Ignition of Wood-Based Boards by Radiant Heat
Abstract
1. Introduction
2. Materials and Methods
2.1. Experimental Samples
2.2. Methodology
2.2.1. Determination of Mass Loss and Time-to-Ignition
2.2.2. Thermal Analysis (Thermogravimetry TGA) of PB and OSB
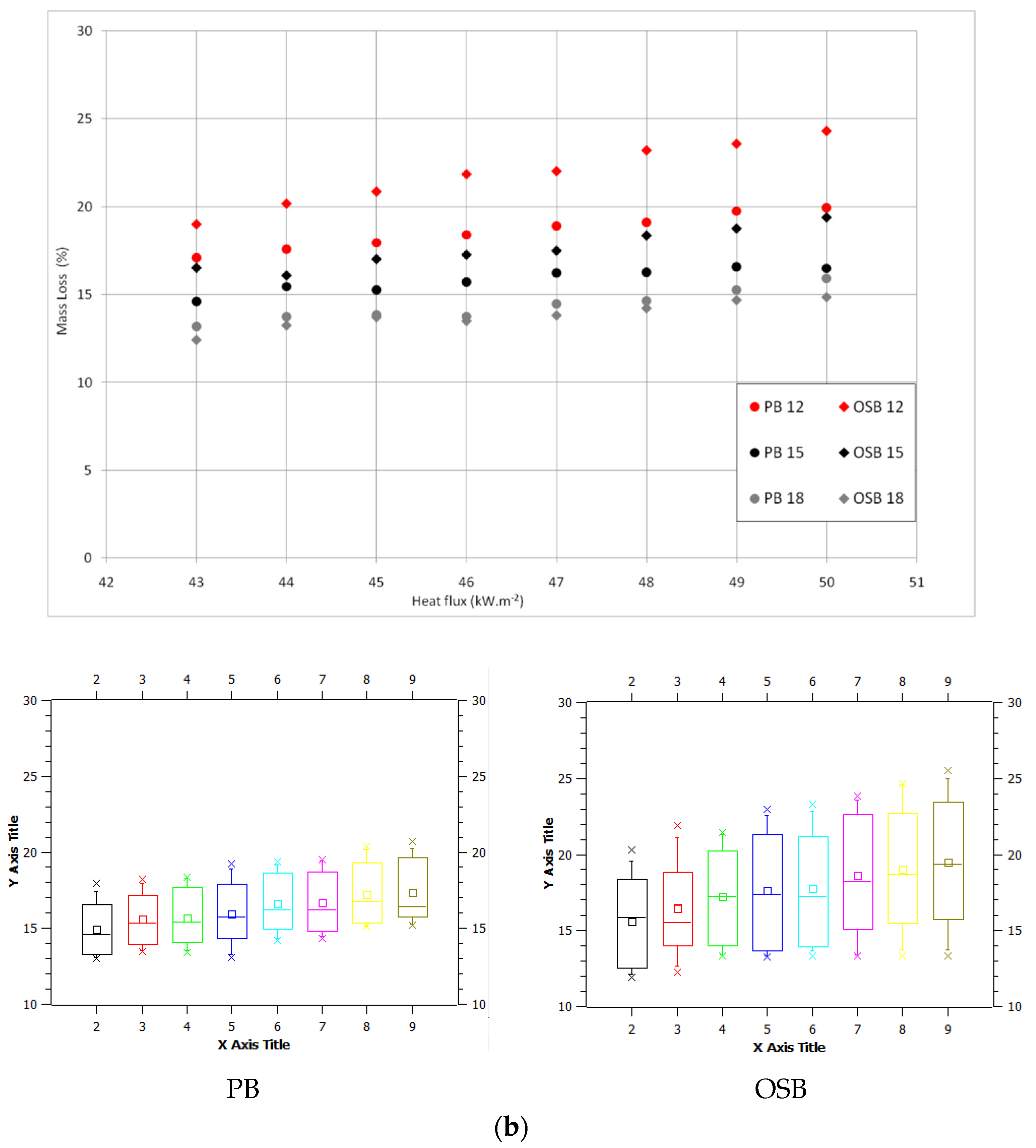
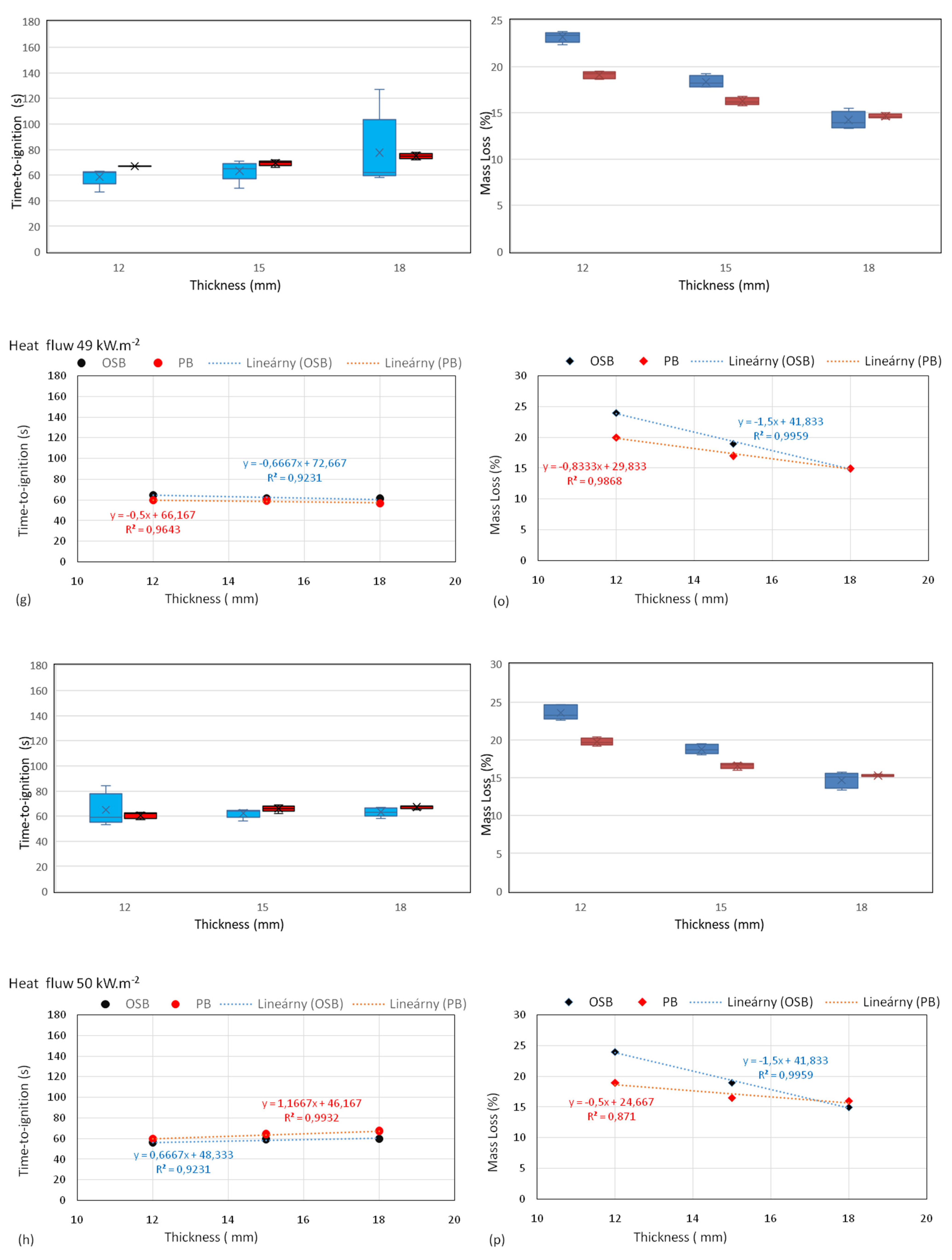
3. Results and Discussion
4. Conclusions
- The heat flux and thickness had a significant effect only on time-to-ignition.
- OSB had a higher time-to-ignition than particleboards and the thermal degradation of OSB started later, i.e., at a higher temperature than that of particleboards. Above 47 kW.m−2, the samples yielded the same results, but OSB had a higher mass loss value than particleboards.
- Thermal analysis also confirmed a higher thermal decomposition temperature of OSB (179 °C) compared to particleboards (146 °C). The difference in mass loss in both stages did not exceed 1%, and other parameters did not show a significant difference in the behaviour of the samples.
- Our results show that as the thickness samples increases, the differences in the behaviour of the samples disappear under action radiant heat, which can be seen in Figure 6. Practice should take into account the importance of thickness when applying these materials in building structures or elements.
