Next Article in Journal
Promoting Landscape-Level Forest Management in Fire-Prone Areas: Delegate Management to a Multi-Owner Collaborative, Rent the Land, or Just Sell It?
Previous Article in Journal
Pathogenicity of Phytophthora× alni Isolates Obtained from Symptomatic Trees, Soil and Water against Alder
 
 
Font Type:
Arial Georgia Verdana
Font Size:
Aa Aa Aa
Line Spacing:
Column Width:
Background:
Article

Does the Reaction of Inflorescences and Flowers of the Invasive Prunus serotina Ehrh. to Various Herbicides Give Hope for Elimination of This Species from Polish Forests?

by
Dorota Wrońska-Pilarek
1,*,
Irmina Maciejewska-Rutkowska
1,
Jan Bocianowski
2,
Robert Korzeniewicz
3,
Kacper Lechowicz
1 and
Maria Hauke-Kowalska
3
1
Department of Botany and Forest Habitats, Poznań University of Life Sciences, 60-625 Poznan, Poland
2
Department of Mathematical and Statistical Methods, Poznań University of Life Sciences, 60-637 Poznan, Poland
3
Department of Silviculture, Poznań University of Life Sciences, Wojska Polskiego 71a, 60-625 Poznan, Poland
*
Author to whom correspondence should be addressed.
Forests 2022, 13(1), 21; https://doi.org/10.3390/f13010021
Submission received: 4 October 2021 / Revised: 14 December 2021 / Accepted: 21 December 2021 / Published: 23 December 2021
(This article belongs to the Section Forest Ecology and Management)

Abstract

:
The North American Prunus serotina Ehrh. is an invasive neophyte widespread in Polish forests. Due to the negative impact of this species on native vegetation, the most effective methods of its removal from the stands have been searched for. Our research aimed to determine whether herbicides that were applied in spring 2020 influenced morphological features of inflorescences and flowers of P. serotina in the next year of vegetation (i.e., 2021). So far, the effects of herbicides used were analysed in the same year, no later than a few weeks after their application. The experiment was carried out on the research area of 2.7 ha located in the Zielonka Forest near Poznań in Poland (N 52.5330, E 17.1015). The response of 39 P. serotina trees to six different herbicides, containing sulfonylurea derivatives, glyphosate and phenoxy herbicides was investigated. The chemicals were applied directly to the tree, to the holes made in the trunk axis. The plant material included inflorescences from 10 control trees and 29 trees treated with different herbicides. Nine morphological inflorescence and flower features and three ratios were analysed. In total 200 inflorescences and 1000 flowers were measured. Statistically significant differences between inflorescence and flower features collected from trees treated with different herbicides were demonstrated. The largest ranges of values of the studied features were found in inflorescences and flowers collected from the control trees (C-WI, C-DWH). The greatest variability of the studied features was found for C-DWH. Compared to the control trees the reduction in inflorescence size, as well as the smaller number of flowers, were recorded in the trees treated with different herbicides, irrespective of an active substance content. The use of six different herbicides—with different active substance contents to control P. serotina proves to be effective.

1. Introduction

Prunus serotina Ehrh. (Rosaceae Juss.)—black cherry is a tree native to the temperate zones of eastern North America. Its main range comprises south-eastern parts of Canada and central and eastern states of the USA between 49° N and 30° N, but it also occurs naturally in Mexico and Guatemala. It grows from the coastal plains at sea level to altitudes of 3200 m a.s.l. in Mexico [1,2,3,4]. In some parts of its native range, P. serotina is listed as a weedy species [5,6]. The species had been introduced into Europe, eastern South America, southeastern Australia as well as Central and Africa (Burundi and Rwanda) [7].
Prunus serotina (or more precisely P. serotina var. serotina) was first introduced to Europe via France and England in the 17th century as an ornamental tree. At the end of the 18th century, black cherry was also recommended as a timber tree for poor soils. Next, from the 19th century onward P. serotina was widely cultivated in European forestry to improve soil quality or to prevent fire around pine plantations. Now the species is widespread in the western and central parts of the continent and many countries it has been reported as invasive [1,2,8,9,10]. In Poland, P. serotina was first recorded in cultivation in 1813 [11]. It was introduced to the natural forest vegetation in 1947 [12], but most commonly planted between the years 1960 and 1980. Currently, P. serotina is an invasive neophyte, widely distributed throughout the country, most frequently in its central and south-western parts [11]. Research on the phenomenon of black cherry expansion into the forest phytocoenosis of Poland has been conducted for many years e.g., [13,14,15,16,17,18].
In Poland, with the forest cover at about 30% of the country area, P. serotina has entered into most of the forest habitats, from coniferous to oak-hornbeam and beech forests [11,19]. With increasing awareness of the negative impact of P. serotina on native vegetation, the most effective methods of its removal from the stands have been searched for. To this day, however, the problem remains unresolved.
Currently used mechanical methods for combating P. serotina are expensive and time-consuming [20,21,22,23]. The use of herbicides is much cheaper than mechanical methods but can have undesirable side effects on the ecosystem. In most European countries, including Poland, chemicals have been used to combat black cherry for many years. In the 1960s 2,4,5-trichlorophenoxyacetic acid (2,4,5-T) was widely used, but due to its toxicity to fauna and humans, its application was banned in the western part of the continent [24]. Since the mid-1970s, preparations containing glyphosate have been used in Europe to eliminate black cherry. The use of a high concentration of this compound and various application methods result in high effectiveness in the case of young plants (even 90% mortality) [21,25,26,27]. However, the effect of herbicide exposure (not only in the case of glyphosate) on plant reproduction (i.e., flowering) is rarely evaluated [28]. Morphological features of flowers are crucial in the generative reproduction of plants, thus they should be most representative when assessing the effect of herbicides on P. serotina condition.
Our research aimed to determine whether herbicides that were applied in spring 2020 influenced morphological features of inflorescences and flowers of P. serotina in the next year of vegetation (i.e., 2021). All other authors mainly focused on the effects of herbicides several weeks after their application. In our research, a new aspect of herbicide impact on plants was analysed after a relatively long time from their use.
Thus, no similar studies have been conducted so far. The results of our studies will contribute to a better understanding of the response of the species generative organs to treatments used to inhibit the generative reproduction of invasive black cherry. We assumed that inflorescences and flowers of P. serotina would react to the applied herbicides, e.g., by reducing the size of inflorescences and flowers or reducing the number of flowers. We did not assume a significantly increased reaction of the examined organs to the concentration of active substances in individual herbicides.

2. Study Area

The research object is located in the Zielonka Forest near Poznań (33 km) in the area of the Forest Experimental Station (division 49 c) in Murowana Goślina, which is a unit of the Poznań University of Life Sciences (geographical coordinates of the experimental site centre N 52.5330, E 17.1015). This area for research on the black cherry of 2.7 ha was set up in 2020 by employees of the Department of Silviculture, the Poznań University of Life Sciences. The 30-year old black cherry trees are growing under the canopy of a 97-year old stand of Pinus sylvestris L., within the habitat of fresh mixed forest. The black cherry trees are 10–12 m in height at DBH 8–12 cm.

