Activity of 137Cs and 40K Isotopes in Pine (Pinus sylvestris L.) and Birch (Betula pendula Roth) Stands of Different Ages in a Selected Area of Eastern Poland
Abstract
1. Introduction
2. Materials and Methods
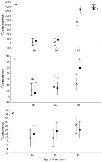
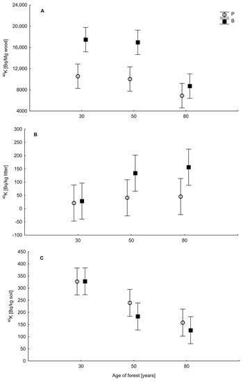
3. Results
| Parameters | SS | df | MS | F | p-Value |
|---|---|---|---|---|---|
| WOOD | |||||
| Species | 4.074 | 1 | 4.074 | 20.93 | 0.0001 |
| Age | 54.07 | 2 | 27.04 | 138.9 | <0.0001 |
| Species × age | 0.294 | 2 | 0.147 | 0.754 | 0.4790 |
| Error | 5.839 | 30 | 0.195 | ||
| LITTER | |||||
| Species | 0.006 | 1 | 0.006 | 0.026 | 0.8740 |
| Age | 10.01 | 2 | 5.006 | 23.46 | <0.0001 |
| Species × age | 3.216 | 2 | 1.608 | 7.536 | 0.0022 |
| Error | 6.402 | 30 | 0.213 | ||
| SOIL | |||||
| Species | 12.24 | 1 | 12.24 | 0.455 | 0.5051 |
| Age | 132.5 | 2 | 66.24 | 2.463 | 0.1022 |
| Species × age | 59.59 | 2 | 29.80 | 1.108 | 0.3434 |
| Error | 806.8 | 30 | 26.89 | ||
| Parameters | SS | df | MS | F | p-Value |
|---|---|---|---|---|---|
| WOOD | |||||
| Species | 1.510 | 1 | 1.510 | 34.89 | <0.0001 |
| Age | 2.302 | 2 | 1.151 | 26.59 | <0.0001 |
| Species × age | 0.129 | 2 | 0.064 | 1.489 | 0.2418 |
| Error | 1.299 | 30 | 0.043 | ||
| LITTER | |||||
| Species | 3.936 | 1 | 3.936 | 10.85 | 0.0025 |
| Age | 8.002 | 2 | 4.001 | 11.03 | 0.0003 |
| Species × age | 0.710 | 2 | 0.355 | 0.978 | 0.3877 |
| Error | 10.88 | 30 | 0.363 | ||
| SOIL | |||||
| Species | 7485 | 1 | 7485 | 1.684 | 0.2043 |
| Age | 210,760 | 2 | 105,380 | 23.70 | <0.0001 |
| Species × age | 4866 | 2 | 2432 | 0.547 | 0.5842 |
| Error | 133,370 | 30 | 4446 | ||


4. Discussion
5. Conclusions
Author Contributions
Funding
Data Availability Statement
Acknowledgments
Conflicts of Interest
References
- Bergan, T.D. Radioactive fallout in Norway from atmospheric nuclear weapons tests. J. Environ. Radioact. 2002, 60, 189–208. [Google Scholar] [CrossRef]
- Czuryłowski, A.; Dmitruk, Z.; Dżumak, J.; Łukasiewicz, F.; Jadach, J.; Karpiński, H.; Zalewska, T. Radioaktywność Przyziemnej Warstwy Atmosfery w Polsce w Latach 1960–2010; Biblioteka Monitoringu Środowiska: Warszawa, Poland, 2011. [Google Scholar]
- Nimis, P.L. Radiocesium in plants of forest ecosystem. Stud. Geobot. 1996, 15, 3–49. [Google Scholar]
- Bojko, S. Gospodarka leśna w warunkach skażenia radioaktywnego. Sylwan 2006, 11, 30–39. [Google Scholar] [CrossRef]
- Markert, B.; Wappelhorst, O.; Weckert, V.; Herpin, U.; Siewers, U.; Friese, K.; Breulmann, G. The use of bioindicators for monitoring the heavy-metal status of the environment. J. Radioanal. Nucl. Chem. 1999, 240, 425–429. [Google Scholar] [CrossRef]
- Masón, W.L.; Alía, R. Current and future status Scots pine (Pinus sylvestris L.) forests in Europe. Investig. Agrar. Sist. Recur. For. 2000, 9, 317–333. [Google Scholar]
- Atkinson, M.D. Betulapendula Roth (B. verrucosa Ehrh.) and B. pubescens Ehrh. J. Ecol. 1992, 80, 837–870. [Google Scholar] [CrossRef]
