Correlation between Anatomical Grading and Acoustic–Elastic Properties of Resonant Spruce Wood Used for Musical Instruments
Abstract
1. Introduction
2. Materials and Methods
2.1. Materials
2.2. Methods
2.2.1. Wood Anatomical Data Acquisition
2.2.2. Color Measurements of Wood Samples
2.2.3. Ultrasound Screening of Resonant Spruce Samples
2.2.4. Data Statistical Processing
3. Results and Discussion
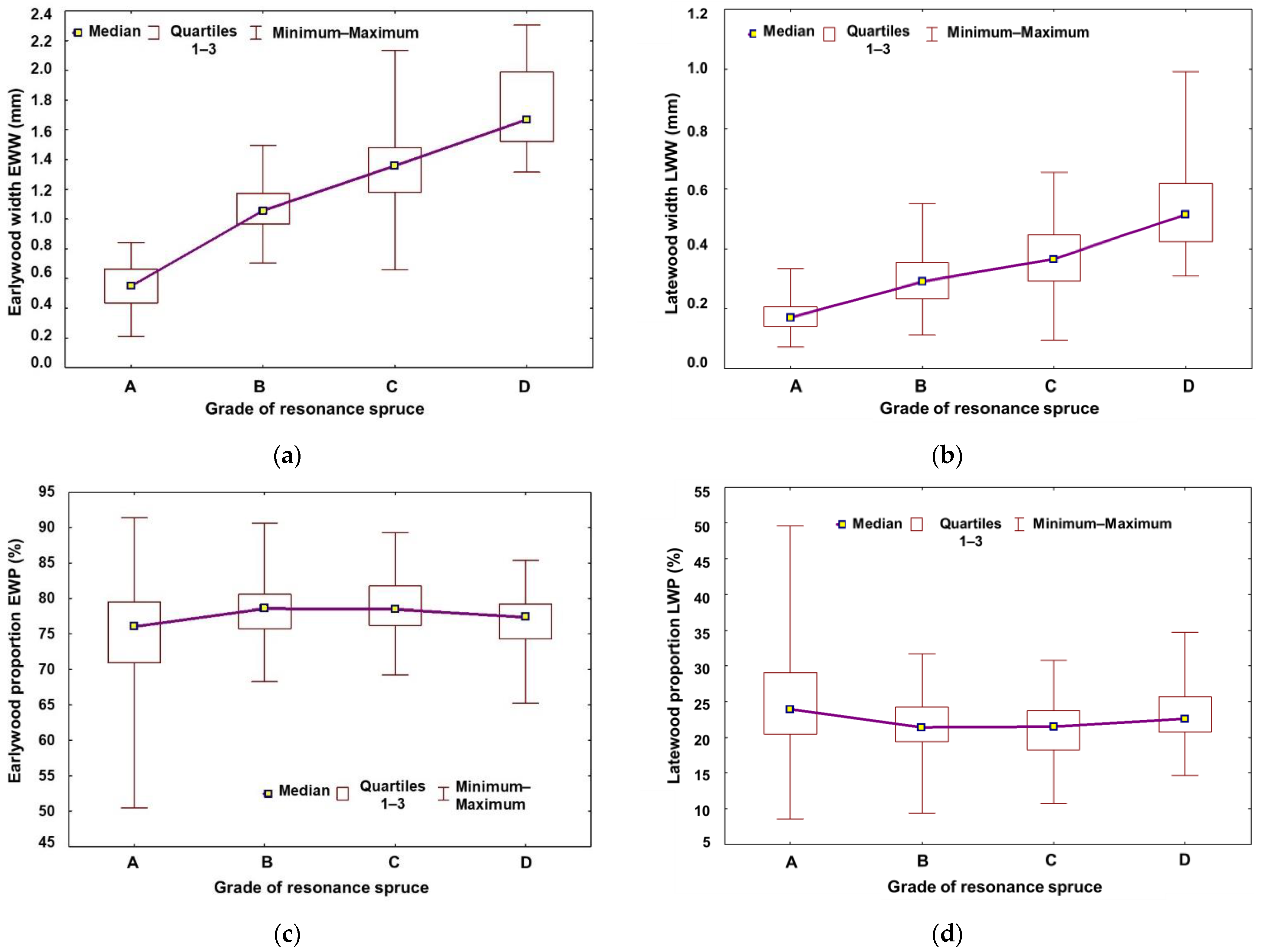
3.1. The Anatomical Pattern and Color of Resonant Spruce
3.2. Acoustic and Elastic Parameters of Resonant Spruce
3.2.1. Discriminant Function Analysis (DFA)
3.2.2. Principal Component Analysis (PCA)
3.2.3. Correlations between Elastic–Acoustic Properties and Anatomical Features of Resonant Spruce
4. Conclusions
- The anisotropy of spruce wood is the largest in the tangential direction, with the modulus of longitudinal elasticity in the tangential direction registering the largest dispersion.
