Role of Suillus placidus in Improving the Drought Tolerance of Masson Pine (Pinus massoniana Lamb.) Seedlings
Abstract
1. Introduction
2. Materials and Methods
2.1. Biological Material and Growth Conditions
2.2. Experimental Design
2.2.1. Estimation of Photosynthesis
2.2.2. Growth and Water Status
2.2.3. Photosynthetic Pigment Content, Santioxidant Enzymes, and Osmotic Adjustment Substances
2.2.4. Statistical Analysis
3. Results
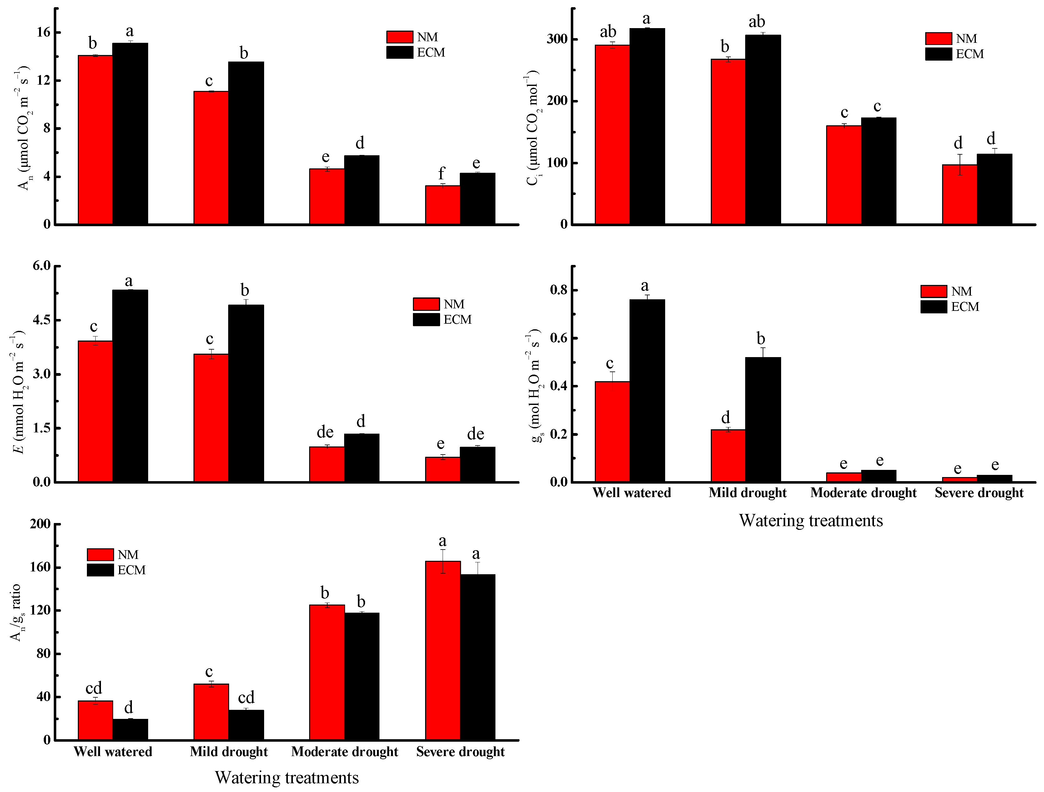
3.1. Growth and Water Status
3.2. Physiological Measurements
3.2.1. Gas Exchange
3.2.2. Chl Fluorescence
3.3. Biochemical Measurements
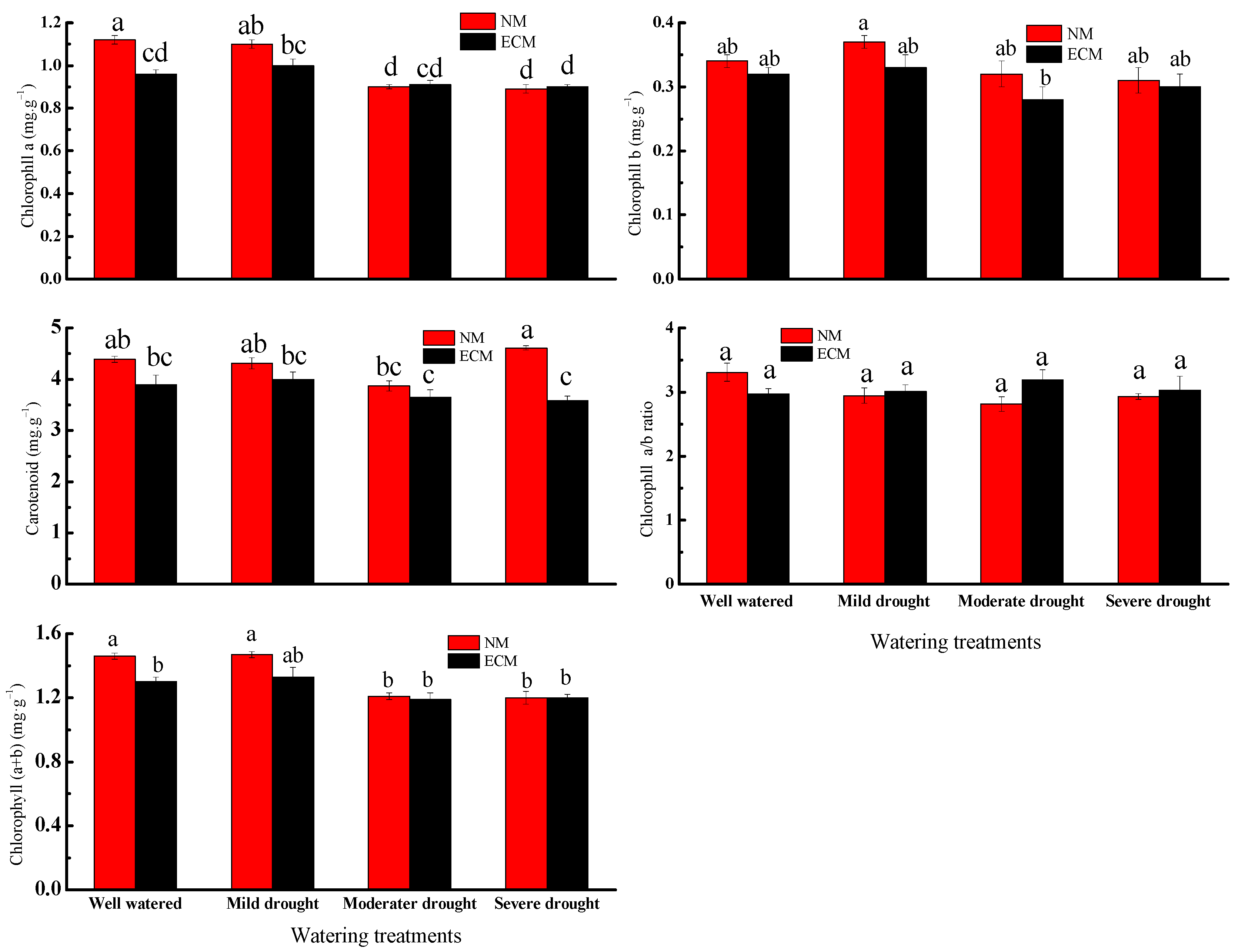
3.3.1. Photosynthetic Pigment Contents
3.3.2. Osmotic Adjustment Substances
3.3.3. Antioxidant Enzyme Activity
3.4. Correlation between Growth and Physiological, Biochemical, and Physiological Indexes
3.5. Principal Component Analysis (PCA)
4. Discussion
4.1. Physiological Response
4.2. Biochemical Response
4.3. PCAs
5. Conclusions
Supplementary Materials
Author Contributions
Funding
Institutional Review Board Statement
Informed Consent Statement
Data Availability Statement
Acknowledgments
Conflicts of Interest
References
- Cailleret, M.; Jansen, S.; Robert, E.M.R.; Desoto, L.; Aakala, T.; Antos, J.A.; Beikircher, B.; Bigler, C.; Bugmann, H.; Caccianiga, M.; et al. A synthesis of radial growth patterns preceding tree mortality. Glob. Chang. Biol. 2017, 23, 1675–1690. [Google Scholar] [CrossRef]
- Mathur, S.; Tomar, R.S.; Jajoo, A. Arbuscular Mycorrhizal fungi (AMF) protects photosynthetic apparatus of wheat under drought stress. Photosynth. Res. 2019, 139, 227–238. [Google Scholar] [CrossRef] [PubMed]
- Wei, J.; Tang, Y.; Huang, Z. Response of Zenia insignis seeds germination to water stress. Guangxi For. Sci. 2010, 39, 73–77. [Google Scholar]
- Sebastiana, M.; da Silva, A.B.; Matos, A.R.; Alcantara, A.; Silvestre, S.; Malho, R. Ectomycorrhizal inoculation with Pisolithus tinctorius reduces stress induced by drought in cork oak. Mycorrhiza 2018, 28, 247–258. [Google Scholar] [CrossRef] [PubMed]
- Ruiz-Lozano, J.M. Arbuscular mycorrhizal symbiosis and alleviation of osmotic stress. New perspectives for molecular studies. Mycorrhiza 2003, 13, 309–317. [Google Scholar] [CrossRef] [PubMed]
- Ahanger, M.A.; Tomar, N.S.; Tittal, M.; Argal, S.; Agarwal, R.M. Plant growth under water/salt stress: ROS production; antioxidants and significance of added potassium under such conditions. Physiol. Mol. Biol. Plants 2017, 23, 731–744. [Google Scholar] [CrossRef] [PubMed]
- Li, Y.; Lu, Q.; Wu, B.; Zhu, Y.; Liu, D.; Zhang, J.; Jin, Z. A review of leaf morphology plasticity linked to plant response and adaptation characteristics in arid ecosystems. Chin. J. Plant. Ecol. 2012, 36, 88–98. [Google Scholar] [CrossRef]
- Millar, N.S.; Bennett, A.E. Stressed out symbiotes: Hypotheses for the influence of abiotic stress on arbuscular mycorrhizal fungi. Oecologia 2016, 182, 625–641. [Google Scholar] [CrossRef]
