Landslide Susceptibility-Oriented Suitability Evaluation of Construction Land in Mountainous Areas
Abstract
1. Introduction
2. Area of Research and Data Source
2.1. Study Area
2.2. Data Sources
3. Development of Indicator System and Research Methodology
3.1. Indicator System for Landslide Susceptibility Assessment
3.2. Indicator System and Data on the Suitability of Land for Construction
3.3. Research Methodology
3.3.1. Research Steps
3.3.2. Random Forest
3.3.3. AHP Research Method
4. Results
4.1. Safety Level
4.2. Suitability Evaluation of Construction Lands
4.2.1. Analysis of Evaluation Results
4.2.2. Suitability Zoning of Construction Lands
5. Discussion and Conclusions
5.1. Discussion
5.1.1. Assessment of Significant Factors under Regional Characteristics
5.1.2. Optimization of Disaster Prediction Models
5.1.3. Suitability of Construction Land vs. Non-Construction Land
6. Conclusions
- (1)
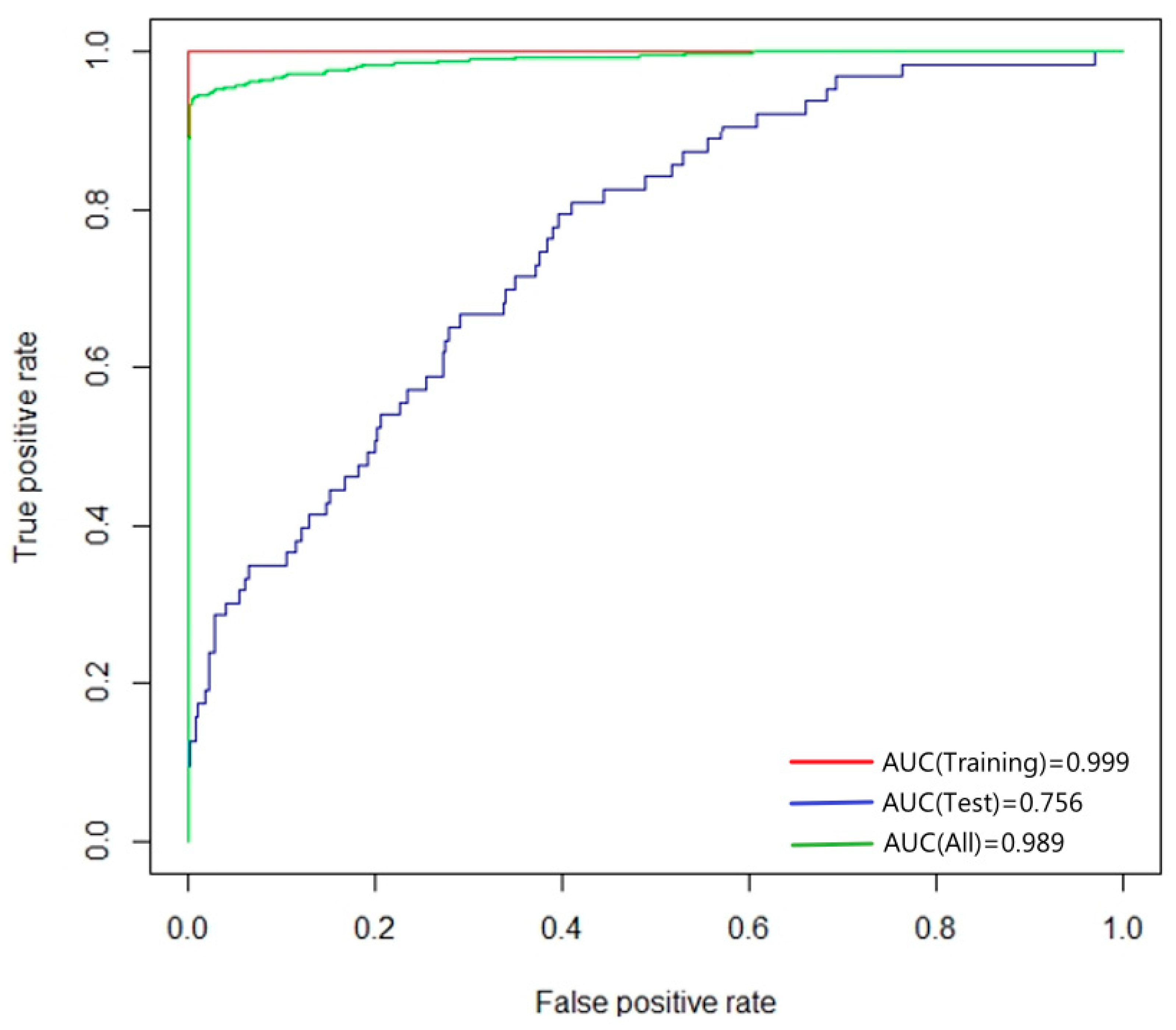
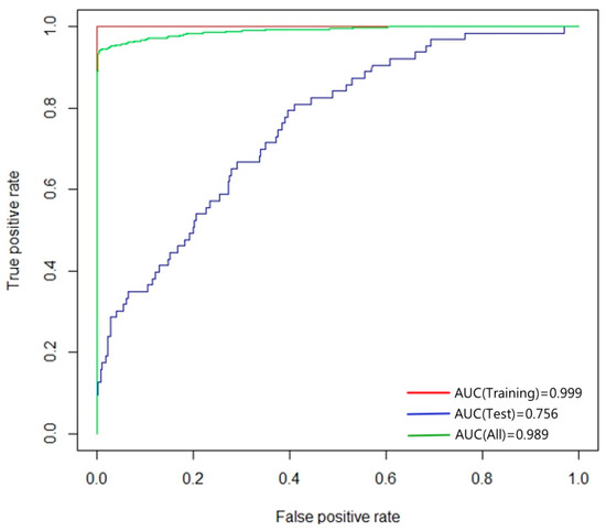
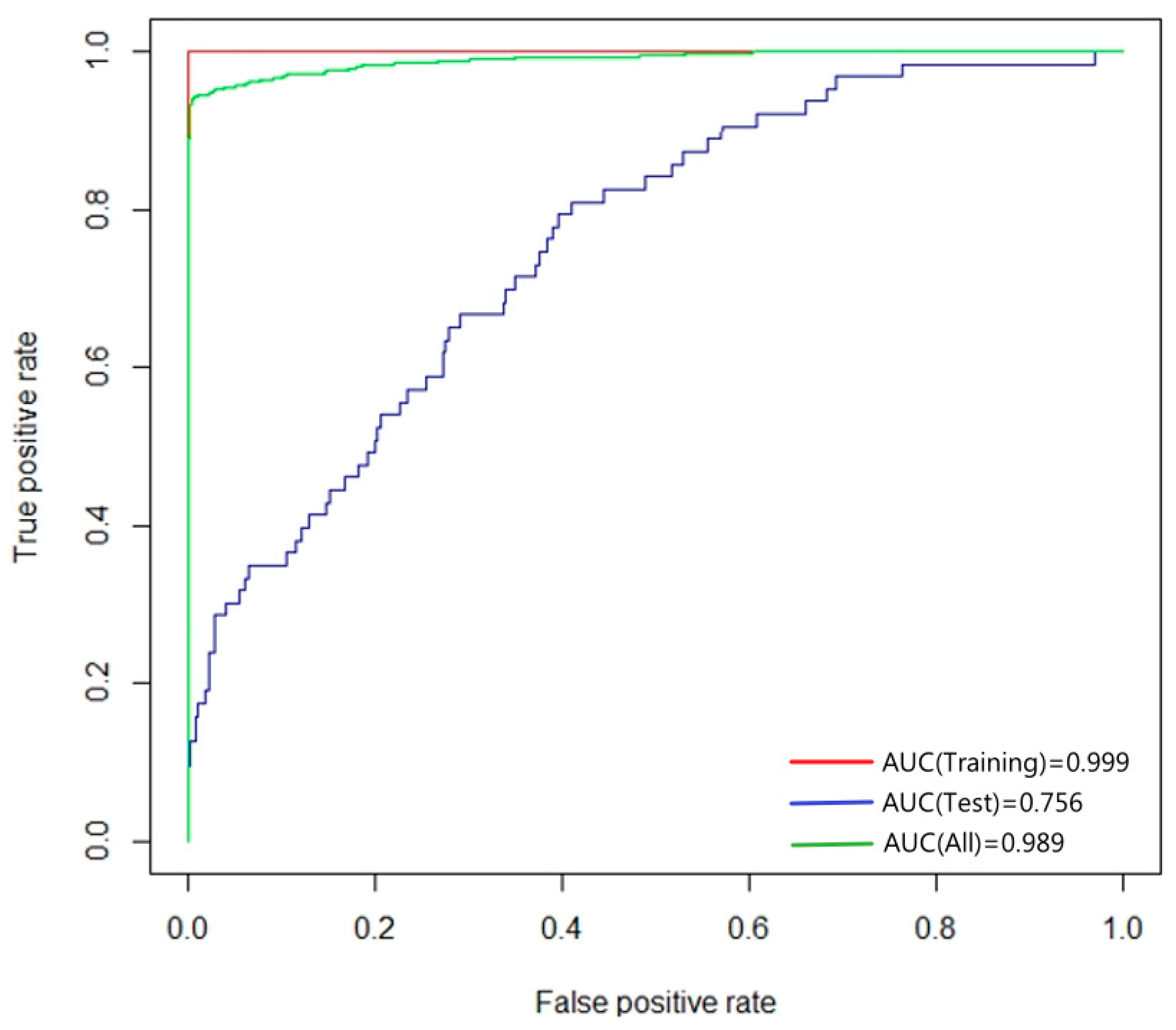
- The average accuracy of the tenfold cross-validation training set landslide data reached 0.978; the accuracy of the test set reached 0.913; the accuracy of the confusion matrix reached 97.2%; and the AUC values of the training test and all samples were 0.999, 0.756 and 0.989 respectively. The historical landslide sites in Hechuan District were mostly concentrated in highly susceptible areas, where the spatial areas of land with high landslide susceptibility and very high landslide susceptibility were 1.98 km2 and 2.22 km2, respectively, accounting for 2.47‰ and 6.53‰ of the study area. The areas with high landslide susceptibility were mainly concentrated in the south and southeast valleys and near the water system, whereas landslides were less frequent in the gentle hilly basin.
