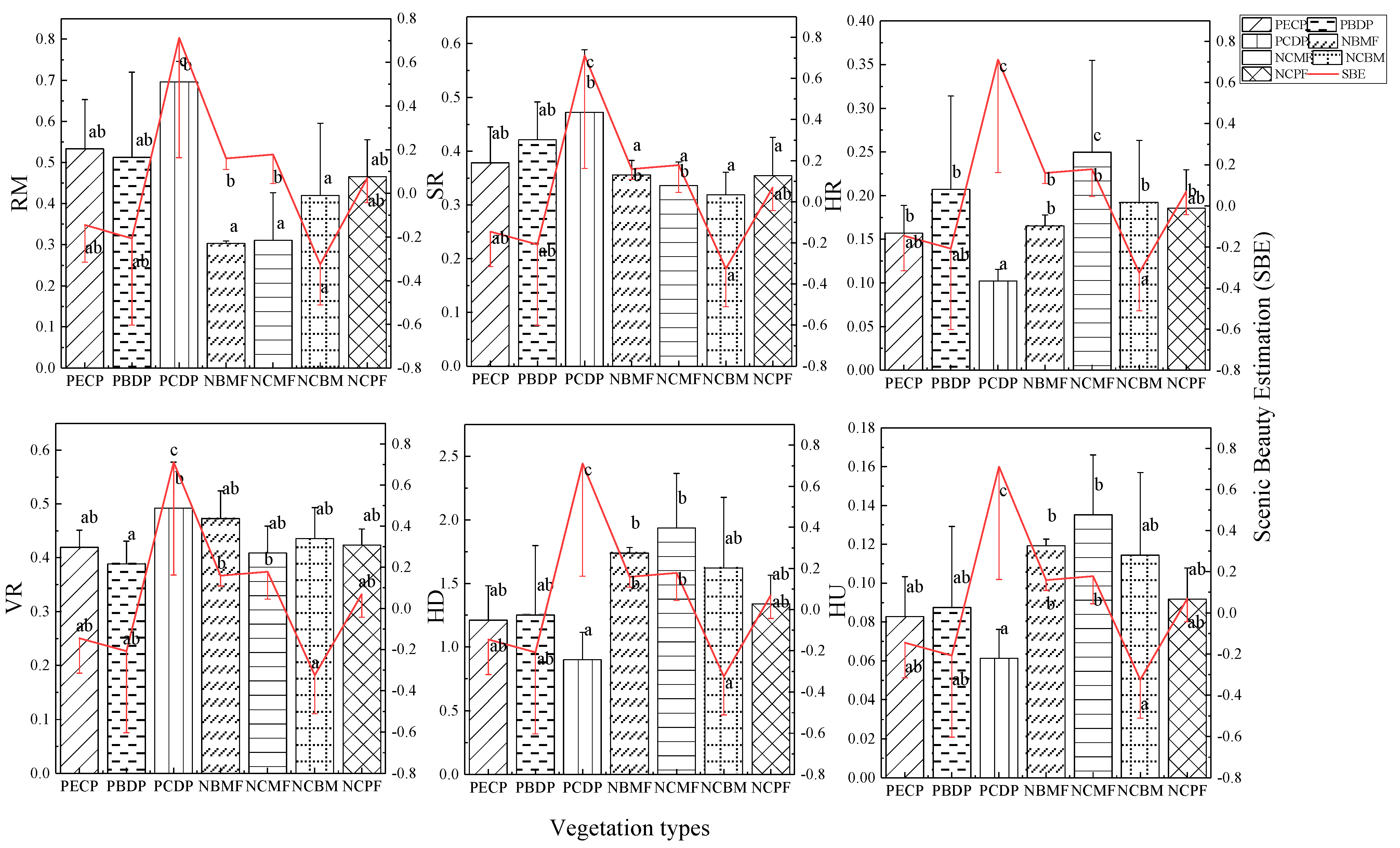
3.1.2. SBE in Different Types of Vegetation
3.2. SBE and Color Indices
3.2.1. Correlation Analysis
3.2.2. The Difference between Beauty and the Color Index
3.3. SBE and Ecological Integrity
4. Discussion
4.1. SBE among Different Types of Vegetation
4.2. Influence of the Color Index on Vegetation Beauty
4.3. Relationship between SBE and Ecological Integrity
5. Conclusions
5.1. Recommendations
5.2. Prospects and Limitations
Supplementary Materials
Author Contributions
Funding
Data Availability Statement
Conflicts of Interest
References
- Arif, U.; Hussain, A.; Nizami, M.; Ullah, H. Potential of forest landscape restoration in selected geo-heritage sites in district Haripur, Khyber Pakhtunkhwa, Pakistan. Environ. Dev. Sustain. 2022. [Google Scholar] [CrossRef]
- Tahvanainen, L.; Tyrväinen, L.; Ihalainen, M.; Vuorela, N.; Kolehmainen, O. Forest management and public perceptions—Visual versus verbal information. Landsc. Urban Plan. 2001, 53, 53–70. [Google Scholar] [CrossRef]
- An, C.; Liu, J.; Liu, Q.; Liu, Y.; Fan, X.; Hu, Y. How Perceived Sensory Dimensions of Forest Park Are Associated with Stress Restoration in Beijing? Int. J. Environ. Res. Public Health 2022, 19, 883. [Google Scholar] [CrossRef] [PubMed]
- Gong, L.; Zhang, Z.D.; Xu, C.Y. Developing a Quality Assessment Index System for Scenic Forest Management: A Case Study from Xishan Mountain, Suburban Beijing. Forests 2015, 6, 225–243. [Google Scholar] [CrossRef]
- Saha, N.; Mukul, S.A. Visitor’s Willingness to Pay for Cultural Ecosystem Services in Bangladesh: An Assessment for Lawachara National Park, a Biodiversity Hotspot. Small-Scale For. 2021, 21, 185–201. [Google Scholar] [CrossRef]
- Peng, J.; Xiao, H.; Wang, R.; Qi, Y. The Impacts of Establishing Pilot National Parks on Local Residents’ Livelihoods and Their Coping Strategies in China: A Case Study of Qilianshan National Park. Sustainability 2022, 14, 3537. [Google Scholar] [CrossRef]
- Walpole, M.J.; Goodwin, H.J. Local attitudes towards conservation and tourism around Komodo National Park, Indonesia. Environ. Conserv. 2001, 28, 160–166. [Google Scholar] [CrossRef]
- Mukul, S.; Rashid, A.Z.M.M.; Quazi, S.; Uddin, M.; Fox, J. Local peoples’ response to co-management in protected areas: A case study from Satchari National Park, Bangladesh. For. Trees Livelihoods 2012, 21, 16–29. [Google Scholar] [CrossRef]
- Balmford, A.; Green, J.M.H.; Anderson, M.; Beresford, J.; Huang, C.; Naidoo, R.; Walpole, M.; Manica, A. Walk on the Wild Side: Estimating the Global Magnitude of Visits to Protected Areas. PLoS Biol. 2015, 13, e1002074. [Google Scholar] [CrossRef]
- Le Thanh, A.; Markowski, J.; Bartos, M.; Rzeńca, A.; Namiecinski, P. An evaluation of destination attractiveness for nature-based tourism: Recommendations for the management of national parks in Vietnam. Nat. Conserv.-Bulg. 2019, 32, 51–80. [Google Scholar] [CrossRef]