- Abbaspour, H.; Saeidi-Sar, S.; Afshari, H.; Abdel-Wahhab, M.A. Tolerance of Mycorrhiza infected Pistachio (Pistacia vera L.) seedling to drought stress under glasshouse conditions. J. Plant. Physiol. 2012, 169, 704–709. [Google Scholar] [CrossRef] [PubMed]
- Liu, B.; Wang, S.; Wang, J.; Zhang, X.; Shen, Z.; Shi, L.; Chen, Y. The great potential for phytoremediation of abandoned tailings pond using ectomycorrhizal Pinus sylvestris. Sci. Total Environ. 2020, 719. [Google Scholar] [CrossRef] [PubMed]
- Egerton-Warburton, L.M.; Johnson, N.C.; Allen, E.B. Mycorrhizal community dynamics following nitrogen fertilization: A cross-site test in five grasslands. Ecol. Monogr. 2007, 77, 527–544. [Google Scholar] [CrossRef]
- Mo, Y.; Wang, Y.; Yang, R.; Zheng, J.; Liu, C.; Li, H.; Ma, J.; Zhang, Y.; Wei, C.; Zhang, X. Regulation of Plant Growth, Photosynthesis, Antioxidation and Osmosis by an Arbuscular Mycorrhizal Fungus in Watermelon Seedlings under Well-Watered and Drought Conditions. Front. Plant. Sci. 2016, 7. [Google Scholar] [CrossRef] [PubMed]
- Lehto, T.; Zwiazek, J.J. Ectomycorrhizas and water relations of trees: A review. Mycorrhiza 2011, 21, 71–90. [Google Scholar] [CrossRef] [PubMed]
- Chen, H.; Renault, S.; Markham, J. The effect of Frankia and multiple ectomycorrhizal fungil species on Alnus growing in low fertility soil. Symbiosis 2020, 80, 207–215. [Google Scholar] [CrossRef]
- Ding, G.; Zhou, Z.; Wang, Z. Cultivation and Utilization of Pulpwood Stand for Pinus Massoniana; China Forestry Publishing House: Beijing, China, 2006. [Google Scholar]
- Chen, L. Studies on symbiotic mycorrhiza fungi with masson pine. For. Res. 1989, 2, 357–362. [Google Scholar]
- Wang, Y.; Ding, G. Effects of drought stress on mycorrhizal seedlings growth of Pinus massoniana. J. For. Environ. 2016, 36, 173–179. [Google Scholar]
- Zhai, S.; Ding, G.; Wang, Y.; Luo, X.; Li, M. Effects of Suillus luteus on root architecture of Pinus massoniana. J. For. Environ. 2015, 35, 243–248. [Google Scholar]
- Kalaji, H.M.; Rastogi, A.; Zivcak, M.; Brestic, M.; Daszkowska-Golec, A.; Sitko, K.; Alsharafa, K.Y.; Lotfi, R.; Stypinski, P.; Samborska, I.A.; et al. Prompt chlorophyll fluorescence as a tool for crop phenotyping: An example of barley landraces exposed to various abiotic stress factors. Photosynthetica 2018, 56, 953–961. [Google Scholar] [CrossRef]
- Yi, X.-P.; Zhang, Y.-L.; Yao, H.-S.; Zhang, X.-J.; Luo, H.-H.; Gou, L.; Zhang, W.-F. Alternative electron sinks are crucial for conferring photoprotection in field-grown cotton under water deficit during flowering and boll setting stages. Funct. Plant. Biol. 2014, 41, 737–747. [Google Scholar] [CrossRef] [PubMed]
- Meng, P.; Bai, X.; Li, H.; Song, X.; Zhang, X. Cold hardiness estimation of Pinus densiflora var. zhangwuensis based on changes in ionic leakage, chlorophyll fluorescence and other physiological activities under cold stress. J. For. Res. 2015, 26, 641–649. [Google Scholar] [CrossRef]