- (2)
- The suitability of land for construction in mountainous areas was found to be most influenced by landslide susceptibility, the distance from roads and the distance from built-up areas. Furthermore, the annual average rainfall, elevation and lithological factors were significant factors influencing landslides in such areas. The suitability of land for construction in mountainous areas near the main city was promoted by locational advantages and restricted by disasters.
- (3)
- Under the constraints of landslide susceptibility, the Hechuan District has considerable potential land reserves for construction in terms of more suitable areas and the most suitable areas (accounting for 61.01% of the study area) for construction. In terms of space, the more suitable and most suitable areas for construction were mainly distributed in the urban area, where the three rivers converge and the surrounding areas of small towns, showing a spatial distribution pattern characterized by a high central part and two low sides. The basically suitable areas for construction were mainly distributed at the buffer space on the periphery of the more suitable areas for construction.
Author Contributions
Funding
Data Availability Statement
Conflicts of Interest
References
- Pu, J.; Zhao, X.-Q.; Miao, P.-P.; Li, S.-N.; Tan, K.; Wang, Q.; Tang, W. Integrating multisource RS data and GIS techniques to assist the evaluation of resource-environment carrying capacity in karst mountainous area. J. Mt. Sci. 2020, 17, 2528–2547. [Google Scholar] [CrossRef]