- Schägner, J.P.; Brander, L.; Maes, J.; Paracchini, M.L.; Hartje, V. Mapping recreational visits and values of European National Parks by combining statistical modelling and unit value transfer. J. Nat. Conserv. 2016, 31, 71–84. [Google Scholar] [CrossRef]
- Sherrouse, B.C.; Semmens, D.J.; Ancona, Z.H.; Brunner, N.M. Analyzing land-use change scenarios for trade-offs among cultural ecosystem services in the Southern Rocky Mountains. Ecosyst. Serv. 2017, 26, 431–444. [Google Scholar] [CrossRef]
- Pérez-Hernández, E.; Peña-Alonso, C.; Fernández-Cabrera, E.; Hernández-Calvento, L. Assessing the scenic quality of transgressive dune systems on volcanic islands. The case of Corralejo (Fuerteventura island, Spain). Sci. Total Environ. 2021, 784, 147050. [Google Scholar] [CrossRef] [PubMed]
- Alvarez-Codoceo, S.; Cerda, C.; Perez-Quezada, J.F. Mapping the provision of cultural ecosystem services in large cities: The case of The Andean piedmont in Santiago, Chile. Urban For. Urban Green. 2021, 66, 127390. [Google Scholar] [CrossRef]
- Balzan, M.V.; Caruana, J.; Zammit, A. Assessing the capacity and flow of ecosystem services in multifunctional landscapes: Evidence of a rural-urban gradient in a Mediterranean small island state. Land Use Policy 2018, 75, 711–725. [Google Scholar] [CrossRef]
- Wang, Z.; Li, M.Y.; Zhang, X.H.; Song, L.Y. Modeling the scenic beauty of autumnal tree color at the landscape scale: A case study of Purple Mountain, Nanjing, China. Urban For. Urban Green. 2020, 47, 126526. [Google Scholar] [CrossRef]
- Ribe, R.G. In-stand scenic beauty of variable retention harvests and mature forests in the US Pacific Northwest: The effects of basal area, density, retention pattern and down wood. J. Environ. Manag. 2009, 91, 245–260. [Google Scholar] [CrossRef]
- Tadesse, T.; Teklay, G.; Mulatu, D.W.; Rannestad, M.M.; Meresa, T.M.; Woldelibanos, D. Forest benefits and willingness to pay for sustainable forest management. FOREST Policy Econ. 2022, 138, 102721. [Google Scholar] [CrossRef]
- Lindenmayer, D.; Taylor, C. Diversifying Forest Landscape Management—A Case Study of a Shift from Native Forest Logging to Plantations in Australian Wet Forests. Land 2022, 11, 407. [Google Scholar] [CrossRef]
- Tribot, A.-S.; Mouquet, N.; Villéger, S.; Raymond, M.; Hoff, F.; Boissery, P.; Holon, F.; Deter, J. Taxonomic and functional diversity increase the aesthetic value of coralligenous reefs. Sci. Rep. 2016, 6, srep34229. [Google Scholar] [CrossRef]
- Baumeister, C.F.; Gerstenberg, T.; Plieninger, T.; Schraml, U. Exploring cultural ecosystem service hotspots: Linking multiple urban forest features with public participation mapping data. Urban For. Urban Green. 2020, 48, 126561. [Google Scholar] [CrossRef]
- Taye, F.A.; Folkersen, M.V.; Fleming, C.M.; Buckwell, A.; Mackey, B.; Diwakar, K.C.; Le, D.; Hasan, S.; Saint Ange, C. The economic values of global forest ecosystem services: A meta-analysis. Ecol. Econ. 2021, 189, 107145. [Google Scholar] [CrossRef]