3. Materials and Methods

The herbicides were applied on 7–9 April 2020, at an air temperature of 10–14 °C (average of day), to chosen (DBH 10 cm +/− 0.5 cm) and previously marked trees. The black cherry was in the process of leaf development (Figure S1). The study on the generative organs was carried out one year after the application of the herbicides (i.e., 2021) because in 2020 the trees developed too few inflorescences.
The choice of the herbicides for experiments aimed to identify alternative herbicides/substances that may replace glyphosate, which is characterized by a strong action, therefore, is effective against P. serotina. The selection procedure was multi-stage. Only herbicides registered and approved for use in Poland and commercially available in our country were considered. The herbicides were selected to contain different active substances, and therefore they have different mechanisms of action. In the next stage, the consent of the Ministry of Agriculture and Rural Development was obtained for the use of selected herbicides in experimental studies in the stand. Before starting the experiment in the stand a forest nursery test was established. The test aimed to select herbicides with phytotoxicity similar to Roundup (glyphosate), commonly used to combat P. serotina. A detailed description of the herbicide selection was provided in the Research Report of control of P. serotina [29].
Detailed descriptions of six herbicides used are given in Table 1. The herbicides were diluted from the stock. The concentration of the solution is given in Table 1. Two millilitres of the herbicide solution were applied to the drill. The used amounts of herbicide correspond to the area of 2 m2 of soil, equivalent to traditional medium-drop spraying at the maximum dose allowed by the manufacturer. The herbicides were applied directly to the holes made in the trunk axis towards the bark, at a height of 1.3 m at an angle of approx. 45° using a drill of 8 mm in diameter. The holes were secured against drying with a wooden dowel.
Inflorescences were collected on 8 June 2021, from 39 black cherry trees growing on the research plot. For each of the six herbicides used and for each of the two types of controls, the response of five randomly selected trees was tested. Due to the lack of inflorescences, only four trees were analysed in the case of Fundamentum. Two types of control (reference) trees were selected: one type were trees not subjected to any interference (Control-without any interference—C-WI), and the other—trees that were drilled, but 2 mL of water were applied instead of the herbicide (C-DWH).
At the beginning of June 2021 for each of the P. serotina trees, five inflorescences were collected. The racemose inflorescence of P. serotina is terminal, with a dozen to several dozen flowers. Pedunculate flowers are fivefold, with a cupulate hypanthium. The 20 stamens are arranged in three whorls, in a typical pattern of 10+5+5. There is one pistil with a stigma lower than the anthers [9,30] (Figure S2). The plant material was stored in the Department of Botany and Forest Habitats, the Poznań University of Life Sciences.
For each inflorescence, the length of the peduncle (LP) and the number of flowers (FN) were determined. Then five mature and properly developed flowers from the central part of each inflorescence were analysed in detail and the length of flower peduncle (LFP), the longest diameter of the flower (corolla) (FD), viability of stamens (SV) and the number of pistils (PN) were determined. Moreover, the following ratios: LP/LFP, FD/LFP, LP/FN were calculated. In total 200 inflorescences and 1000 flowers were measured and their nine features were investigated.
The measurements were carried out under a stereomicroscope (Bresser Researcher ICD) with an accuracy of 1 mm. The degree of androecium and gynoecium development and their viability were checked using the same microscope. The obtained inflorescence and flower measurements collected from trees treated with herbicides were compared with the characteristics of reference trees.

4. Statistical Analysis

The normality of distributions for the seven studied features (length of inflorescence peduncle—LP, flower diameter—FD, length of flower peduncle—LFP, the number of flowers in inflorescences—FN and LP/LFP, FD/LFP, LP/FN ratios) was tested using Shapiro–Wilk’s normality test [31].
Multivariate analysis of variance (MANOVA) was carried out to determine the effects of herbicides. Next, a one-way analysis of variance (ANOVA) was carried out to determine the effects of herbicides on the variability of examined features for each feature independently. The minimal and maximal values, arithmetical means, standard deviations and coefficients of variation (CVs) of features were calculated. Moreover, Fisher’s least significant differences (LSDs) were also estimated at the significance level α = 0.05. Homogeneous groups for the analysed features were determined based on LSDs. The parallel coordinate plot [32] is proposed as an efficient tool to visualize the mean values of seven features in P. serotina exposed to different herbicides. The relationships between observed features were assessed based on Pearson’s correlation for means of herbicides. Results were also analysed using multivariate methods. The canonical variate analysis (CVA) was applied to present a multi-trait assessment of similarity for the tested herbicides in a lower number of dimensions with the least possible loss of information [33]. It makes it possible to show variation in herbicides in terms of all the observed features in the graphic form. The Mahalanobis distance was suggested as a measure of “polytrait” herbicides similarity [34], which significance was verified by means of critical value Dα called “the least significant distance” [35].
MANOVA and ANOVA were performed to verify the null hypotheses of a lack of tree effect in terms of the values of the seven observed features. The minimal and maximal values, arithmetical means, standard deviations and coefficients of variation (CVs) of features were calculated. Fisher’s LSDs were estimated at the significance level α = 0.001 and used to determine homogeneous groups. The relationships between observed features were assessed based on Pearson’s correlation for means of trees. Results were also analysed using multivariate methods. The CVA was applied to present a multitrait assessment of similarity for the tested trees. The Mahalanobis distances were estimated. The differences between the analysed trees were verified by cluster analysis using the nearest neighbour method and Euclidean distances [36]. All the analyses were conducted using the GenStat (18th edition) statistical software package [37].