Author Contributions
Funding
Informed Consent Statement
Data Availability Statement
Acknowledgments
Conflicts of Interest
References
- Mantanis, G.I.; Athanassiadou, E.T.; Barbu, M.C.; Wijnendaele, K. Adhesive systems used in the European particleboard, MDF and OSB industries. Wood Mater. Sci. Eng. 2007, 13, 104–116. [Google Scholar] [CrossRef]
- Pedzik, M.; Auriga, R.; Rogozinski, T. Physical and Mechanical Properties of Particleboard Produced with Addition of Walnut (Juglansregia L.) Wood Residues. Materials 2022, 15, 1280. [Google Scholar] [CrossRef] [PubMed]
- Ligne, L.D.; Van Acker, J.; Baetens, J.M.; Omar, S.; De Baets, B.; Thygesen, L.G.; Van Den Bulcke, J.; Thybring, E.E. Moisture dynamics of wood-based panels and wood fibre insulation materials. Front. Plant Sci. Sec. Plant Biophys. Model. 2022, 13, 951175. [Google Scholar] [CrossRef] [PubMed]
- Seng, H.L.; Lum, W.C.; Boon, J.G.; Kristak, L.; Antov, P.; Pędzik, M.; Rogoziński, T.; Taghiyari, H.R.; Lubis, M.A.R.; Fatriasari, W.; et al. Particleboard from agricultural biomass and recycled wood waste: A review. J. Mater. Res. Technol. 2022, 20, 4630–4658. [Google Scholar] [CrossRef]
- Hellmeister, V.; Barbirato, G.H.A.; Lopes, W.E.; dos Santos, V.; Fiorelli, J. Evaluation of Balsa wood (Ochromapyramidale) waste and OSB panels with castor oil polyurethane resin. Int. Wood Prod. J. 2021, 12, 267–276. [Google Scholar] [CrossRef]
- Bušterová, M. Effect of Heat Flux on the Ignition of Selected Board Materials; Faculty of Materials Science and Technology in Trnava, Slovak University of Technology in Bratislava: Bratislava, Slovakia, 2011; p. 149. [Google Scholar]
- Makowski, M.; Ohlmeyer, M. Impact of drying temperature and pressing time factor on VOC emissions from OSB made of Scots pine. Holzforschung 2006, 60, 417–422. [Google Scholar] [CrossRef]
- Boruszewski, P.; Borysiuk, P.; Jankowska, A.; Pazik, J. Low-Density Particleboards Modified with Blowing Agents-Characteristic and Properties. Materials 2022, 15, 4528. [Google Scholar] [CrossRef]
- Adamová, T.; Hradecký, J.; Pánek, M. Volatile Organic Compounds (VOCs) from Wood and Wood-Based Panels: Methods for Evaluation, Potential Health Risks, and Mitigation. Polymers 2020, 12, 2289. [Google Scholar] [CrossRef] [PubMed]
- Copak, A.; Jirouš-Rajković, V.; Španić, N.; Miklečić, J. The Impact of Post-Manufacture Treatments on the Surface Characteristics Important for Finishing of OSB and Particleboard. Forests 2021, 12, 975. [Google Scholar] [CrossRef]
- Bekhta, P.; Noshchenko, G.; Reh, R.; Kristak, L.; Antov, P.; Mirski, R. Properties of eco-friendly particleboards bonded with lignosulfonate-urea-formaldehyde adhesives and PMDI as a crosslinker. Materials 2021, 14, 4875. [Google Scholar] [CrossRef]
- Krišťák, Ľ.; Réh, R. Application of Wood Composites. Appl. Sci. 2021, 11, 3479. [Google Scholar] [CrossRef]
- Mirski, R.; Derkowski, A.; Dziurka, D. Dimensional stability of OSB panels subjected to variable relative humidity: Core layer made with fine wood chips. BioResources 2013, 8, 6448–6459. [Google Scholar] [CrossRef][Green Version]
- Gaff, M.; Kacik, F.; Gasparik, M. The effect of synthetic and natural fire-retardants on burning and chemical characteristics of thermally modified teak (Tectonagrandis L. f.) wood. Constr. Build. Mater. 2019, 200, 551–558. [Google Scholar] [CrossRef]
- Wang, S.Q.; Gu, H.M.; Wang, S.G. Layer thickness swell and related properties of commercial OSB products: A comparative study. In Proceedings of the 37th International Wood Composite Materials Symposium Proceedings, Pullman, WA, 7–10 April 2003; pp. 65–76. [Google Scholar]
- Georgescu, S.-V.; Șova, D.; Campean, M.; Coșereanu, C. A Sustainable Approach to Build Insulated External Timber Frame Walls for Passive Houses Using Natural and Waste Materials. Forests 2022, 13, 522. [Google Scholar] [CrossRef]
- Salem, M.Z.M.; Böhm, M.; Šedivka, P.; Nasser, R.A.; Ali, H.M.; Abo Elgat, W.A.A. Some physico-mechanical characteristics of uncoated OSB ECO-products made from Scots pine (Pinussylvestris L.) and bonded with PMDI resin. BioResources 2018, 13, 1814–1828. [Google Scholar] [CrossRef]
