Morphology and Physicochemical Properties of Alluvial Soils in Riparian Forests after River Regulation
Abstract
1. Introduction
2. Materials and Methods
3. Results
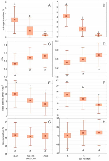
3.1. Differentiation of Soil Texture and Physico-Chemical Properties
3.2. Morphology of Topsoil and Subsoil Genetic Horizons
3.3. Gleyic and Stagnic Properties in Profiles of Drained Alluvial Soils
4. Discussion
5. Conclusions
Supplementary Materials
Author Contributions
Funding
Acknowledgments
Conflicts of Interest
References
- Ward, J.V.; Malard, F.; Tockner, K. A framework for integrating pattern and processes in river corridors. Landsc. Ecol. 2002, 17 (Suppl. 1), 35–45. [Google Scholar] [CrossRef]
- Doulatyari, B.; Basso, S.; Schirmer, M.; Botter, G. River flow regimes and vegetation dynamics along a river transect. Adv. Water Resour. 2014, 73, 30–43. [Google Scholar] [CrossRef]
- Czarnecka, B.; Pelc, M. Biodiversity on the floristic and phytocoenotic levels: The comparison of forest and non-forest landscapes in small river valleys. Ecol. Quest. 2007, 8, 37–45. [Google Scholar]
- Cieśla, A. Effect of hydrotechnical constructions on the Oder river on the phytosociological diversity of riparian habitats in the Prawików forest. For. Res. Works 2009, 70, 161–174. [Google Scholar] [CrossRef]
- Celentano, D.; Rousseau, G.X.; Engel, V.L.; Zelarayán, M.; Oliveira, E.C. Degradation of riparian forest affects soil properties and ecosystem services provision in eastern amazon of Brazil. Land Degrad. Dev. 2017, 28, 482–493. [Google Scholar] [CrossRef]
- Ligęza, S. Variability of the contemporary Fluvisols of the Vistula River near Puławy. Sci. Diss. Lub. Univ. Life Sci. 2016, 385, 1–131. [Google Scholar]
- Šimanský, V. Can soil properties of Fluvisols be influenced by river flow gradient. Acta Fytotech. Zootech. 2018, 212, 63–76. [Google Scholar] [CrossRef]
- Hulisz, P.; Michalski, A.; Dąbrowski, M.; Kusza, G.; Łęczyński, L. Human-induced changes in the soil cover at the mouth of the Vistula River Cross-Cut (northern Poland). Soil Sci. Annu. 2015, 66, 67–74. [Google Scholar] [CrossRef][Green Version]
- Dezső, J.; Czigány, S.; Nagy, G.; Pirkhoffer, E.; Słowik, M.; Lóczy, D. Monitoring soil moisture dynamics in multilayered Fluvisols. Bull. Geography. Phys. Geogr. Ser. 2019, 16, 131–146. [Google Scholar] [CrossRef]
- Ružičić, S.; Kovač, Z.; Perković, D.; Bačani, L.; Majhen, L. The Relationship between the Physicochemical Properties and Permeability of the Fluvisols and Eutric Cambisols in the Zagreb Aquifer, Croatia. Geosciences 2019, 9, 416. [Google Scholar] [CrossRef]
- Kercheva, M.; Sokolowska, Z.; Hajnos, M.; Skic, K.; Shishkov, T. Physical parameters of Fluvisols on flooded and non-flooded terraces. Int. Agrophys. 2017, 31, 1. [Google Scholar] [CrossRef][Green Version]
- Gajić, B.; Kresović, B.; Pejić, B.; Tapanarova, A.; Dugalić, G.; Životić, L.; Tolimir, M. Some physical properties of long-term irrigated fluvisols of valley the river Beli Drim in Klina (Serbia). Zemljište I Biljka 2020, 69, 21–35. [Google Scholar] [CrossRef]
- Chojnicki, J. Soil-Forming Processes in Alluvial Soils Central Valley Vistula and Żuławy; SGGW Development Foundation: Warsaw, Poland, 2002; p. 83. [Google Scholar]
- Brunke, M.; Hoehn, E.; Gonser, T. Patchiness of river-groundwater interactions within two floodplain landscapes and diversity of aquatic invertebrate communities. Ecosystems 2003, 6, 707–722. [Google Scholar] [CrossRef]
- Ding, J.Y.; Zhao, W.W.; Daryanto, S.; Wang, L.X.; Fan, H.; Feng, Q.; Wang, Y.P. The spatial distribution and temporal variation of desert riparian forests and their influencing factors in the downstream Heihe River basin, China. Hydrol. Earth Syst. Sci. 2017, 21, 2405–2419. [Google Scholar] [CrossRef]