5. Results

The empirical distribution of observations of the seven observed features (length of inflorescence peduncle—LP, flower diameter—FD, length of flower peduncle—LFP, the number of flowers in inflorescences—FN and LP/LFP, FD/LFP, LP/FN ratios) was normal. The results of the MANOVA indicated that all studied herbicides were significantly different regarding all seven quantitative features jointly (Wilk’s lambda = 0.473; F = 15.83; p < 0.0001). The results of the analysis of variance for these features independently [LP (F7;967 = 60.46), LFD (F7;967 = 23.02), FN (F7;967 = 53.36), LP/LFP (F7;967 = 25.74), FD/LSP (F7;967 = 14.10) and LP/FN (F7;967 = 10.96)] showed variability of the tested herbicides at the significance level α = 0.001. Only one of the observed features—flower diameter (FD; F7;967 = 0.86) was not determined by herbicides (p = 0.537). In this study, the length of the inflorescence peduncle (LP) was on average 78.18 mm and ranged from 37.00 to 127.00 mm (Table 2, Figure 1).
The shortest axis was found in tree no. 30 treated with the Mustang herbicide, while it was longest in trees 1 and 5, which belonged to the control-drill without herbicide (C-DWH) group. The average number of flowers in inflorescence (FN) was 27.05 and varied from 11 flowers in tree 17 (Chwastox) to 48 in control tree number 1 (C-DWH) (Table 2, Figure 1).
Flower diameter (FD) was on average 8.89 mm (Table 2, Figure 1). The smallest flowers (7 mm) were found in trees 1 (C-DWH), 6 (Control—without any interference—C-WI), 28 (Logo), 32 (Mustang) and 39 (Roundup), while the largest flowers (11.00 mm) were observed in trees 15 (Chikara), 17 (Chwastox) and 37 (Roundup). The length of the flower peduncle (LFP) was quite varied and averaged 5.46 mm. The shortest peduncles (3.00 mm) were recorded in trees 23 (Fundamentum) and 25 (Logo), and they were longest (9.00 mm) in two control trees—no. 2 (C-DWH) and no. 10 (C-WI) and 21 (Fundamentum) (Table 2 and Table S1, Figure 1).
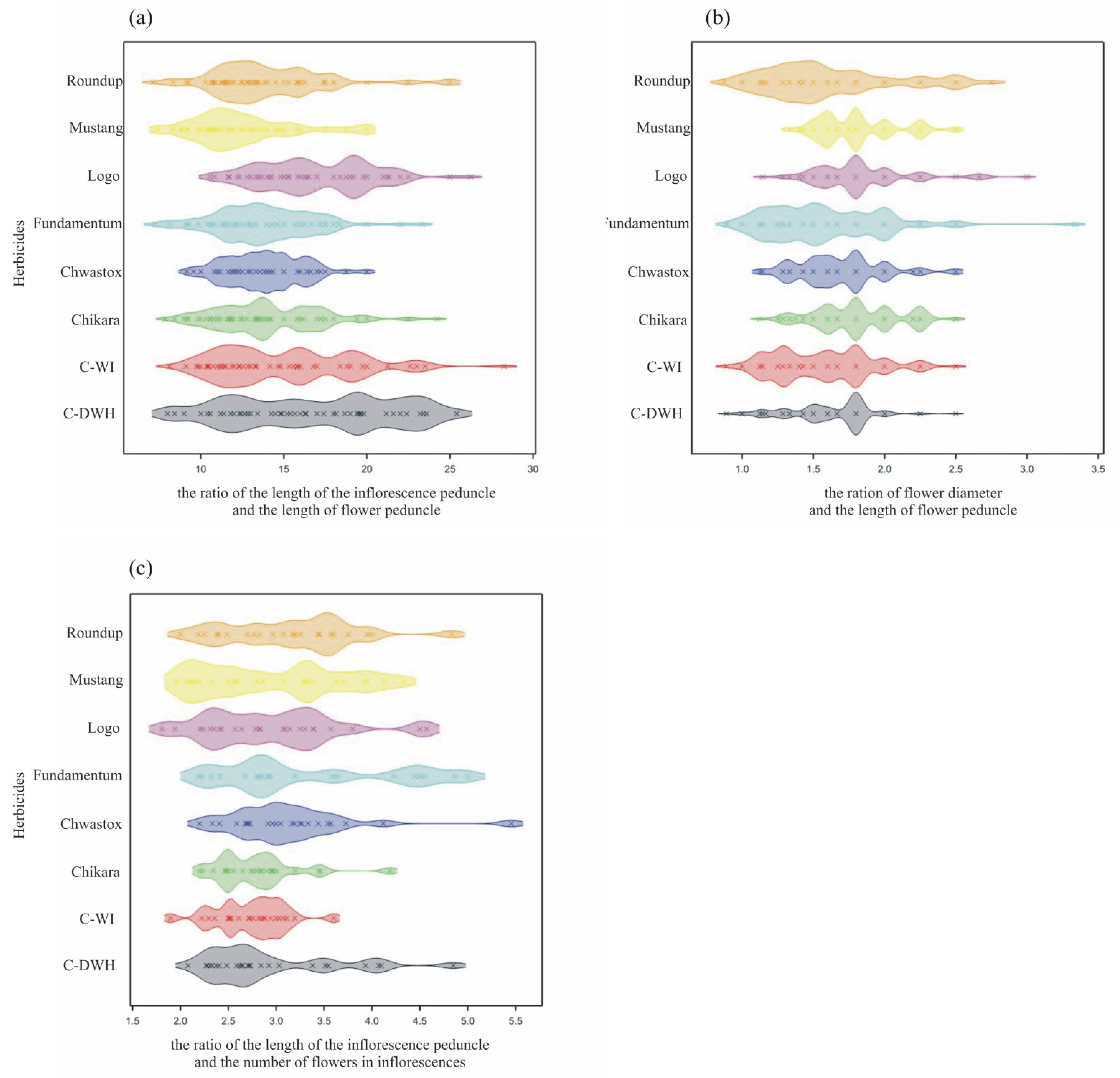
All analysed flowers of the black cherry had properly developed and vital stamens. Similarly, they were with properly developed gynoecia. Usually, only one pistil per flower was observed; however, two pistils were found in four flowers in tree number 29 treated with the Logo herbicide (Figure S2). The LP/LFP ratio was on average 14.69 and ranged from 7.14 to 28.25. The smallest value of this ratio was recorded in flowers from tree 38 (Roundup), while it was highest in control tree no. 6 (C-WI). This feature showed considerable variability (Table 2, Figure 2).
The length of the inflorescence peduncle was from several to several dozen times longer than the length of the flower peduncle. Another feature—the FD/LFP ratio (flower diameter to length of its peduncle) was much less variable than the previous one and it was on average 1.69 (0.88–3.33). The smallest value of this ratio was recorded for flowers from tree no. 39 (Roundup), and the largest from tree 23 (Fundamentum) (Table 2, Figure 2). Generally, flower diameter was greater than the length of the flower peduncle, but in six trees the values of these features were the same [2 (C-DWH), 9 and 10, 21 and 22 (Fundamentum), 39 (Roundup)]. In a few flowers from trees 2 (C-DWH), 10 (C-WI), 21 (Fundamentum) and 39 (Roundup) the flower diameter was slightly shorter than the flower peduncle.
The LP/FN ratio (length of the inflorescence peduncle to the number of flowers in inflorescence) was on average 2.99 (1.81–5.45). The lowest value of this feature was found for tree 29 (Logo), while it was highest in tree 4 (Chwastox) (Table 2 and Table S1, Figure 2).
The relationships between mean values of the observed features were presented in the parallel coordinate plot (Figure 3). The greatest variation among mean values of herbicides was observed for LP (130.39), with mean values ranging from 60.52 (for Mustang) to 93.72 (for C-DWH). The largest coefficient of variation (14.45%) for mean values of herbicides was observed for FN; mean values of FN ranged from 21.44 (for Mustang) to 32.32 (for C-DWH) (Figure 3). The correlation coefficients between all pairs of observed features for means of herbicides were presented in the form of a heatmap in Figure 4. This analysis indicated statistically significant positive correlations between FN and LP (r = 0.903), FN and LP/LFP (r = 0.881) as well as LP/LFP and LP (r = 0.838) (Figure 4). At the same time, a statistically significant negative correlation was observed between FD/LFP and LP (r = −0.99) (Figure 4).
The largest ranges for most features of inflorescences and flowers were found in trees of two control groups C-DWH (LP, FN, LFP, LP/LFP, LP/FN) and C-WI (LFP, LP/LFP). Less frequently, the largest ranges of given features (FN, LFP, FD/LFP) were found in inflorescences and flowers of trees treated with Roundup and Fundamentum, and individually (LP/FN) in the case of Chwastox.
Individual features were of varying importance and had different shares in the joint multivariate variation of the studied herbicides. Analysis of the first two canonical variates for herbicides regarding the seven quantitative features is shown in Figure 5. In the graph, the coordinates of the point for a particular herbicide were the values for the first and second canonical variate, respectively. The first two canonical variates accounted for 84.23% of the total variability between the individual herbicides. The most significant positive, linear relationship with the first canonical variate was found for LP, FN and LP/LFP (Table 3). The second canonical variate was significantly positively correlated with LFP and LP/FN, while it was negatively correlated with FD/LFP.
The greatest variation in terms of all the seven features jointly measured with Mahalanobis distances was found for C-DWH and Mustang (distance between them amounted to 2.473). The greatest similarity was found between Fundamentum and Roundup (0.400) (data not shown).
The results of the MANOVA indicated that all the studied trees were significantly different regarding all seven quantitative features (Wilk’s l = 0.0065; F = 26.04; p < 0.0001). The results of the analysis of variance for these features [LP (F38;936 = 72.50), FD (F38;936 = 8.63), LFD (F38;936 = 37.18), FN (F38;936 = 66.07), LP/LFP (F38;936 = 49.20), FD/LFP (F38;936 = 30.54) and LP/FN (F38;936 = 54.11)] showed variability of the tested trees at the significance level α = 0.001. The description of mean values for the individual characteristics is shown in Table S1.
The relationships between mean values for trees of the observed features were presented in the form of a heatmap in Figure 6. This analysis indicated statistically significant positive correlations between FN and LP (r = 0.648), LP/LFP and LP (r = 0.739), LP/LFP and FN (r = 0.541), FD/LFP and FD (r = 0.382) as well as FD/LFP and LP/LFP (r = 0.427) (Figure 6). Statistically significant negative correlations were observed between LP/LFP and LFP (r = −0.446), FD/LFP and LFP (r = −0.956) as well as LP/FN and FN (r = −0.583) (Figure 6).
Individual features were of varying importance and had different shares in the joint multivariate variation of the studied trees. Analysis of the first two canonical variates for trees regarding the seven quantitative features is shown in Figure 7. In the graph the coordinates of the point for a particular tree were the values for the first and second canonical variate, respectively. The first two canonical variates accounted for 63.94% of the total variability between the individual trees. The most significant positive, linear relationship with the first canonical variate was found for LP, FN and LP/LFP (Table 4). The second canonical variate was significantly positively correlated with LFP and LP/FN, whereas it was correlated negatively with FD, FN and FD/LFP (Table 4).
The greatest variation in terms of all the seven features jointly measured with Mahalanobis distances was found for trees 5 (C-DWH) and 34 (Mustang) (distance between them amounted to 8.333). The greatest similarity was found between trees 19 (Fundamentum) and 24 (Chwastox) (0.538).
In the dendrogram presented in Figure 8, all the examined 39 P. serotina trees were divided into four groups as a result of agglomeration grouping using the Euclidean distance method. The first group comprised one tree—no. 5, while the second one had four trees (21, 22, 38 and 39). The third group contained five trees: 12, 17, 25, 30 and 33. The fourth group contained the rest of the trees.

