Climate Response in Tree-Rings of Sawara Cypress [Chamaecyparis pisifera (Siebold & Zucc.) Endl.] in Poland
Abstract
:1. Introduction
2. Material and Methods
2.1. Study Area
2.2. Tree-Ring Data
3. Results
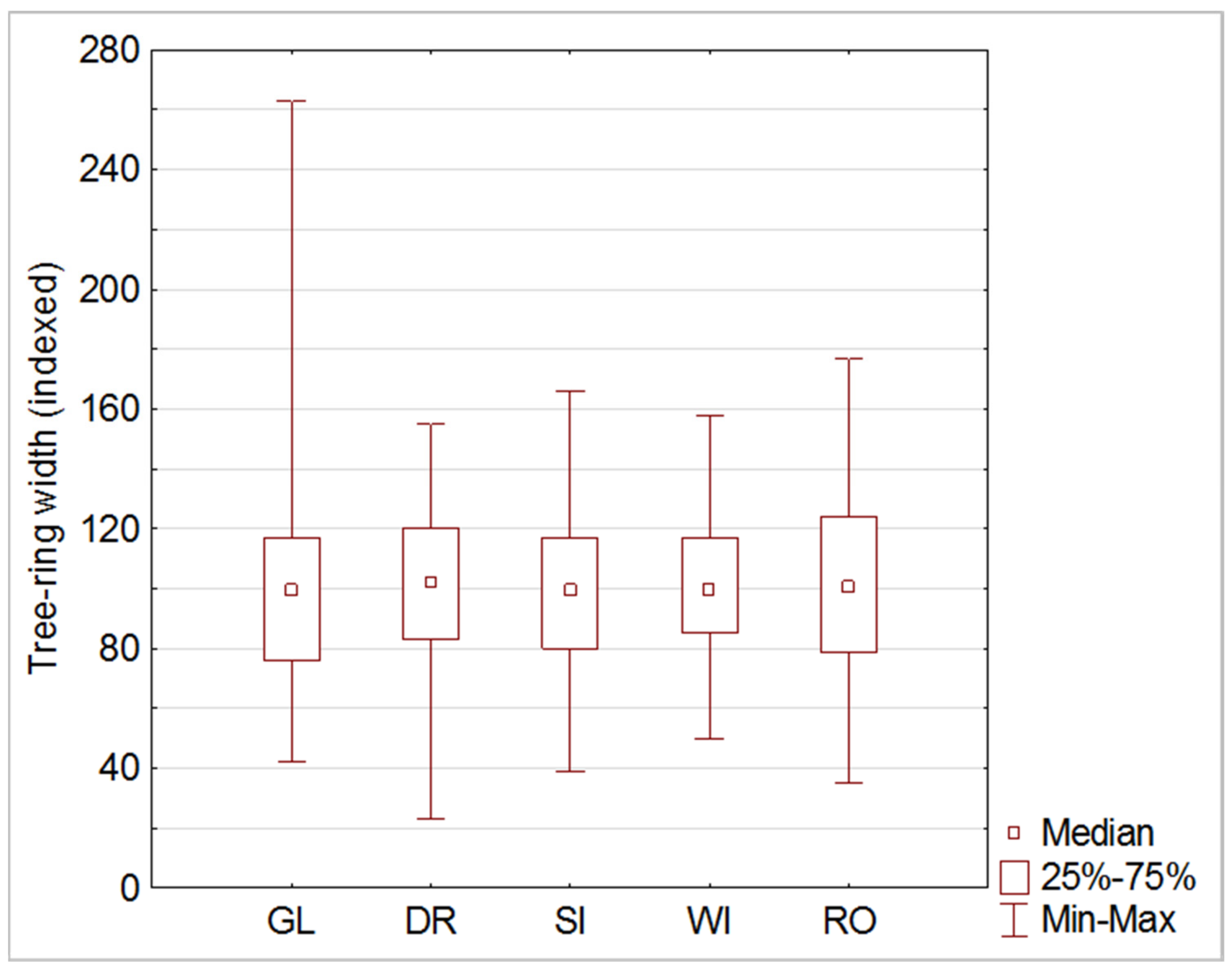
3.1. Ringwidth Chronologies
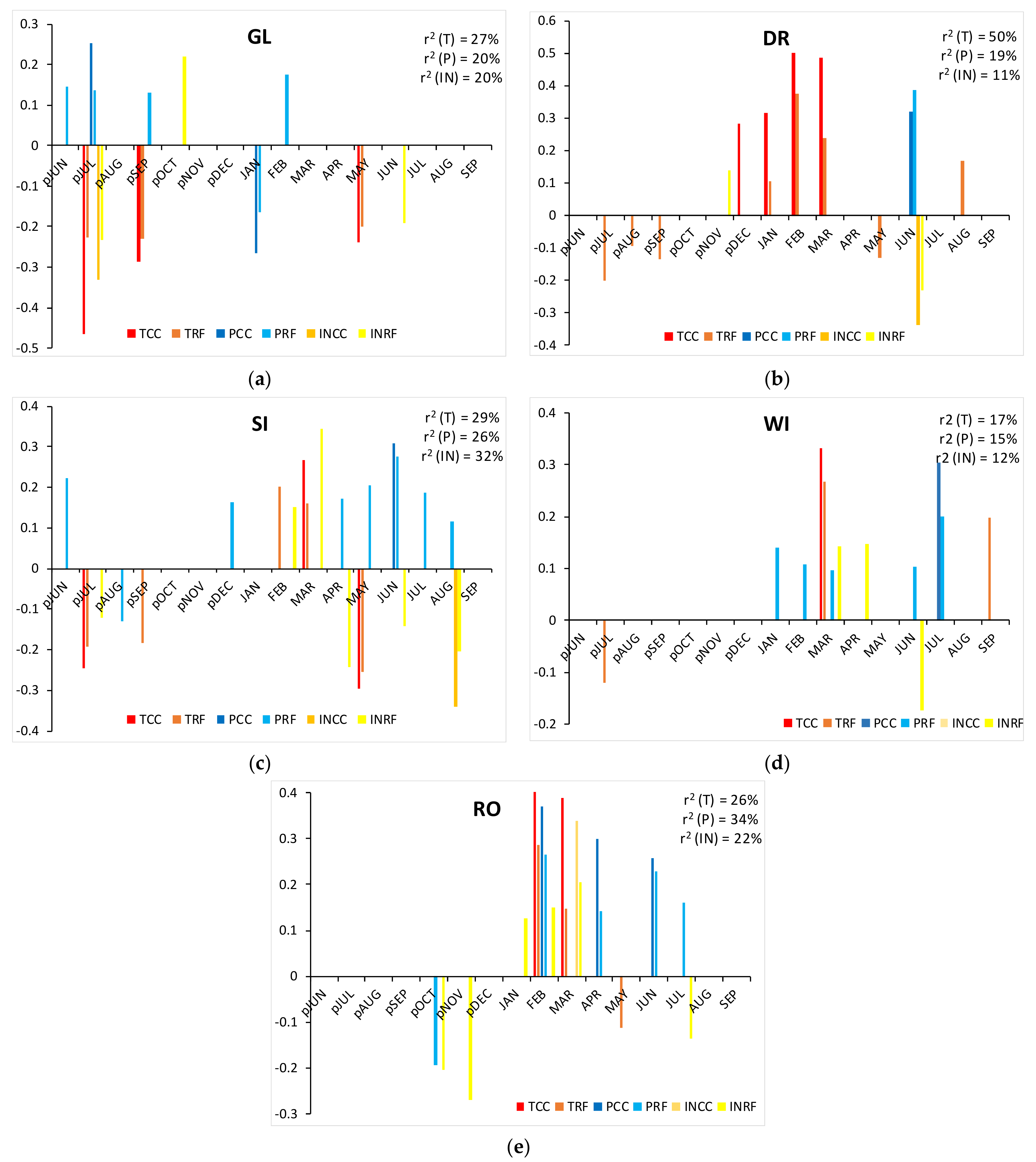
3.2. Correlation and Response Function
3.3. Pointer Years
3.4. False and Frost Rings
4. Discussion
5. Conclusions
Author Contributions
Funding
Institutional Review Board Statement
Informed Consent Statement
Data Availability Statement
Acknowledgments
Conflicts of Interest
References
- Laderman, A. Why does the freshwater genus Chamaecyparis hug marine coasts? In Atlantic White Cedar Restoration Ecology and Management, Proceedings of the a Symposium, Washington, DC, USA, 31 May–2 June 2000; Atkinson, R.B., Belcher, R.T., Brown, D.A., Perry, J.E., Eds.; Christopher Newport University: Newport News, VA, USA, 2003; pp. 1–30. Available online: http://atlantic-white-cedar.org/pubs/AWC-conference-2000-FINAL.pdf (accessed on 20 May 2021).