- The speed of sound propagation in radial direction VRR, Poisson’s ratio υLR, the speed of propagation of sounds in the longitudinal direction VLL, and the longitudinal elasticity modulus EL are the most important properties that differentiate the quality classes of resonant spruce.
- VLL is the variable that best expresses the links between the acoustic–elastic properties and the physical properties of the material; it defines the second main component (Figure 9) and correlates much better than VRR with the physical properties of wood (see new Table 7). Instead, VRR is best able to distinguish the quality classes of violins (Table 6).
- Among the parameters analyzed, the best correlation was obtained between the speed of sound in the radial and tangential directions and the other physical and elastic parameters.
- Regarding the correlation between the color of the wood and the elastic properties, it was observed that the modulus of elasticity in the longitudinal direction (EL) decreases with the redness of the wood color.
Author Contributions
Funding
Data Availability Statement
Acknowledgments
Conflicts of Interest
References
- Bremaud, I.; Gril, J.; Thibaut, B. Anisotropy of wood vibrational properties: Dependence on grain angle and review of literature data. Wood Sci. Technol. 2011, 45, 735–754. [Google Scholar] [CrossRef]
- Brémaud, I. What Do We Know on “Resonance Wood” Properties? Selective Review and Ongoing Research; Societé Française d’Acoustique: Nantes, France, 2012; pp. 2760–2764. [Google Scholar]
- Brémaud, I. Acoustical properties of wood in string instruments soundboards and tuned idiophones: Biological and cultural diversity. J. Acoust. Soc. Am. 2012, 131, 807–818. [Google Scholar] [CrossRef] [PubMed]
- Spycher, M.; Schwarze, F.W.M.R.; Steiger, R. Assessment of resonance wood quality by comparing its physical and histological properties. Wood Sci. Technol. 2008, 42, 325–342. [Google Scholar] [CrossRef]
- Hilde, C.; Woodward, R.; Avramidis, S.; Hartley, I.D. The Acoustic Properties of Water Submerged Lodgepole Pine (Pinus contorta) and Spruce (Picea spp.) Wood and Their Suitability for Use as Musical Instruments. Materials 2014, 7, 5688–5699. [Google Scholar] [CrossRef]
- Buksnowitz, C.; Teischinger, A.; Müller, U.; Pahler, A.; Evans, R. Resonance wood [Picea abies (L.) Karst.]: Evaluation and prediction of violin makers’ quality-grading. J. Acoust. Soc. Am. 2007, 121, 2384–2395. [Google Scholar] [CrossRef] [PubMed]
- Manzo, G.; Tippner, J.; Zatloukal, P. Relationships between the Macrostructure Features and Acoustic Parameters of Resonance Spruce for Piano Soundboards. Appl. Sci. 2021, 11, 1749. [Google Scholar] [CrossRef]
- Sproßmann, R.; Zauer, M.; Wagenführ, A. Characterization of acoustic and mechanical properties of common tropical woods used in classical guitars. Results Phys. 2017, 7, 1737–1742. [Google Scholar] [CrossRef]
- Šilinskas, B.; Varnagirytė-Kabašinskienė, I.; Aleinikovas, M.; Beniušienė, L.; Aleinikovienė, J.; Škėma, M. Scots Pine and Norway Spruce Wood Properties at Sites with Different Stand Densities. Forests 2020, 11, 587. [Google Scholar] [CrossRef]
