Abstract
Evaluating how different tree species and substrates affect the microbial and physicochemical properties of technosols from combustion wastes and reclaimed mine soil (RMS) is vital in species selection to enhance restored ecosystem services. This research aimed to evaluate the impact of pioneer and N-fixing tree species and substrates on the post-mining soil microbial and physicochemical properties. Common birch (Betula pendula Roth) and Scots pine (Pinus sylvestris L.), as the commonly introduced species on reclaimed mine soils (RMS) in eastern and central Europe, were selected as pioneer species, whereas black alder (Alnus glutinosa (L) Gaernt.) and black locust (Robinia pseudoacacia L.) were selected as N-fixer species. Soil samples were collected from different RMS developed from three substrates (fly ashes, clay, and sand) and measured for the content of total nitrogen (Nt), organic carbon (Corg), exchangeable calcium (Ca2+), exchangeable potassium (K+), exchangeable magnesium (Mg2+), C to N ratio (C:N), basal respiration rate (RESP), and microbial biomass carbon (Cmic). The research indicated that tested tree species influenced water holding capacity (WHC), Nt, C:N, and RESP value. The highest Nt accumulation in soil was observed under N-fixing, but it did not transfer into higher organic carbon content under N-fixers. The soil under pine had a greater C:N ratio than the soil under birch, alder, and locust. The RESP rate was highest under birch. In terms of substrate type, RMS developed on Miocene clays exhibited higher carbon and macronutrient contents followed by ashes, whereas sands exhibited the lowest values of both physicochemical and microbial properties. The study suggested that both tree species and substrates affect microbial activities and physicochemical properties of RMS; however, the substrate effect is stronger.
1. Introduction
The exploitation of minerals and other geological materials (such as sand and coal) is the primary driver of ecosystem service degradation [1,2]. The post-mining soil usually exhibits disturbed water–air–soil relationships, very low soil microbial biomass, deficiency of available water, variation in texture (from high clay content to dominant coarse fraction), highly acid or alkaline pH, and nutrient deficiency [3,4,5,6]. These features restrict the growth and development of trees in reclaimed mine soils (RMS) [7,8]. Additionally, the planted trees frequently face significant constraints of essential nutrient supply [9,10]. However, if appropriate reclamation and rehabilitation methods are implemented, post-mining sites have a high potential for ecosystem services [11,12,13]. Afforestation is likely one of the most promising methods of mitigating the effects of exploitation and land degradation by mining and industry [8,14]. It is vital for the accumulation of soil organic matter (SOM), which supports soil biota and releases essential nutrients to the soil [15,16,17], and thus for the redevelopment of sustainable ecosystems and their services in a changing climate [16].
The period of restoration and achievement of a sustainable novel ecosystem on a post-mining site is highly dependent on the species selected for afforestation [8]. Different tree species produce litter and root inputs with varying properties that significantly influence microbial activities and soil physicochemical properties in RMS [18,19,20,21]. As a result, the ability of different tree species to stabilize soils, increase soil organic carbon, and increase available nutrient content varies greatly [22]. Pioneer tree species, especially common birch (Betula pendula Roth) and Scots pine (Pinus sylvestris L.), and N-fixers such as black alder (Alnus glutinosa (L.) Gaertn.) and black locust (Robinia pseudoacacia L.) are commonly selected for restoration of post-mining sites in eastern and central Europe [23].
Afforestation of mining sites with pioneer species initiates the colonization process of soil biota and development of ecological functions [24,25]. N-fixing species accumulate more nitrogen in soils and soils under these species exhibit lower carbon to nitrogen (C:N) ratios and are often used for soil quality improvement [25,26,27,28]. However, their effect on biological properties of RMS is deviating. For example, Šourková et al. [29] observed higher microbial biomass in RMS under alder than under pine. On the other hand, Chodak and Niklińska [30] observed higher microbial biomass, basal respiration, and dehydrogenase activity in post-mining soils under birch than under alder.
Tree species growing in post-mining areas experience a variety of effects on their rhizosphere soil properties, which may influence their growth and survival directly or indirectly [9]. Soil enzymes released by microorganisms increase the rate of plant residues’ decomposition and enhance release of plant available nutrients from organic resources [31]. Microorganisms in soil can increase soil porosity [32], aggregation [33], water retention [32], and organic matter turnover [34] and enhance soil fertility by improving nutrients [35], thereby increasing nutrient supply to trees planted on RMS. Therefore, tree species have considerable species-specific effects on soil properties by litters and root exudates. However, the effect of tree species on RMS properties may be modified by the quality of soil substrate [36]. Chodak and Niklińska [37] observed that the effect of substrate texture on microbiological properties of RMS was stronger than the effect of tree species.
The study on the influence of N-fixing and pioneer tree species and substrates on the physicochemical and microbial parameters of post-mining soils is limited. Thus, it is vital to know how specific tree species selected to afforest post-mining sites affect the properties of the soils. We hypothesized that differences in microbial and physicochemical properties in RMS are primarily caused by differences in tree species and substrates. Therefore, the objective of this study was to compare the effect of pioneer (Scots pine and silver birch) and N-fixing (black locust and black alder) tree species on the microbial and physicochemical properties in RMS developed from various substrates (nutrient poor Quaternary sands, acid and alkaline Miocene clays, and ashes after combustion of lignite).
2. Materials and Methods
2.1. Study Sites
The study was carried out in Poland at five rehabilitated post-mining sites with three different substrates. The sites included Szczakowa sand pit, Bełchatów open-pit lignite mine, Lubień combustion waste disposal site of Bełchatów lignite power plant, Turów open-pit lignite mine, and Piaseczno open-pit sulphur mine. Soil samples were collected from pure stands of Scots pine, common birch, black alder, and black locust grown on sand substrates in Szczakowa and Bełchatów, clay substrates in Turów and Piaseczno, and combustion waste ash substrates in Lubień (near Bełchatów lignite mine). Table 1 describes the study sites in detail.
