Radial Variation of Wood Anatomical Properties Determines the Demarcation of Juvenile-Mature Wood in Schima superba
Abstract
1. Instruction
2. Materials and Methods
2.1. Study Site
2.2. Plant Material
2.3. Measurements of Wood Anatomical Properties
2.4. Data Analyses
3. Results
3.1. Radial Variation among Different Tree Ages in Wood Anatomical Properties
3.2. Description of the Wood Anatomical Properties
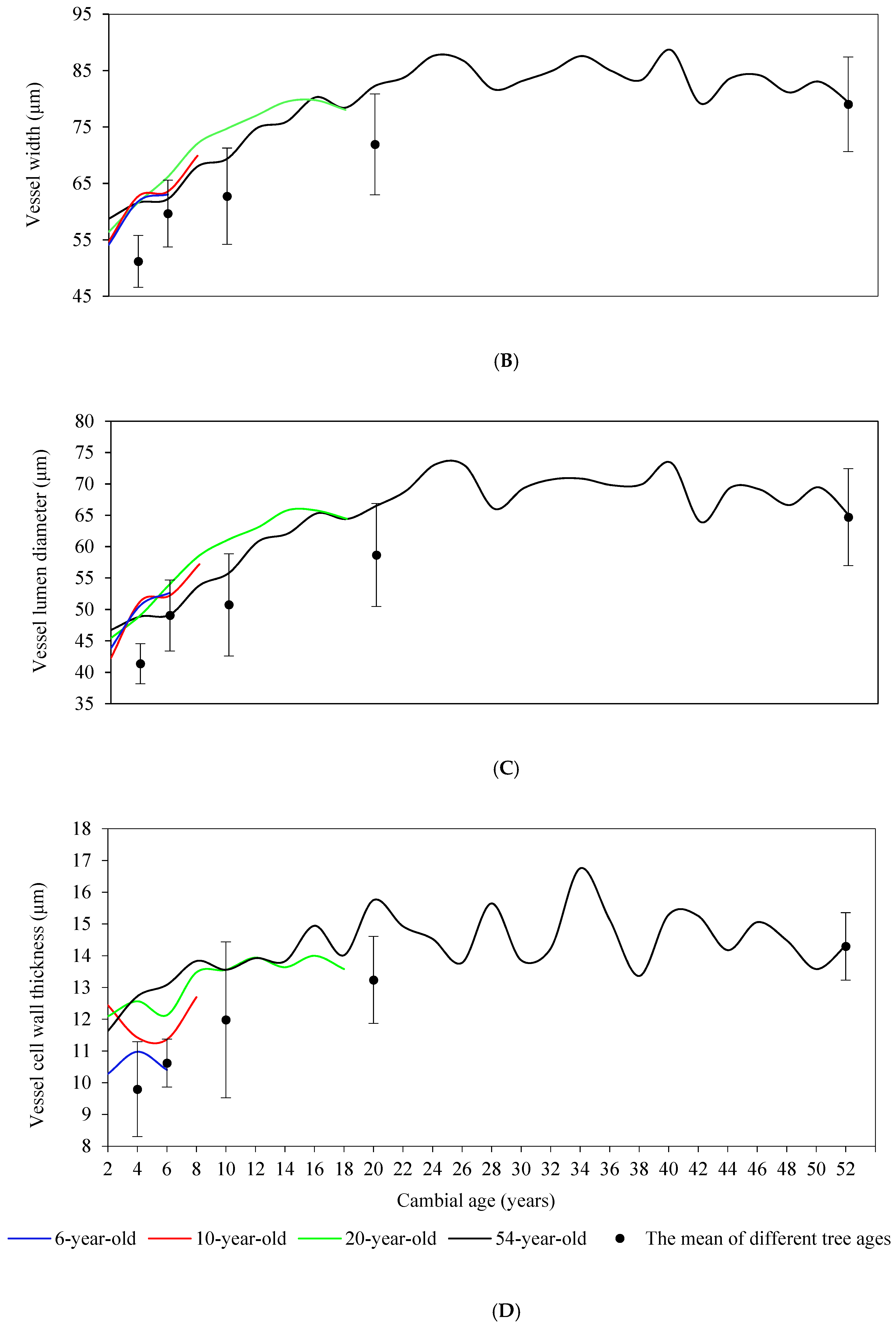
3.3. Radial Variation in Wood Anatomical Properties
3.4. Correlation of Wood Anatomical Properties
3.5. Models for Predicting Wood Anatomical Properties
3.6. Demarcation of Juvenile and Mature Wood
4. Discussion
4.1. Description of the Wood Anatomical Properties
4.2. Radial Variation of Wood Anatomical Properties
4.3. Correlation of Wood Anatomical Properties
4.4. Models for Predicting Wood Anatomical Properties
4.5. Demarcation of Juvenile and Mature Wood
5. Conclusions
Author Contributions
Funding
Data Availability Statement
Acknowledgments
Conflicts of Interest
References
- Kimberley, M.O.; Cown, D.J.; Mckinley, R.B.; Moore, J.R.; Dowling, L.J. Modelling Variation in Wood Density Within and among Trees in Stands of New Zealand-grown Radiata Pine. N. Z. J. For. Sci. 2015, 45, 22. [Google Scholar] [CrossRef]
- Schimleck, L.; Antony, F.; Dahlen, J.; Moore, J. Wood and Fiber Quality of Plantation-grown Conifers: A Summary of Research with an Emphasis on Loblolly and Radiata Pine. Forests 2018, 9, 298. [Google Scholar] [CrossRef]
- Pacheco, A.; Camarero, J.J.; Carrer, M. Linking Wood Anatomy and Xylogenesis Allows Pinpointing of Climate and Drought Influences on Growth of Coexisting Conifers in Continental Mediterranean Climate. Tree Physiol. 2016, 36, 502–512. [Google Scholar] [CrossRef] [PubMed]
- De Mil, T.; Tarelkin, Y.; Hahn, S.; Hubau, W.; Deklerck, V.; Debeir, O.; Van Acker, J.; Cannière, C.; Beeckman, H.; Van den Bulcke, J. Wood Density Profiles and Their Corresponding Tissue Fractions in Tropical Angiosperm Trees. Forests 2018, 12, 763. [Google Scholar] [CrossRef]
- Liu, Y.; Zhou, L.; Zhu, Y.; Liu, S. Anatomical Features and Its Radial Variations among Different Catalpa bungei Clones. Forests 2020, 11, 824. [Google Scholar] [CrossRef]