- Cui, X.; Zhou, T.; Xiong, X.; Xiong, J.; Zhang, J.; Jiang, Y. Farmland Suitability Evaluation Oriented by Non-Agriculturalization Sensitivity: A Case Study of Hubei Province, China. Land 2022, 11, 488. [Google Scholar] [CrossRef]
- Tan, M.; Li, X.; Xie, H.; Lu, C. Urban land expansion and arable land loss in China—A case study of Beijing–Tianjin–Hebei region. Land Use Policy 2005, 22, 187–196. [Google Scholar] [CrossRef]
- Bagheri, M.; Zaiton Ibrahim, Z.; Mansor, S.; Manaf, L.A.; Akhir, M.F.; Talaat, W.I.A.W.; Beiranvand Pour, A. Land-Use Suitability Assessment Using Delphi and Analytical Hierarchy Process (D-AHP) Hybrid Model for Coastal City Management: Kuala Terengganu, Peninsular Malaysia. ISPRS Int. J. Geo-Inf. 2021, 10, 621. [Google Scholar] [CrossRef]
- Ustaoglu, E.; Aydınoglu, A.C. Suitability evaluation of urban construction land in Pendik district of Istanbul, Turkey. Land Use Policy 2020, 99, 104783. [Google Scholar] [CrossRef]
- Zhang, Y.; Chen, X. A Study on the Choices of Construction Land Suitability Evaluation of Ecological Index. Procedia Comput. Sci. 2016, 91, 180–183. [Google Scholar]
- Zhang, Y.; Wen, H.; Xie, P.; Hu, D.; Zhang, J.; Zhang, W. Hybrid-optimized logistic regression model of landslide susceptibility along mountain highway. Bull. Eng. Geol. Environ. 2021, 80, 7385–7401. [Google Scholar] [CrossRef]
- Sun, D.; Xu, J.; Wen, H.; Wang, Y. An Optimized Random Forest Model and Its Generalization Ability in Landslide Susceptibility Mapping: Application in Two Areas of Three Gorges Reservoir, China. J. Earth Sci. 2020, 31, 1068–1086. [Google Scholar] [CrossRef]
- Miao, F.; Zhao, F.; Wu, Y.; Li, L.; Xue, Y.; Meng, J. A novel seepage device and ring-shear test on slip zone soils of landslide in the Three Gorges Reservoir area. Eng. Geol. 2022, 307, 106779. [Google Scholar] [CrossRef]