- Rocaboy, F.; Bucur, V. About the physical properties of wood of twentieth century violins. J. Acoust. Soc. Am. 1990, 1, 21–28. [Google Scholar]
- Albu, C.T. Research on the Characteristics of Resonance SpruceWood from Gurghiu River Basin in Conjunction with the Requirements of the Musical Instruments Industry. Ph.D. Thesis, Transilvania University of Brasov, Brasov, Romania, 2010. [Google Scholar]
- Bucur, V.; Archer, R.R. Elastic constants for wood by an ultrasonic method. Wood Sci. Technol. 1984, 18, 255–265. [Google Scholar] [CrossRef]
- Bucur, V. Acoustics of Wood, 2nd ed.; Springer: Berlin/Heidelberg, Germany, 2006; pp. 173–196. [Google Scholar]
- Bissinger, G. Structural Acoustics of Good and Bad Violins. J. Acoust. Soc. Am. 2008, 124, 1764–1773. [Google Scholar] [CrossRef]
- Bucur, V. Chapter 3—Mechanical Characterization of Materials for String Instruments: 93–132 and Chapter 8—Ageing of musical instruments—About the old and new instruments. In Handbook of Materials for String Musical Instruments; Springer: Cham, Switzerland, 2016; pp. 325–372. [Google Scholar]
- Dinulică, F.; Albu, C.T.; Vasilescu, M.M.; Stanciu, M.D. Bark features for identifying resonance spruce standing timber. Forests 2019, 10, 799. [Google Scholar] [CrossRef]
- Stanciu, M.D.; Cosereanu, C.; Dinulică, F.; Bucur, V. Effect of wood species on vibration modes of violins plates. Eur. J. Wood Prod. 2020, 78, 785–799. [Google Scholar] [CrossRef]
- Gliga, V.G.; Stanciu, M.D.; Nastac, S.M.; Campean, M. Modal Analysis of Violin Bodies with Back Plates Made of Different Wood Species. BioResources 2020, 15, 7687–7713. [Google Scholar] [CrossRef]
- Dinulică, F.; Bucur, V.; Albu, C.T.; Vasilescu, M.M.; Curtu, A.L.; Nicolescu, N.V. Relevant phenotypic descriptors of the resonance Norway spruce standing trees for the acoustical quality of wood for musical instruments. Eur. J. For. Res. 2021, 140, 105–125. [Google Scholar] [CrossRef]
- Wegst, U.G.K. Wood for sound. Am. J. Bot. 2006, 93, 1439–1448. [Google Scholar] [CrossRef]
- Viala, R.; Placet, V.; Cogan, S. Simultaneous non-destructive identification of multiple elastic and damping properties of spruce tonewood to improve grading. J. Cult. Herit. 2020, 42, 108–116. [Google Scholar] [CrossRef]
- Carlier, C.; Brémaud, I.; Gril, J. Violin Making “Tonewood”: Comparing Makers’ Empirical Expertise with Wood Structural/Visual and Acoustical Properties; International Symposium on Musical Acoustics ISMA2014; ISMA: Le Mans, France, 2014; pp. 325–330. [Google Scholar]
- Carlier, C.; Alkadri, A.; Gril, J.; Brémaud, I. Revisiting the notion of “resonance wood”choice: A decompartementalised approach from violin makers’opinion and perception to characterization of material properties’ variability. In Wooden Musical Instruments. Different Forms of Knowledge: Book of End of WoodMusick COST ActionFP1302; Perez, M., Marconi, E., Eds.; Hal Documentation; 2018; p. hal-02051004. Available online: https://hal.archives-ouvertes.fr/hal-02086598 (accessed on 15 August 2021).