- Antony, F.; Schimleck, L.R.; Jordan, L.; Hornsby, B.; Dahlen, J.; Daniels, R.F.; Clark, A., III; Apiolaza, L.A.; Huber, D. Growth and Wood Properties of Genetically Improved Loblolly Pine: Propagation Type Comparison and Genetic Parameters. Can. J. For. Res. 2014, 44, 263–272. [Google Scholar] [CrossRef]
- Mäkinen, H.; Saranpää, P.; Linder, S. Wood-density Variation of Norway Spruce in Relation to Nutrient Optimization and Fibre Dimensions. Can. J. For. Res. 2002, 32, 185–194. [Google Scholar] [CrossRef]
- Jordan, L.; Clark, A., III; Schimleck, L.R.; Hall, D.B.; Daniels, R.F. Regional Variation in Wood Specific Gravity of Planted Loblolly Pine in the United States. Can. J. For. Res. 2008, 38, 698–710. [Google Scholar] [CrossRef]
- Li, S.; Li, X.; Link, R.; Li, R.; Deng, L.; Schuldt, B.; Jiang, X.; Zhao, R.; Zheng, J.; Li, S.; et al. Influence of Cambial Age and Axial Height on the Spatial Patterns of Xylem Traits in Catalpa bungei, a Ring-porous Tree Species Native to China. Forests 2019, 10, 16. [Google Scholar] [CrossRef]
- Dahlen, J.; Auty, D.; Eberhardt, T.L. Models for Predicting Specific Gravity and Ring Width for Loblolly Pine from Intensively Managed Plantations, and Implications for Wood Utilization. Forests 2018, 9, 292. [Google Scholar] [CrossRef]
- Dahlen, J.; Nabavi, M.; Auty, D.; Schimleck, L.; Eberhardt, T.L. Models for Predicting the Within-tree and Regional Variation of Tracheid Length and Width for Plantation Loblolly Pine. Forestry 2020, 93, 1–14. [Google Scholar] [CrossRef]
- Nock, C.A.; Geihofer, D.; Grabner, M.; Baker, P.J.; Bunyavejchewin, S.; Hietz, P. Wood Density and Its Radial Variation in Six Canopy Tree Species Differing in Shade-tolerance in Western Thailand. Ann. Bot. 2009, 104, 297–306. [Google Scholar] [CrossRef]
- Peng, M.; Stewart, J.D. Development, Validation, and Application of a Model of Intra-and Inter-tree Variability of Wood Density for Lodgepole Pine in Western Canada. Can. J. For. Res. 2013, 43, 1172–1180. [Google Scholar] [CrossRef]
- Palermo, G.P.D.M.; Latorraca, J.V.D.F.; Carvalho, A.M.D.; Calonego, F.W.; Severo, E.T.D. Anatomical Properties of Eucalyptus grandis Wood and Transition Age between the Juvenile and Mature Woods. Eur. J. Wood Wood Prod. 2015, 73, 775–780. [Google Scholar] [CrossRef]