- Fesenko, S.; Soukhova, N.; Sanzharova, N.I.; Avila, R.; Spiridonov, S.I.; Klein, D.; Lucot, E.; Badot, P.M. Identification of processes governing long-term accumulation of 137Cs by forest trees following the Chernobyl accident. Radiat. Environ. Biophys. 2001, 40, 105–113. [Google Scholar] [CrossRef] [PubMed]
- Rafferty, B.; Brennan, M.; Dawsan, D.; Dowding, D. Mechanisms of Cs-137 in coniferous forest soils. J. Environ. Radioact. 2000, 48, 131–143. [Google Scholar] [CrossRef]
- Zhiyanski, M.; Sokolowska, M.; Lucot, E.; Badot, P.M. Cs-137 contamination in forest ecosystems in southwest Rila Mountain, Bulgaria. Environ. Chem. Lett. 2005, 3, 49–52. [Google Scholar] [CrossRef]
- Krolak, E.; Kwapulinski, J.; Fischer, A. 137Cs and 40K isotopes in forest and wasteland soils in a selected region of eastern Poland 20 years after the Chernobyl accident. Radiat. Environ. Biophys. 2010, 49, 229–237. [Google Scholar] [CrossRef]
- Ciuffo, L.E.C.; Belli, M.; Pasquale, A.; Menegon, S.; Velasco, H.R. 137Cs and 40K soil-to-plant relationship in a seminatural grassland of the Giulia Alps, Italy. Sci. Total Environ. 2002, 295, 69–80. [Google Scholar] [CrossRef]
- Rai, H.; Kawabata, M. Mechanism of cesium uptake into higher plants: Newly elucidated mechanism of cesium uptake into rice plants. Front. Plant. Sci. 2020, 11, 528:1–528:14. [Google Scholar] [CrossRef]
- Polański, A. Geochemia Izotopów; Wydawnictwo Geologiczne: Warszawa, Poland, 1961; pp. 188–191. [Google Scholar]
- Khadra, S.A.A.; Sabour, M.F.A.; Fattah, A.T.A.; Eissa, H.S. Transfer Factor of Radioactive Cs and Sr from Egyptian Soils to Roots and Leafs of Wheat Plant. In Proceedings of the Ninth Radiation Physics and Protection Conference, Nasr City-Cairo, Egypt, 15–19 November 2008. [Google Scholar]
- Vosniakos, F.K. Cs-137 and K-40 Concentration in Soil and Their Transfer to Plant. In Proceedings of the Third International Scientific Symposium, Agrosym Jahorina 2012, Jahorina, Bosnia and Herzegovina, 15–17 November 2012. [Google Scholar] [CrossRef]
- Ramzaev, V.; Yonehara, H.; Hile, R.; Barkovsky, A.; Mishine, A.; Sahoo, S.K.; Kurotaki, K.; Uchiyama, M. Gamma-dose rates from terrestrial and Chernobyl radionuclides inside and outside settlements in the Bryansk Region, Russia in 1996–2003. J. Environ. Radioact. 2006, 85, 205–227. [Google Scholar] [CrossRef] [PubMed]
- Karadeniz, Ö.; Yaprak, G. Geographical and vertical distribution of radiocesium levels in coniferous forest soils in Izmir. J. Radioanal. Nucl. Chem. 2008, 277, 567–577. [Google Scholar] [CrossRef]
- Riesen, T.K.; Zimmermann, S.; Blaser, P. Distribution of 137Cs in forest soils of Switzerland. Water Air Soil Pollut. 1999, 114, 277–285. [Google Scholar] [CrossRef]
- Mattsson, S.; Moberg, L. Fallout from Chernobyl and atmospheric nuclear weapons tests-Chernobyl in perspective. In The Chernobyl Fallout in Sweden—Results from a Research Programme on Environmental Radiology; Moberg, L., Ed.; Swedish Radiation Protection Institute: Stockholm, Sweden, 1991; pp. 591–627. [Google Scholar]