- Paes, J.B.; Maffioletti, F.D.; Lahr, F.A.R. Biological resistance of sandwich particleboard made with sugarcane, thermally-treated Pinus wood and malva fiber. J. Wood Chem. Technol. 2022, 42, 171–180. [Google Scholar] [CrossRef]
- Kup, F.; Vural, C. Determination of physical and mechanical properties of particleboard obtained from cotton and corn stubble with fibreglass plaster net. J. Environ. Prot. Ecol. 2022, 23, 657–667. [Google Scholar]
- Zheng, N.H.; Wu, D.N.; Sun, P.; Liu, H.G.; Luo, B.; Li, L. Mechanical Properties and Fire Resistance of Magnesium-Cemented Poplar Particleboard. Materials 2020, 13, 115. [Google Scholar] [CrossRef]
- Han, G.P.; Wu, Q.L.; Lu, J.Z. Selected properties of wood strand and oriented strandboard from small-diameter southern pine trees. Wood Fiber Sci. 2006, 36, 621–632. [Google Scholar]
- Makovická Osvaldová, L.; Mitrenga, M.; Jancík, J.; Titko, M.; Efhamisisi, D.; Košútová, K. Fire Behaviour of Treated Insulation Fibreboards and Predictions of its Future Development Based on Natural Aging Simulation. Front. Mater. 2022, 9, 891167. [Google Scholar] [CrossRef]
- Efe, F.T. Investigation of some physical and thermal insulation properties of honeycomb-designed panels produced from Calabrian pine bark and cones. Eur. J. Wood Wood Prod. 2022, 80, 705–718. [Google Scholar] [CrossRef]
- Malý, S.; Vavrečková, K.; Malme, K.; Kubás, J.; Hollá, K.; Makovická Osvaldová, L. Occupational Health and Safety of Food Industry Employees with Emphasis on Specific Diseases. In Innovation Management and Sustainable Economic Development in the Era of Global Pandemic, Proceedings of the 38th International Business Information Management Association Conference, IBIMA Publishing, Seville, Spain, 23–24 November 2021; IBIMA Publishing: Seville, Spain, 2021; ISBN 978-0-9998551-7-1. ISSN 2767-9640. [Google Scholar]
- Ramos, A.; Briga-Sa, A.; Pereira, S.; Correia, M.; Pinto, J.; Bentes, I.; Teixeira, C.A. Thermal performance and life cycle assessment of corn cob particleboards. Build. Eng. 2021, 44, 102998. [Google Scholar] [CrossRef]
- Górski, J.; Podziewski, P.; Borysiuk, P. The Machinability of Flat-Pressed, Single-Layer Wood-Plastic Particleboards while Drilling—Experimental Study of the Impact of the Type of Plastic Used. Forests 2022, 13, 584. [Google Scholar] [CrossRef]
- Langová, N.; Réh, R.; Igaz, R.; Krišťák, Ľ.; Hitka, M.; Joščák, P. Construction of wood-based lamella for increased load on seating furniture. Forests 2019, 10, 525. [Google Scholar] [CrossRef]
- Tabarsi, E.; Kozak, R.; Cohen, D.; Gaston, C. A market assessment of the potential for OSB products in the North American office furniture and door manufacturing industries. For. Prod. J. 2003, 53, 19–27. [Google Scholar]
- Zamarian, E.H.C.; Iwakiri, S.; Trianoski, R.; de Albuquerque, C.E.C. Production of particleboard from discarded furniture. Rev. Arvore 2013, 41, 410407. [Google Scholar] [CrossRef]
- Réh, R.; Krišt’ák, L.; Sedliačik, J.; Bekhta, P.; Božiková, M.; Kunecová, D.; Vozárová, V.; Tudor, E.M.; Antov, P.; Savov, V. Utilization of Birch Bark as an Eco-Friendly Filler in Urea-Formaldehyde Adhesives for Plywood Manufacturing. Polymers 2021, 13, 511. [Google Scholar] [CrossRef]
- Eickner, H.W. Fire resistance of solid-core wood flush doors. For. Prod. J. 1976, 23, 38–43. [Google Scholar]
- Harada, K. A review on structural fire resistance. In Proceedings of the Fourth Asia-Oceania Symposium on Fire Science & Technology, Tokyo, Japan, 24–26 May 2000; Asia-Oceania Association for Fire Science & Technology/Japan Association for Fire Science & Engineering: Tokyo, Japan, 2000; pp. 155–163. [Google Scholar]
- White, R.H. Fire resistance of exposed wood members. In Proceedings of the Wood & Fire Safety: Proceedings, 5th International Scientific Conference, Zvolen, Slovakia., 18–22 April 2004; Tech. University of Zvolen: Zvolen, Slovakia. [Google Scholar]