- Mvolo, C.; Koubaa, A.; Beaulieu, J.; Cloutier, A.; Mazerolle, M.J. Variation in Wood Quality in White Spruce (Picea Glauca (Moench) Voss). Part I. Defining the Juvenile-mature Wood Transition Based on Tracheid Length. Forests 2015, 6, 183–202. [Google Scholar] [CrossRef]
- Jyske, T.; Hölttä, T.; Mäkinen, H.; Nöjd, P.; Lumme, I.; Spiecker, H. The Effect of Artificially Induced Drought on Radial Increment and Wood Properties of Norway Spruce. Tree Physiol. 2010, 30, 103–115. [Google Scholar] [CrossRef] [PubMed]
- Nabavi, M.; Dahlen, J.; Schimleck, L.; Eberhardt, T.L.; Montes, C. Regional Calibration Models for Predicting Loblolly Pine Tracheid Properties Using Near-infrared Spectroscopy. Wood Sci. Technol. 2018, 52, 445–463. [Google Scholar] [CrossRef]
- Schimleck, L.; Antony, F.; Mora, C.; Dahlen, J. Comparison of Whole-tree Wood Property Maps for 13-year-old and 22-year-old Loblolly Pine. Forests 2018, 9, 287. [Google Scholar] [CrossRef]
- Yang, H.; Zhang, R.; Song, P.; Zhou, Z. The Floral Biology, Breeding System and Pollination Efficiency of Schima superba Gardn. et Champ. (Theaceae). Forests 2017, 8, 404. [Google Scholar] [CrossRef]
- Zhang, R.; Yang, H.; Zhou, Z.; Shen, B.; Xiao, J.; Wang, B. A High-density Genetic Map of Schima superba Based on Its Chromosomal Characteristics. BMC Plant Biol. 2019, 19, 41. [Google Scholar] [CrossRef]
- Wang, X.; Chen, L.; Ma, L.; Fan, H.; Ye, S.; Zhou, Z. Geographical Provenance Variation of Growth and Wood Basic Density of 7-year-old Schima superba and Its Provenance Selection. For. Res. 2011, 24, 307–313. [Google Scholar]
- Wang, Y.; Zhang, R.; Zhou, Z.; Hua, B.; Fan, H.; Ma, L. A Variation and Selection of Growth and Wood Traits for 10-year-old Schima superba. J. Nanjing For. Univ. 2020, 44, 85–92. [Google Scholar]
- Cheng, J. Wood Science; China Forestry Publishing House: Beijing, China, 1985; pp. 82–85. [Google Scholar]
- Kimberley, M.O.; Mckinley, R.B.; Cown, D.J.; Moore, J.R. Modelling the Variation in Wood Density of New Zealand-grown Douglas-fir. N. Z. J. For. Sci. 2017, 47, 15. [Google Scholar] [CrossRef]
- IAWA Committee. IAWA List of Microscopic Features for Hardwood Identification. IAWA Bull. 1989, 10, 219–332. [Google Scholar]
- Settle, D.J.; Page, T.; Bush, D.; Doran, J.; Sethy, M.; Viji, I. Basic Density, Diameter and Radial Variation of Vanuatu Whitewood (Endospermum medullosum): Potential for Breeding in a Low Density, Tropical Hardwood. Int. For. Rev. 2012, 14, 463–475. [Google Scholar] [CrossRef]