6. Discussion

To date, no studies have been conducted on the morphological variation of P. serotina inflorescence outside the range of its natural occurrence. Such data would undoubtedly be valuable in the research on the species response to various factors.
According to McVaugh [5], P. serotina is a polytypic species consisting of five subspecies, relatively separated by geography, with morphological differences and distinctive habitats. Based on the investigation of the genetic structure of 18 natural populations of four P. serotina subspecies, Guzman et al. [38] found that the subspecies genetic distinctiveness was subtle. Currently, in its native range, P. serotina has been divided into four varieties [9], of which P. serotina var. serotina (limited in natural occurrence to the Allegheny Plateau in Pennsylvania) is the most commonly introduced.
Systematic reviews of the species by both McVaugh [5] and Rohrer [9] are based on the morphological properties of leaves and not on generative organs. McVaugh [5] when narrowing down the data to the subspecies P. serotina estimated the mean flower number in inflorescence at 35, with the greatest number observed 93 and the mean length of the racemose axis about 120 mm, within the range 60–150 (−210) mm. In turn, according to Rohrer [9], within the entire range of P. serotina the inflorescences consist of 18–55 up to even 90 flowers, on the axis (25-)35–160 mm long. Considering current data obtained in relation to the control trees only (thus excluding the effects of herbicides), they are in the ranges of morphological variation for flowers and inflorescences defined by Rohrer [9]. Compared to McVaugh’s study [5], presently analysed inflorescences (similarly only from the control trees) have on average shorter axes (±30 mm) and with a slightly smaller mean number of flowers (±3), but slightly longer mean flower peduncles (±1 mm). On the other hand, the mean number of flowers per inflorescence from control trees is quite similar to that cited by Wang et al. [30] as the range for the species (32–40 flowers) but actually observed flowers are slightly smaller (±0.1–0.5 mm in flower diameter). The morphological differences indicated above may to some extent arise from the influence of habitat factors. Guzmán et al. [4] proved that the habitat, in particular altitude, temperature and precipitation are partially associated with morphological variations of some P. serotina subspecies features, including length of stamens and fruit pedicel.
The herbicides are known to reduce the number of flowers and delay flowering, with the result dependent on the herbicide used and the plant species [28]. Current research revealed a negative effect of all used herbicides (considered together) on the size of inflorescences and the number of flowers per inflorescence. Totally on average the racemes from trees treated with any of the herbicides were ±15 mm shorter and they had ±8–9 flowers fewer than the racemes from the control trees. However, no significant differences were visible between the flowers from the control and herbicide-treated trees, except for peduncle length. Usually, it was ±0.5 mm shorter in flowers from herbicide-treated trees. All the other analysed flower features, such as flower diameter, proper development of stamens and pistils were similar, irrespective of tree treatment. In this study, the herbicides were applied when the black cherry trees were in the leaf development phase. In studies on various herbal species, Boutin et al. [39] showed that plants sprayed during early vegetative stages were affected in their vegetative parts and this was a period where plants appeared to be very sensitive. At the same time, the authors noted that plant responses could first be delayed and then very pronounced. We should also remember that plants may contain a large number of enzymes that metabolize herbicides to non-phytotoxic products [40].
In an experiment reported by Carpenter et al. [28] conducted on nine wild plant species, despite the low dose glyphosate exhibited the greatest negative effect out of five different herbicides used, and it often led to plant death. Even herbicide-resistant plants may be affected by this chemical. Yasuor et al. [41] stated that late glyphosate spraying of glyphosate-resistant cotton Gossypium hirsutum L. caused abnormal development of flowers, with non-dehiscent anthers containing irregularly shaped and less viable pollen grains. In contrast, pistils of treated plants were functional and did not show any modifications. In this study glyphosate (Roundup) did not induce such visible morphological modifications or injury symptoms in flowers. In our study, two pistils per single flower in tree number 29 treated with the Logo herbicide were observed. However, this anomaly may not have been directly connected with the use of the herbicide, since two pistils were found only in four flowers collected from the same tree. At the same time, it may not be ruled out that this was an effect of individual variability. Herbicides derived from sulfonylureas that inhibit acetolactate synthase (ALS) are most widely used [42]. In the present study, the group of these chemicals included Chikara, Fundamentum and Logo. Yu et al. [43] observed that trace amounts of sulfonylurea herbicide tribenuron-methyl caused male sterility in 17 species and subspecies from the family Brassicaceae. Plant exposure to 0.8–1.2 mg/L of tribenuron-methyl resulted in a reduction of plant height and biomass and deformed flowers that lacked petals and undeveloped stamens. In another research on Brassica napus L. Yu et al. [44] reported that the application of sulfonylurea herbicide, especially tribenuron-methyl, reduced pistil length, petal size, diameter of corolla and seed-setting rate. Similarly, in the present study, P. serotina inflorescences from trees treated with the three herbicides based on the sulfonylurea derivatives (i.e., Chikara, Fundamentum and Logo) had smaller dimensions and fewer flowers than those from control trees (C-WI). A comparison of the effects of these herbicides on the examined organs showed that the average length of the inflorescence differentiated the most (especially Chikara, Fundamentum, and Logo) and the diameter of the flower (corolla) differentiated the least.
It is also worth noting that the currently described study was carried out one year after the herbicide use. In contrast, Yu et al. [43,44] investigated in the same year after herbicide application.
The herbicides used in this experiment functionally work based on different target mechanisms. All of them contributed, however, to the reduction of inflorescence size and flower number, irrespective of their active substance contents. It could be assumed that such a result was obtained, since all the herbicides used inhibited the growth and development of analysed tree species, regardless of the concentration of the active substance. Therefore, for all the six preparations it cannot be excluded that even a small content of the active substance is sufficient to reduce the inflorescence size and flower number in P. serotina.
This study revealed a statistically significant influence of all the herbicides used on almost all observed inflorescence and flower features, except for flower diameter (FD).