- Ayrilmis, N.; Kartal, S.; Laufenberg, T.; Winandy, J.; White, R. Physical and mechanical properties and fire, decay, and termite resistance of treated oriented strandboard. For. Prod. J. 2005, 55, 74. [Google Scholar]
- Östman, B.A.L.; Mikkola, E. European classes for the reaction to fire performance of wood products. HolzalsRoh Und Werkst. 2006, 64, 327–337. [Google Scholar] [CrossRef]
- Tudor, E.M.; Scheriau, C.; Barbu, M.C.; Réh, R.; Krišťák, Ľ.; Schnabel, T. Enhanced resistance to fire of the bark-based panels bonded with clay. Appl. Sci. 2020, 10, 5594. [Google Scholar] [CrossRef]
- Salek, V.; Cabova, K.; Wald, F.; Jahoda, M. Numerical modelling of fire test with timber fire protection. J. Struct. Fire Eng. 2022, 13, 99–117. [Google Scholar] [CrossRef]
- Rantuch, P. Comparing the Ignition Parameters of Various Polymers. In Ignition of Polymers. Springer Series on Polymer and Composite Materials; Springer: Cham, Switzerland, 2021. [Google Scholar] [CrossRef]
- Liu, Y.T. Cone Calorimeter Analysis on the Fire-resistant Properties of FRW Fire-retardant Particleboard. Adv. Mater. Process. 2011, 311, 2142–2145. [Google Scholar]
- Turkowski, P.; Węgrzyński, W. Comparison of a Standard Fire-Resistance Test of a Combustible Wall Assembly with Experiments Employing Pre-defined Heat Release Curves. Fire Technol. 2022, 58, 1767–1787. [Google Scholar] [CrossRef]
- Baranovskii, N.V.; Kirienko, V.A. Ignition of Forest Combustible Materials in a High-Temperature Medium. J. Eng. Phys. 2020, 93, 1266–1271. [Google Scholar] [CrossRef]
- Kristak, L.; Ruziak, I.; Tudor, E.M.; Barbu, M.C.; Kain, G.; Reh, R. Thermophysical properties of larch bark composite panels. Polymers 2021, 13, 2287. [Google Scholar] [CrossRef]
- Madyaratri, E.W.; Ridho, M.R.; Aristri, M.A.; Lubis, M.A.R.; Iswanto, A.H.; Nawawi, D.S.; Antov, P.; Kristak, L.; Majlingová, A.; Fatriasari, W. Recent Advances in the Development of Fire-Resistant Biocomposites—A Review. Polymers 2022, 14, 362. [Google Scholar] [CrossRef]
- Rybinski, P.; Syrek, B.; Szwed, M.; Bradlo, D.; Zukowski, W.; Marzec, A.; Sliwka-Kaszynska, M. Influence of Thermal Decomposition of Wood and Wood-Based Materials on the State of the Atmospheric Air. Emissions of Toxic Compounds and Greenhouse Gases. Energies 2021, 14, 3247. [Google Scholar] [CrossRef]
- Gong, J.H.; Zhou, H.G.; Zhu, H.; McCoy, C.G.; Stoliarov, S.I. Development of a pyrolysis model for oriented strand board: Part II-Thermal transport parameterization and bench-scale validation. J. Fire Sci. 2021, 39, 477–494. [Google Scholar] [CrossRef]
- Dietenberger, M.A.; Shalbafan, A.; Welling, J. Cone calorimeter testing of foam core sandwich panels treated with intumescent paper underneath the veneer (FRV). Fire Mater. 2018, 42, 296–305. [Google Scholar] [CrossRef]
- Mikkola, E.; Wichman, I.S. On the thermal ignition of combustible materials. Fire Mater. 1989, 14, 87–96. [Google Scholar] [CrossRef]
- Hao, H.; Chow, C.L.; Lau, D. Effect of heat flux on combustion of different wood species. Fuel 2020, 278, 118325. [Google Scholar] [CrossRef]
- Richter, F.; Jervis, F.X.; Huang, X.Y.; Rein, G. Effect of oxygen on the burning rate of wood. Combust. Flame 2021, 234, 111591. [Google Scholar] [CrossRef]
- Renner, J.S.; Mensah, R.A.; Jiang, L.; Xu, Q.; Das, O.; Berto, F. Fire Behavior of Wood-Based Composite Materials. Polymers 2022, 13, 4352. [Google Scholar] [CrossRef] [PubMed]
- Kuracina, R.; Szabova, Z.; Bachraty, M.; Mynarz, M.; Skvarka, M. A new 365-litre dust explosion chamber: Design and testing. Powder Technol. 2021, 386, 420–427. [Google Scholar] [CrossRef]
- Rantuch, P.; Hrusovsky, I.; Martinka, J.; Balog, K. Calculation of critical heat flux for ignition of oriented strand boards. Fire Prot. Saf. Secur. 2017, 207, 214–222. [Google Scholar]
- CEN Standard EN ISO 13943: 2018; Fire safety. Vocabulary. European Committe for Standartion:: Brussels, Belgium, 2018.
- ISO 3261:1975; Fire tests—Vocabulary. International Organization for Standardization: Geneva, Switzerland, 1995.