- Halachan, P.; Babiak, M.; Spišiak, D.; Chubinsky, A.N.; Tambi, A.A.; Chauzov, K.V. Physico-acoustic characteristics of spruce and larche wood. Wood Res. 2017, 62, 235–242. [Google Scholar]
- Stanciu, M.D.; Șova, D.; Savin, A.; Iliaș, N.; Gorbacheva, G. Physical and Mechanical Properties of Ammonia-Treated Black Locust Wood. Polymers 2020, 12, 377. [Google Scholar] [CrossRef]
- Nishino, Y.; Janin, G.; Yainada, Y.; Kitano, D. Relations between the colorimetric values and densities of sapwood. J. Wood. Sci. 2000, 46, 267–272. [Google Scholar] [CrossRef]
- Gonçalves, R.; Trinca, A.J. Comparison of elastic constants of wood determined by ultrasonic wave propagation and static compression testing. Wood Fiber Sci. 2011, 43, 64–75. [Google Scholar]
- Kollmann, F.F.P.; Cotte, W.A. Principles of Wood Science and Technology; Springer: Berlin/Heidelberg, Germany; New York, NY, USA, 1968. [Google Scholar]
- Lanvermann, C.; Hass, P.; Wittel, F.K.; Niemz, P. Mechanical properties of norway spruce: Intra-ring variation and generic behavior of earlywood and latewood until failure. BioResources 2014, 9, 105–119. [Google Scholar] [CrossRef]
- Schmerr, L.W., Jr. Fundamentals of Ultrasonic Nondestructive Evaluation—A Modeling Approach; Plenum Press: New York, NY, USA, 1998. [Google Scholar]
- Grimberg, R.; Savin, A.; Steigmann, R.; Stanciu, M.D.; Grum, J. Determination of Elastic Properties of CFRP Using Lamb Waves Resonant Spectroscopy. In Proceedings of the 2nd International Symposium on NDT in Aerospace, Hamburg, Germany, 22–24 November 2010. [Google Scholar]
- Alleyne, D.N.; Cawley, P. A two dimensional Fourier transform method for the measurement of propagating multimode signals. J. Acoust. Soc. Am. 1991, 89, 1159–1168. [Google Scholar] [CrossRef]
- Šturm, R.; Grimberg, R.; Savin, A.; Grum, J. Destructive and nondestructive evaluations of the effect of moisture absorption on the mechanical properties of polyester-based composites. Compos. Part B Eng. 2015, 71, 10–16. [Google Scholar] [CrossRef]
- Nowak, T.; Hamrol-Bielecka, K.; Jasienko, J. Non-destructive testing of wood–correlation of ultrasonic and stress wave test results in glued laminated timber members. Annals of Warsaw University of Life Sciences-SGGW. For. Wood Technol. 2015, 92, 317–324. [Google Scholar]
- Fang, Y.; Lin, L.; Feng, H.; Lu, Z.; Emms, G.W. Review of the use of air-coupled ultrasonic technologies for nondestructive testing of wood and wood products. Comput. Electron. Agric. 2017, 137, 79–87. [Google Scholar] [CrossRef]
- Fedyukov, V.; Saldaeva, E.; Chernova, M. Different ways of elastic modulus comparative study to predict resonant properties of standing spruce wood. Wood Res. 2017, 62, 607–614. [Google Scholar]
- Mania, P.; Fabisiak, E.; Skrodzka, E. Investigation of Modal Behaviour of Resonance Spruce Wood Samples (Picea abies L.). Arch. Acoust. 2017, 42, 23–28. [Google Scholar] [CrossRef][Green Version]
- Mania, P.; Gąsiorek, M. Acoustic Properties of Resonant Spruce Wood Modified Using Oil-Heat Treatment (OHT). Materials 2020, 13, 1962. [Google Scholar] [CrossRef]
- Bachtiar, E.V.; Sanabria, S.J.; Mittig, J.P.; Niemz, P. Moisture-dependent elastic characteristics of walnut and cherry wood by means of mechanical and ultrasonic test incorporating three different ultrasound data evaluation techniques. Wood Sci. Technol. 2017, 51, 47–67. [Google Scholar] [CrossRef]