- Zhang, X.; Guan, T.; Zhou, J.; Cai, N.; Du, H.; Jiang, L.; Lai, L.; Zheng, Y. Groundwater depth and soil properties are associated with variation in vegetation of a desert riparian ecosystem in an arid area of China. Forests 2018, 9, 34. [Google Scholar] [CrossRef]
- Łyczko, W.; Olszewska, B.; Pływaczyk, L. Changes in water reserves in alluvial soils of Odra river valley in Malczyce area during vegetation period of 2005. Acta Sci. Pol. Form. Circumiectus 2007, 6, 25–36. [Google Scholar]
- Głuchowska, B.; Pływaczyk, L. Groundwater level in the Odra river valley downstream the Brzeg Dolny. Contemp. Probl. Environ. Eng. 2008, 5, 1–109. [Google Scholar]
- Kardol, P.; Bezemer, T.M.; Putten, W.H.V.D. Temporal variation in plant-soil feedback controls succession. Ecol. Lett. 2006, 9, 1080–1088. [Google Scholar] [CrossRef]
- Schnitzler, A. River dynamics as a forest process: Interaction between fluvial systems and alluvial forests in large European river plains. Bot. Rev. 1997, 63, 40–64. [Google Scholar] [CrossRef]
- Długosz, J.; Kalisz, B.; Łachacz, A. Mineral matter composition of drained floodplain soils in north-eastern Poland. Soil Sci. Annu. 2018, 69, 184–193. [Google Scholar] [CrossRef]
- Roj-Rojewski, S.; Hryniewiecka, I. Profile structure and physical properties of muddy-like and river alluvial soils in Supraśl River valley near Jurowce. Rocz. Glebozn. Soil Sci. Annu. 2009, 60, 85–90. [Google Scholar]
- Borysiak, J. Willow and poplar forest complex Salici-Populetum R.Tx. in the valleys of Polish lowlands. In Willows. Salix Alba L., Salix Fragilis L. Our Forest Trees; Białobok, S., Ed.; PWN: Warsaw, Poland, 1990; pp. 139–160. [Google Scholar]
- Matuszkiewicz, J.M. Forest Associations in Poland; PWN: Warsaw, Poland, 2001; p. 376. [Google Scholar]
- Nilsson, C.; Berggren, K. Alterations of riparian ecosystems caused by river regulation: Dam operations have caused global-scale ecological changes in riparian ecosystems. How to protect river environments and human needs of rivers remains one of the most important questions of our time. BioScience 2000, 50, 783–792. [Google Scholar]
- Tockner, K.; Stanford, J.A. Riverine floodplains: Present state and future trends. Environ. Conserv. 2002, 29, 308–330. [Google Scholar] [CrossRef]
- Danielewicz, W. Ecological Determinants of the Range of Trees and Shrubs in the alluvial areas of the Odra Valley; Poznań Agric. Univ.: Poznań, Poland, 2008; p. 267. [Google Scholar]
- Kawalko, D.; Halarewicz, A.; Pruchniewicz, D. Vegetation condition in the Odra river riparian forests in the area of Wołów. Sylwan 2015, 159, 220–226. [Google Scholar]
- Pływaczyk, L. The impact of river damming on valley on the example of Brzeg Dolny. Monogr. Wrocław Agric. Univ. 1997, 11, 47. [Google Scholar]
- Laskowski, S. Origin, evolution and the properties of alluvial soils from the middle Odra River-valley. Sci. Pap. Wrocław Agric. Univ. 1986, 56, 1–68. [Google Scholar]
- Dąbkowska-Naskręt, H. Composition and Physicochemical Properties of Selected Alluvial Soils of the Lower Vistula Valley, Including Their Diagnostic Features; Scientific Dissertations of ATR: Bydgoszcz, Poland, 1990; p. 38. [Google Scholar]
- Furtak, K.; Grządziel, J.; Gałązka, A.; Niedźwiecki, J. Analysis of Soil Properties, Bacterial Community Composition and Metabolic Diversity in Fluvisols of a Floodplain Area. Sustainability 2019, 11, 3929. [Google Scholar] [CrossRef]
- Kabala, C. (Ed.) Soil of Lower Silesia: Origins, diversity and protection. Polish Society of Soil Science; Polish Humic Substances Society: Wroclaw, Poland, 2015; p. 256. Available online: http://dx.doi.org/10.13140/RG.2.1.2070.9603 (accessed on 10 March 2021).