Table 1.
Basic characteristics of the experimental sites.
2.2. Soil Sampling and Measurements
A total of seventy-two (6 replications × 3 RMS substrates × 4 tree species) 10 × 10 m plots were established randomly. Soil samples were collected in August and September 2019. Tree stands on plots ranged in age from 18 to 44 years (Table 1). At each plot, one composite sample was collected from five locations (from four corners and at the center) at the depth of 0–5 cm with 5 cm diameter auger after the removal of the litter layer. Because of the presence of large waste rock fragments below 5 cm, the soil sample was only taken from the top layer. The samples were sieved with 2 mm mesh prior to laboratory analysis. Samples for physicochemical analyses were air-dried, whereas samples for microbial analyses were stored field-moist at 4 °C.
LECO TruMac CNS analyzer was used to analyze the content of organic carbon (Corg) and total nitrogen (Nt). Soil texture was measured with a Fritsch GmbH Laser Particle Sizer ANALYSETTE 22 (Idar-Oberstein, Germany). Basic exchangeable cations (Ca2+, Mg2+, and K+) were measured with an ICP OES ICAP 6000 series spectrophotometer after extraction in 1 M NH4Ac. The pH of the samples was measured in H2O (pHH2O) and 1 M KCl solution (pHKCl) (soil/liquid ratio 1:5, w/v) with a digital pH meter (CPC-411, ELMETRON) at 20 °C.
Prior to microbial analyses, the samples were adjusted to 50% of maximum water holding capacity (WHC) and pre-incubated at 22 °C for 6 days; WHC was determined gravimetrically according to Schlichting and Blume [41]. For microbial biomass carbon (Cmic) and basal respiration rate (RESP) measurement, samples (50 g d.w.) unamended for RESP measurements and amended with 8 mg glucose for Cmic measurements were incubated at 22 °C in gas-tight jars. The incubation time was 24 h for the determination of RESP and 4 h for Cmic. The jars contained beakers with 5 mL 0.2 M NaOH to trap the evolved CO2. After the jars were opened, 2 mL 0.9 M BaCl2 was added to the NaOH; the excess of hydroxide was titrated with 0.1 M HCl in the presence of phenolphthalein as an indicator. Cmic was calculated from the substrate-induced respiration rate according to the equation given by Anderson and Domsch (1978): Cmic [mg g−1] = 40.04 y + 0.37, where “y” is mL CO2 × h−1 × g−1.
2.3. Statistical Analysis
Data were analyzed using Statistica 12.0 Software (StatSoft, Inc., (Tulsa, OK, USA), 2014). Prior to analysis, the data were tested for normality (Shapiro–Wilk test, p < 0.05). Two-way analysis of variance (ANOVA) was used to compare the effect of tree species and substrates on the measured properties. HSD test was run if significant (p < 0.05) effects were found. A linear correlation was used to assess the relationships between macronutrients and microbial activities. All correlation coefficients significant at p < 0.05 are shown.
3. Results
3.1. Soil Texture and Water Holding Capacity
The soil under the pioneer and N-fixing tree species did not show any significant difference in soil texture on the same substrate (Table 2). The lowest value of sand fraction was observed under alder on clays (22%) and the highest under pine on sands (89%). The lowest silt fraction was under pine on sands (5%) and the highest under black locust on ashes (30%) and for the clay fraction the lowest value was observed under birch on ashes and pine on sands (6%) and the highest under alder on clays (64%). The soils under birch on ashes revealed the highest WHC (104.7%), whereas soils under alder on sands revealed the lowest (29.8%; Table 2).
Table 2.
Texture and water holding capacity (WHC) in studied technosols under different tree species.
Significant differences in soil texture and WHC were observed between the substrates. Ashes and sands contained significantly more sand fraction (ranged 63%–74% in ashes and 78%–89% in sands) than clays (ranged 22%–37%). Ashes and clays contained more silt fraction than sands. Clays contained significantly more clay fraction (47%–64%) than both ashes (6%–8%) and sands (6%–10%) (Table 2). The lowest WHC values were observed in sands. Ashes exhibited the highest values of WHC (86.7%–104.7%) followed by clays (62.1%–75.9%).
3.2. Soil Chemical Properties and Microbial Activities
Tree species (TS) had only effect on Nt, C:N, and RESP, while substrate (SU) significantly affected all studied chemical and microbial activities. No interaction effect between tree species and soil substrate (TS × SU) was found (Table 3).
Table 3.
Two-way ANOVA results for tree species (TS) and substrate (SU) effect on soil chemical properties and microbial activities: N.S.—not significant, Corg—organic carbon, Nt—total nitrogen, Ca2+—calcium, K+—exchangeable potassium, Mg2+—exchangeable magnesium, C:N—C to N ratio, RESP—basal respiration rate, and Cmic—microbial biomass carbon.
The Nt content was higher under N-fixing species (alder and locust) than under pine. Soils under pine exhibited significantly higher C:N ratio than under other tree species. Soils under birch exhibited significantly higher RESP compared to soils under pine and black locust (Table 4).
Table 4.
Tree species effect on soil chemical properties and microbial activities: Corg—organic carbon, Nt—total nitrogen, Ca2+—calcium, K+—exchangeable potassium, Mg2+—exchangeable magnesium, C:N—C to N ratio, RESP—basal respiration rate, and Cmic—microbial biomass carbon. Means in each row followed by different letters are significant at p < 0.05 level.