- Pravdin, Ł.F. Chamaecyparis Spach. In Dierievia i Kustarniki SSSR (Trees and Shrubs of the USSR); Sokołov, S.J., Sziszkin, B.K., Eds.; Izdatielstvo Akademii Nauk SSSR: Saint Petersburg, Russia, 1949; pp. 331–340. [Google Scholar]
- Białobok, S.; Hellwig, Z. Drzewoznawstwo (Dendrology); PWRiL: Warszawa, Poland, 1955; pp. 119–124. [Google Scholar]
- Krüssmann, G. Handbuch der Nadelgehölze (Handbook of Conifers); Paul Parey: Berlin, Germany, 1972; pp. 97–100. [Google Scholar]
- Seneta, W. Drzewa i Krzewy Iglaste (Coniferous Trees and Shrubs); Część, I., Ed.; PWN: Warszawa, Poland, 1987; pp. 140–184. [Google Scholar]
- Johnson, O.; More, D. Collins Tree Guide; HarperCollinsPublisher Ltd.: Glasgow, Scotland, 2004; pp. 42–43. [Google Scholar]
- Tumiłowicz, J. Ocena przydatności niektórych gatunków cyprysików (Chamaecyparis Spach.) dla gospodarki leśnej w Krainie Mazursko-Podlaskiej (The evaluation of the usefulness of certain species of cedars (Chamaecyparis Spach.) for forest managment within the Mazury-Podlasie Region). Sylwan 1969, 113, 25–39. [Google Scholar]
- Danielewicz, W.; Wiatrowska, B.; Dajdok, Z.; Tokarska-Guzik, B. Alien vascular plants established in forests of Poland. Florist. Et Geobot. Pol. 2020, 27, 451–471. [Google Scholar]
- Szmyt, J. Silviculture and climate change—Challenges, limitations and perspective. Sylwan 2020, 164, 881–895. [Google Scholar]
- Wilczek, Z.; Kluska, P.; Zarzycki, W.; Zarzycka, M. Fitocenozy z udziałem dębu czerwonego (Quercus rubra L.) na terenie nadleśnictwa Kobiór i ich znaczenie dla uprawy tego gatunku. (Phytocoenosis with northern red oak (Quercus rubra L.) in area of Kobiór Forest District and their significance for cultivation of this species). Acta Geogr. Sil. T 2017, 26, 79–87. [Google Scholar]
- Kimura, T.; Yamada, R.; Kariya, Y. A finding of fossil trees buried in dammed-lake deposits formed by the Dondokosawa rock avalanche of the late 9th century in the Akaishi Mountains, and its significance. In Proceedings of the Japan Geoscience Union Meeting, Chiba, Japan, 26–30 May 2019. [Google Scholar]
- Sato, T.; Yashima, A.; Tanaka, M. Identification of long-term climatic variations based on tree ring widhts of Japanese Cypresses. J. Nat. Disaster Sci. 1989, 11, 37–50. [Google Scholar]
- Nakatsuka, T.; Sano, M.; Li, Z.; Xu, C.; Tsushima, A.; Shigeoka, Y.; Sho, K.; Ohnishi, K.; Sakamoto, M.; Ozaki, H.; et al. A 2600-year summer climate reconstruction in central Japan by integrating tree-ring stable oxygen and hydrogen isotopes. Clim. Past 2020, 16, 2153–2172. [Google Scholar] [CrossRef]
- Kharal, D.K.; Fujiwara, T. Growth and yield estimation of Chamaecypari sspp. through treering analysis. Banko Janakari 2012, 22, 36–42. [Google Scholar] [CrossRef]
- Rahman, M.D.; Begum, S.; Nakaba, S.; Yamagishi, Y.; Kudo, K.; Nabeshima, E.; Nugroho, W.D.; Oribe, Y.; Funada, R. Relationship between the earlywood-to-latewood transition and changes in levels of stored starch around the cambium in locally heated stems of the evergreen conifer Chamaecyparis pisifera. Trees 2016, 30, 1619–1631. [Google Scholar] [CrossRef]
- Rahman, M.H.; Kudo, K.; Yamagishi, Y.; Nakamura, Y.; Nakaba, S.; Begum, S.; Nugroho, W.D.; Arakawa, I.; Kitin, P.; Funada, R. Winter-spring temperature pattern is closely related to the onset of cambial reactivation in stems of the evergreen conifer Chamaecyparis pisifera. Sci. Rep. 2020, 10, 14341. [Google Scholar] [CrossRef]
- Mindur, B. Dendrometer 1,0 (Dendrometer 1.0 Software). 2000. Available online: www.ictinternational.com/support/software/ (accessed on 9 November 2020).