- Gosal, A.S.; Ziv, G. Landscape aesthetics: Spatial modelling and mapping using social media images and machine learning. Ecol. Indic. 2020, 117, 106638. [Google Scholar] [CrossRef]
- Frank, S.; Fürst, C.; Koschke, L.; Witt, A.; Makeschin, F. Assessment of landscape aesthetics—Validation of a landscape metrics-based assessment by visual estimation of the scenic beauty. Ecol. Indic. 2013, 32, 222–231. [Google Scholar] [CrossRef]
- Levering, A.; Marcos, D.; Tuia, D. On the relation between landscape beauty and land cover: A case study in the UK at Sentinel-2 resolution with interpretable AI. Isprs J. Photogramm. Remote Sens. 2021, 177, 194–203. [Google Scholar] [CrossRef]
- Costanza, R.; dArge, R.; de Groot, R.; Farber, S.; Grasso, M.; Hannon, B.; Limburg, K.; Naeem, S.; Oneill, R.V.; Paruelo, J.; et al. The value of the world’s ecosystem services and natural capital. Nature 1997, 387, 253–260. [Google Scholar] [CrossRef]
- Chidakel, A.; Child, B.; Muyengwa, S. Evaluating the economics of park-tourism from the ground-up: Leakage, multiplier effects, and the enabling environment at South Luangwa National Park, Zambia. Ecol. Econ. 2021, 182, 106960. [Google Scholar] [CrossRef]
- Di, F.; Yang, Z.; Liu, X.; Wu, J.; Ma, Z. Estimation on Aesthetic Value of Tourist Landscapes in a Natural Heritage Site: Kanas National Nature Reserve, Xinjiang, China. J. Chin. Geogr. Sci. 2010, 20, 59–65. [Google Scholar] [CrossRef]
- Bachi, L.; Ribeiro, S.C.; Hermes, J.; Saadi, A. Cultural Ecosystem Services (CES) in landscapes with a tourist vocation: Mapping and modeling the physical landscape components that bring benefits to people in a mountain tourist destination in southeastern Brazil. Tour. Manag. 2020, 77, 104017. [Google Scholar] [CrossRef]
- Duan, X.; Yang, S. Progress of ecological environment protection and restoration in China’s Giant Panda National Park. IOP Conf. Ser. Earth Environ. Sci. 2020, 446, 032027. [Google Scholar] [CrossRef]
- Marques, M.; Juerges, N.; Borges, J.G. Appraisal framework for actor interest and power analysis in forest management—Insights from Northern Portugal. For. Policy Econ. 2020, 111, 102049. [Google Scholar] [CrossRef]
- Daniel, T.C.; Vining, J. Methodological Issues in the Assessment of Landscape Quality. In Behavior and the Natural Environment; Springer: Boston, MA, USA, 1983; pp. 39–84. [Google Scholar] [CrossRef]
- Mo, L.; Chen, J.; Xie, Y. Assessment of landscape resource using the scenic beauty estimation method at compound ecological system. Environ. Sci. Pollut. Res. 2021, 28, 5892–5899. [Google Scholar] [CrossRef] [PubMed]
- Daniel, T.C.; Wheeler, L.; Boster, R.S.; Best, P.R. Quantitative evaluation of landscapes: An application of signal detection analysis to forest management alternatives. Man-Environ. Syst. 1973, 3, 330–344. [Google Scholar]
- Patsfall, M.R.; Feimer, N.R.; Buhyoff, G.J.; Wellman, J.D. The prediction of scenic beauty from landscape content and composition. J. Environ. Psychol. 1984, 4, 7–26. [Google Scholar] [CrossRef]