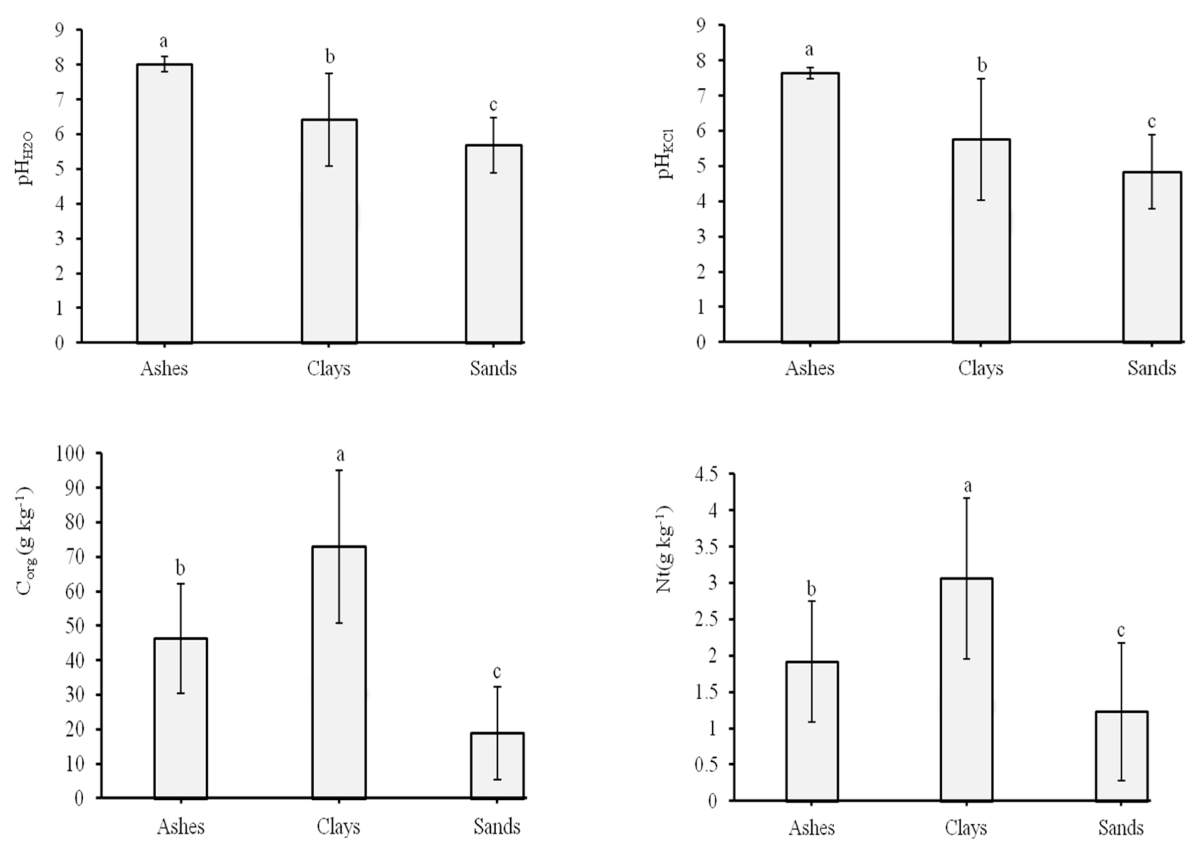
The highest pHH2O and pHKCl values were observed in ashes (8.02 and 7.64, respectively), while the lowest values were in sands (5.68 and 4.84, respectively). Clays exhibited the highest values of Corg (72.86 g kg−1) and Nt (3.06 g kg−1), whereas sands exhibited the lowest values. Ca2+ was significantly higher in ashes (4.21 g kg−1) and lower in sands (0.77 g kg−1). Sands also exhibited significantly lower values of K+, Mg2+and C:N (0.04 g kg−1, 0.06 g kg−1 and 16.14, respectively). The higher RESP value was observed in ashes (2.40 µM CO2 g−1 24 h−1) and the lower RESP value was observed in sands (1.67 µM CO2 g−1 24 h−1). The highest value of Cmic was measured in clays substrate (600.79 µg g−1) than ashes and sands (Figure 1).

Figure 1.
Substrate effect on soil chemical properties and microbial activities: Corg—organic carbon, Nt—total nitrogen, Ca2+—calcium, K+—exchangeable potassium, Mg2+—exchangeable magnesium, C:N—C to N ratio, RESP—basal respiration rate, and Cmic—microbial biomass carbon. Means in each bar chart followed by different letters are significant at p < 0.05 level.
3.3. Relationships between Macronutrients and Microbial Activities
Basal respiration rate and microbial biomass carbon were positively correlated with Corg, Nt, Ca2+, Mg2+, and K+. Corg was positively correlated with Nt, Ca2+, Mg2+, and K+. Nt was also positively correlated with Corg, Ca2+, Mg2+, and K+ (Table 5).
Table 5.
Correlation coefficients (n = 72) between macronutrients content and microbial biomass and respiration. Coefficients significant at p = 0.05 are marked by *.
4. Discussion
4.1. Tree Species Effect on Soil Properties and Microbial Activities
The impact of tree species on soil WHC differed significantly between birch and pine. Cejpek et al. [42] also measured the lowest soil moisture in the reclaimed pine sites, whereas the highest soil moisture was in the reclaimed alder sites which may be related to soil development. The influence of soil substrate on studied chemical and biological properties was greater than that of tree species at the early stage of novel ecosystem development. Similarly, spoil heap after lignite mining in Poland had a greater impact on the content of C, N, P, C:N ratio, and microbial properties (microbial biomass carbon and respiration, enzyme activity) than tree species [30]. In contrast to our findings, Šnajdr et al. [43] found that tree species is the most important determinant of the chemical and biological properties of soils in the Sokolov brown-coal mining district’s post-mining sites (Czech Republic). This phenomenon, however, could be attributed to the low diversity of substrates on the spoil heap in the Sokolov brown-coal mining district, which was formed of Miocene clays of the Cypris formation [43]. In contrast to Józefowska et al. [44], our study found no interaction effect between tree species and soil substrate on soil microbial biomass and respiration. According to these authors, the specific mix of tree species and the substrate has a large impact on faunal activity and microbial community composition.