- Fang, S.; Yang, W.; Fu, X. Variation of Microfibril Angle and Its Correlation to Wood Properties in Poplars. J. For. Res. 2004, 15, 261–267. [Google Scholar]
- Fearnside, P.M. Wood Density for Estimating Forest Biomass in Brazilian Amazonia. For. Ecol. Manag. 1997, 90, 59–87. [Google Scholar] [CrossRef]
- Knapic, S.; Louzada, J.L.; Leal, S.; Pereira, H. Radial Variation of Wood Density Components and Ring Width in Cork Oak Trees. Ann. For. Sci. 2007, 64, 211–218. [Google Scholar] [CrossRef]
- Xiang, W.; Leitch, M.; Auty, D.; Duchateau, E.; Achim, A. Radial Trends in Black Spruce Wood Density Can Show an Age- and Growth-related Decline. Ann. For. Sci. 2014, 71, 603–615. [Google Scholar] [CrossRef]
- Wang, X.; Ma, L.; Ma, X.; Chen, L.; Zhou, Z. Growth and Wood Basic Density of Schima superba Plantation. Sci. Silvae Sin. 2011, 47, 138–144. [Google Scholar]
- Song, K.; Yin, Y.; Salmén, L.; Xiao, F.; Jiang, X. Changes in the Properties of Wood Cell Walls during the Transformation from Sapwood to Heartwood. J. Mater. Sci. 2014, 49, 1734–1742. [Google Scholar] [CrossRef]
- Bonham, V.A.; Barnett, J.R. Fiber Length and Microfibril Angle in Silver Birch (Betula pendula Roth). Holzforschung 2001, 55, 159–162. [Google Scholar] [CrossRef]
- Kimberley, M.O.; Moore, J.R.; Dungey, H.S. Modelling the Effects of Genetic Improvement on Radiata Pine Wood Density. N. Z. J. For. Sci. 2016, 46, 8. [Google Scholar] [CrossRef]
- Jiang, X.; Yin, Y.; Urakami, H. Variation within Tree of Wood Anatomical Properties and Basic Density of I-214 Poplar in Beijing Area and Their Relationship Modelling Equations. Sci. Silvae Sin. 2003, 39, 115–121. [Google Scholar]
- Lasserre, J.P.; Mason, E.G.; Watt, M.S.; Moore, J.R. Influence of Initial Planting Spacing and Genotype on Microfibril Angle, Wood Density, Fiber Properties and Modulus of Elasticity in Pinus radiata D. Don Corewood. For. Ecol. Manag. 2009, 258, 1924–1931. [Google Scholar] [CrossRef]
- Auty, D.; Achim, A.; Macdonald, E.; Cameron, A.D.; Gardiner, B.A. Models for Predicting Wood Density Variation in Scots Pine. Forestry 2014, 87, 449–458. [Google Scholar] [CrossRef]
- Ferreira, A.L.; Severe, E.T.D.; Calonego, F.W. Determination of Fiber Length and Juvenile and Mature Wood Zones from Hevea brasiliensis Trees Grown in Brazil. Eur. J. Wood Wood Prod. 2011, 69, 659–662. [Google Scholar] [CrossRef]