- Miao, F.; Wu, Y.; Xie, Y.; Li, Y. Prediction of landslide displacement with step-like behavior based on multialgorithm optimization and a support vector regression model. Landslides 2017, 15, 475–488. [Google Scholar] [CrossRef]
- Taalab, K.; Cheng, T.; Zhang, Y. Mapping landslide susceptibility and types using Random Forest. Big Earth Data 2018, 2, 159–178. [Google Scholar] [CrossRef]
- Xie, P.; Wen, H.; Ma, C.; Baise, L.G.; Zhang, J. Application and comparison of logistic regression model and neural network model in earthquake-induced landslides susceptibility mapping at mountainous region, China. Geomat. Nat. Hazards Risk 2018, 9, 501–523. [Google Scholar] [CrossRef]
- Xu, K.; Kong, C.; Li, J.; Zhang, L.; Wu, C. Suitability evaluation of urban construction land based on geo-environmental factors of Hangzhou, China. Comput. Geosci. 2011, 37, 992–1002. [Google Scholar] [CrossRef]
- Sun, D.; Wen, H.; Xu, J.; Zhang, Y.; Wang, D.; Zhang, J. Improving Geospatial Agreement by Hybrid Optimization in Logistic Regression-Based Landslide Susceptibility Modelling. Front. Earth Sci. 2021, 9, 686. [Google Scholar] [CrossRef]
- Wang, Y.; Wen, H.; Sun, D.; Li, Y. Quantitative Assessment of Landslide Risk Based on Susceptibility Mapping Using Random Forest and GeoDetector. Remote Sens. 2021, 13, 2625. [Google Scholar] [CrossRef]
- Li, C.X.; Hong, Z.; Deliang, S.; Haijia, W.; Shuang, C. Evaluation of the suitability of rural settlement sites based on random forest algorithm: The case of Hechuan District, Chongqing. J. Chongqing Norm. Univ. 2022, 39, 93–104. [Google Scholar]
- Chongqing Hechuan District Bureau of Statistics. Hechuan District Statistical Yearbook; China Yinshi Press: Beijing, China, 2020; pp. 1–364.