- Cook, E.R.; Kairiukstis, A. Methods of Dendrochronology; Kluwer Academic Publishers: Berlin, Germany, 1992; pp. 1–394. ISBN 0-7923-0586-8. [Google Scholar]
- Schweingruber, F.H. Tree Rings: Basics and Applications of Dendrochronology; Kluwer Academic Publishers: Berlin, Germany, 1989; pp. 1–276. ISBN 978-0-7923-0559-0. [Google Scholar]
- Holmes, R.J. Computer-assisted quality control in tree-ring dating and measurement. Tree-Ring Bull. 1983, 43, 69–78. [Google Scholar]
- Holmes, R.J. Dendrochronology Program Library. In Users Manual; Laboratory of Tree-Ring Research: Tucson, AZ, USA, 1994; Available online: https://www.ltrr.arizona.edu/software.html (accessed on 20 May 2021).
- Wigley, T.M.L.; Briffa, K.R.; Jones, P.D. On the average value of correlated time series, with applications in dendroclimatology and hydrometeorology. J. Clim. Appl. Meteorol. 1984, 23, 201–213. [Google Scholar] [CrossRef]
- Nicholas, J. Introduction to Descriptive Statistics; Mathematics Learning Centre, University of Sydney: Camperdown, Australia, 1999; p. 42. [Google Scholar]
- Selvamuthu, D.; Das, D. Analysis of Correlation and Regression. In Introduction to Statistical Methods, Design of Experiments and Statistical Quality Control; Springer: Singapore, 2018. [Google Scholar] [CrossRef]
- Abdi, H.; Williams, L.J. Principal component analysis. Chemom. Intell. Lab. Syst. 2010, 2, 433–459. [Google Scholar] [CrossRef]
- Bartlett, M.S. A note on the multiplying factors for various chi square approximations. J. R. Stat. Soc. 1954, 16, 296–298. [Google Scholar]
- Cattell, R.B. The scree test for the number of factors. Multivar. Behav Res. 1966, 1, 245–276. [Google Scholar] [CrossRef] [PubMed]
- Walanus, A. Instrukcja Obsługi Programu TCS. Program TCS do Obliczania Lat Wskaźnikowych (TCS Program for Calculating Pointer Years). 2002. Available online: https://www.tcs.com/careers/ace-program/en-us (accessed on 9 November 2020).