| Age | Height/m | DBH/cm | Longitude/° | Latitude/° | Altitude/m | Slope Direction | Slope Angle/° |
|---|---|---|---|---|---|---|---|
| 4 | 2.27 ± 0.45 | 1.81 ± 0.64 | 26.86 | 118.29 | 150 | east | 22 |
| 6 | 4.71 ± 0.72 | 4.95 ± 1.32 | 27.26 | 118.73 | 170 | northeast | 20 |
| 10 | 8.47 ± 0.64 | 8.89 ± 1.6 | 27.06 | 118.27 | 146 | northeast | 18 |
| 20 | 14.32 ± 0.59 | 14.73 ± 2.61 | 26.8 | 118.26 | 120 | east | 25 |
| 54 | 24.76 ± 2.13 | 27.96 ± 4.11 | 26.95 | 118.27 | 150 | east | 15 |
| Age | Soil Bulk Density/g·cm−3 | pH Value | Total Nitrogen (g/kg) | Total Potassium (g/kg) | Total Phosphorus (g/kg) | Hydrolysable Nitrogen (mg/kg) | Available Potassium (mg/kg) | Available Phosphorus (mg/kg) | Organic Matter (g/kg) |
|---|---|---|---|---|---|---|---|---|---|
| 4 | 0.90 | 4.16 | 1.59 | 15.20 | 0.41 | 117.50 | 48.40 | 1.05 | 31.90 |
| 6 | 1.07 | 4.22 | 1.03 | 12.36 | 0.18 | 106.70 | 31.80 | 0.72 | 23.20 |
| 10 | 1.10 | 4.48 | 1.15 | 10.77 | 0.19 | 96.75 | 41.40 | 0.91 | 20.75 |
| 20 | 1.05 | 4.03 | 1.31 | 11.93 | 0.41 | 102.00 | 27.70 | 1.05 | 26.80 |
| 54 | 1.17 | 4.00 | 1.34 | 13.25 | 0.30 | 122.10 | 25.15 | 1.15 | 25.80 |
| Wood Property | Mean | Standard Deviation | Range |
|---|---|---|---|
| RW/mm | 2.83 | 2.57 | 1.23–5.94 |
| LP/% | 54.71 | 6.71 | 33.57–70.82 |
| WADD/(g·cm−3) | 0.73 | 0.05 | 0.65–0.80 |
| WBD/(g·cm−3) | 0.54 | 0.03 | 0.50–0.62 |
| FL/μm | 1838.58 | 147.07 | 1495.97–2034.11 |
| FW/μm | 32.63 | 2.28 | 27.11–35.21 |
| FLD/μm | 16.31 | 1.12 | 13.21–18.08 |
| FCWT/μm | 16.33 | 1.28 | 13.58–17.68 |
| VL/μm | 1297.34 | 107.16 | 1038.81–1451.10 |
| VW/μm | 79.02 | 8.38 | 58.72–88.65 |
| VLD/μm | 64.70 | 7.72 | 46.70–73.36 |
| VCWT/μm | 14.29 | 1.06 | 11.63–16.75 |
| Wood Property | CA | RW | LP | WADD | WBD | FL | FW | FLD | FCWT | VL | VW | VLD | VCWT |
|---|---|---|---|---|---|---|---|---|---|---|---|---|---|
| CA | −0.86 ** | 0.13 | −0.32 | 0.48 | −0.85 ** | 0.11 | 0.30 | −0.18 | −0.70 ** | −0.48 | −0.44 | −0.14 | |
| RW | −0.88 ** | −0.05 | 0.12 | −0.37 | 0.87 ** | −0.25 | −0.28 | 0.00 | 0.78 ** | 0.46 | 0.41 | 0.18 | |
| LP | 0.41 | −0.61 | −0.10 | 0.08 | −0.09 | −0.20 | 0.00 | −0.24 | −0.16 | −0.03 | −0.04 | 0.03 | |