- Sulistyantara, B.; Sesara, R. Evaluation of Aesthetic Function and Thermal Modification of Vertical Greenery at Bogor City, Indonesia. In Proceedings of the 2nd International Symposium on Sustainable Landscape Development (ISSLD), Bogor, Indonesia, 9–10 November 2017. [Google Scholar] [CrossRef]
- Urbis, A.; Povilanskas, R.; Šimanauskienė, R.; Taminskas, J. Key Aesthetic Appeal Concepts of Coastal Dunes and Forests on the Example of the Curonian Spit (Lithuania). Water 2019, 11, 1193. [Google Scholar] [CrossRef]
- Iv, R.J.L. Sensitivity of scenic beauty assessments. Landsc. Urban Plan. 1986, 13, 319–321. [Google Scholar]
- Li, H.; Shi, K.; Wang, Y.; Li, Y.; Feng, Y. Research on scenic beauty estimation of plant landscape on the roof on SBE method. Arab. J. Geosci. 2021, 14, 882. [Google Scholar] [CrossRef]
- Peng, S.-H.; Han, K.-T. Assessment of Aesthetic Quality on Soil and Water Conservation Engineering Using the Scenic Beauty Estimation Method. Water 2018, 10, 407. [Google Scholar] [CrossRef]
- Nijboer, T.C.; Kanai, R.; de Haan, E.H.; van der Smagt, M.J. Recognising the forest, but not the trees: An effect of colour on scene perception and recognition. Conscious Cogn. 2008, 17, 741–752. [Google Scholar] [CrossRef][Green Version]
- Mu, Y.; Lin, W.; Diao, X.; Zhang, Z.; Wang, J.; Lu, Z.; Guo, W.; Wang, Y.; Hu, C.; Zhao, C. Implementation of the visual aesthetic quality of slope forest autumn color change into the configuration of tree species. Sci. Rep. 2022, 12, 1034. [Google Scholar] [CrossRef]
- Liu, J.; Cheng, H.; Jiang, D.; Huang, L. Impact of climate-related changes to the timing of autumn foliage colouration on tourism in Japan. Tour. Manag. 2019, 70, 262–272. [Google Scholar] [CrossRef]
- Zhang, X. Study on Color Characteristics Changes and Landscape Aesthetic Quality Evaluation of Landscape Forest in Subalpine Region of Western Sichuan, China. Master Thesis, Southwest University, Chongqing, China, 2020. (In Chinese). [Google Scholar]
- Nurfaida; Arifin, H.S.; Sitorus, S.R.P.; Eriyatno. Assessing scenic beauty of culture-based landscapes in North Toraja Regency. IOP Conf. Ser. Earth Environ. Sci. 2019, 399, 012040. [Google Scholar] [CrossRef]
- Ye, Y.; Zhang, X. Exploration of global spatiotemporal changes of fall foliage coloration in deciduous forests and shrubs using the VIIRS land surface phenology product. Sci. Remote Sens. 2021, 4, 100030. [Google Scholar] [CrossRef]
- Halstead, B.J.; Ray, A.M.; Muths, E.; Grant, E.H.C.; Grasso, R.; Adams, M.J.; Delaney, K.S.; Carlson, J.; Hossack, B.R. Looking ahead, guided by the past: The role of US national parks in amphibian research and conservation. Ecol. Indic. 2022, 136, 108631. [Google Scholar] [CrossRef]
- Zhang, Z.; Qie, G.; Wang, C.; Jiang, S.; Li, X.; Li, M. Relationship between Forest Color Characteristics and Scenic Beauty: Case Study Analyzing Pictures of Mountainous Forests at Sloped Positions in Jiuzhai Valley, China. Forests 2017, 8, 63. [Google Scholar] [CrossRef]