- Rantuch, P.; Kacíková, D.; Martinka, J.; Balog, K. The Influence of Heat Flux Density on the Thermal Decomposition of OSB. ActaFacultatisXylologiaeZvolen res PublicaSlovaca 2015, 57, 125–134. [Google Scholar]
- Babrauskas, V. Ignition of wood. A Review of the State of the Art. In Interflam 2001; Interscience Communications Ltd.: London, UK, 2001; pp. 71–88. [Google Scholar]
- Babrauskas, V. Ignition Handbook, 1st ed.; Fire Science Publishers: Issaquah, WA, USA, 2003. [Google Scholar]
- Babrauskas, V. Charring rate of wood as a tool for fire investigations. Fire Saf. J. 2005, 40, 528–554. [Google Scholar] [CrossRef]
- Baranovskiy, N.V.; Kirienko, V.A. Mathematical Simulation of Forest Fuel Pyrolysis and Crown Forest Fire Impact for Forest Fire Danger and Risk Assessment. Processes 2022, 10, 483. [Google Scholar] [CrossRef]
- Janssens, M.L. Modeling of the thermal degradation of structural wood members exposed to fire. In Second International Workshop on “Structures in Fire” (SiF ‘02); Department of Civil Engineering, University of Canterbury: Christchurch, New Zealand, 2002; pp. 211–222. [Google Scholar]
- Chen, X.J.; Yang, L.Z.; Ji, J.W.; Deng, Z.H. Mathematical model for prediction of pyrolysis and ignition of wood under external heat flux. Prog. Nat. Sci. Mater. Int. 2002, 12, 874–877. [Google Scholar]
- Reszka, P.; Borowiec, P.; Steinhaus, T.; Torero, J.L. A methodology for the estimation of ignition delay times in forest fire modelling. Combust. Flame 2012, 159, 3652–3657. [Google Scholar] [CrossRef]
- Technical and Safety Data Sheet. Boards Made of Oriented Flat Triples without Surface Treatment—OSB SUPERFINISH ECO, Type OSB/3; Bučina DDD: Zvolen, Slovakia, 2019. [Google Scholar]
- Safety data sheet Particleboard. In Raw Un-Sanded; Bučina DDD: Zvolen, Slovak republic, 2019.
- ISO 5657:1997; Reaction to Fire Tests—Ignitability of Building Products using a Radiant Heat Source. International Organization for Standardization: Geneva, Switzerland, 1997.
- Božiková, M.; Kotoulek, P.; Bilčík, M.; Kubík, Ľ.; Hlaváčová, Z.; Hlaváč, P. Thermal properties of wood and wood composites made from wood waste. Int. Agrophys. 2021, 35, 251–256. [Google Scholar] [CrossRef]
- EN 323:1993; Wood-Based Panels—Determination of Density. European Committe for Standartion: Brussels, Belgium, 1993.
- Turekova, I.; Markova, I.; Ivanovicova, M.; Harangozo, J. Experimental Study of Oriented Strand Board Ignition by Radiant Heat Fluxes. Polymers 2021, 13, 709. [Google Scholar] [CrossRef] [PubMed]
- Turekova, I.; Ivanovicova, M.; Harangozo, J.; Gaspercova, S.; Markova, I. Experimental Study of the Influence of Selected Factors on the Particle Board Ignition by Radiant Heat Flux. Polymers 2022, 14, 1648. [Google Scholar] [CrossRef] [PubMed]
- Maciulaitis, R.; Praniauskas, V.; Yakovlev, G. Research into the fire properties of wood products most frequently used in construction. J. Civ. Eng. Manag. 2013, 19, 573–582. [Google Scholar] [CrossRef]
- Hakkarainen, T. Rate of heat release and ignitability indices in predicting SBI test results. J. Fire Sci. 2001, 19, 284–305. [Google Scholar] [CrossRef]
- Kucera, P.; Lokaj, A.; Vicek, V. Behavior of the Spruce and Birch Wood from the Fire Safety Point of View. MATERIALS, MECHANICAL AND MANUFACTURING ENGINEERING. Book Ser. Adv. Mater. Res. 2014, 842, 725. [Google Scholar] [CrossRef]