| WADD | −0.84 ** | 0.78 ** | −0.08 | −0.16 | 0.14 | 0.42 | 0.13 | 0.36 | −0.17 | 0.11 | 0.09 | 0.07 | |
| WBD | −0.98 ** | 0.89 ** | −0.49 | 0.78 ** | −0.41 | 0.32 | 0.45 | −0.10 | −0.13 | 0.09 | 0.16 | −0.22 | |
| FL | 0.98 ** | −0.91 ** | 0.48 | −0.80 ** | −0.96 ** | −0.17 | −0.25 | 0.07 | 0.77 ** | 0.42 | 0.44 | −0.04 | |
| FW | 0.99 ** | −0.90 ** | 0.42 | −0.86 ** | −0.96 ** | 0.97 ** | 0.62 * | 0.55 * | −0.33 | 0.21 | 0.17 | 0.11 | |
| FLD | 0.95 ** | −0.79 ** | 0.33 | −0.73 * | −0.92 ** | 0.91 ** | 0.95 ** | −0.31 | −0.20 | 0.03 | 0.06 | −0.09 | |
| FCWT | 0.96 ** | −0.93 ** | 0.45 | −0.91 ** | −0.93 ** | 0.95 ** | 0.96 ** | 0.84 ** | −0.18 | 0.22 | 0.14 | 0.24 | |
| VL | 0.94 ** | −0.90 ** | 0.46 | −0.81 ** | −0.95 ** | 0.96 ** | 0.93 ** | 0.88 ** | 0.91 ** | 0.47 | 0.55 * | −0.22 | |
| VW | 0.98 ** | −0.87 ** | 0.53 | −0.78 ** | −0.97 ** | 0.98 ** | 0.96 ** | 0.91 ** | 0.94** | 0.96 ** | 0.95 ** | 0.20 | |
| VLD | 0.98 ** | −0.90 ** | 0.55 | −0.79 ** | −0.97 ** | 0.99 ** | 0.97 ** | 0.91 ** | 0.95 ** | 0.96 ** | 0.99 ** | −0.12 | |
| VCWT | 0.90 ** | −0.64 * | 0.41 | −0.63 | −0.87 ** | 0.84 ** | 0.86 ** | 0.87 ** | 0.80 ** | 0.81 ** | 0.91 ** | 0.89 ** |
| Wood Property | Model | Parameter | RMSE | MAD | R2 | |||
|---|---|---|---|---|---|---|---|---|
| β1 | β2 | β3 | β4 | |||||
| Wood basic density | M1 | 0.0004 | 0.013 | 0.613 | - | 0.013 | 0.010 | 0.799 |
| M2 | 0.605 | 0.523 | 8.893 | 4.221 | 0.012 | 0.009 | 0.824 | |
| M4 | 0.852 | −0.345 | −0.363 | −0.183 | 0.014 | 0.010 | 0.762 | |
| Wood air-dry density | M1 | 0.803 | −0.005 | 0.00005 | - | 0.030 | 0.033 | 0.737 |
| M2 | 0.783 | 0.691 | 16.098 | 5.934 | 0.017 | 0.012 | 0.832 | |
| M4 | 1.073 | −0.125 | −0.191 | −0.525 | 0.023 | 0.017 | 0.677 | |
| Fiber width | M1 | −0.025 | 0.894 | 26.443 | - | 0.742 | 0.611 | 0.894 |
| M2 | 27.675 | 33.983 | 11.264 | 4.619 | 0.543 | 0.442 | 0.943 | |
| M3 | 33.897 | 18.027 | 3066.388 | 43.742 | 0.497 | 0.380 | 0.952 | |
| Fiber cell wall thickness | M1 | −0.015 | 0.513 | 12.881 | - | 0.502 | 0.431 | 0.846 |
| M2 | 13.837 | 17.052 | 12.231 | 6.637 | 0.400 | 0.309 | 0.902 | |
| M3 | 17.031 | 18.195 | 939.968 | 14.072 | 0.440 | 0.349 | 0.882 | |
| Vessel lumen diameter | M1 | −0.094 | 3.259 | 43.040 | - | 2.332 | 1.689 | 0.909 |
| M2 | 47.755 | 69.396 | 11.078 | 3.984 | 2.350 | 1.676 | 0.907 | |