The Nt content was significantly higher under N-fixing species (alder and locust) than under pine (Table 4). The higher Nt value observed in soils under alder and black locust indicates the effectiveness of N-fixing tree species in enriching this deficient element in RMS. Similarly, Wang et al. [45] revealed that N-fixing forests had 20%–50% higher Nt in the 0–5 cm soil layer than non-N-fixing forests. The lack of differences in Nt content between birch and N-fixers could be attributed to the stimulation of non-symbiotic N-fixing bacteria growth [46,47]. The non-significant differences in Corg content observed among tree species are opposite to the findings of previous studies. The soils under N-fixing species usually contain more carbon than soils under non-N-fixers [48]. For example, Ussiri et al. [49] observed a 42% increase in soil carbon under black locust in 10 years afforestation on reclaimed mine soils, while only 11% increase under pine, and Chodak and Niklińska [30] observed higher organic carbon accumulation under alder than under pine. Increased soil organic matter input and reduced decomposition of older soil carbon are associated with higher Corg content in N-fixing tree species [48]. However, this phenomenon was not observed in our soils.
Soils under pine exhibited significantly higher C:N ratio than under other tree species. The lowest C:N values were observed under alder and black locust. This may be due to the lower carbon to nitrogen ratio in the litter of nitrogen fixing species [27,50,51]. Similarly, Józefowska et al. [44] observed lowest (14) C:N under alder compared to non-N-fixing species growing on different substrates in RMS.
There was no difference observed for microbial biomass among tree species. However, the highest RESP was exhibited under birch (Table 4). The previous studies by Chodak and Niklińska [37] and Józefowska et al. [44] also revealed higher respiration rate and microbial biomass under birch than pine on post-mining sites. Differences in microbial biomass and basal respiration rate between tree species and substrates may have implications for tree nutrient availability. High microbial biomass and basal respiration rate frequently result in high nutrient availability to trees [52,53], by increasing both microbial biomass turnover and non-microbial organic material degradation. This result showed that a strong and positive correlation exists between soil microbial biomass and basal respiration rate with Nt content (Table 5). This confirms the findings of Józefowska et al. [44], who indicated that Nt content was positively and strongly correlated with soil microbial activities in mine soil. Frouz et al. [27] also reported a positive correlation between soil microbial biomass and Nt content. Soil microorganisms play a vital role in the biological transformations and develop most of the stable N and C nutrients and other vital nutrients [54].
4.2. Substrate Effect on Soil Properties and Microbial Activities
All of the investigated physicochemical and microbial properties were significantly influenced by the substrates. The lowest WHC values were observed in sands. Ashes exhibited the highest values of WHC (86.7%–104.7%) followed by clays (62.1%–75.9%). The storage of water on spoil heaps is hampered by the soil’s incomplete development [55]. The pH values varied significantly across all substrates. According to Soil Science Division Staff [56], sands were strongly acidic to very strongly acidic, clays were moderately acidic to slightly acidic, and ashes were moderately alkaline to slightly alkaline, which is a characteristic of combustion wastes [40,57].
Corg content varied significantly across substrates, with clays having significantly higher Corg content than ashes and sands. In line with this, Chodak and Niklińska [37] revealed that substrate texture had a greater effect on Corg of RMS than tree species. Woś and Pietrzykowski [39] also observed the highest organic carbon stock in soils developed from Neogene (Miocene) clays, which is linked to the element’s in-situ accumulation and geogenic (fossil) carbon content. The differences found in our study could also be attributed to geogenic carbon content [58]. In contrast to sands, Miocene clays contain some geogenic carbon [59]. The higher values found in clay-based soils revealed that soils with more silt and clay content have more organic carbon [39]. This discrepancy is caused by clay particles binding SOC in the form of organic-mineral complexes. These complexes are resistant to leaching and microorganism breakdown [60,61]. Because of the incomplete combustion of lignite in the power plant, combustion wastes contain some unburned carbon [62,63]. In the case of ashes from the Bełchatów power plant, the amount of unburned material was estimated to be 2% [64]. Despite this, the carbon content of ashes-derived soils was lower than that of clay and comparable to that of sands. Clays, like Corg, had a higher Nt value than ashes and sands. Corg accumulation in soils is generally highly correlated with Nt accumulation [65,66]. Similarly, Treschevskaya et al. [67]’s study on soil development processes on post-mining sites found that clay substrates had higher Nt content than chalk and marl, sand, and sandy loam.
Significantly higher Ca2+ was observed in ashes than in sands and clays and it was mainly due to the combustion of lignite coal [68]. Ashes and clays, on the other hand, had significantly higher K+ and Mg2+ values than sands. Except for Ca2+, the observed higher macronutrient content in clay may be due to its high capacity for holding macronutrients [69]. Mining waste sites with sandy substrates are characterized by unfavorable soil structure and nutrient deficiencies [70].
The study revealed that substrates have a greater influence on microbial activities than tree species. Clays, in particular, had greater microbial biomass than ashes and sands. In line with this, Chodak and Nikliska [37] found that soil texture, rather than vegetation properties, influenced microbial activity on reforested mine spoils in Poland. The type of soil is a major factor in determining microbial activity [71,72]. Carletti et al. [73] found that geologic parent material had a significant impact on the microbial community in northern Italian montane spruce forests. According to Józefowska et al. [25] and Reich et al. [74], the substrate influences soil biological properties in both natural and post-mining soils.