- Cook, P.S.; Cable, T.T. The scenic beauty of shelterbelts on the Great Plains. Landsc. Urban Plan. 1995, 32, 63–69. [Google Scholar] [CrossRef]
- Bishop, I.D. Comparing regression and neural net based approaches to modelling of scenic beauty. Landsc. Urban Plan. 1996, 34, 125–134. [Google Scholar] [CrossRef]
- Rahmandari, A.V.; Gunawan, A.; Mugnisjah, W.Q. An evaluation of visual aesthetic quality of pedestrian pathways based on ecological network corridor within campus landscape. IOP Conf. Ser. Earth Environ. Sci. 2018, 179, 012010. [Google Scholar] [CrossRef]
- Ebenberger, M.; Arnberger, A. Exploring visual preferences for structural attributes of urban forest stands for restoration and heat relief. Urban For. Urban Green. 2019, 41, 272–282. [Google Scholar] [CrossRef]
- Bogaert, J. Forests and landscapes—Linking ecology, sustainability and aesthetics (S.R.J. Sheppard, H.W. Harshaw). Landsc. Urban Plan. 2002, 59, 125–127. [Google Scholar] [CrossRef]
- Parrish, J.D.; Braun, D.P.; Unnasch, R.S. Are We Conserving What We Say We Are? Measuring Ecological Integrity within Protected Areas. BioScience 2003, 53, 851–860. [Google Scholar] [CrossRef]
- Rissman, A.R.; Burke, K.D.; Kramer, H.A.C.; Radeloff, V.C.; Schilke, P.R.; Selles, O.A.; Toczydlowski, R.H.; Wardropper, C.B.; Barrow, L.A.; Chandler, J.L.; et al. Forest management for novelty, persistence, and restoration influenced by policy and society. Front. Ecol. Environ. 2018, 16, 454–462. [Google Scholar] [CrossRef]
- Hansen, M.M.; Jones, R.; Tocchini, K. Shinrin-Yoku (Forest Bathing) and Nature Therapy: A State-of-the-Art Review. Int. J. Environ. Res. Public Health 2017, 14, 851. [Google Scholar] [CrossRef] [PubMed]
- Li, Q.; Du, Y.; Liu, Y.; Chen, J.; Zhang, X.; Liu, J.; Tao, J. Canopy Gaps Improve Landscape Aesthetic Service by Promoting Autumn Color-Leaved Tree Species Diversity and Color-Leaved Patch Properties in Subalpine Forests of Southwestern China. Forests 2021, 12, 199. [Google Scholar] [CrossRef]
- Ribe, R.G. Aesthetic perceptions of green-tree retention harvests in vista views: The interaction of cut level, retention pattern and harvest shape. Landsc. Urban Plan. 2005, 73, 277–293. [Google Scholar] [CrossRef]
- Zhuang, J.; Qiao, L.; Zhang, X.; Su, Y.; Xia, Y. Effects of Visual Attributes of Flower Borders in Urban Vegetation Landscapes on Aesthetic Preference and Emotional Perception. Int. J. Environ. Res. Public Health 2021, 18, 9318. [Google Scholar] [CrossRef]
- Buhyoff, G.J.; Arndt, L.K.; Propst, D.B. Interval scaling of landscape preference by direct-measurement and indirect-measurement methods. Landsc. Urban Plan. 1981, 8, 257–267. [Google Scholar] [CrossRef]
- Chen, X.; Jia, K. Application of three-dimensional quantized color histogram in color image retrieval. Comput. Appl. Softw. 2012, 29, 31–32+40. (In Chinese) [Google Scholar]
- Moretti, G.; Marsland, S.; Lyons, P. Computational production of colour harmony. Part 2: Experimental evaluation of a tool for gui colour scheme creation. J. Color Res. Appl. 2013, 3, 8218–8228. [Google Scholar] [CrossRef]