- Liu, X.; Wang, Y.; Li, M. How to Identify Future Priority Areas for Urban Development: An Approach of Urban Construction Land Suitability in Ecological Sensitive Areas. Int. J. Environ. Res. Public Health 2021, 18, 4252. [Google Scholar] [CrossRef]
- Peng, J.; Ma, J.; Du, Y.; Zhang, L.; Hu, X. Ecological suitability evaluation for mountainous area development based on conceptual model of landscape structure, function, and dynamics. Ecol. Indic. 2016, 61, 500–511. [Google Scholar] [CrossRef]
- Huang, Y.; Zhao, L. Review on landslide susceptibility mapping using support vector machines. Catena 2018, 165, 520–529. [Google Scholar] [CrossRef]
- Reichenbach, P.; Rossi, M.; Malamud, B.D.; Mihir, M.; Guzzetti, F.J.E. A review of statistically-based landslide susceptibility models. Earth-Sci. Rev. 2018, 180, 60–91. [Google Scholar] [CrossRef]
- Chen, D.; Pan, Y.; Jin, X.; Du, H.; Li, M.; Jiang, P.J. The delineation of ecological redline area for catchment sustainable management from the perspective of ecosystem services and social needs: A case study of the Xiangjiang watershed, China. Ecol. Indic. 2021, 121, 107130. [Google Scholar] [CrossRef]
- Sun, D.; Wen, H.; Wang, D.; Xu, J. A random forest model of landslide susceptibility mapping based on hyperparameter optimization using Bayes algorithm. Geomorphology 2020, 362, 107201. [Google Scholar] [CrossRef]
- Xu, W.; Yu, W.; Jing, S.; Zhang, G.; Huang, J. Debris flow susceptibility assessment by GIS and information value model in a large-scale region, Sichuan Province (China). Nat. Hazards 2013, 65, 1379–1392. [Google Scholar] [CrossRef]
- Zhang, X.; Fang, C.; Wang, Z.; Ma, H. Urban construction land suitability evaluation based on improved multi-criteria evaluation based on GIS (MCE-GIS): Case of New Hefei City, China. Chin. Geogr. Sci. 2013, 23, 740–753. [Google Scholar] [CrossRef]
- Schapire, R.E. Random forests. Mach. Learn. 2001, 45, 5–32. [Google Scholar]
- Sun, D.; Xu, J.; Wen, H.; Wang, D. Assessment of landslide susceptibility mapping based on Bayesian hyperparameter optimization: A comparison between logistic regression and random forest. Eng. Geol. 2021, 281, 105972. [Google Scholar] [CrossRef]
- Saaty, T.L. Decision making with the analytic hierarchy process. Int. J. Serv. Sci. 2008, 1, 83–98. [Google Scholar] [CrossRef]
- Saaty, T.L. What is the analytic hierarchy process? In Mathematical Models for Decision Support; Springer: Berlin/Heidelberg, Germany, 1988; pp. 109–121. [Google Scholar]
- Yan, Y.; Zhang, Y.; Sharma, A.; Al-Amri, J.F. Evaluation of suitability of urban land using GIS technology. Sustainability 2021, 13, 10521. [Google Scholar] [CrossRef]
- Liu, Y.; Deng, W.; Peng, L. The coupling mechanism between the suitable space and rural settlements considering the effect of mountain hazards in the upper Minjiang River basin. J. Mt. Sci. 2020, 17, 2774–2783. [Google Scholar] [CrossRef]
- Wang, Y.; Jin, C.; Lu, M.; Lu, Y. Assessing the suitability of regional human settlements environment from a different preferences perspective: A case study of Zhejiang Province, China. Habitat Int. 2017, 70, 1–12. [Google Scholar] [CrossRef]
- Zhou, X.; Wen, H.; Li, Z.; Zhang, H.; Zhang, W. An interpretable model for the susceptibility of rainfall-induced shallow landslides based on SHAP and XGBoost. Geocarto Int. 2022; 1–27, (just-accepted). [Google Scholar]
- Zhou, X.; Wen, H.; Zhang, Y.; Xu, J.; Zhang, W. Landslide susceptibility mapping using hybrid random forest with GeoDetector and RFE for factor optimization. Geosci. Front. 2021, 12, 101211. [Google Scholar] [CrossRef]