- Kaennel, M.; Schweingruber, F.H. Multilingual Glossary of Dendrochronology; WSL FNP: Haupt, Germany, 1990; pp. 1–467. ISBN 3-258-05259-X. [Google Scholar]
- Meyer, F.D. Pointer years analysis in dendrochronology: A comparison of methods. Dendrochronologia 1998, 17, 193–204. [Google Scholar]
- Jetschke, G.; van der Maaten, E.; van der Maaten-Theunissen, M. Towards the extremes: A critical analysis of pointer year detection methods. Dendrochronologia 2019, 53, 55–62. [Google Scholar] [CrossRef]
- Cook, E.R.; Holmes, R.L. Guide for computer program ARSTAN. In The International Tree-Ring Data Bank Program Library Version 2.0 User’s Manual; Grissino-Mayer, H.D., Holmes, R.L., Fritts, H.C., Eds.; Laboratory of Tree-Ring Research: Tuscon, AZ, USA, 1996; pp. 75–87. [Google Scholar]
- Fritts, H.C. Tree Rings and Climate; Academic Press: New York, NY, USA, 1976; pp. 1–582. [Google Scholar]
- Garcia-Suarez, A.M.; Butler, C.J.; Baillie, M.G.L. Climate signal in tree-ring chronologies in a temperate climate: A multi-species approach. Dendrochronologia 2009, 27, 183–198. [Google Scholar] [CrossRef] [Green Version]
- Wilczyński, S.; Krąpiec, M.; Szychowska-Krąpiec, E.; Zielski, A. Dendroclimatological regions of the Scots pine in Poland. Sylwan 2001, 8, 53–61. [Google Scholar]
- Cedro, A. Climatic Changes in Western Pomerania in the Light of Analysis of Tree-Ring Sequences of Scots Pine, Douglas Fir, and Native Species of Oak; Science Research: Szczecin, Poland, 2004; pp. 1–149. ISBN 83-89402-03-3. [Google Scholar]
- Koprowski, M.; Zielski, A. Dendrochronology of Norway spruce (Picea abies (L.) Karst.) from two range centres in lowland Poland. Trees 2006, 20, 383–390. [Google Scholar] [CrossRef]
- Cedro, A.; Cedro, B. Climatic response of spruce trees growing at southern coast of the Baltic Sea (beyond the natural range of spruce). In Trace—Tree Rings in Archeology, Climatology and Ecology; Scientific Technical Report STR 09/03; Kaczka, R., Malik, I., Owczarek, P., Gärtner, H., Heinrich, I., Helle, G., Schleser, G., Eds.; GFZ Potsdam: Potsdam, Germany, 2009; Volume 7, pp. 44–49. [Google Scholar]
- Seo, J.W.; Choi, E.B.; Ju, J.D.; Shin, C.S. The association of intra-annual cambial activities of Pinus koraiensis and Chamaecyparis pisifera planted in Mt. Worak with climatic factors. J. Korean Wood Sci. Technol. 2017, 45, 43–52. [Google Scholar] [CrossRef] [Green Version]
- Panka, S. Gatunki drzew obcego pochodzenia na leśnych powierzchniach doświadczalnych Brandenburgii (Alien tree species in experimental forest plots in Brandenburg). Rocz. Pol. Tow. Dendrol. 2012, 60, 21–42. [Google Scholar]
- Cisowski, W.; Zielińska-Stasiek, M.; Zarembska, J. Tworzenie kolekcji i aklimatyzacja niektórych taksonów z gromady Gymnospermatophyta w Ogrodzie Roślin Leczniczych Akademii Medycznej w Gdańsku (Creating of collections and acclimation of selected taxons of division Gymnospermatophyta in Medical Plant Garden of the Medical University of Gdańsk). Biul. Ogrodów Bot. 1999, 8, 9–16. [Google Scholar]
- Copenheaver, C.A.; Matiuk, J.D.; Nolan, L.J.; Franke, M.E.; Block, P.R.; Reed, W.P.; Kidd, K.R.; Martini, G. False Ring Formation in Bald Cypress (Taxodium distichum). Wetlands 2017, 37, 1037–1044. [Google Scholar] [CrossRef]
- Therrell, M.D.; Elliott, E.A.; Meko, M.D.; Bregy, J.C.; Tucker, C.S.; Harley, G.L.; Maxwell, J.T.; Tootle, G.A. Streamflow Variability Indicated by False Rings in Bald Cypress (Taxodium distichum (L.) Rich.). Forests 2020, 11, 1100. [Google Scholar] [CrossRef]