7. Conclusions

  • This study revealed morphological differences among the seven (out of 9) tested features of P. serotina inflorescences and flowers collected from 10 control trees compared to the 29 trees treated with six various herbicides. Two features—stamen viability (SV) and pistil number (PN) were practically the same for all the trees investigated. The only exception was four flowers from tree no. 29 (treated with Logo), for which two pistils were found instead of one.
  • A new aspect of the current research was a long-term analysis of the herbicide impact on flower and inflorescence development. The investigated P. serotina trees were treated with six types of chemicals at the beginning of April 2020, and the generative material for the study was harvested at full flowering in June 2021. Thus our experiment lasted over a year. As a rule, in other investigations with herbicides, their effectiveness is checked within a short period of at most several weeks after application, where inhibition of growth and plant development is visible after only a few days. The doses of chemicals used are intended to cause plant death. Therefore it is not possible to check the side effects of herbicides on plant development in the longer term. Thus, our research supplements knowledge on the herbicide influence after a relatively long time after its application.
  • The largest ranges of values of the studied features were observed in inflorescences and flowers collected from the control trees (C-WI, C-DWH). The average values of these features were similar and most often higher than the values for trees treated with herbicides.
  • The greatest variability in the features of inflorescences and flowers was found for C-DWH. The values of the features after the application of Fundamentum slightly differed from those obtained for the other herbicides, being the closest to Roundup. Similar features of the examined generative organs were observed in the trees treated with Logo and Roundup, as well as those treated with Chwastox, Chikara and Mustang (see Figure 5).
  • This study contributes to the search for effective methods of combating the invasive black cherry in forests. The use of six different herbicides—with different active substance contents—to control P. serotina proves to be effective. One year after their application a reduction was observed in the size of inflorescences, as well as the number of flowers. This effect was obtained for all the herbicides used. It may indicate that already a small amount of the active substance is sufficient to reduce the size of inflorescences and the number of flowers in P. serotina. There is no doubt that a continuation of the research in the years following herbicide application will yield further valuable results.

Supplementary Materials

The following supporting information can be downloaded at: https://www.mdpi.com/article/10.3390/f13010021/s1, Figure S1: Leaf development phase during herbicide application in April 2020 (R. Korzeniewicz); Figure S2: P. serotina (a)—inflorescence, (b)—front view of flower, (c)—longitudinal view of flower, (d)—double pistil (P. Kiciński, K. Lechowicz); Table S1: Minimal and maximal values, arithmetical means and coefficients of variation (CVs) of observed features for particular trees.

Author Contributions

Conceptualization, D.W.-P., M.H.-K. and R.K.; methodology, D.W.-P. and M.H.-K.; software, J.B.; validation, D.W.-P. and J.B.; formal analysis, J.B., D.W.-P. and I.M.-R.; investigation, M.H.-K., R.K., K.L. and I.M.-R.; data curation, D.W.-P. and J.B.; writing—original draft preparation, D.W.-P., J.B. and I.M.-R.; writing—review and editing, D.W.-P., I.M.-R. and M.H.-K.; visualization, J.B. and K.L.; funding acquisition, J.B. All authors have read and agreed to the published version of the manuscript.

Funding

This study was co-financed by the State Forests National Forest Holding, General Directorate of the State Forests in Warsaw, programme as ‘Development of methods for combating Black cherry in pine stands’ (Project number OR.271.13 March 2017).

Data Availability Statement

The data presented in this study are available on request from the corresponding author.

Conflicts of Interest

The authors declare no conflict of interest. The funders had no role in the design of the study; in the collection, analyses, or interpretation of data; in the writing of the manuscript, or in the decision to publish the results.