- Kramer, D.M.; Johnson, G.; Kiirats, O.; Edwards, G.E. New Fluorescence Parameters for the Determination of QA Redox State and Excitation Energy Fluxes. Photosynth. Res. 2004, 79, 209. [Google Scholar] [CrossRef]
- Ruiz-Diez, B.; Rincon, A.M.; de Felipe, M.R.; Fernandez-Pascual, M. Molecular characterization and evaluation of mycorrhizal capacity of Suillus isolates from central Spain for the selection of fungal inoculants. Mycorrhiza 2006, 16, 465–474. [Google Scholar] [CrossRef] [PubMed]
- Rodríguez-Gutiérrez, I.; Ramírez-Martínez, D.; Garibay-Orijel, R.; Jacob-Cervantes, V.; Arellano-Torres, E. Sympatric species develop more efficient ectomycorrhizae in the Pinus-Laccaria symbiosis. Rev. Mex. Biodivers. 2019, 90. [Google Scholar] [CrossRef]
- Brundrett, M.; Bougher, N.; Dell, B.; Grove, T.; Malajczuk, N. Working with Mycorrhizas in Forestry and Agriculture; RePEc: Canberra, Australia, 1996. [Google Scholar]
- Pachlewski, R.; Pachlewska, J. Studies on symbiotic properties of mycorrhizal fungi of pine (Pinus silvestris L.) with the aid of the method of mycorrhizal synthesis in pure cultures on agar. Trans. Faraday Soc. 1974, 26, 605–623. [Google Scholar]
- Xu, Z.; Zhou, G. Responses of photosynthetic capacity to soil moisture gradient in perennial rhizome grass and perennial bunchgrass. BMC Plant. Biol. 2011, 11. [Google Scholar] [CrossRef] [PubMed]
- Zhou, L.; Wang, S.; Chi, Y.; Li, Q.; Huang, K.; Yu, Q. Responses of photosynthetic parameters to drought in subtropical forest ecosystem of China. Sci. Rep. 2015, 5. [Google Scholar] [CrossRef] [PubMed]
- Watt, M.; McCully, M.E.; Canny, M.J. Formation and Stabilization of Rhizosheaths of Zea mays L. (Effect of Soil Water Content). Plant. Physiol. 1994, 106, 179–186. [Google Scholar] [CrossRef]
- Kitajima, M.; Butler, W.L. Quenching of chlorophyll fluorescence and primary photochemistry in chloroplasts by dibromothymoquinone. Biochim. Et Biophys. Acta 1975, 376, 105–115. [Google Scholar] [CrossRef]
- Schreiber, U.; Klughammer, C.; Kolbowski, J. Assessment of wavelength-dependent parameters of photosynthetic electron transport with a new type of multi-color PAM chlorophyll fluorometer. Photosynth. Res. 2012, 113, 127–144. [Google Scholar] [CrossRef]
- Genty, B.; Briantais, J.M.; Baker, N.R. The relationship between the quantum yield of photosynthetic electron transport and quenching of chlorophyll fluorescence. BBA Gen. Subj. 1989, 990, 87–92. [Google Scholar] [CrossRef]
- Van Kooten, O.; Snel, J.F. The use of chlorophyll fluorescence nomenclature in plant stress physiology. Photosynth. Res. 1990, 25, 147–150. [Google Scholar] [CrossRef] [PubMed]
- Bilger, W.; Bjorkman, O. Role of the xanthophyll cycle in photoprotection elucidated by measurements of light-induced absorbance changes, fluorescence and photosynthesis in leaves of Hedera canariensis. Photosynth. Res. 1990, 25, 173–185. [Google Scholar] [CrossRef] [PubMed]