- Zhang, R.; Wang, D.; Ai, D.; Sun, W.; Hou, Z. Suitability evaluation of urban land development based on niche and anti-planning. Trans. Chin. Soc. Agric. Eng. 2018, 34, 258–264. [Google Scholar]
- Yu, K.; Li, D.; Li, C. Ecological Security Patterns and Urban Growth Scenarios in Beijing. Acta Ecol. Sin. 2009, 29, 1189–1204. [Google Scholar]








| Data | Source | Type | Accuracy |
|---|---|---|---|
| Historical landslide | Chongqing Geological Monitoring Station | Data table | |
| DEM | Aster satellite | Raster data | 30 m |
| Geological | National Geological Archives Data Center | Raster data | 1:200,000 |
| Land use | Geographical Information Monitoring Cloud Platform | Vector | 1:100,000 |
| Administrative | Geographical Information Monitoring Cloud Platform | Vector | 1:100,000 |
| River network | Chongqing Water Resources Bureau | Vector | 1:100,000 |
| Yearly average rainfall | Geographical Information Monitoring Cloud Platform | Raster data | 30 m |
| Road | Resource and Environment Science and Data Center | Vector | 1:100,000 |
| Satellite image | Geospatial Data Cloud Platform | Raster data | 30 m |
| POI | Web crawlers | Data table | |
| Rural settlements | Land Change Investigation Database | Raster data | 30 m |
| Urban built-up area | Geographical Information Database | Raster data | 30 m |
| Ecological red line area | Chongqing Ministry of Natural Resources | Raster data | 30 m |
| Type | Impact Factor | Number of Classifications | Classification Thresholds or Criteria |
|---|---|---|---|
| Terrain topography | Elevation (m) | 10 | 1. <241; 2. 241~279; 3. 279~316; 4. 316~355; 5. 355~398; 6. 398~461; 7. 461~545; 8. 545~679; 9. 679~902; 10. >902 |
| Slope (°) | 9 | 1. <5; 2. 5~10; 3. 10~15; 4. 15~20; 5. 20~25; 6. 25~30; 7. 30~35; 8. 35~40; 9. >40 | |
| Degree of relief (m) | 7 | 1. <20; 2. 20~30; 3. 30~40; 4. 40~50; 5. 50~80; 6. 80~120; 7. >120 | |
| Aspect | 9 | 1. south; 2 southwest; southeast; 3. east; west; northwest; northeast; 4. north; 5. none | |
| Slope position | 6 | 1. ridge; 2. upper slope/cliff edge; 3. mid-slope; 4. flats slope; 5. down slope/cliff base; 6. valley floor | |
| Micro landform | 10 | 1. canyons, deeply incised streams; 2. mid-slope drainages, shallow valleys; 3. upland drainages, headwaters; 4. U-shaped valleys; 5. plains; 6. open slopes; 7. upper slopes, mesas; 8. local ridges, hills in valleys; 9. mid-slope ridges, small hills in plains; 10. mountain tops, high narrow ridges | |
| Synthetic curvature | 6 | 1. <−1; 2. −1~−0.5; 3. −0.5~0; 4. 0~0.5; 5. 0.5~1; 6. >1 | |
| Profile curvature | 6 | 1. <−1; 2. −1~−0.5; 3. −0.5~0; 4. 0~0.5; 5. 0.5~1; 6. >1 | |
| Plan curvature | 6 | 1. <−1; 2. −1~−0.5; 3. −0.5~0; 4. 0~0.5; 5. 0.5~1; 6. >1 | |
| TRI | 5 | 1. <1.05; 2. 1.05~1.1; 3. 1.1~1.15; 4. 1.15~1.2; 5. >1.2 | |
| TWI | 5 | 1. <4; 2. 4~6; 3. 6~8; 4. 8~10; 5. >10 | |
| Geological conditions | Slope type | 7 | 1. type I antegrade/inclined slope; 2. oblique slope; 3. oblique slopes; 4. cross slopes; 5. reverse slope; 6. type II forward/outward slopes; 7. flat slopes |
| Distance from fault (m) | 7 | 1. <500; 2. 500~1000; 3. 1000~1500; 4. 1500~2000; 5. 2000~2500; 6. 2500~3000; 7. >3000 | |
| Lithology | 8 | 1. Tlf-j; 2. P; 3. T21; 4. T3xj; 5. Jlz-2x; 6. J3sn; 7. Qp; 8. J2s | |
| Environmental conditions | Distance from rivers (m) | 7 | 1. <100; 2. 100~200; 3. 200~300; 4. 300~400; 5. 400~500; 6. 500~600; 7. >600 |
| Rainfall (mm) | 8 | 1. <1131; 2. 1131~1160; 3. 1160~1186; 4. 1186~1210; 5. 1210~1233; 6. 1233~1266; 7. 1266~1316; 8. >1316 | |
| Land cover | 9 | 1. woodland; 2. cultivated land; 3. water area and water conservancy facilities land; 4. woodland; 5. industrial and mining storage land; 6. garden plot; 7. other land; 8. land used for construction; 9. transportation land use | |