| M3 | 69.233 | 11.625 | 17.623 | 0.447 | 2.287 | 1.629 | 0.912 | |
| Wood Property | Juvenile Wood | Transitional Wood | Mature Wood | p Value |
|---|---|---|---|---|
| RW/mm | 4.99 ± 0.48 a | 3.52 ± 0.83 b | 2.12 ± 1.27 c | <0.001 ** |
| LP/% | 47.26 ± 8.17 c | 64.27 ± 2.73 a | 55.19 ± 4.11 b | <0.001 ** |
| WADD/(g·cm−3) | 0.31 ± 0.01 a | 0.30 ± 0.01 b | 0.28 ± 0.01 c | <0.001 ** |
| WBD/(g·cm−3) | 0.58 ± 0.02 a | 0.54 ± 0.02 b | 0.52 ± 0.01 b | <0.001 ** |
| FL/μm | 1590.93 ± 111.84 b | 1906.76 ± 40.89 a | 1896.02 ± 79.48 a | <0.001 ** |
| FW/μm | 28.45 ± 1.15 c | 31.98 ± 0.84 b | 33.90 ± 0.56 a | <0.001 ** |
| FLD/μm | 14.43 ± 0.96 c | 16.07 ± 0.09 b | 16.87 ± 0.48 a | <0.001 ** |
| FCWT/μm | 14.05 ± 0.50 c | 15.91 ± 0.76 b | 17.03 ± 0.45 a | <0.001 ** |
| VL/μm | 1122.60 ± 74.05 b | 1352.59 ± 85.50 a | 1336.67 ± 59.85 a | <0.001 ** |
| VW/μm | 63.98 ± 4.51 c | 76.99 ± 2.91 b | 83.54 ± 2.94 a | <0.001 ** |
| VLD/μm | 50.87 ± 3.78 c | 62.76 ± 2.32 b | 68.87 ± 2.89 a | <0.001 ** |
| VCWT/μm | 12.96 ± 0.86 b | 14.23 ± 0.62 a | 14.67 ± 0.87 a | 0.002 ** |
Publisher’s Note: MDPI stays neutral with regard to jurisdictional claims in published maps and institutional affiliations. |
© 2021 by the authors. Licensee MDPI, Basel, Switzerland. This article is an open access article distributed under the terms and conditions of the Creative Commons Attribution (CC BY) license (https://creativecommons.org/licenses/by/4.0/).
Share and Cite
Wang, Y.; Zhang, R.; Zhou, Z. Radial Variation of Wood Anatomical Properties Determines the Demarcation of Juvenile-Mature Wood in Schima superba. Forests 2021, 12, 512. https://doi.org/10.3390/f12040512
Wang Y, Zhang R, Zhou Z. Radial Variation of Wood Anatomical Properties Determines the Demarcation of Juvenile-Mature Wood in Schima superba. Forests. 2021; 12(4):512. https://doi.org/10.3390/f12040512
Chicago/Turabian StyleWang, Yunpeng, Rui Zhang, and Zhichun Zhou. 2021. "Radial Variation of Wood Anatomical Properties Determines the Demarcation of Juvenile-Mature Wood in Schima superba" Forests 12, no. 4: 512. https://doi.org/10.3390/f12040512
APA StyleWang, Y., Zhang, R., & Zhou, Z. (2021). Radial Variation of Wood Anatomical Properties Determines the Demarcation of Juvenile-Mature Wood in Schima superba. Forests, 12(4), 512. https://doi.org/10.3390/f12040512