- Laroque, C.P.; Smith, D.J. Tree-ring analysis of yellow-cedar (Chamaecyparis nootkatensis) on Vancouver Island, British Columbia. Can. J. For. Res. 1999, 29, 115–123. [Google Scholar] [CrossRef]
- Dobry, J.; Kyncl, J. Tree-ring density profiles in Cupressaceae. In Tree Rings and Environment, Proceedings of the International Symposium, Ystad, Sweden, 3–9 September 1990; Bartolin, T.S., Berglund, B.E., Eckstein, D., Schweingruber, F.H., Eggertsson, O., Eds.; Department of Quaternary Geology, Lund University: Lund, Sweden, 1992; pp. 83–84. [Google Scholar]
- Schweingruber, F.H. Wood Structure and Environment; Springer Series in Wood Science; Springer: Berlin/Heidelberg, Germany, 2007; pp. 1–279. [Google Scholar]
- Cedro, A. Dendrochronology of Yew in Poland and Western Ukraine; Zapol: Szczecin, Poland, 2012; pp. 1–230. ISBN 978-83-7518-386-3. [Google Scholar]
- Cedro, A. Dendrochronological Analysis of the Wild Service Tree (Sorbus torminalis L.) in Poland; Zapol: Szczecin, Poland, 2016; pp. 1–210. ISBN 978-83-7518-815-8. [Google Scholar]
- Payette, S.A.; Simard, M. Frost-ring chronologies as dendroclimatic proxies of boreal environments. Geophys. Res. Lett. 2010, 37. [Google Scholar] [CrossRef]
- Hadad, M.A.; Molina, J.A.; Roig Juñent, F.A.; Amoroso, M.M.; Müller, G.; Araneo, D.; Tardif, J.C. Frost record in tree rings linked to atmospheric circulation in northern Patagonia. Palaeogeogr. Palaeoclimatol. Palaeoecol. 2019, 524, 201–211. [Google Scholar] [CrossRef]







| Lab. Code | Name | Habitat | Geographic Coordinates | Altitude a.s.l. (m) | No. of Trees | No. of Samples | No. of Tree-Rings | |
|---|---|---|---|---|---|---|---|---|
| ϕ (N) | λ (E) | |||||||
| GL | Glinna | arboretum | 53°17′ | 14°43′ | 68 | 12 | 17 | 1563 |
| DR | Drawsko | forest | 53°52′ | 15°82′ | 115 | 21 | 39 | 2665 |
| SI | Sieraków | forest | 52°65′ | 16°09′ | 48 | 23 | 46 | 3322 |
| WI | Wirty | arboretum | 53°89′ | 18°37′ | 131 | 21 | 25 | 1192 |
| RO | Rogów | arboretum | 51°49′ | 19°53′ | 194 | 20 | 40 | 2572 |
| Ʃ | 97 | 167 | 11,314 | |||||
| Station | No. | Geographic Coordinates | Altitude a.s.l. [m] | Temperature (No. of Years) | Precipitation (No. of Years) | Insolation (No. of Years) | Distance and Direction from Study Plot | |
|---|---|---|---|---|---|---|---|---|
| ϕ (N) | λ (E) | |||||||
| Chojnice | 12235 | 53°42′ | 17°33′ | 172 | 1961−2018 (58) | 1961−2018 (58) | 1966−2018 (53) | WI, 55 km on WSW |
| Szczecin | 12205 | 53°24′ | 14°37′ | 1 | 1948−2020 (73) | 1948−2020 (73) | 1965−2020 (56) | GL, 12 km on NE |
| Gorzów Wlkp. | 12300 | 52°45′ | 15°17′ | 72 | 1948−2020 (73) | 1948−2020 (73) | 1965−2020 (56) | SI, 53 km on W |
| Piła | 12230 | 53°08′ | 16°45′ | 72 | 1949−2020 (72) | 1951−2020 (70) | 1973−2020 (48) | DR, 65 km on E |
| Rogów | WULS-SGGW Forest Experimental Station | 51°49′ | 19°53′ | 190 | 1962−2019 (58) | 1962−2019 (58) | - | RO, < 1 km |
| Łódź | 12465 | 51°44′ | 19°24′ | 187 | - | - | 1966−2019 (54) | RO, 35 km on E |
| Lab. Code | Total Chronology | EPS > 0.85 | |||||||||||
|---|---|---|---|---|---|---|---|---|---|---|---|---|---|
| No. of Years | Time Span | No. of Years | Time Span | No. of Samples | Mean TRW (min−max) (mm) | Measured Chronology | Residual Chronology | EPS | |||||
| SD | 1AC | MS | SD | 1AC | MS | ||||||||
| GL | 122 | 1899−2020 | 75 | 1946−2020 | 12 | 2.44 (1.05−3.12) | 1.55 | 0.59 | 0.43 | 0.36 | −0.9 | 0.39 | 0.94 |
| DR | 116 | 1905−2020 | 89 | 1932−2020 | 17 | 2.01 (1.20−3.28) | 1.03 | 0.61 | 0.37 | 0.27 | −0.12 | 0.36 | 0.92 |