| NDVI | 6 | 1. <0.10; 2. 0.10~0.15; 3. 0.15~0.20; 4. 0.20~0.25; 5. 0.25~0.30; 6. >0.30 | |
| Meteorological hydrology | STI | 6 | 1. <20; 2. 20~40; 3. 40~70; 4. 70~100; 5. 100~200; 6. >200 |
| SPI | 7 | 1. <15; 2. 15~30; 3. 30~45; 4. 45~60; 5. 60~100; 6. 100~1000; 7. >1000 | |
| Human activity | Distance from roads (m) | 7 | 1. <100; 2. 100~200; 3. 200~300; 4. 300~400; 5. 400~500; 6. 500~600; 7. >600 |
| POI kernel density | 7 | 1. <1; 2. 1~2; 3. 2~3; 4. 3~4; 5. 4~5; 6. 5~10; 7. >10 |
| Factor | Impact | Number of Levels | Classification Threshold or Criteria | Reasons for Classification | Remarks |
|---|---|---|---|---|---|
| Safety | Landslide susceptibility | 5 | 1. very low; 2. low; 3. medium; 4. high; 5. very high | Expert experience (A) | The results of the landslide susceptibility assessment were combined with five levels of classification with reference to previous studies [23]. |
| Nature | Elevation (m) | 5 | 1. <270; 2. 270~335; 3. 335~447; 4. 447~709; 5. 709~1370 | Natural breakpoints (B) | The natural breakpoint method maximises the difference between classes, and the breakpoint itself is a suitable boundary for grading [24]. |
| Slope (°) | 5 | 1. <3; 2. 3~8; 3. 8~15; 4. 15~25; 5. >25 | Expert experience (A) | Slope classification with reference to Principles of Urban Planning (3rd edition) and previous studies [5]. | |
| Degree of relief (m) | 5 | 1. 11; 2. 11~20; 3. 20~31; 4. 31~46; 5. 46~125 | Natural breakpoints (B) | Ibid. | |
| Aspect (°) | 5 | 1. south; 2. southwest, southeast; 3. east, west, northwest, northeast; 4. north; 5. none | Proprietary classification (C) | None | |
| Distance from rivers (m) | 5 | 1. <300; 2. 300~500; 3. 500~1000; 4. 1000~1500; 5. >1500 | Expert experience (A) | Classification based on expert experience and relevant research [25]. | |
| Land cover | 5 | 1. lands for construction; 2. grassland and unused lands; 3. shrub; 4. forest land and cultivated land; 5. waters, beaches, and basic farmland | Proprietary classification (C) | None | |
| Distance from roads (m) | 5 | 1. <200; 2. 200~400; 3. 400~500; 4. 500~600; 5. >600 | Natural breakpoints (B) | The distance of the road from the built-up area was taken into account on the basis of natural breakpoints. | |
| NDVI | 5 | 1. <0.10; 2. 0.10~0.15; 3. 0.15~0.20; 4.0.20~0.30; 5. >0.30 | Natural breakpoints (B) | As aboved, NDVI = 0 indicates rocky or bare soil that is not suitable for building. NDVI is graded less than 0.1 for bare land, NDVI less than 0.3 for low vegetation cover and suitable for building, and between 0.1 and 0.3 according to the percentage of area in each zone. | |
| Society | Distance from rural settlements (m) | 5 | 1. <500; 2. 500~1000; 3. 1000~2000; 4. 2000~3000; 5. >3000 | Natural breakpoints (B) | The classification is based on the spatial distribution of the percentage of patches in rural settlements combined with natural breakpoints. |
| Distance from built-up areas (m) | 5 | 1. <500; 2. 500~1000; 3. 1000~2000; 4. 2000~3000; 5. >3000 | Natural breakpoints (B) | On the basis of known patch sizes of built-up land, combined with natural breakpoints for delineation. | |
| Ecology | Ecological red line area (nature reserve/important water-conservation sites) | 1 | constructive expansion prohibited zone | Proprietary classification (C) | Designated as a no-build zone. |
| Models | True Value | Accuracy | ||
|---|---|---|---|---|
| Landslide (1) | Non-Landslide (0) | |||
| Predicted value | Landslide (1) | TP | FP | Accuracy |
| Non-landslide (2) | TN | FN | Accuracy | |
| Recall rate | Recall rate | Total accuracy | ||