- Rissanen, K.; Rahola, T. Cs-137 concentration in reindeer and its fooder plants. Sci. Total Environ. 1989, 85, 199–206. [Google Scholar] [CrossRef]
- Rissanen, K.; Rahola, T. Radiocaesium in lichens and reindeer after the Chernobyl accident. Rangifer 1990, 10, 55–61. [Google Scholar] [CrossRef][Green Version]
- Steinhauser, G.; Brandl, A.; Johnson, T.E. Comparison of the Chernobyl and Fukushima nuclear accidents: A review of the environmental impacts. Sci. Total Environ. 2014, 470–471, 800–817. [Google Scholar] [CrossRef]
- Fujak, M.; Isajenko, K.; Lipiński, P.; Piotrowska, B.; Kwiatkowska, I. Radioactivity of the atmospheric aerosols measured in Poland following the accident in the Fukushima Dai-ichi nuclear power plant in 2011. Nukleonika 2013, 58, 497–503. [Google Scholar]
- Goor, F.; Thiry, Y. Processes, dynamics and modelling of radiocaesium cycling in a chronosequence of Chernobyl-contaminated Scots pine (Pinus sylvestris L.) plantations. Sci. Total Environ. 2004, 325, 163–180. [Google Scholar] [CrossRef] [PubMed]
- Scheglov, A.I.; Tsvetnova, O.B.; Popova, E.P. The effect of tree roots on the redistribution of 137Cs in the soils of pine and birch forests of the radioactive contamination zone. Mosc. Univ. Soil Sci. Bull. 2016, 71, 83–87. [Google Scholar] [CrossRef]
- Kalliokoski, T.; Nygren, P.; Sievänen, R. Coarse root architecture of three boreal tree species growing in mixed stands. Silva Fenn. 2008, 42, 189–210. [Google Scholar] [CrossRef]
- Priha, O.; Hallantie, T.; Smolander, A. Comparing microbial biomass, denitrification enzyme activity, and numbers of nitrifiers in the rhizospheres of Pinus sylvestris, Picea abies and Betula pendula seedlings by microscale methods. Biol. Fertil. Soils 1999, 30, 14–19. [Google Scholar] [CrossRef]
- Imamura, N.; Komatsu, M.; Ohashi, S.; Hashimoto, S.; Kajimoto, T.; Kaneko, S.; Takano, T. Temporal changes in the radiocesium distribution in forests over the five years after the Fukushima Daiichi Nuclear Power Plant accident. Sci. Rep. 2017, 7, 8179:1–8179:11. [Google Scholar] [CrossRef]
- Riekstina, D.; Veveris, O. The measurement of Cs-137 in Latvian Forest Litter. In Proceedings of the IRPA Regional, Symposium Radiation Protection in Neighbouring Countries of Central Europe, Prague, Czech Republic, 8–12 September 1997. [Google Scholar]
- Thiry, Y.; Goor, F.; Riesen, T. The true distribution and accumulation of radiocaesium in 19 stem of Scots pine (Pinus sylvestris L.). J. Environ. Radioact. 2002, 58, 243–259. [Google Scholar] [CrossRef]
- Tanaka, K.; Kanasashi, T.; Takenaka, C.; Takahashi, Y. Speciation of cesium in tree tissues and its implication for uptake and translocation of radiocesium in tree bodies. Sci. Total Environ. 2021, 755 Pt 2, 142598. [Google Scholar] [CrossRef]