References

  1. Marquis, D.A. Prunus serotina Ehrh. Black Cherry. Silv. N. Am. 1990, 2, 594–604. [Google Scholar]
  2. Starfinger, U. NOBANIS–Invasive Alien Species Fact Sheet–Prunus serotina. Available online: https://www.nobanis.org/globalassets/speciesinfo/p/prunus-serotina/prunus-serotina.pdf (accessed on 24 September 2021).
  3. Fresnedo-Ramírez, J.; Segura, S.; Muratalla-Lúa, A. Morphovariability of Capulín (Prunus serotina Ehrh.) in the Central-Western Region of Mexico from a Plant Genetic Resources Perspective. Genet. Resour. Crop Evol. 2011, 58, 481–495. [Google Scholar] [CrossRef] [Green Version]
  4. Guzmán, F.A.; Segura, S.; Fresnedo-Ramirez, J. Morphological Variation in Black Cherry (Prunus serotina Ehrh.) Associated with Environmental Conditions in Mexico and the United States. Genet. Resour. Crop Evol. 2018, 65, 2151–2168. [Google Scholar] [CrossRef]
  5. McVaugh, R. A Revision of the North American Black Cherries (Prunus serotina Ehrh., and Relatives). Brittonia 1951, 7, 279–315. [Google Scholar] [CrossRef]
  6. Munro, D.B.; Munro, G.A. The Biology of Canadian Weeds. 51. Prunus virginiana L. and P. serotina Ehrh. Can. J. Plant Sci. 1982, 61, 977–992. [Google Scholar]
  7. Prunus serotina Ehrh. | Plants of the World Online | Kew Science. Available online: http://powo.science.kew.org/taxon/urn:lsid:ipni.org:names:730262-1 (accessed on 24 September 2021).
  8. Vanhellemont, M. Present and Future Population Dynamics of Prunus serotina in Forests in Its Introduced Range. Ph.D. Thesis, Ghent University, Ghent, Belgium, 2009. [Google Scholar]
  9. Rohrer, J.R. Prunus (Rosaceae). In Flora of North America; Editorial Committee, Ed.; Flora of North America North of Mexico; Oxford University Press: New York, NY, USA, 2014; Volume 9, pp. 363–365. [Google Scholar]
  10. Segura, S.; Guzmán-Díaz, F.; López-Upton, J.; Mathuriau, C.; López-Medina, J. Distribution of Prunus serotina Ehrh. in North America and Its Invasion in Europe. J. Geosci. Environ. Prot. 2018, 6, 111–124. (In Polish) [Google Scholar] [CrossRef] [Green Version]
  11. Tokarska-Guzik, B.; Dajdok, Z.; Zajc, M.; Zajc, A.; Urbisz, A.; Danielewicz, W.; Hodyski, C. Rośliny Obcego Pochodzenia w Polsce Ze Szczególnym Uwzględnieniem Gatunków Inwazyjnych; Generalna Dyrekcja Ochrony Środowiska: Warszawa, Poland, 2012. (In Polish)
  12. Dominik, T. Przyczynek Do Znajomości Wartości Hodowlanych Czeremchy Amerykańskiej. Sylwan 1947, 91, 123–132. (In Polish) [Google Scholar]
  13. Danielewicz, W. Rozsiedlenie czeremchy amerykańskiej [Prunus serotina Ehrh.] na terenie Nadleśnictwa Doświadczalnego Zielonka. Pr. Kom. Nauk Rol. Kom. Nauk Leśnych Pozn. Tow. Przyj. Nauk 1994, 78, 35–42. (In Polish) [Google Scholar]
  14. Halarewicz, A. Odnawianie się Czeremchy Amerykańskiej (Prunus serotina Ehrh.) Na Siedliskach Borowych. Sylwan 2011, 155, 530–534. (In Polish) [Google Scholar]
  15. Bijak, S.; Czajkowski, M.; Ludwisiak, Ł. Occurrence of Black Cherry (Prunus serotina Ehrh.) in the State Forests in Poland. For. Res. Pap. 2014, 75, 359–365. [Google Scholar] [CrossRef] [Green Version]
  16. Danielewicz, W.; Wiatrowska, B. Inwazyjne Gatunki Drzew i Krzewów w Lasach Polski. Peckiana 2014, 9, 59–67. (In Polish) [Google Scholar]
  17. Dyderski, M.K.; Jagodziński, A.M. Wkraczanie Czeremchy Amerykańskiej Padus serotina (Ehrh.) Borkh. Do Olsów i Łęgów Olszowo-Jesionowych. Acta Sci. Pol. Silvarum Colendarum Ratio Ind. Lignaria 2015, 14, 103–113. (In Polish) [Google Scholar] [CrossRef]
  18. Halarewicz, A.; Otręba, A.; Danielewicz, W. Karta Informacyjna Gatunku. Padus serotina: Czeremcha Amerykańska. Available online: http://projekty.gdos.gov.pl/files/artykuly/127077/Padus-serotina_czeremcha-amerykanska_KG_WWW_icon.pdf (accessed on 21 September 2021).
  19. Matuszkiewicz, J.M. Zespoły Leśne Polsk; Państwowe Wydawnictwo Naukowe: Warszawa, Poland, 2007. (In Polish) [Google Scholar]
  20. Mędrzycki, P.; Otręba, A.; Pabjanek, P.; Brys, K.; Panufnik-Medrzycka, D.; Gwiazda, S.; Anczarska, J. Badania Rozmieszczenia i Liczebności Drzewiastych Inwazyjnych Gatunków Obcych (IGO) a Czynna Ochrona Zagrożonych Ekosystemów Leśnych w Kampinoskim Parku Narodowym. Studia Mater. Cent. Edukac. Przyr.-Leśnej 2007, 9, 245–256. (In Polish) [Google Scholar]
  21. Namura-Ochalska, A. Walka z Czeremchą Amerykańską Padus serotina (Ehrh.) Borkh.Ocena Skuteczności Wybranych Metod w Kampinoskim Parku Narodowym. Stud. Mater. CEPL W Rogowie 2012, 33, 190–200. (In Polish) [Google Scholar]
  22. Biereżnoj-Bazille, U.; Werpachowski, C. Inwazyjne gatunki roślin w ekosystemach Biebrzańskiego Parku Narodowego—pierwsze próby zwalczania. In Zwalczanie Inwazyjnych Gatunków Roślin Obcego Pochodzenia—Dobre i złe Doświadczenia; Krzysztofiak, L., Krzysztofiak, A., Eds.; Stowarzyszenie “Człowiek i Przyroda”: Krzywe, Poland, 2015; pp. 11–25. (In Polish) [Google Scholar]
  23. Otręba, A. Czeremcha amerykańska Padus serotina (Ehrh.) Borkh. In Metody Zwalczania Obcych Gatunków Roślin Występujących na Terenie Puszczy Kampinoskiej; Obidziński, A., Kołaczkowska, E., Otręba, A., Eds.; Wydawnictwo BioDar: Izabelin, Kraków, Poland, 2016; pp. 73–88. (In Polish) [Google Scholar]
  24. Starfinger, U.; Kowarik, I.; Rode, M.; Schepker, H. From Desirable Ornamental Plant to Pest to Accepted Addition to the Flora?–The Perception of an Alien Tree Species through the Centuries. Biol. Invasions 2003, 5, 323–335. [Google Scholar] [CrossRef]
  25. Van Den Meersschaut, D.; Lust, N. Comparison of Mechanical, Biological and Chemical Methods for Controlling Black Cherry (Prunus serotina) in Flanders (Belgium). Silva Gandav. 1997, 62, 90–109. [Google Scholar] [CrossRef] [Green Version]
  26. Csiszár, Á.; Korda, M. Summary of invasive plant control experiments. In Practical Experiences in Invasive Alien Plant Control; Csiszár, A., Korda, M., Eds.; Duna–Ipoly National Park Directorate: Budapest, Hungary, 2015; pp. 203–235. [Google Scholar]
  27. Demeter, L.; Lesku, B. Eradication of invasive alien plants in the southern Nyírség area of the Hortobágy National Park Directorate. In Practical Experiences in Invasive Alien Plant Control; Csiszár, A., Korda, M., Eds.; Duna–Ipoly National Park Directorate: Budapest, Hungary, 2015; pp. 75–80. [Google Scholar]
  28. Carpenter, D.J.; Mathiassen, S.K.; Boutin, C.; Strandberg, B.; Casey, C.S.; Damgaard, C. Effects of Herbicides on Flowering. Environ. Toxicol. Chem. 2020, 39, 1244–1256. [Google Scholar] [CrossRef]
  29. Korzeniewicz, R. Experiments on the Effectiveness of Herbicides Not Included in the List of “Recommended Plant Protection Products for Forestry Use” to Combat P. serotina. In Development of Methods of Combating the Black Cherry in Pine Stands; Korzeniewicz, R., Ed.; Research Project Implementation Report NR OR.271.3.13.2017; Generalna Dyrekcja Lasów Państwowych: Warszawa, Poland, 2020. (In Polish) [Google Scholar]
  30. Wang, X.; Gong, J.; Li, Q.; Wang, J.; Ma, Y.; Zhang, X.; Chang, Z.; Wen, J.; Zhao, L. Floral Organogenesis of Prunus laurocerasus and P. serotina and Its Significance for the Systematics of the Genus and Androecium Diversity in Rosaceae. Botany 2019, 97, 71–84. [Google Scholar] [CrossRef]
  31. Shapiro, S.S.; Wilk, M.B. An Analysis of Variance Test for Normality (Complete Samples). Biometrika 1965, 52, 591–611. [Google Scholar] [CrossRef]
  32. Bocianowski, J.; Szulc, P.; Nowosad, K. Parallel Coordinate Plots of Maize Traits under Different Magnesium Applications. J. Integr. Agric. 2015, 14, 593–597. [Google Scholar] [CrossRef] [Green Version]
  33. Rencher, A.C. Interpretation of Canonical Discriminant Functions, Canonical Variates, and Principal Components. Am. Stat. 1992, 46, 217–225. [Google Scholar] [CrossRef]
  34. Seidler-Łożykowska, K.; Bocianowski, J. Evaluation of Variability of Morphological Traits of Selected Caraway (Carum carvi L.) Genotypes. Ind. Crops Prod. 2012, 35, 140–145. [Google Scholar] [CrossRef]
  35. Mahalanobis, P.C. On the Generalized Distance in Statistics. Proc. Natl. Acad. Sci. India A 1936, 2, 49–55. [Google Scholar]
  36. Skomra, U.; Bocianowski, J.; Agacka, M. Agro-Morphological Differentiation between European Hop (Humulus lupulus L.) Cultivars in Relation to Their Origin. J. Food Agric. Environ. 2013, 11, 1123–1128. [Google Scholar]
  37. VSN International. GenStat for Windows, 18th ed.; VSN International: Hemel Hempstead, UK, 2015. [Google Scholar]
  38. Guzmán, F.A.; Segura, S.; Aradhya, M.; Potter, D. Evaluation of the Genetic Structure Present in Natural Populations of Four Subspecies of Black Cherry (Prunus serotina Ehrh.) from North America Using SSR Markers. Sci. Hortic. 2018, 232, 206–215. [Google Scholar] [CrossRef]
  39. Boutin, C.; Strandberg, B.; Carpenter, D.; Mathiassen, S.K.; Thomas, P.J. Herbicide Impact on Non-Target Plant Reproduction: What Are the Toxicological and Ecological Implications? Environ. Pollut. 2014, 185, 295–306. [Google Scholar] [CrossRef] [Green Version]
  40. Morales-Flores, F.; King-Diaz, B.; Aguilar, M.I.; Lotina-Hansen, B. Weeds and their mechanisms of resistance to herbicide. In Handbook on Herbicides: Biological Activity, Classification and Health Environmental Implications; Kobajashi, D., Watanabe, E., Eds.; Global Agriculture Development; Nova Science Publishers, Inc.: New York, NY, USA, 2014; pp. 29–54. [Google Scholar]
  41. Yasuor, H.; Riov, J.; Rubin, B. Glyphosate-Induced Male Sterility in Glyphosate-Resistant Cotton (Gossypium hirsutum L.) Is Associated with Inhibition of Anther Dehiscence and Reduced Pollen Viability. Crop Prot. 2007, 26, 363–369. [Google Scholar] [CrossRef]