- Zijlema, W.L.; Triguero-Mas, M.; Cirach, M.; Gidlow, C.; Kruize, H.; Grazuleviciene, R.; Nieuwenhuijsen, M.J.; Litt, J.S. Understanding correlates of neighborhood aesthetic ratings: A European-based Four City comparison. Urban For. Urban Green. 2020, 47, 126523. [Google Scholar] [CrossRef]
- Deng, S.Q.; Yan, J.F.; Guan, Q.W.; Katoh, M. Short-term effects of thinning intensity on scenic beauty values of different stands. J. For. Res. 2013, 18, 209–219. [Google Scholar] [CrossRef]
- Janeczko, E.; Bielinis, E.; Tiarasari, U.; Woźnicka, M.; Kędziora, W.; Przygodzki, S.; Janeczko, K. How Dead Wood in the Forest Decreases Relaxation? The Effects of Viewing of Dead Wood in the Forest Environment on Psychological Responses of Young Adults. Forests 2021, 12, 871. [Google Scholar] [CrossRef]
- Brown, E.D.; Williams, B.K. Ecological integrity assessment as a metric of biodiversity: Are we measuring what we say we are? Biodivers. Conserv. 2016, 25, 1011–1035. [Google Scholar] [CrossRef]
- Deng, S.Q.; Yin, N.; Guan, Q.W.; Katoh, M. Dynamic response of the scenic beauty value of different forests to various thinning intensities in central eastern China. Environ. Monit. Assess. 2014, 186, 7413–7429. [Google Scholar] [CrossRef]
- Chen, H.J. Complementing conventional environmental impact assessments of tourism with ecosystem service valuation: A case study of the Wulingyuan Scenic Area, China. Ecosyst. Serv. 2020, 43, 101100. [Google Scholar] [CrossRef]
- Gobster, P.H.; Arnberger, A.; Schneider, I.E.; Floress, K.M.; Haines, A.L.; Dockry, M.J.; Benton, C. Restoring a “scenically challenged” landscape: Landowner preferences for pine barrens treatment practices. Landsc. Urban Plan. 2021, 211, 104104. [Google Scholar] [CrossRef]






| Basic Information | Category | Number | Percent(%) | Basic Information | Category | Number | Percent(%) |
|---|---|---|---|---|---|---|---|
| Gender | Men | 122 | 45.52 | Education | Primary education | 6 | 2.24 |
| Women | 146 | 54.48 | Junior education | 11 | 4.10 | ||
| Age | Under 20 years old | 50 | 18.66 | College | 112 | 41.79 | |
| 20–40 years old | 194 | 72.38 | Graduate | 139 | 51.87 | ||
| 40–60 years old | 22 | 8.21 | Work or Major about forests | Yes | 84 | 31.34 | |
| 60 years old or older | 2 | 0.75 | No | 184 | 68.66 |
| Color Index | Formula | Parameter Meaning |
|---|---|---|
| Hue Ratio (HR) | H = Hi/An | Hi represents the sum of pixels of the ith hue (i = 1…16); An represents the total number of pixels |
| Saturation Ratio (SR) | S = Si/An | Si represents the sum of pixels of the ith saturation (i = 1…16); An represents the total number of pixels |
| Value Ratio (VR) | V = Vi/An | Vi represents the sum of pixels of the ith value (i = 1…16); An represents the total number of pixels |
| Maximum Hue Index (MH) | MH = SM/An | SM represents the maximum hue pixel; An represents the total number of pixels |