- Castillo, F.J. Antioxidative protection in the inducible CAM plant Sedum album L. following the imposition of severe water stress and recovery. Oecologia 1996, 107, 469–477. [Google Scholar] [CrossRef] [PubMed]
- Dere, S.; Gunes, T.; Sivaci, R. Spectrophotometric Determination of Chlorophyll-A, B and Total Carotenoid Contents of Some Algae Species Using Different Solvents. Botany 1998, 22, 13–17. [Google Scholar]
- Garcia-Triana, A.; Zenteno-Savin, T.; Beatriz Peregrino-Uriarte, A.; Yepiz-Plascencia, G. Hypoxia, reoxygenation and cytosolic manganese superoxide dismutase (cMnSOD) silencing in Litopenaeus vannamei: Effects on cMnSOD transcripts, superoxide dismutase activity and superoxide anion production capacity. Dev. Comp. Immunol. 2010, 34, 1230–1235. [Google Scholar] [CrossRef] [PubMed]
- Wang, L.; Wang, Y.; Wang, X.; Li, Y.; Peng, F.; Wang, L. Regulation of POD activity by pelargonidin during vegetative growth in radish (Raphanus sativus L.). Sci. Hortic. 2014, 174, 105–111. [Google Scholar] [CrossRef]
- Sima, Y.-H.; Yao, J.-M.; Hou, Y.-S.; Wang, L.; Zhao, L.-C. Variations of hydrogen peroxide and catalase expression in bombyx eggs during diapause initiation and termination. Arch. Insect Biochem. Physiol. 2011, 77, 72–80. [Google Scholar] [CrossRef] [PubMed]
- Castrejon, S.E.; Yatsimirsky, A.K. Cyclodextrin enhanced fluorimetric determination of malonaldehyde by the thiobarbituric acid method. Talanta 1997, 44, 951–957. [Google Scholar] [CrossRef]
- Zhu, Y.; Jiang, X.; Zhang, J.; He, Y.; Liu, Y. Silicon confers cucumber resistance to salinity stress through regulation of proline and cytokinins. Plant. Physiol. Biochem. 2020, 156, 209–220. [Google Scholar] [CrossRef] [PubMed]
- Bai, J.-h.; Liu, J.-h.; Zhang, N.; Yang, J.-h.; Sa, R.-l.; Wu, L. Effect of Alkali Stress on Soluble Sugar, Antioxidant Enzymes and Yield of Oat. J. Integr. Agric. 2013, 12, 1441–1449. [Google Scholar] [CrossRef]
- Campion, E.M.; Loughran, S.T.; Walls, D. Protein quantitation and analysis of purity. Methods Mol. Biol. (Cliftonn. J.) 2011, 681, 229–258. [Google Scholar] [CrossRef]
- Chaves, M.M. Effects of water deficit on carbon assimilation. J. Exp. Bot. 1991, 1–16. [Google Scholar] [CrossRef]
- Zhang, Y.-L.; Hu, Y.-Y.; Luo, H.-H.; Chow, W.S.; Zhang, W.-F. Two distinct strategies of cotton and soybean differing in leaf movement to perform photosynthesis under drought in the field. Funct. Plant. Biol. 2011, 38, 567–575. [Google Scholar] [CrossRef]
- Quick, W.p.; Chaves, M.M.; Wendler, R.; David, M.; Rodrigues, M.L.; Passaharinho, J.A.; Pereira, J.S.; Adcock, M.D.; Leegood, R.C.; Stitt, M. The effect of water stress on photosynthetic carbon metabolism in four species grown under field conditions. Plant. Cell Environ. 1992, 15, 25–35. [Google Scholar] [CrossRef]