| Formula | Significance | |
|---|---|---|
| Accuracy ACC | Share of all correctly judged results of the classification model among the total number of observations | |
| Accuracy PPV | Of all the results for which the model prediction is positive, the proportion of model predictions that are correct | |
| Sensitivity TPR | Weight of model prediction pairs among all results for which the true value is positive | |
| Specificity TNR | The proportion of model predictions that are correct among all results for which the true value is negative |
| RF Predicted Value | True Value | Accuracy | |
|---|---|---|---|
| Landslides | Non-Landslide | ||
| Landslides | 528 | 0 | Accuracy: 1 |
| Non-landslide | 226 | 7507 | Accuracy: 0.971 |
| Recall rate: 0.700 | Recall rate: 1 | Accuracy: 0.972 | |
| Probability of Landslide | Susceptibility Level | Grids | Area Ratio % | Landslides | Landslide Ratio % | Landslide Density/(Pcs/km2) |
|---|---|---|---|---|---|---|
| <0.06 | Extremely low | 1,175,389 | 45.91 | 41 | 5.44 | 0.039 |
| 0.06~0.14 | Low | 791,083 | 30.67 | 74 | 9.81 | 0.104 |
| 0.14~0.24 | Medium | 373,736 | 14.41 | 80 | 10.61 | 0.238 |
| 0.24~0.38 | High | 174,718 | 6.53 | 91 | 12.07 | 0.579 |
| >0.38 | Extremely high | 63,634 | 2.47 | 468 | 62.07 | 8.172 |
| Index | Weight |
|---|---|
| Landslide | 0.33377 |
| Distance to built-up areas | 0.09437 |
| Distance to rural settlements | 0.04719 |
| Slope | 0.09307 |
| Distance from rivers | 0.09232 |
| Distance to roads | 0.12069 |
| NDVI | 0.08149 |
| Land cover | 0.06794 |
| Relief degree | 0.02743 |
| Aspect | 0.02493 |
| Elevation | 0.01682 |
| Item | Eigenvector | Weight Value | Maximum Eigenvalue | CI Value |
|---|---|---|---|---|
| Safety | 1.001 | 33.377% | 3.054 | 0.027 |
| Nature | 1.574 | 52.468% | ||
| Society | 0.425 | 14.156% |
| Item | Eigenvector | Weight Value | Maximum Eigenvalue | CI Value |
|---|---|---|---|---|
| Elevation | 0.257 | 3.206% | 8.959 | 0.137 |
| Relief degree | 0.418 | 5.227% | ||
| Aspect | 0.38 | 4.751% | ||
| Distance from rivers | 1.408 | 17.596% | ||
| Land cover | 1.036 | 12.949% | ||
| NDVI | 1.242 | 15.531% | ||
| Distance to roads | 1.84 | 23.002% | ||
| Slope | 1.419 | 17.738% |
| Items | Eigenvector | Weight Value | Maximum Eigenvalue | CI Value |
|---|---|---|---|---|
| Distance to rural settlements | 0.667 | 33.333% | 2 | 0 |
| Distance to built-up areas | 1.333 | 66.667% |
Publisher’s Note: MDPI stays neutral with regard to jurisdictional claims in published maps and institutional affiliations. |
© 2022 by the authors. Licensee MDPI, Basel, Switzerland. This article is an open access article distributed under the terms and conditions of the Creative Commons Attribution (CC BY) license (https://creativecommons.org/licenses/by/4.0/).
Share and Cite
Li, L.; Chen, X.; Zhang, J.; Sun, D.; Liu, R. Landslide Susceptibility-Oriented Suitability Evaluation of Construction Land in Mountainous Areas. Forests 2022, 13, 1621. https://doi.org/10.3390/f13101621
Li L, Chen X, Zhang J, Sun D, Liu R. Landslide Susceptibility-Oriented Suitability Evaluation of Construction Land in Mountainous Areas. Forests. 2022; 13(10):1621. https://doi.org/10.3390/f13101621
Chicago/Turabian StyleLi, Linzhi, Xingyu Chen, Jialan Zhang, Deliang Sun, and Rui Liu. 2022. "Landslide Susceptibility-Oriented Suitability Evaluation of Construction Land in Mountainous Areas" Forests 13, no. 10: 1621. https://doi.org/10.3390/f13101621
APA StyleLi, L., Chen, X., Zhang, J., Sun, D., & Liu, R. (2022). Landslide Susceptibility-Oriented Suitability Evaluation of Construction Land in Mountainous Areas. Forests, 13(10), 1621. https://doi.org/10.3390/f13101621