- Coppin, F.; Hurtevent, P.; Loffredo, N.; Simonucci, C.; Julien, A.; Gonze, M.-A.; Nanba, K.; Onda, Y.; Thiry, Y. Radiocaesium partitioning in Japanese cedar forests following the “early” phase of Fukushima fallout redistribution. Sci. Rep. 2016, 6, 37618:1–37618:11. [Google Scholar] [CrossRef]
- Soukhova, N.V.; Fesenko, S.V.; Klein, D.; Spridonov, S.I.; Sanzharova, P.; Badot, P.M. 137Cs distribution among annual rings of different tree species contaminated after the Chernobyl accident. J. Environ. Radioact. 2003, 65, 19–28. [Google Scholar] [CrossRef]
- Tsvetnova, O.; Shcheglov, A.; Klyashtorin, A. 137Cs and K annual fluxes in a cropland and forest ecosystems twenty-four years after the Chernobyl accident. J. Environ. Radioact. 2018, 195, 79–89. [Google Scholar] [CrossRef]
- Johansson, M.B. The chemical composition of needle and leaf litter from Scots pine, Norway spruce and white birch in Scandinavian forests. Forestry 1995, 68, 49–62. [Google Scholar] [CrossRef]
- Berg, B.; Staaf, H. Release of nutrients from decomposing white birch leaves and Scots pine needle litter. Pedobiologia 1987, 30, 55–63. [Google Scholar]
- Zhu, Y.G.; Smolders, E. Plant uptake of radiocesium: A review of mechanisms, regulation and application. J. Exp. Bot. 2000, 51, 1635–1645. [Google Scholar] [CrossRef] [PubMed]
- Duong, V.H.; Nguyen, T.D.; Kocsis, E.; Csordas, A.; Hegedus, M.; Kovacs, T. Transfer of radionuclides from soil to Acacia auriculiformis trees in high radioactive background areas in North Vietnam. J. Environ. Radioact. 2021, 229–230, 106530. [Google Scholar] [CrossRef]
- Guillaume, T.; Chawla, F.; Steinmann, P.; Gobat, J.M.; Froidevaux, P. Disparity in 90Sr and 137Cs uptake in alpine plants: Phylogenetic effect and Ca and K availability. Plant Soil 2012, 355, 29–39. [Google Scholar] [CrossRef]
- Zhiyanski, M.; Sokolowska, M.; Bech, J.; Clouvas, A.; Penev, I.; Badulin, V. Cesium-137 contamination of oak (Quercus petrae Liebl.) from sub-mediterranean zone in South Bulgaria. J. Environ. Radioact. 2010, 101, 864–868. [Google Scholar] [CrossRef] [PubMed]
- Kuroda, K.; Kagawa, A.; Tonosaki, M. Radiocesium concentrations in the bark, sapwood and heartwood of three tree species collected at Fukushima forests half a year after the Fukushima Dai-ichi nuclear accident. J. Environ. Radioact. 2013, 122, 37–42. [Google Scholar] [CrossRef]
- Király, I.; Ódor, P. The effect of stand structure and tree species composition on epiphytic bryophytes in mixed deciduous−coniferous forests of Western Hungary. Biol. Conserv. 2010, 143, 2063–2069. [Google Scholar] [CrossRef]
- Ódor, P.; Király, I.; Tinya, F.; Bortignon, F.; Nascimbene, J. Patterns and drivers of species composition of epiphytic bryophytes and lichens in managed temperate forests. For. Ecol. Manag. 2013, 306, 256–265. [Google Scholar] [CrossRef]
- Sawidis, T.; Breuste, J.; Mitrovic, M.; Pavlovic, P.; Tsigaridas, K. Trees as bioindicator of heavy metal pollution in three European cities. Environ. Pollut. 2011, 159, 3560–3570. [Google Scholar] [CrossRef] [PubMed]