- Valladares, F.; Pearcy, R.W. Interactions between water stress, sun-shade acclimation, heat tolerance and photoinhibition in the sclerophyll Heteromeles arbutifolia. Plant. Cell Environ. 2010, 20, 25–36. [Google Scholar] [CrossRef]
- Lu, S.; Chen, P.; Liu, W.; Yang, Y.; Xiao, J. Arbuscular mycorrhizal fungus affects the photosynthetic characteristics and mineral element concentration of blueberry under drought stress. Chin. Agric. Sci. Bull. 2019, 35, 31–35. [Google Scholar]
- Tattini, M.; Loreto, F.; Fini, A.; Guidi, L.; Brunetti, C.; Velikova, V.; Gori, A.; Ferrini, F. Isoprenoids and phenylpropanoids are part of the antioxidant defense orchestrated daily by drought-stressed Platanusxacerifolia plants during Mediterranean summers. New Phytol. 2015, 207, 613–626. [Google Scholar] [CrossRef] [PubMed]
- Ozkur, O.; Ozdemir, F.; Bor, M.; Turkan, I. Physiochemical and antioxidant responses of the perennial xerophyte Capparis ovata Desf. to drought. Environ. Exp. Bot. 2009, 66, 487–492. [Google Scholar] [CrossRef]
- Liu, T.; Sheng, M.; Wang, C.Y.; Chen, H.; Li, Z.; Tang, M. Impact of arbuscular mycorrhizal fungi on the growth, water status, and photosynthesis of hybrid poplar under drought stress and recovery. Photosynthetica 2015, 53, 250–258. [Google Scholar] [CrossRef]
- Gong, M.; Tang, M.; Chen, H.; Zhang, Q.; Feng, X. Effects of two Glomus species on the growth and physiological performance of Sophora davidii seedlings under water stress. New For. 2013, 44, 399–408. [Google Scholar] [CrossRef]
- Zhu, L.; Fu, Z.; Zhang, J.; Wang, J.; Lin, J.; Yuan, Z.; Cheng, X.; Chu, D. Effects of mycorrhizal fungi on photosynthetic characteristics of Zelkova serrata Thunb. J. Nanjing For. Univ. (Nat. Sci. Ed.) 2018, 42, 121–127. [Google Scholar]
- Baker, N.R. Chlorophyll fluorescence: A probe of photosynthesis in vivo. Annu. Rev. Plant. Biol. 2008, 59, 89–113. [Google Scholar] [CrossRef] [PubMed]
- Zhao, X.; Wang, Y.; Tian, K. Response of photosynthetic fluorescence characteristics to the soil drought stress of Pistacia weinmannifolia leaf. J. Arid Land Resour. Environ. 2015, 29, 83–88. [Google Scholar]
- Philip, D. Photosynthetic Acclimation to Light and Temperature: Excitation Pressure and Redox Sensing. Ph.D. Thesis, University of Western Ontario, London, UK, 1995. [Google Scholar]
- Luo, D.; Shi, Y.J.; Song, F.H.; Li, J.C. Effects of salt stress on growth, photosynthetic and fluorescence characteristics, and root architecture of Corylus heterophylla ×C. avellan seedlings. J. Appl. Ecol. 2019, 30, 3376–3384. [Google Scholar]
- Chen, L.; Wang, Z.-x.; Ai, J.; Xu, P.; Qin, H.; Zhao, Y.; Liu, Y.; Jiao, Z.; Shen, Y. Effects of drought stress on activities of photosystems II in leaves of young plants of amur grape Zuoshan 2. J. Fruit Sci. 2011, 28, 977–983. [Google Scholar]
- Abboud, S.; Vives-Peris, V.; Dbara, S.; Gomez-Cadenas, A.; Maria Perez-Clemente, R.; Abidi, W.; Braham, M. Water status, biochemical and hormonal changes involved in the response of Olea europaea L. to water deficit induced by partial root-zone drying irrigation (PRD). Sci. Hortic. 2021, 276. [Google Scholar] [CrossRef]