5. Conclusions
The substrate influences physicochemical and microbial properties more than tree species. Except for Nt, there is no significant difference in physicochemical and microbial properties between pioneer and N-fixing tree species. The highest carbon and macronutrient content was found in Miocene clays, followed by combustion wastes, and the lowest physicochemical and microbial properties were found in sands. The study found that tree species influenced WHC, Nt, C:N, and RESP value. The highest Nt in soils was observed under N-fixers, but it did not transfer into higher organic carbon content under N-fixers. The C:N ratio of pine soils was higher than that of birch, alder, and locust soils. Birch had the highest basal respiration rate. As a result of the stronger effect of substrate on RMS than tree species, reclamation of the substrate improves physicochemical and microbial properties and facilitates ecosystem restoration in mine sites.
Author Contributions
Funding acquisition, M.P. (Marcin Pietrzykowski); Resources, M.C.; Writing—original draft, A.M.M.; Writing—review and editing, M.P. (Marcin Pietrzykowski), M.P. (Marek Pająk), B.W., K.S. and M.C. All authors have read and agreed to the published version of the manuscript.
Funding
The study was financed by The National Science Centre, Poland, grant No. 2018/31/B/ST10/01626.
Data Availability Statement
Supplementary data to this article can be found online at https://data.mendeley.com//datasets/86wywbx3ps/2, accessed on 18 October 2022.
Conflicts of Interest
The authors declare that there is no known competing financial interests nor personal relationships that could have appeared to influence the work reported in this paper.
References
- Knoche, D. Effects of stand conversion by thinning and under planting on water and element fluxes of a pine ecosystem (P. sylvestris L.) on lignite mine spoil. For. Ecol. Manag. 2005, 212, 214–220. [Google Scholar] [CrossRef]
- Qian, D.; Yan, C.; Xiu, L.; Feng, K. The impact of mining changes on surrounding lands and ecosystem service value in the Southern Slope of Qilian Mountains. Ecol. Complex. 2018, 36, 138–148. [Google Scholar] [CrossRef]
- Brockett, B.F.T.; Prescott, C.E.; Grayston, S.J. Soil moisture is the major factor influencing microbial community structure and enzyme activities across seven biogeoclimatic zones in western Canada. Soil Biol. Biochem. 2012, 44, 9–20. [Google Scholar] [CrossRef]
- Carney, K.M.; Matson, P.A. Plant Communities, Soil Microorganisms, and Soil Carbon Cycling: Does Altering the World Belowground Matter to Ecosystem Functioning? Ecosystems 2005, 8, 928–940. [Google Scholar] [CrossRef]
- Cheng, F.; Peng, X.; Zhao, P.; Yuan, J.; Zhong, C. Soil Microbial Biomass, Basal Respiration and Enzyme Activity of Main Forest Types in the Qinling Mountains. PLoS ONE 2013, 8, e67353. [Google Scholar] [CrossRef]
- Daniels, W.L.; Stewart, B.R. Reclamation of Appalachian coal refuse disposal areas. In Reclamation of Drastically Disturbed Lands; Barnhisel, R.I., Darmody, R.G., Lee Daniels, W., Eds.; Agronomy Monographs; American Society of Agronomy: Madison, WI, USA, 2000; Volume 41, pp. 433–459. [Google Scholar]
- Wanga, D.; Zhanga, B.; Zhua, L.; Yang, Y.; Li, M. Soil and vegetation development along a 10-year restoration chronosequence in tailing dams in the Xiaoqinling gold region of Central China. Catena 2018, 167, 250–256. [Google Scholar] [CrossRef]
- Pietrzykowski, M. Tree species selection and reaction to mine soil reconstructed at reforested post-mine sites: Central and eastern European experiences. Ecol. Eng. 2019, 142, 100012. [Google Scholar] [CrossRef]
- Mukhopadhyay, S.; Maiti, S.K.; Masto, R.E. Use of Reclaimed Mine Soil Index (RMSI) for screening of tree species for reclamation of coal mine degraded land. Ecol. Eng. 2013, 57, 133–142. [Google Scholar] [CrossRef]
- Pietrzykowski, M.; Woś, B.; Haus, N. Scots pine needles macronutrient (N, P, K, Ca, Mg, and S) supply at different reclaimed mine soil substrates—As an indicator of the stability of developed forest ecosystems. Environ. Monit. Assess. 2013, 185, 7445–7457. [Google Scholar] [CrossRef]
- Larondelle, N.; Haase, D. Valuing post-mining landscapes using an ecosystem services approach—An example from Germany. Ecol. Indic. 2012, 18, 567–574. [Google Scholar] [CrossRef]
- Placek-Lapaj, A.; Grobelak, A.; Fijalkowski, K.; Singh, B.R.; Almås, Å.R.; Kacprzak, M. Post-Mining soil as carbon storehouse under polish conditions. J. Environ. Manag. 2019, 238, 307–314. [Google Scholar] [CrossRef]
- Wang, Z.; Lechner, A.M.; Yang, Y.; Baumgartl, T.; Wu, J. Mapping the cumulative impacts of long-term mining disturbance and progressive rehabilitation on ecosystem services. Sci. Total Environ. 2020, 717, 137214. [Google Scholar] [CrossRef]