- Fagbemi, O.D.; Andrew, J.E.; Sithole, B. Beneficiation of wood sawdust into cellulose nanocrystals for application as a bio-binder in the manufacture of particleboard. Biomass Conv. Bioref. 2021, 1–12. [Google Scholar] [CrossRef]
- Michalovič, R. Assessment of different floors materials from the point of view of fire safety. In Proceedings of the 19th International Scientific Conference Solving Crisis Situations in a Specific Environment, Faculty of Security Egineering University of Žilina, Žilina, Slovakia, 21–22 May 2014; pp. 497–504. [Google Scholar]
- Osvald, A.; Tereňová, Ľ.; Štefková, J. The Impact of Radiant Heat on Flexural Strength and Impact Toughness in OSB Panels. Delta 2020, 14, 26–35. [Google Scholar] [CrossRef]
- Sinha, A.; Nairn, J.A.; Gupta, R. Thermal degradation of bending strength of plywood and oriented strand board: A kinetics approach. Wood Sci. Technol. 2021, 45, 315–330. [Google Scholar] [CrossRef]
- Wang, Y.; Wang, W.; Zhou, H.; Qi, F. Burning Characteristics of Ancient Wood from Traditional Buildings in Shanxi Province, China. Forests 2022, 13, 190. [Google Scholar] [CrossRef]













| Samples | Designation | Density (kg.m−3) for Thickness (mm) | ||
|---|---|---|---|---|
| 12 | 15 | 18 | ||
| Particleboard (PB) | PB | 690 ± 9.8 | 713 ± 9.7 | 644 ± 10.1 |
| Oriented Strand Boards (OSB) | OSB | 562 ± 7.9 | 570 ± 12.1 | 569 ± 12.8 |
| Parameters | PB [64] | OSB [63] |
|---|---|---|
| Density (kg.m−3) | 665 | 630 |
| Moisture (%) | 5 | 5 |
| Swelling (%) | 3.5 | 15 |
| Thermal conductivity (W.m−2.K−1) | 0.10–0.14 | 0.13 |
| Specific heat (J.kg−1.K−1) [67] | - | 1460–1470 |
| Formaldehyde content (mg.100 g−1) | 6.5 | 8 |
| Flame spread rating (mm.min−1) | - | 83.8 |
| Reaction to fire | D-s1, d0 | |
| Radiant Heat Flux (kW.m−2) | Thickness (mm) | PB | OSB | ||
|---|---|---|---|---|---|
| Time-to-Ignition (s) | Mass LossΔm (%) | Time-to-Ignition (s) | Mass Loss Δm(%) | ||
| 43 | 12 | 89.0 ± 5.215 | 17.108 ± 0.520 | 107.4 ± 32.920 | 19.018 ± 0.742 |
| 15 | 92.6 ± 3.441 | 14.604 ± 0.375 | 172.8 ± 68.271 | 16.528 ± 1.103 | |
| 18 | 117.0 ± 5.513 | 13.198 ± 0.173 | 170.0 ± 19.279 | 12.436 ± 0.402 | |
| 44 | 12 | 80.0 ± 5.366 | 17.594 ± 0.409 | 80.80 ± 14.372 | 20.188 ± 1.210 |
| 15 | 86.4 ± 4.882 | 15.452 ± 0.355 | 108.0 ± 31.093 | 16.092 ± 0.885 | |
| 18 | 102.8 ± 4.308 | 13.754 ± 0.239 | 140.0 ± 31.698 | 13.256 ± 0.745 | |
| 45 | 12 | 78.2 ± 0.748 | 17.96 ± 0.301 | 100.2 ± 21.673 | 20.870 ± 0.889 |
| 15 | 84.4 ± 2.057 | 15.27 ± 0.294 | 86.4 ± 10.442 | 17.026 ± 0.541 | |
| 18 | 92.2 ± 2.481 | 13.87 ± 0.286 | 111.2 ± 24.235 | 13.716 ± 0.303 | |
| 46 | 12 | 71.6 ± 1.624 | 18.406 ± 0.522 | 84.4 ± 9.002 | 21.868 ± 0.879 |
| 15 | 76.0 ± 2.280 | 15.714 ± 0.290 | 93.4 ± 21.767 | 17.272 ± 0.647 | |
| 18 | 89.0 ± 7.974 | 13.776 ± 0.565 | 98.8 ± 12.592 | 13.504 ± 0.228 | |
| 47 | 12 | 66.4 ± 2.870 | 18.91 ± 0.288 | 71.0 ± 8.671 | 22.026 ± 0.908 |
| 15 | 73.8 ± 0.797 | 16.23 ± 0.363 | 67.08 ± 5.403 | 17.500 ± 0.455 | |
| 18 | 75.6 ± 3.720 | 14.48 ± 0.339 | 103.6 ± 18.391 | 13.818 ± 0.266 | |
| 48 | 12 | 64.0 ± 1.490 | 19.11 ± 0.338 | 58.60 ± 5.953 | 23.206 ± 0.505 |
| 15 | 69.4 ± 1.959 | 16.27 ± 0.373 | 63.40 ± 7.116 | 18.366 ± 0.910 | |