- Du, Y.; Li, J.; Wang, H.; Tang, X.; Hu, F. Effects of high temperature stress on the flag leaf photosynthesis and chlorophyll fluorescence parameters of rice. Chin. J. Ecol. 2012, 31, 2541–2548. [Google Scholar]
- Wang, H.; Wu, F.; Zhu, X.; Xie, W. Effects of Leaf Types on Growth and Chlorophyll Fluorescence Characteristics in Pinus massoniana Seedlings. Sci. Silvae Sin. 2019, 55, 183–192. [Google Scholar]
- Barbara, D.-A.; William, W.A. The role of xanthophyll cycle carotenoids in the protection of photosynthesis. Trends Plant. Sci. 1996, 1, 21–26. [Google Scholar]
- Yi, X.-P.; Zhang, Y.-L.; Yao, H.-S.; Han, J.-M.; Chow, W.S.; Fan, D.-Y.; Zhang, W.-F. Changes in activities of both photosystems and the regulatory effect of cyclic electron flow in field-grown cotton (Gossypium hirsutum L.) under water deficit. J. Plant. Physiol. 2018, 220, 74–82. [Google Scholar] [CrossRef]
- Takahashi, S.; Milward, S.E.; Fan, D.-Y.; Chow, W.S.; Badger, M.R. How Does Cyclic Electron Flow Alleviate Photoinhibition in Arabidopsis? Plant. Physiol. 2009, 149, 1560–1567. [Google Scholar] [CrossRef] [PubMed]
- Bai, X.; Chen, K.; Huang, W.; Gu, X.; Chen, X. Differential response of Iris pseudacorus and Canna incida to water depth gradient. Chin. J. Ecol. 2011, 3, 464–470. [Google Scholar] [CrossRef]
- Pan, X.; Qiu, Q.; Li, J.; Wang, J.; He, Q.; Su, Y.; Ma, J.; Du, K. Physiological indexes of six plant species from the tibetan plateau under drought stress. Acta Ecol. Sin. 2014, 34, 3558–3567. [Google Scholar] [CrossRef]
- Sanchez, R.A.; Hall, A.J.; Trapani, N.; de Hunau, R.C. Effects of water stress on the chlorophyll content, nitrogen level and photosynthesis of leaves of two maize genotypes. Photosynth. Res. 1983, 4, 35–47. [Google Scholar] [CrossRef] [PubMed]
- Evans, J.R. Photosynthesis and nitrogen relationships in leaves of C3 plants. Oecologia 1989, 78, 9–19. [Google Scholar] [CrossRef]
- Proietti, P. Changes in Photosynthesis and Fruit Characteristics in Olive in Response to Assimilate Availability. Photosynthetica 2003, 41, 559–564. [Google Scholar] [CrossRef]
- Xu, D.; Lv, F.; Li, B.; Yuan, W.; Qian, Y. Comparative studies on the chlorophyll fluorescent characteristics in leaves of different pecan cultivars. Acta Fruit Tree 2008, 25, 671–676. [Google Scholar]
- Zhou, Z.; Li, Z.; Chen, Y.; Wang, Z.; Yang, J.; Gu, J. Effects of Reduced Chlorophyll Content on Photoinhibition and Photosynthetic Electron Transport in Rice Leaves. Sci. Agric. Sin. 2016, 49, 3709–3720. [Google Scholar]
- Guo, D.P.; Guo, Y.P.; Zhao, J.P.; Liu, H.; Peng, Y.; Wang, Q.M.; Chen, J.S.; Rao, G.Z. Photosynthetic rate and chlorophyll fluorescence in leaves of stem mustard (Brassica juncea var. tsatsai) after turnip mosaic virus infection. Plant. Sci. 2005, 168, 57–63. [Google Scholar] [CrossRef]