  42. Zhou, Q.; Liu, W.; Zhang, Y.; Liu, K.K. Action Mechanisms of Acetolactate Synthase-Inhibiting Herbicides. Pestic. Biochem. Physiol. 2007, 89, 89–96. [Google Scholar] [CrossRef]
  43. Yu, C.; Dong, J.; Hu, S.; Xu, A. Exposure to Trace Amounts of Sulfonylurea Herbicide Tribenuron-Methyl Causes Male Sterility in 17 Species or Subspecies of Cruciferous Plants. BMC Plant Biol. 2017, 17, 95. [Google Scholar] [CrossRef] [Green Version]
  44. Yu, C.; Lian, J.; Gong, Q.; Ren, L.-S.; Huang, Z.; Xu, A.-X.; Dong, J.-G. Sublethal Application of Various Sulfonylurea and Imidazolinone Herbicides Favors Outcrossing and Hybrid Seed Production in Oilseed Rape. BMC Plant Biol. 2020, 20, 69. [Google Scholar] [CrossRef]
Figure 1. The density plot of inflorescence and flowers features by herbicides (a) length of inflorescence peduncle, (b) flower diameter, (c) length of flower peduncle, (d) number of flowers.
Figure 1. The density plot of inflorescence and flowers features by herbicides (a) length of inflorescence peduncle, (b) flower diameter, (c) length of flower peduncle, (d) number of flowers.
Forests 13 00021 g001
Figure 2. The density plot of (a) the ratio of the length of the inflorescence peduncle and the length of flower peduncle, (b) the ratio of flower diameter and the length of flower peduncle, (c) the ratio of the length of the inflorescence peduncle and the number of flowers in inflorescences by herbicides.
Figure 2. The density plot of (a) the ratio of the length of the inflorescence peduncle and the length of flower peduncle, (b) the ratio of flower diameter and the length of flower peduncle, (c) the ratio of the length of the inflorescence peduncle and the number of flowers in inflorescences by herbicides.
Forests 13 00021 g002
Figure 3. Parallel coordinate plots (PCPs) for nine herbicides and seven features. LP—length of peduncle, FD—flower diameter, LFP—length of flower peduncle, FN—flower number. The numbers for particular features mean minimal (down) and maximal (up) average values for herbicides.
Figure 3. Parallel coordinate plots (PCPs) for nine herbicides and seven features. LP—length of peduncle, FD—flower diameter, LFP—length of flower peduncle, FN—flower number. The numbers for particular features mean minimal (down) and maximal (up) average values for herbicides.
Forests 13 00021 g003
Figure 4. Heatmap for linear Pearson’s correlation coefficients between observed features of P. serotina estimated based on herbicide means (** p < 0.01; *** p < 0.001). LP—length of peduncle, FD—flower diameter, LFP—length of flower peduncle, FN—flower number.
Figure 4. Heatmap for linear Pearson’s correlation coefficients between observed features of P. serotina estimated based on herbicide means (** p < 0.01; *** p < 0.001). LP—length of peduncle, FD—flower diameter, LFP—length of flower peduncle, FN—flower number.
Forests 13 00021 g004
Figure 5. Distribution of six herbicides and control trees in the space of the first canonical variable (V1) and the second canonical variable (V2).
Figure 5. Distribution of six herbicides and control trees in the space of the first canonical variable (V1) and the second canonical variable (V2).
Forests 13 00021 g005
Figure 6. Heatmap for linear Pearson’s correlation coefficients between observed features of P. serotina estimated on the basis of tree means (* p < 0.05; ** p < 0.01; *** p < 0.001). LP—length of peduncle, FD—flower diameter, LFP—length of flower peduncle, FN—flower number.
Figure 6. Heatmap for linear Pearson’s correlation coefficients between observed features of P. serotina estimated on the basis of tree means (* p < 0.05; ** p < 0.01; *** p < 0.001). LP—length of peduncle, FD—flower diameter, LFP—length of flower peduncle, FN—flower number.
Forests 13 00021 g006
Figure 7. Distribution of 39 trees in the space of the first canonical variable (V1) and the second canonical variable (V2).
Figure 7. Distribution of 39 trees in the space of the first canonical variable (V1) and the second canonical variable (V2).
Forests 13 00021 g007
Figure 8. Dendrogram of cluster groupings of 39 P. serotina trees based on all seven quantitative features.
Figure 8. Dendrogram of cluster groupings of 39 P. serotina trees based on all seven quantitative features.
Forests 13 00021 g008
Table 1. Characteristics of herbicides used in the study.
Table 1. Characteristics of herbicides used in the study.
Herbicide—Trade NameAbbreviationHerbicide ConcentrationActive Substance ContentManufacturer
Chikara 25 WGChikara1.96%Flazasulfuron (a compound from the group of sulfonylurea derivatives)—25%.Belchim Crop. Protection Belgium
Brussels
Chwastox turbo 340 slChwastox25%MCPA (4-chloro-2-methylphenoxy) acetic acid (a compound from the group of phenoxy carboxylic acids)—(25.9%); Dicamba (a compound from the group of benzoic acid derivatives)—(3.4%).CIECH Sarzyna Poland
Warsaw
Fundamentum 700 wg +
Asystent
Fundamentum0.29% Fundamentum 700 wg
0.1% Asystent
Tribenuron-methyl (a compound from the group of sulfonylurea derivatives)—(40.0%).
Metsulfuron-methyl (a compound from the group of sulfonylurea derivatives)—(13.5%);
Florasulam (a compound from the triazolopyrimidine group)—(16.5%).
Innvigo
Poland
Warsaw
Logo 310 WG + Mero 842 ECLogo1.47% Logo 310 WG
0.1% Mero 842 EC
Foramsulfuron (a compound from the group of sulfonylurea derivatives)—(30.0%);
Iodosulfuron-methyl sodium (a compound from the group of sulfonylurea derivatives)—(1.0%).
Bayer SAS
France
Lyon
Mustang Forte 195 SEMustang10%Florasulam (a compound from the triazolopyrimidine group—(0.47%);
Aminopyralid (a compound from the pyridine group—(0.94%);
2,4-D—a compound from the phenoxy acid group—(17%).
Corteva Agriscience™
U.S.
Indianapolis
Roundup Flex 480 FLRoundup50%Glyphosate (a compound from the group of aminophosphonates in the form of potassium salt)—(35.75%).Monsanto Europe S.A./N.V
Belgium
Diegem
Table 2. The minimal and maximal values, arithmetical means, standard deviations (s.d.) and coefficients of variation (CVs) of observed features for particular herbicides.
Table 2. The minimal and maximal values, arithmetical means, standard deviations (s.d.) and coefficients of variation (CVs) of observed features for particular herbicides.
FeaturesHerbicidesC-DWHC-WIChikaraChwastoxFundamentumLogoMustangRoundupLSD0.05
LPMean93.72a85.88b69.84e73.92de79.35cd82.52bc60.52f79.96bcd6.473
Min-Max52–12769–11353–9755–9560–12054–11037–10050–111
s.d.24.349.5510.8810.3315.1915.4912.0913.7
cv25.9711.1215.5813.9719.1418.7719.9817.13
FDMean8.896a8.896a8.992a8.944a8.88a8.816a8.816a8.88a0.316
Min-Max7–107–108–118–118–107–107–107–11
s.d.0.5510.66990.74590.72180.75590.65230.70.8762
cv6.197.538.308.078.517.407.949.87
LFPMean5.672ab5.952a5.08cd5.424bc5.92a4.944d4.952d5.864ab0.443
Min-Max4–94–94–84–83–93–74–74–8
s.d.1.05321.23690.84810.82561.26080.80630.64581.1937
cv18.5720.7816.6915.2221.3016.3113.0420.36
FNMean32.32a31.96ab25.48c24.28c24.5c29.44b21.4d26.48c2.627
Min-Max20–4824–4516–3911–3015–3212–3812–2914–42
s.d.7.4635.0525.2534.3024.0147.4985.2057.14
cv23.0915.8120.6217.7216.3825.4724.3226.96
LP/LFPMean16.92a15.16b14.1b13.84bc13.81bc16.94a12.44c14.12b1.535
Min-Max8–25.48.11–28.257.86–24.259.17–207.22–23.3310.57–26.257.4–207.14–25
s.d.4.8994.0083.1162.2922.9213.2483.0353.484
cv28.9526.4422.1016.5621.1519.1724.4024.67
FD/LFPMean1.616b1.559b1.811a1.688ab1.579b1.83a1.809a1.598b0.149
Min-Max0.89–2.50.89–2.51.13–2.51.13–2.50.89–3.331.14–31.33–2.50.88–2.75
s.d.0.28340.3390.29480.29850.41150.32140.27090.4479
cv17.5421.7416.2817.6826.0617.5614.9828.03
LP/FNMean2.935bc2.729c2.798c3.131ab3.35a2.953bc2.953bc3.155ab0.289
Min-Max2.08–4.851.9–3.62.2–4.192.2–5.452.19–51.81–4.571.96–4.332–4.83
s.d.0.6930.36610.43220.64980.90950.69590.72190.6582
cv23.6113.4215.4520.7527.1523.5724.4520.86
LP—the length of the inflorescence peduncle; FD—flower diameter; LFP—the length of flower peduncle; FN—the number of flowers in inflorescences; LSD—least significant difference; a, b, c, d, e—in row, means followed by the same letters are not significantly different, based on Fisher’s least significant differences.
Table 3. Correlation coefficients between the first two canonical variates and studied features for herbicides.
Table 3. Correlation coefficients between the first two canonical variates and studied features for herbicides.
FeatureFirst Canonical VariableSecond Canonical Variable
LP0.977 ***0.036
FD−0.0070.114
LFP0.6160.743 *
FN0.941 ***−0.312
LP/LFP0.811 *−0.471
FD/LFP−0.62−0.724 *
LP/FN−0.160.768 *
Percentage of explained multivariate variability67.70%16.53%
LP—length of peduncle, FD—flower diameter, LFP—length of flower peduncle, FN—flower number; * p < 0.05; *** p < 0.001.
Table 4. Correlation coefficients between the first two canonical variates and studied features for trees.
Table 4. Correlation coefficients between the first two canonical variates and studied features for trees.
FeatureFirst Canonical VariableSecond Canonical Variable
The length of the inflorescence peduncle (LP)0.998 ***−0.044
Flower diameter (FD)−0.081−0.364 *
The length of the flower peduncle (LFP)0.2680.354 *
The number of flowers in inflorescences (FN)0.611 ***−0.761 ***
LP/LFP0.736 ***−0.282
FD/LFP−0.280−0.385 *
LP/FN0.2560.899 ***
Percentage of explained multivariate variability33.1130.83
* p < 0.05; *** p < 0.001.
Publisher’s Note: MDPI stays neutral with regard to jurisdictional claims in published maps and institutional affiliations.