| 18 | 75.0 ± 2.000 | 14.65 ± 0.225 | 77.60 ± 25.881 | 14.222 ± 0.826 | |
| 49 | 12 | 60.6 ± 2.241 | 19.75 ± 0.439 | 65.0 ± 11.436 | 23.578 ± 0.858 |
| 15 | 66.0 ± 2.283 | 16.59 ± 0.333 | 62.20 ± 3.2497 | 18.764 ± 0.571 | |
| 18 | 67.2 ± 1.166 | 15.17 ± 0.131 | 63.20 ± 3.187 | 14.678 ± 0.899 | |
| 50 | 12 | 59.8 ± 2.638 | 19.91 ± 0.415 | 56.80 ± 2.039 | 24.302 ± 0.814 |
| 15 | 64.4 ± 2.497 | 16.5 ± 0.335 | 59.40 ± 5.607 | 19.402 ± 0.586 | |
| 18 | 66.8 ± 2.093 | 15.94 ± 0.945 | 60.20 ± 5.741 | 14.846 ± 1.033 | |
| Samples | Thickness (mm) | Heat Flux (kW.m−1) | Average | Hd α0.5 | |||||||
|---|---|---|---|---|---|---|---|---|---|---|---|
| 43 | 44 | 45 | 46 | 47 | 48 | 49 | 50 | ||||
| OSB | 12 | 107.40 | 80.00 | 100.2 | 84.4 | 71.0 | 58.6 | 65.00 | 56.8 | 77.9a | |
| OSB | 15 | 152.80 | 108.00 | 86.40 | 87.2 | 67.0 | 63.4 | 62.2 | 59.4 | 85.8b | |
| OSB | 18 | 170.00 | 140.00 | 105.20 | 98.8 | 103.6 | 77.6 | 63.2 | 60.2 | 102.3c | |
| PB | 12 | 89.00 | 80.00 | 78.2 | 71.6 | 66.4 | 67.0 | 60.6 | 59.8 | 71.6a | |
| PB | 15 | 92.60 | 86.00 | 84.4 | 76.0 | 73.8 | 69.4 | 66.0 | 64.4 | 76.6ab | |
| PB | 18 | 117.00 | 102.00 | 92.2 | 89.0 | 75.6 | 75.0 | 67.2 | 66.8 | 85.6b | |
| Average | 121.4e | 99.6d | 91.1d | 84.5c | 75.4b | 68.5ab | 64.0a | 61.2a | 4.47 | ||
| Samples | Heat Flux (kW.m−1) | Average | Hd α0.5 | |||||||
|---|---|---|---|---|---|---|---|---|---|---|
| 43 | 44 | 45 | 46 | 47 | 48 | 49 | 50 | |||
| OSB | 15.6 | 16.5 | 17.2 | 17.5 | 17.7 | 18.5 | 19.0 | 19.5 | 17.1a | |
| PB | 14.5 | 15.6 | 15.7 | 15.9 | 16.6 | 16.7 | 17.2 | 17.3 | 16.1a | |
| Average | 15.2b | 16.1a | 16.5a | 16.8a | 17.2a | 17.6a | 18.1c | 18.4c | 3.45 | |
| Sample | Drying Processes | Thermal Degradation Processes | ||||||||
|---|---|---|---|---|---|---|---|---|---|---|
| I. Stage | II. Stage | |||||||||
| Temperature Range (°C) | Tp (°C) | Δm (%) | Temperature Range (°C) | Tp (°C) | Δm (%) | Temperature Range (°C) | Tp (°C) | Δm (%) | Crezist (%) | |
| OSB | 42–136 | 72.3 | 4.86 | 179–381 | 325.7 | 65.07 | 381–524 | 443.0 | 29.34 | 0.61 |
| Particleboard | 42–136 | 72.3 | 5.32 | 146–378 | 320.3 | 64.65 | 378–525 | 445.7 | 29.53 | 0.64 |
Publisher’s Note: MDPI stays neutral with regard to jurisdictional claims in published maps and institutional affiliations. |
© 2022 by the authors. Licensee MDPI, Basel, Switzerland. This article is an open access article distributed under the terms and conditions of the Creative Commons Attribution (CC BY) license (https://creativecommons.org/licenses/by/4.0/).
Share and Cite
Marková, I.; Ivaničová, M.; Osvaldová, L.M.; Harangózo, J.; Tureková, I. Ignition of Wood-Based Boards by Radiant Heat. Forests 2022, 13, 1738. https://doi.org/10.3390/f13101738
Marková I, Ivaničová M, Osvaldová LM, Harangózo J, Tureková I. Ignition of Wood-Based Boards by Radiant Heat. Forests. 2022; 13(10):1738. https://doi.org/10.3390/f13101738
Chicago/Turabian StyleMarková, Iveta, Martina Ivaničová, Linda Makovická Osvaldová, Jozef Harangózo, and Ivana Tureková. 2022. "Ignition of Wood-Based Boards by Radiant Heat" Forests 13, no. 10: 1738. https://doi.org/10.3390/f13101738
APA StyleMarková, I., Ivaničová, M., Osvaldová, L. M., Harangózo, J., & Tureková, I. (2022). Ignition of Wood-Based Boards by Radiant Heat. Forests, 13(10), 1738. https://doi.org/10.3390/f13101738