- Choudhary, K.K.; Chaudhary, N.; Agrawal, S.B.; Agrawal, M. Reactive Oxygen Species: Generation, Damage, and Quenching in Plants During Stress. In Reactive Oxygen Species: Boon or Bane—Revisiting the Role of ROS; Wiley: Hoboken, NJ, USA, 2017. [Google Scholar]
- Apel, K.; Hirt, H. Reactive oxygen species: Metabolism, oxidative stress, and signal transduction. Annu. Rev. Plant Biol. 2004, 55, 373–399. [Google Scholar] [CrossRef]
- Rapparini, F.; Peñuelas, J. Mycorrhizal Fungi to Alleviate Drought Stress on Plant Growth; Springer: New York, NY, USA, 2013. [Google Scholar]
- Sharma, S.; Villamor, J.G.; Verslues, P.E. Essential Role of Tissue-Specific Proline Synthesis and Catabolism in Growth and Redox Balance at Low Water Potential. Plant. Physiol. 2011, 157, 292–304. [Google Scholar] [CrossRef]
- Yin, D.; Song, R.; Qi, J.; Deng, X. Ectomycorrhizal fungus enhances drought tolerance of Pinus sylvestris var. mongolica seedlings and improves soil condition. J. For. Res. 2018, 29, 1775–1788. [Google Scholar] [CrossRef]
- Feng, H.; Xue, L.; Ren, X.; Fu, J.; Zheng, W.; Shi, X. Physiological responses of four broadleaved seedlings to drought stress simulated by PEG. Acta Ecol. Sin. 2011, 31, 371–382. [Google Scholar] [CrossRef]
- Zhang, Y.; Zhong, C.L.; Chen, Y.; Chen, Z.; Jiang, Q.B.; Wu, C.; Pinyopusarerk, K. Improving drought tolerance of Casuarina equisetifolia seedlings by arbuscular mycorrhizas under glasshouse conditions. New For. 2010, 40, 261–271. [Google Scholar] [CrossRef]
- Gholinezhad, E.; Darvishzadeh, R.; Moghaddam, S.S.; Popovic-Djordjevic, J. Effect of mycorrhizal inoculation in reducing water stress in sesame (Sesamum indicum L.): The assessment of agrobiochemical traits and enzymatic antioxidant activity. Agric. Water Manag. 2020, 238. [Google Scholar] [CrossRef]
- Ashraf, M.F.M.R.; Foolad, M.R. Roles of glycine betaine and proline in improving plant abiotic stress resistance. Environ. Exp. Bot. 2007, 59, 206–216. [Google Scholar] [CrossRef]
- El Yamani, M.; Sakar, E.H.; Boussakouran, A.; Rharrabti, Y. Physiological and biochemical responses of young olive trees (Olea europaea L.) to water stress during flowering. Arch. Biol. Sci. 2019, 71, 123–132. [Google Scholar] [CrossRef]
- Tani, E.; Chronopoulou, E.G.; Labrou, N.E.; Sarri, E.; Goufa, M.; Vaharidi, X.; Tornesaki, A.; Psychogiou, M.; Bebeli, P.J.; Abraham, E.M. Growth, Physiological, Biochemical, and Transcriptional Responses to Drought Stress in Seedlings of Medicago sativa L., Medicago arborea L. and Their Hybrid (Alborea). Agron. Basel 2019, 9, 38. [Google Scholar] [CrossRef]
- Langeroodi, A.R.S.; Osipitan, O.A.; Radicetti, E.; Mancinelli, R. To what extent arbuscular mycorrhiza can protect chicory (Cichorium intybus L.) against drought stress. Sci. Hortic. 2020, 263. [Google Scholar] [CrossRef]