Share and Cite

MDPI and ACS Style

Wrońska-Pilarek, D.; Maciejewska-Rutkowska, I.; Bocianowski, J.; Korzeniewicz, R.; Lechowicz, K.; Hauke-Kowalska, M. Does the Reaction of Inflorescences and Flowers of the Invasive Prunus serotina Ehrh. to Various Herbicides Give Hope for Elimination of This Species from Polish Forests? Forests 2022, 13, 21. https://doi.org/10.3390/f13010021

AMA Style

Wrońska-Pilarek D, Maciejewska-Rutkowska I, Bocianowski J, Korzeniewicz R, Lechowicz K, Hauke-Kowalska M. Does the Reaction of Inflorescences and Flowers of the Invasive Prunus serotina Ehrh. to Various Herbicides Give Hope for Elimination of This Species from Polish Forests? Forests. 2022; 13(1):21. https://doi.org/10.3390/f13010021

Chicago/Turabian Style

Wrońska-Pilarek, Dorota, Irmina Maciejewska-Rutkowska, Jan Bocianowski, Robert Korzeniewicz, Kacper Lechowicz, and Maria Hauke-Kowalska. 2022. "Does the Reaction of Inflorescences and Flowers of the Invasive Prunus serotina Ehrh. to Various Herbicides Give Hope for Elimination of This Species from Polish Forests?" Forests 13, no. 1: 21. https://doi.org/10.3390/f13010021

APA Style

Wrońska-Pilarek, D., Maciejewska-Rutkowska, I., Bocianowski, J., Korzeniewicz, R., Lechowicz, K., & Hauke-Kowalska, M. (2022). Does the Reaction of Inflorescences and Flowers of the Invasive Prunus serotina Ehrh. to Various Herbicides Give Hope for Elimination of This Species from Polish Forests? Forests, 13(1), 21. https://doi.org/10.3390/f13010021

Note that from the first issue of 2016, this journal uses article numbers instead of page numbers. See further details here.

Article Metrics

Back to TopTop