- Laarmann, D.; Korjus, H.; Sims, A.; Kangur, A.; Kiviste, A.; Stanturf, J.A. Evaluation of afforestation development and natural colonization on a reclaimed mine site. Restor. Ecol. 2015, 23, 301–309. [Google Scholar] [CrossRef]
- Bandyopadhyay, S.; Novo, L.A.B.; Pietrzykowski, M.; Maiti, S.K. Assessment of Forest Ecosystem Development in Coal Mine Degraded Land by Using Integrated Mine Soil Quality Index (IMSQI): The Evidence from India. Forests 2020, 11, 1310. [Google Scholar] [CrossRef]
- Srivastava, N.K.; Ram, L.C.; Masto, R.E. Reclamation of overburden and lowland in coal mining area with fly ash and selective plantation: A sustainable ecological approach. Ecol. Eng. 2014, 71, 479–489. [Google Scholar] [CrossRef]
- Zhao, Z.; Bai, Z.; Zhang, Z.; Guo, D.; Li, J.; Xu, Z. Population structure and spatial distributions patterns of 17 years old plantation in a reclaimed spoil of Pingshuo opencast mine, China. Ecol. Eng. 2012, 44, 147–151. [Google Scholar] [CrossRef]
- Prescott, C.E.; Grayston, S.J. Tree species influence on microbial communities in litter and soil: Current knowledge and research needs. For. Ecol. Manag. 2013, 309, 19–27. [Google Scholar] [CrossRef]
- Jurkšienė, G.; Janušauskaitė, D.; Armolaitis, K.; Baliuckas, V. Leaf litterfall decomposition of pedunculate (Quercus robur L.) and sessile (Q. petraea [Matt.] Liebl.) oaks and their hybrids and its impact on soil microbiota. Dendrobiology 2017, 78, 51–62. [Google Scholar] [CrossRef]
- Kumari, S.; Maiti, S.K. Reclamation of coalmine spoils with topsoil, grass, and legume: A case study from India. Environ. Earth Sci. 2019, 78, 429. [Google Scholar] [CrossRef]
- Yan, M.; Fan, L.; Wang, L. Restoration of soil carbon with different tree species in a post-mining land in eastern Loess Plateau, China. Ecol. Eng. 2020, 158, 106025. [Google Scholar] [CrossRef]
- Singh, A.N.; Raghubanshi, A.S.; Singh, J.S. Plantations as a tool for mine spoil restoration. Curr. Sci. 2002, 82, 1436–1441. [Google Scholar]
- Frouz, J.; Keplin, B.; Pižl, V.; Tojavský, K.; Starý, J.; Lukešová, A.; Nováková, A.; Balik, V.; Háněl, L.; Materna, J.; et al. Soil biota and upper soil layer development in two contrasting post-mining chronosequences. Ecol. Eng. 2001, 17, 275–284. [Google Scholar] [CrossRef]
- Cortines, E.; Valcarcel, R. Influence of pioneer-species combinations on restoration of disturbed ecosystems in the Atlantic Forest, Rio de Janeiro, Brazil. Rev. Árvore 2009, 33, 927–936. [Google Scholar] [CrossRef][Green Version]
- Józefowska, A.; Woś, B.; Pietrzykowski, M. Tree species and soil substrate effects on soil biota during early soil forming stages at afforested mine sites. Appl. Soil Ecol. 2016, 102, 70–79. [Google Scholar] [CrossRef]
- De-Marco, A.; Esposito, F.; Berg, B.; Giordano, M.; De Santo, A. Soil C and N sequestration in organic and mineral layers of two coeval forest stands implanted on pyroclastic material (Mount Vesuvius, South Italy). Geoderma 2013, 209, 128–135. [Google Scholar] [CrossRef]
- Frouz, J.; Livečková, M.; Albrechtová, J.; Chroňáková, A.; Cajthaml, T.; Pižl, V.; Háněl, L.; Starý, J.; Baldrian, P.; Lhotáková, Z.; et al. Is the effect of trees on soil properties mediated by soil fauna? A case study from post-mining sites. For. Ecol. Manag. 2013, 309, 87–95. [Google Scholar] [CrossRef]
- Galka, B.; Labaz, B.; Bogacz, A.; Bojko, O.; Kabala, C. Conversion of Norway spruce forests will reduce organic carbon pools in the mountain soils of SW Poland. Geoderma 2014, 213, 287–295. [Google Scholar] [CrossRef]
- Šourková, M.; Frouz, J.; Fettweis, U.; Bens, O.; Hüttl, R.F.; Šantrucková, H. Soil development and properties of microbial biomass succession in reclaimed post-mining sites near Sokolov (Czech Republic) and near Cottbus (Germany). Geoderma 2005, 129, 73–80. [Google Scholar] [CrossRef]
- Chodak, M.; Niklińska, M. The effect of different tree species on the chemical and microbial properties of reclaimed mine soils. Biol. Fertil. Soils 2010, 46, 555–566. [Google Scholar] [CrossRef]
- Baldrian, P. Enzymes of saprotrophic basidiomycetes. In Ecology of Saprotrophic Basidiomycetes; Boddy, L., Frankland, J., van West, P., Eds.; Academic Press: New York, NY, USA, 2008; pp. 19–41. [Google Scholar]
- Miralles, I.; Cantón, Y.; Solé-Benet, A. Two-dimensional porosity of crusted silty soils: Indicators of soil quality in semiarid rangelands? Soil Sci. Am. J. 2011, 75, 1289–1301. [Google Scholar]
- Bashan, Y.; De-Bashan, L.E. Microbial populations of arid lands and their potential for restoration of deserts. In Soil Biology and Agriculture in the Tropics; Springer: Berlin/Heidelberg, Germany, 2010; pp. 109–137. [Google Scholar]