- Chen, J.; Zhang, H.; Zhang, X.; Tang, M. Arbuscular mycorrhizal symbiosis mitigates oxidative injury in black locust under salt stress through modulating antioxidant defence of the plant. Environ. Exp. Bot. 2020, 175. [Google Scholar] [CrossRef]
- Yin, D.; Wang, H.; Qi, J. The Enhancement Effect of Calcium Ions on Ectomycorrhizal Fungi-Mediated Drought Resistance in Pinus sylvestris var. mongolica. J. Plant. Growth Regul. 2020. [Google Scholar] [CrossRef]
- Alvarez, M.; Huygens, D.; Fernandez, C.; Gacitua, Y.; Olivares, E.; Saavedra, I.; Alberdi, M.; Valenzuela, E. Effect of ectomycorrhizal colonization and drought on reactive oxygen species metabolism of Nothofagus dombeyi roots. Tree Physiol 2009, 29, 1047–1057. [Google Scholar] [CrossRef] [PubMed]








| Parameter | Drought | Growth of Height (cm) | Growth of Stem Diameter (cm) | Dry Weight (g) | RWC (%) |
|---|---|---|---|---|---|
| NM | well watered | 5.13 ± 0.19 a | 1.54 ± 0.02 ab | 4.62 ± 0.11 c | 0.85 ± 0.02 ab |
| mild drought | 4.13 ± 0.07 b | 1.37 ± 0.02 c | 5.07 ± 0.94 bc | 0.76 ± 0.03 abc | |
| moderate drought | 3.33 ± 0.12 c | 0.74 ± 0.03 d | 2.89 ± 0.24 c | 0.74 ± 0.05 bc | |
| severe drought | 1.93 ± 0.07 d | 0.5 ± 0.01 e | 2.02 ± 0.04 c | 0.65 ± 0.04 c | |
| ECM | well watered | 5.63 ± 0.15 a | 1.65 ± 0.01 a | 8.05 ± 0.65 ab | 0.90 ± 0.00 a |
| mild drought | 4.27 ± 0.12 b | 1.47 ± 0.05 bc | 10.81 ± 1.18 a | 0.86 ± 0.01 ab | |
| moderate drought | 3.40 ± 0.1 c | 0.77 ± 0.03 d | 4.99 ± 0.72 bc | 0.83 ± 0.02 ab | |
| severe drought | 2.13 ± 0.09 d | 0.52 ± 0.02 e | 3.02 ± 0.51 c | 0.80 ± 0.03 abc | |
| Drought | *** | *** | *** | * | |
| ECM | * | ** | *** | * | |
| D *ECM | n.s. | n.s. | * | n.s. |
Publisher’s Note: MDPI stays neutral with regard to jurisdictional claims in published maps and institutional affiliations. |
© 2021 by the authors. Licensee MDPI, Basel, Switzerland. This article is an open access article distributed under the terms and conditions of the Creative Commons Attribution (CC BY) license (http://creativecommons.org/licenses/by/4.0/).
Share and Cite
Li, M.; Wang, H.; Zhao, X.; Lu, Z.; Sun, X.; Ding, G. Role of Suillus placidus in Improving the Drought Tolerance of Masson Pine (Pinus massoniana Lamb.) Seedlings. Forests 2021, 12, 332. https://doi.org/10.3390/f12030332
Li M, Wang H, Zhao X, Lu Z, Sun X, Ding G. Role of Suillus placidus in Improving the Drought Tolerance of Masson Pine (Pinus massoniana Lamb.) Seedlings. Forests. 2021; 12(3):332. https://doi.org/10.3390/f12030332
Chicago/Turabian StyleLi, Min, Haoyun Wang, Xizhou Zhao, Zhongke Lu, Xueguang Sun, and Guijie Ding. 2021. "Role of Suillus placidus in Improving the Drought Tolerance of Masson Pine (Pinus massoniana Lamb.) Seedlings" Forests 12, no. 3: 332. https://doi.org/10.3390/f12030332
APA StyleLi, M., Wang, H., Zhao, X., Lu, Z., Sun, X., & Ding, G. (2021). Role of Suillus placidus in Improving the Drought Tolerance of Masson Pine (Pinus massoniana Lamb.) Seedlings. Forests, 12(3), 332. https://doi.org/10.3390/f12030332