| Adjacent color ratio (AC) | AC = SA/An | SA represents the adjacent color pixel; An represents the total number of pixels |
| Complementary color ratio (CC) | CC = SC/An | SC represents the complementary color pixel; An represents the total number of pixels |
| Cool to warm color ratio (CW) | CW = SW/An | SW represents the cool to warm color pixel; An represents the total number of pixels |
| Hue diversity (HD) | Pi represents the ratio of the ith hue pixel to the total number of pixels, i = 1, 2,…, 16 | |
| Hue uniformity (HU) | HU = HD/ln(SL) | HD represents hue diversity; An represents the total number of pixels |
| SBE | MH | CW | CC | AC | HD | HU | HR | SR | VR | |
|---|---|---|---|---|---|---|---|---|---|---|
| SBE | 1 | |||||||||
| MH | 0.229 | 1 | ||||||||
| CW | 0.082 | −0.536 ** | 1 | |||||||
| CC | 0.019 | −0.535 ** | 0.650 ** | 1 | ||||||
| AC | −0.203 | −0.487 ** | 0.309 | 0.271 | 1 | |||||
| HD | −0.141 | −0.910 ** | 0.664 ** | 0.676 ** | 0.508 ** | 1 | ||||
| HU | −0.153 | −0.897 ** | 0.661** | 0.671 ** | 0.498 ** | 0.998 ** | 1 | |||
| HR | −0.041 | −0.626 ** | 0.888 ** | 0.759 ** | 0.343 * | 0.786 ** | 0.791 ** | 1 | ||
| SR | 0.373 * | 0.554 ** | −0.416 * | −0.368 * | −0.542 ** | −0.663 ** | −0.661 ** | −0.561 ** | 1 | |
| VR | 0.491 ** | 0.033 | −0.018 | 0.115 | 0.139 | 0.024 | 0.016 | −0.039 | 0.148 | 1 |
Publisher’s Note: MDPI stays neutral with regard to jurisdictional claims in published maps and institutional affiliations. |
© 2022 by the authors. Licensee MDPI, Basel, Switzerland. This article is an open access article distributed under the terms and conditions of the Creative Commons Attribution (CC BY) license (https://creativecommons.org/licenses/by/4.0/).
Share and Cite
Jia, H.; Luo, P.; Yang, H.; Luo, C.; Li, H.; Wu, S.; Cheng, Y.; Huang, Y.; Xie, W. Exploring the Relationship between Forest Scenic Beauty with Color Index and Ecological Integrity: Case Study of Jiuzhaigou and Giant Panda National Park in Sichuan, China. Forests 2022, 13, 1883. https://doi.org/10.3390/f13111883
Jia H, Luo P, Yang H, Luo C, Li H, Wu S, Cheng Y, Huang Y, Xie W. Exploring the Relationship between Forest Scenic Beauty with Color Index and Ecological Integrity: Case Study of Jiuzhaigou and Giant Panda National Park in Sichuan, China. Forests. 2022; 13(11):1883. https://doi.org/10.3390/f13111883
Chicago/Turabian StyleJia, Honghong, Peng Luo, Hao Yang, Chuan Luo, Honglin Li, Sujuan Wu, Yue Cheng, Yu Huang, and Wenwen Xie. 2022. "Exploring the Relationship between Forest Scenic Beauty with Color Index and Ecological Integrity: Case Study of Jiuzhaigou and Giant Panda National Park in Sichuan, China" Forests 13, no. 11: 1883. https://doi.org/10.3390/f13111883
APA StyleJia, H., Luo, P., Yang, H., Luo, C., Li, H., Wu, S., Cheng, Y., Huang, Y., & Xie, W. (2022). Exploring the Relationship between Forest Scenic Beauty with Color Index and Ecological Integrity: Case Study of Jiuzhaigou and Giant Panda National Park in Sichuan, China. Forests, 13(11), 1883. https://doi.org/10.3390/f13111883