| SI | 82 | 1939−2020 | 75 | 1946−2020 | 21 | 1.94 (1.22−2.48) | 1.16 | 0.63 | 0.39 | 0.29 | −0.11 | 0.28 | 0.93 |
| WI | 58 | 1961−2018 | 50 | 1969−2018 | 15 | 4.47 (3.02−7.10) | 2.05 | 0.53 | 0.34 | 0.26 | 0.09 | 0.29 | 0.87 |
| RO | 67 | 1953−2019 | 58 | 1962−2019 | 20 | 2.99 (1.97−3.66) | 1.63 | 0.59 | 0.43 | 0.31 | −0.07 | 0.38 | 0.95 |
| t/Gl | GL | DR | SI | WI | RO |
|---|---|---|---|---|---|
| GL | X | 4.19 | 5.49 | 2.59 | 3.27 |
| DR | 63 | X | 5.36 | 4.10 | 5.03 |
| SI | 67 | 73 | X | 4.62 | 3.86 |
| WI | 60 | 65 | 75 | X | 5.92 |
| RO | 62 | 76 | 74 | 65 | X |
| Year | Chronologies | Meteorological Conditions |
|---|---|---|
| 1979− | DR, SI, RO, WI | Cold winter, late and cold spring, rather dry year with insufficient rainfall in summer months |
| 1980+ | DR, SI, RO, WI, GL | Rather cool winter, cool summer, humid year, high precipitation totals in June and July, lower than average insolation, especially in summer |
| 1988+ | DR, SI, RO, WI, GL | Warm winter, rather cool summer, humid year, in June and July precipitation higher than average, low number of hours of sunshine in summer months |
| 1992− | DR, SI, RO, WI, GL | Warm winter, hot summer, very dry year, spring and summer months with insufficient rainfall and high insolation |
| 1994+ | SI, RO, WI, GL | Except for February, winter and spring rather warm, warm summer, annual precipitation close to average, no large deficits of rainfall in summer |
| 2003− | DR, SI, RO, WI, GL | Cold winter, very dry year, spring and summer months with low precipitation sums and high insolation |
| 2013− | DR, RO, WI, GL | Cold winter, cold early spring, locally low precipitation sums and high insolation in summer |
| 2014+ | DR, SI, RO, GL | Warm winter and early spring, hot July, humid year, spring and summer with no rainfall deficits, insolation varied by region |
| 2015− | DR, SI, RO, WI, GL | Warm winter, higher than average temperatures, rainfall considerably lower than average in summer months, high insolation in summer |
| 2018− | DR, SI, WI, GL | Cold winter, cold early spring, dry year, lower than average precipitation noted in summer, very high insolation values, especially in summer |
Publisher’s Note: MDPI stays neutral with regard to jurisdictional claims in published maps and institutional affiliations. |
© 2021 by the authors. Licensee MDPI, Basel, Switzerland. This article is an open access article distributed under the terms and conditions of the Creative Commons Attribution (CC BY) license (https://creativecommons.org/licenses/by/4.0/).
Share and Cite
Cedro, A.; Nowak, G.; Kowalewska-Kalkowska, H. Climate Response in Tree-Rings of Sawara Cypress [Chamaecyparis pisifera (Siebold & Zucc.) Endl.] in Poland. Forests 2021, 12, 967. https://doi.org/10.3390/f12080967
Cedro A, Nowak G, Kowalewska-Kalkowska H. Climate Response in Tree-Rings of Sawara Cypress [Chamaecyparis pisifera (Siebold & Zucc.) Endl.] in Poland. Forests. 2021; 12(8):967. https://doi.org/10.3390/f12080967
Chicago/Turabian StyleCedro, Anna, Grzegorz Nowak, and Halina Kowalewska-Kalkowska. 2021. "Climate Response in Tree-Rings of Sawara Cypress [Chamaecyparis pisifera (Siebold & Zucc.) Endl.] in Poland" Forests 12, no. 8: 967. https://doi.org/10.3390/f12080967
APA StyleCedro, A., Nowak, G., & Kowalewska-Kalkowska, H. (2021). Climate Response in Tree-Rings of Sawara Cypress [Chamaecyparis pisifera (Siebold & Zucc.) Endl.] in Poland. Forests, 12(8), 967. https://doi.org/10.3390/f12080967