- Nannipieri, P.; Ascher, J.; Ceccherini, M.T.; Landi, L.; Pietramellara, G.; Renella, G. Microbial diversity and soil functions. Eur. J. Soil Sci. 2003, 54, 655–670. [Google Scholar] [CrossRef]
- Kheirfam, H.; Sadeghi, S.H.R.; Homaee, M.; Zarei Darki, B. Quality improvement of an erosion-prone soil through microbial enrichment. Soil Tillage Res. 2017, 165, 230–238. [Google Scholar] [CrossRef]
- Józefowska, A.; Pietrzykowski, M.; Woś, B.; Cajthaml, T.; Frouz, J. Relationships between respiration, chemical and microbial properties of afforested mine soils with different soil texture and tree species: Does the time of incubation matter. Eur. J. Soil Biol. 2017, 80, 102–109. [Google Scholar] [CrossRef]
- Chodak, M.; Niklińska, M. Effect of texture and tree species on microbial properties of mine soils. Appl. Soil Ecol. 2010, 46, 268–275. [Google Scholar] [CrossRef]
- Chodak, M.; Sroka, K.; Pietrzykowski, M. Activity of phosphatases and microbial phosphorus under various tree species growing on reclaimed technosols. Geoderma 2021, 401, 115320. [Google Scholar] [CrossRef]
- Woś, B.; Pietrzykowski, P. Characteristics of technogenic soils developed from Neogene and Quaternary sediments substrate on reclaimed sulphur and sand extraction mine sites. Soil Sci. Annu. 2020, 71, 344–351. [Google Scholar] [CrossRef]
- Krzaklewski, W.; Pietrzykowski, M.; Woś, B. Survival and growth of alders (Alnus glutinosa (L.) Gaertn. and Alnus incana (L.) Moench) on fly ash RMS at different substrate improvement. Ecol. Eng. 2012, 49, 35–40. [Google Scholar] [CrossRef]
- Schlichting, E.; Blume, H.P. Methods of Soil Analysis; Parey: Hamburg, Germany, 1966. [Google Scholar]
- Cejpek, J.; Kuráž, V.; Frouz, J. Hydrological Properties of Soils in Reclaimed and Unreclaimed Sites after Brown-Coal Mining. Pol. J. Environ. Stud. 2013, 22, 645–652. [Google Scholar]
- Šnajdr, J.; Dobiášová, P.; Urbanová, M.; Petránková, M.; Cajthaml, T.; Frouz, J.; Baldrian, P. Dominant trees affect microbial community composition and activity in post-mining afforested soils. Soil Biol. Biochem. 2013, 56, 105–115. [Google Scholar] [CrossRef]
- Józefowska, A.; Pietrzykowski, M.; Woś, B.; Cajthaml, T.; Frouz, J. The effects of tree species and substrate on carbon sequestration and chemical and biological properties in reforested post-mining soils. Geoderma 2017, 292, 9–16. [Google Scholar] [CrossRef]
- Wang, F.; Li, Z.; Xia, H.; Zou, B.; Li, N.; Liu, J.; Zhu, W. Effects of nitrogen-fixing and non-nitrogen-fixing tree species on soil properties and nitrogen transformation during forest restoration in southern China. Soil Sci. Plant Nutr. 2010, 56, 297–306. [Google Scholar] [CrossRef]
- Nohrstedt, H.-Ö. Nitrogen fixation (C2H2-reduction) in birch litter. Scand. J. For. Res. 1988, 3, 17–23. [Google Scholar] [CrossRef]
- Smolander, A. Frankia populations in soils under different tree species—With special emphasis on soils under Betula pendula. Plant Soil. 1990, 121, 1–10. [Google Scholar] [CrossRef]
- Resh, S.C.; Binkley, D.; Parrotta, J.A. Greater soil carbon sequestration under nitrogen-fixing trees compared with Eucalyptus species. Ecosystems 2002, 5, 217–231. [Google Scholar] [CrossRef]
- Ussiri, D.A.N.; Lal, R.; Jacinthe, P.A. Soil Properties and Carbon Sequestration of Afforested Pastures in Reclaimed Mine soils of Ohio. Soil Sci. Soc. Am. J. 2006, 70, 1797. [Google Scholar] [CrossRef]
- Cools, N.; Vesterdal, L.; De Vos, B.; Vanguelova, E.; Hansen, K. Tree species is the major factor explaining C:N ratios in European forest soils. For. Ecol. Manag. 2014, 311, 3–16. [Google Scholar] [CrossRef]
- Walmsley, A.; Vachová, P.; Hlava, J. Tree species identity governs the soil macrofauna community composition and soil development at reclaimed post-mining sites on calcium-rich clays. Eur. J. For. Res. 2019, 138, 753–761. [Google Scholar] [CrossRef]
- Tu, C.; Koenning, S.R.; Hu, S. Root-parasitic nematodes enhance soil microbial activities and nitrogen mineralization. Microb. Ecol. 2003, 46, 134–144. [Google Scholar] [CrossRef]
- Wang, W.J.; Smith, C.J.; Chen, D. Predicting soil nitrogen mineralization dynamics with a modified double exponential model. Soil Sci. Soc. Am. J. 2004, 68, 1256–1265. [Google Scholar] [CrossRef]
- Schulz, S.; Brankatschk, R.; Dümig, A.; Kögel-Knabner, I.; Schloter, M.; Zeyer, J. The role of microorganisms at different stages of ecosystem development for soil formation. Biogeosciences 2013, 10, 3983–3996. [Google Scholar] [CrossRef]
- Frouz, J.; Prach, K.; Pižl, V.; Háněl, L.; Starý, J.; Tajovský, K.; Materna, J.; Balik, V.; Kalcik, J.; Řehounková, K. Interactions between soil development, vegetation and soil fauna during spontaneous succession in post mining sites. Eur. J. Soil Biol. 2008, 44, 109–121. [Google Scholar] [CrossRef]