- Krajnc, L.; Farrelly, N.; Harte, A.M. The effect of thinning on mechanical properties of Douglas fir, Norway spruce, and Sitka spruce. Ann. For. Sci. 2019, 76, 25–37. [Google Scholar] [CrossRef]









| Physical Features | Grade/Average Value/STDV | ||||||||
|---|---|---|---|---|---|---|---|---|---|
| A | STDV | B | STDV | C | STDV | D | STDV | ||
| The sizes (mm) | Longitudinal | 40.508 | 0.187 | 40.304 | 0.706 | 40.116 | 0.120 | 39.957 | 0.157 |
| Radial | 40.326 | 0.137 | 40.291 | 0.159 | 40.136 | 0.099 | 40.259 | 0.112 | |
| Tangential | 40.324 | 0.110 | 40.020 | 0.091 | 40.126 | 0.135 | 40.146 | 0.116 | |
| Mass (g) | 28.85 | 1.817 | 24.760 | 0.554 | 28.831 | 1.359 | 25.44 | 0.635 | |
| Density ρ (kg/m3) | 438 | 2.035 | 381 | 4.291 | 446 | 8.695 | 394 | 3.663 | |
| No. of annual rings/sample | 56 | 0.158 | 29 | 0.223 | 23 | 0.374 | 14 | 0.347 | |
| Variables | Grade | |||
|---|---|---|---|---|
| Average Values/STDV | A | B | C | D |
| Annual rings widths (mm) | 0.71 (0.005) | 1.38 (0.018) | 1.69 (0.045) | 2.28 (0.005) |
| Early wood width (mm) | 0.54 (0.011) | 1.07 (0.029) | 1.33 (0.039) | 1.74 (0.029) |
| Late wood width (mm) | 0.18 (0.013) | 0.30 (0.013) | 0.36 (0.022) | 0.54 (0.026) |
| Early wood proportion (%) | 74.97 (1.519) | 78.53 (1.203) | 78.71 (0.895) | 76.36 (1.138) |
| Late wood proportion (%) | 25.03 (1.519) | 21.47 (1.203) | 21.29 (0.895) | 23.64 (1.136) |
| Lightness L* (%) | 84.15 (0.349) | 83.57 (0.398) | 84.21 (0.700) | 83.65 (0.120) |
| Green-red scale a* | 2.54 (0.093) | 2.97 (0.149) | 2.47 (0.202) | 2.76 (0.093) |
| Blue-yellow b* | 19.78 (0.573) | 19.62 (0.163) | 20.02 (0.727) | 20.85 (0.223) |
| Type of Variables | Symbol | Average Value | Coefficient of Variation (%) | The Chi-Square Test |
|---|---|---|---|---|
| Ring width (mm) | TRW | 1.27393 | 48.74623 | p < 0.001 |
| Early wood width (mm) | EWW | 0.98172 | 49.11365 | p < 0.001 |
| Late wood width (mm) | LWW | 0.29220 | 53.96329 | p < 0.001 |
| Early wood proportion (%) | EWP | 76.67656 | 7.31074 | p = 0.003 |
| Late wood proportion (%) | LWP | 23.32344 | 24.03427 | p = 0.004 |
| Type of Stratification | Grade of Resonant Spruce Wood | |||
|---|---|---|---|---|
| A | B | C | D | |
| Rank-order correlation coefficients | −0.327 p < 0.001 | 0.48 p < 0.001 | 0.222 p = 0.04 | 0.264 p = 0.03 |
| Type of Variables | Symbol | Grade of Resonant Spruce Wood Average Values | |||
|---|---|---|---|---|---|
| A | B | C | D | ||
| Density (kg/m3) | STDV | 438 2.035 | 381 4.291 | 446 8.695 | 394 3.663 |
| Sound velocity in wood (m/s) | VLL | 5005.74 | 4856.55 | 4688.94 | 4283.40 |
| VRR | 1703.27 | 1594.62 | 1660.39 | 1687.40 | |
| VTT | 1374.57 | 1227.63 | 1296.72 | 1409.18 | |
| Young’s elasticity modulus (MPa) | EL | 10,250.58 | 9421.53 | 9595.21 | 7011.00 |
| ER | 1193.65 | 993.40 | 1153.88 | 1221.37 | |
| ET | 797.77 | 564.87 | 707.97 | 839.00 | |
| Specific longitudinal modulus of elasticity (GPa* g−1* cm3) | EL/ρ | 25.09 | 23.09 | 22.93 | 17.08 |
| ER/ρ | 2.92 | 2.43 | 2.76 | 2.98 | |
| ET/ρ | 3.36 | 3.01 | 3.10 | 3.43 | |
| Shear Modulus (MPa) | GRT | 781.05 | 599.95 | 711.80 | 670.03 |
| GLR | 1007.50 | 759.28 | 899.97 | 1030.85 | |
| GLT | 937.12 | 735.15 | 898.57 | 845.08 | |
| Specific shear modulus of elasticity (GPa* g−1* cm3) | GRT/ρ | 1.91 | 1.47 | 1.70 | 1.63 |