- Sut-Lohmann, M.; Jonczak, J.; Parzych, A.; Šimanský, V.; Polláková, N.; Raab, T. Accumulation of airborne potentially toxic elements in Pinus sylvestris L. bark collected in three Central European medium-sized cities. Ecotoxicol. Environ. Saf. 2020, 200, 110758. [Google Scholar] [CrossRef]
- Janta, R.; Chantara, S. Tree bark as bioindicator of metal accumulation from road traffic and air quality map: A case study of Chiang Mai, Thailand. Atmos. Pollut. Res. 2017, 8, 956–967. [Google Scholar] [CrossRef]
- Chrabąszcz, M.; Mróz, L. Tree bark, a valuable source of information on air quality. Pol. J. Environ. Stud. 2017, 26, 453–466. [Google Scholar] [CrossRef]
- Rajfur, M.; Świsłowski, M.; Dębska, L. Silver birch bark as a biomonitor of air pollution with heavy metals. Proc. ECOpole 2018, 12, 237–246. [Google Scholar] [CrossRef]
- Ott, N.F.J.; Watmough, S.A. Contrasting litter nutrient and metal inputs and soil chemistry among five common Eastern North American tree species. Forests 2021, 12, 613. [Google Scholar] [CrossRef]
- Prescott, C.E.; Zabek, L.M.; Staley, C.L.; Kabzems, R. Decomposition of broadleaf and needle litter in forests of British Columbia: Influences of litter type, forest type, and litter mixtures. Can. J. For. Res. 2000, 30, 1742–1750. [Google Scholar] [CrossRef]
- Schlesinger, W.H. Biogeochemistry: An Analysis of Global Change, 2nd ed.; Academic Press: New York, NY, USA, 1997. [Google Scholar]

Publisher’s Note: MDPI stays neutral with regard to jurisdictional claims in published maps and institutional affiliations. |
© 2021 by the authors. Licensee MDPI, Basel, Switzerland. This article is an open access article distributed under the terms and conditions of the Creative Commons Attribution (CC BY) license (https://creativecommons.org/licenses/by/4.0/).
Share and Cite
Strzałek, M.; Barczak, K.; Karwowska, J.; Królak, E. Activity of 137Cs and 40K Isotopes in Pine (Pinus sylvestris L.) and Birch (Betula pendula Roth) Stands of Different Ages in a Selected Area of Eastern Poland. Forests 2021, 12, 1205. https://doi.org/10.3390/f12091205
Strzałek M, Barczak K, Karwowska J, Królak E. Activity of 137Cs and 40K Isotopes in Pine (Pinus sylvestris L.) and Birch (Betula pendula Roth) Stands of Different Ages in a Selected Area of Eastern Poland. Forests. 2021; 12(9):1205. https://doi.org/10.3390/f12091205
Chicago/Turabian StyleStrzałek, Małgorzata, Katarzyna Barczak, Jadwiga Karwowska, and Elżbieta Królak. 2021. "Activity of 137Cs and 40K Isotopes in Pine (Pinus sylvestris L.) and Birch (Betula pendula Roth) Stands of Different Ages in a Selected Area of Eastern Poland" Forests 12, no. 9: 1205. https://doi.org/10.3390/f12091205
APA StyleStrzałek, M., Barczak, K., Karwowska, J., & Królak, E. (2021). Activity of 137Cs and 40K Isotopes in Pine (Pinus sylvestris L.) and Birch (Betula pendula Roth) Stands of Different Ages in a Selected Area of Eastern Poland. Forests, 12(9), 1205. https://doi.org/10.3390/f12091205