- Soil Science Division Staff. Soil Survey Manual; Ditzler, C., Scheffe, K., Monger, H.C., Eds.; USDA Handbook 18; Government Printing Office: Washington, DC, USA, 2017; 199p. [Google Scholar]
- Haynes, R.J. Reclamation and revegetation of fly ash disposal sites—Challenges and research needs. J. Environ. Manag. 2009, 90, 43–53. [Google Scholar] [CrossRef]
- Fettweis, U.; Bens, O.; Hüttl, R.F. Accumulation and properties of soil organic carbon at reclaimed sites in the Lusatian lignite mining district afforested with Pinus sp. Geoderma 2005, 129, 81–91. [Google Scholar] [CrossRef]
- Woś, B.; Pietrzykowski, M. Simulation of birch and pine litter influence on early stage of reclaimed soil formation process under controlled conditions. J. Environ. Qual. 2015, 44, 1091. [Google Scholar] [CrossRef]
- Chenu, C.; Plante, A.F. Clay-sized organo-mineral complexes in a cultivation chronosequence: Revisiting the concept of the ‘primary organo-mineral complex’. Eur. J. Soil Sci. 2006, 57, 596–607. [Google Scholar] [CrossRef]
- Laird, D.A.; Martens, D.A.; Kingery, W.L. Nature of Clay-Humic Complexes in an Agricultural Soil. Soil Sci. Soc. Ae. J. 2001, 65, 1413–1418. [Google Scholar] [CrossRef]
- Uzarowicz, Ł.; Zagórski, Z.; Mendak, E.; Bartmiński, P.; Szara, E.; Kondras, M.; Oktaba, L.; Turek, A.; Rogoziński, R. Technogenic soils (Technosols) developed from fly ash and bottom ash from thermal power stations combusting bituminous coal and lignite. Part I. Properties, classification, and indicators of early pedogenesis. Catena 2017, 157, 75–89. [Google Scholar]
- Külaots, I.; Hurt, R.H.; Suuberg, E.M. Size distribution of unburned carbon in coal fly ash and its implications. Fuel 2004, 83, 223–230. [Google Scholar] [CrossRef]
- Pietrzykowski, M.; Woś, B.; Pająk, M.; Wanic, T.; Krzaklewski, W.; Chodak, M. The impact of alders (Alnus spp.) on the physicochemical properties of technosols on a lignite combustion waste disposal site. Ecol. Eng. 2018, 120, 180–186. [Google Scholar] [CrossRef]
- Knops, J.M.H.; Tilman, D. Dynamics of soil nitrogen and carbon accumulation for 61 years after agricultural abandonment. Ecology 2000, 81, 88–98. [Google Scholar] [CrossRef]
- Zhou, Y.; Boutton, T.W.; Wu, X.B. Soil phosphorus does not keep pace with soil carbon and nitrogen accumulation following woody encroachment. Glob. Change Biol. 2018, 24, 1992–2007. [Google Scholar] [CrossRef] [PubMed]
- Treschevskaya, E.; Tichonova, E.; Golyadkina, I.; Malinina, T. Soil development processes under different tree species at afforested post-mining sites. IOP Conf. Ser. Earth Environ. Sci. 2019, 226, 012012. [Google Scholar] [CrossRef]
- Nuaklong, P.; Wongsa, A.; Sata, V.; Boonserm, K.; Sanjayan, J.; Chindaprasirt, P. Properties of high-calcium and low-calcium fly ash combination geopolymer mortar containing recycled aggregate. Heliyon 2019, 5, e02513. [Google Scholar] [CrossRef] [PubMed]
- Kome, G.K.; Enang, R.K.; Tabi, F.O.; Yerima, B.P.K. Influence of Clay Minerals on Some Soil Fertility Attributes: A Review. Open J. Soil Sci. 2019, 9, 155–188. [Google Scholar] [CrossRef]
- Stefanowicz, A.M.; Kapusta, P.; Szarek-Łukaszewska, G.; Grodzińska, K.; Niklińska, M.; Vogt, R.D. Soil fertility and plant diversity enhance microbial performance in metal-polluted soils. Sci. Total Environ. 2012, 439, 211–219. [Google Scholar] [CrossRef]
- Girvan, M.S.; Bullimore, J.; Pretty, J.N.; Osborn, A.M.; Ball, A.S. Soil type is the primary determinant of the composition of the total and active bacterial communities in arable soils. Appl. Environ. Microbiol. 2003, 69, 1800–1809. [Google Scholar] [CrossRef]
- Wakelin, S.A.; Macdonald, L.M.; Rogers, S.L.; Gregga, A.L.; Bolgerd, T.P.; Baldock, J.A. Habitat selective factors influencing the structural composition and functional capacity of microbial communities in agricultural soils. Soil Biol. Biochem. 2008, 40, 803–813. [Google Scholar] [CrossRef]
- Carletti, P.; Vendramin, E.; Pizzeghello, D.; Concheri, G.; Zanella, A.; Nardi, S.; Squartini, A. Soil humic compounds and microbial communities in six spruce forests as function of parent material, slope aspect and stand age. Plant Soil 2009, 315, 47–65. [Google Scholar] [CrossRef]
- Reich, P.B.; Oleksyn, J.; Modrzynski, J.; Mrozinski, P.; Hobbie, S.E.; Eissenstat, D.M.; Chorover, J.; Chadwick, O.A.; Hale, C.M.; Tjoelker, M.G. Linking litter calcium, earthworms and soil properties: A common garden test with 14 tree species. Ecol. Lett. 2005, 8, 811–818. [Google Scholar] [CrossRef]
Publisher’s Note: MDPI stays neutral with regard to jurisdictional claims in published maps and institutional affiliations. |
© 2022 by the authors. Licensee MDPI, Basel, Switzerland. This article is an open access article distributed under the terms and conditions of the Creative Commons Attribution (CC BY) license (https://creativecommons.org/licenses/by/4.0/).