| GLR/ρ | 2.47 | 1.86 | 2.15 | 2.51 | |
| GLT/ρ | 2.29 | 1.80 | 2.15 | 2.06 | |
| Poisson Coefficient | υLT | 0.46 | 0.47 | 0.46 | 0.44 |
| υLR | 0.43 | 0.44 | 0.43 | 0.40 | |
| υRT | −0.38 | −0.29 | −0.33 | −0.59 | |
| Variables | Wilks’ Lambda | Partial Lambda | F-Remove | Significance p-Level | Tolerance |
|---|---|---|---|---|---|
| VLL (m/s) | 0.1502 | 0.5900 | 3.7060 | 0.0337 | 0.0278 |
| VRR (m/s) | 0.1886 | 0.4700 | 6.0140 | 0.0060 | 0.0378 |
| υLR | 0.1829 | 0.4846 | 5.6714 | 0.0076 | 0.0108 |
| EL (MPa) | 0.1147 | 0.7726 | 1.5692 | 0.2357 | 0.6033 |
| ρ (kg/m3) | 0.0842 | 0.9499 | 0.2636 | 0.8505 | 0.7790 |
| VTT (m/s) | 0.0682 | 0.7691 | 1.5004 | 0.2549 | 0.2098 |
| ER (MPa) | 0.0847 | 0.9556 | 0.2320 | 0.8726 | 0.0802 |
| ET (MPa) | 0.0738 | 0.8327 | 1.0045 | 0.4179 | 0.0920 |
| υLT | 0.0765 | 0.8635 | 0.7902 | 0.5179 | 0.0891 |
| υRT | 0.0744 | 0.8399 | 0.9528 | 0.4402 | 0.7053 |
| GRT (MPa) | 0.0876 | 0.9883 | 0.0591 | 0.9804 | 0.5677 |
| GLR(MPa) | 0.0774 | 0.8737 | 0.7226 | 0.5539 | 0.1163 |
| GLT(MPa) | 0.0879 | 0.9917 | 0.0417 | 0.9881 | 0.5541 |
| Variables | Simple Correlation Coefficients | ||||||
|---|---|---|---|---|---|---|---|
| TRW | RI | LWW | LWP | L* | a* | b* | |
| ρ (kg/m3) | 0.396 | 0.399 | 0.402 | −0.293 | −0.021 | −0.160 | 0.421 |
| VLL (m/s) | −0.708 | −0.639 | −0.708 | 0.229 | 0.259 | −0.021 | −0.350 |
| VRR (m/s) | 0.057 | −0.012 | 0.075 | 0.253 | 0.021 | −0.253 | 0.058 |
| VTT (m/s) | 0.289 | 0.217 | 0.258 | 0.214 | 0.150 | −0.238 | 0.117 |
| EL (MPa) | −0.287 | −0.273 | −0.339 | 0.125 | 0.336 | −0.440 | 0.070 |
| ER (MPa) | −0.184 | −0.239 | −0.166 | 0.123 | −0.093 | 0.216 | −0.245 |
| ET (MPa) | −0.065 | −0.147 | −0.088 | 0.162 | −0.007 | 0.186 | −0.234 |
| GLT (MPa) | −0.230 | −0.259 | −0.186 | 0.247 | 0.059 | −0.153 | −0.110 |
| GLR (MPa) | 0.244 | 0.171 | 0.248 | 0.292 | 0.057 | −0.351 | 0.199 |
| GRT (MPa) | −0.117 | −0.127 | −0.062 | 0.210 | 0.011 | −0.084 | −0.094 |
Publisher’s Note: MDPI stays neutral with regard to jurisdictional claims in published maps and institutional affiliations. |
© 2021 by the authors. Licensee MDPI, Basel, Switzerland. This article is an open access article distributed under the terms and conditions of the Creative Commons Attribution (CC BY) license (https://creativecommons.org/licenses/by/4.0/).
Share and Cite
Dinulică, F.; Stanciu, M.D.; Savin, A. Correlation between Anatomical Grading and Acoustic–Elastic Properties of Resonant Spruce Wood Used for Musical Instruments. Forests 2021, 12, 1122. https://doi.org/10.3390/f12081122
Dinulică F, Stanciu MD, Savin A. Correlation between Anatomical Grading and Acoustic–Elastic Properties of Resonant Spruce Wood Used for Musical Instruments. Forests. 2021; 12(8):1122. https://doi.org/10.3390/f12081122
Chicago/Turabian StyleDinulică, Florin, Mariana Domnica Stanciu, and Adriana Savin. 2021. "Correlation between Anatomical Grading and Acoustic–Elastic Properties of Resonant Spruce Wood Used for Musical Instruments" Forests 12, no. 8: 1122. https://doi.org/10.3390/f12081122
APA StyleDinulică, F., Stanciu, M. D., & Savin, A. (2021). Correlation between Anatomical Grading and Acoustic–Elastic Properties of Resonant Spruce Wood Used for Musical Instruments. Forests, 12(8), 1122. https://doi.org/10.3390/f12081122