- Labaz, B.; Kabala, C. Anthropogenic transformation of soils in the Barycz Valley—Conclusions for soil classification. Soil Sci. Annu. 2014, 65, 103–110. [Google Scholar] [CrossRef]
- Labaz, B.; Kabala, C. Human-induced development of mollic and umbric horizons in drained and farmed swampy alluvial soils. Catena 2016, 139, 117–126. [Google Scholar] [CrossRef]
- Pawlak, W.; Pawlak, J. Atlas of the Lower and Opole Silesia, 2nd ed.; Wroclaw University, Polish Academy of Sciences: Wroclaw, Poland, 2008. [Google Scholar]
- Kawalko, D.; Halarewicz, A.; Kaszubkiewicz, J.; Jezierski, J. Decomposition rate of the litter fall in the course of riparian habitat changes. Sylwan 2017, 161, 565–572. [Google Scholar]
- Jahn, R.; Blume, H.P.; Asio, V.B.; Spaargaren, O.; Schad, P. Guidelines for Soil Description; FAO: Rome, Italy, 2006; p. 97. [Google Scholar]
- IUSS Working Group WRB. World Reference Base for Soil Resources 2014, update 2015. International soil classification system for naming soils and creating legends for soil maps. In World Soil Resources Reports; FAO: Rome, Italy, 2015; p. 182. [Google Scholar]
- Kabala, C.; Charzyński, P.; Chodorowski, J.; Drewnik, M.; Glina, B.; Greinert, A.; Hulisz, P.; Jankowski, M.; Jonczak, J.; Labaz, B.; et al. Polish Soil Classification, 6th edition—Principles, classification scheme and correlations. Soil Sci. Annu. 2019, 70, 71–97. [Google Scholar] [CrossRef]
- Van Reeuwijk, L.P. Procedures for Soil Analysis; Technical paper 19; International Soil Reference and Information Centre: Wageningen, The Netherlands, 1992. [Google Scholar]
- Kawalko, D. Soil Morphology and Properties of Forest Soils in the Odra Valley (SW Poland, Forest District Wołów)—The COMPLETE Raw Dataset. 2021. Available online: https://arche.upwr.edu.pl/index.php/s/KCZv4rZcKln7aPY (accessed on 10 March 2021).
- USDA-NRCS. Keys to Soil Taxonomy; U.S. Dep. Agric. NRSC: Washington, DC, USA, 2014; p. 360.
- Piaścik, H.; Orzechowski, M.; Smólczyński, S. Soil habitats of the Vistula delta. Ann. Poznań Agric. Univ. 2000, 317, 115–124. [Google Scholar]
- Horáček, M.; Samec, P.; Minár, J. The mapping of soil taxonomic units via fuzzy clustering. A case study from the Outer Carpathians, Czechia. Geoderma 2018, 326, 111–122. [Google Scholar] [CrossRef]
- Graf, M.; Lair, G.J.; Zehetner, F.; Gerzabek, M.H. Geochemical fractions of copper in soil chronosequences of selected European floodplains. Environ. Pollut. 2007, 148, 788–796. [Google Scholar] [CrossRef]
- Bieganowski, A.; Jaromin-Glen, K.; Guz, Ł.; Łagód, G.; Jozefaciuk, G.; Franus, W.; Sobczuk, H. Evaluating soil moisture status using an e-nose. Sensors 2016, 16, 886. [Google Scholar] [CrossRef] [PubMed]
- Pető, Á. Studying modern soil profiles of different landscape zones in Hungary: An attempt to establish a soil-phytolith identification key. Quat. Int. 2013, 287, 149–161. [Google Scholar] [CrossRef]
- Ngo, T.S.; Nguyen, D.B.; Rajendra, P.S. Effect of land use change on runoff and sediment yield in Da River Basin of Hoa Binh province, Northwest Vietnam. J. Mt. Sci. 2015, 12, 1051–1064. [Google Scholar] [CrossRef]
- Opekunova, M.G.; Opekunov, A.Y.; Kukushkin, S.Y.; Ganul, A.G. Background contents of heavy metals in soils and bottom sediments in the north of Western Siberia. Eurasian Soil Sci. 2019, 52, 380–395. [Google Scholar] [CrossRef]
- Kabala, C.; Gałka, B.; Jezierski, P.; Bogacz, A. Transformation of Fluvisols caused by river regulation and long-term farming—A case study from the Dobra River valley in the Silesian Lowland. Rocz. Glebozn. Soil Sci. Annu. 2011, 62, 141–153. [Google Scholar]
- Kondracki, J. Regional Geography of Poland; PWN: Warsaw, Poland, 2002; p. 441. [Google Scholar]
- National Geoportal. Available online: https://mapy.geoportal.gov.pl/ (accessed on 31 January 2021).
- Kobierski, M.; Piotrowska, A. Profile distribution of heavy metals and enzymatic activity in Fluvisols of the Vistula River Valley, Poland. Fresenius Environ. Bull. 2010, 19, 303–311. [Google Scholar]
- Kobierski, M. Evaluation of the content of heavy metals in Fluvisols of floodplain area depending on the type of land use. J. Ecol. Eng. 2015, 16, 1. [Google Scholar] [CrossRef][Green Version]










| Variable | n | Mean | Minimum | Maximum | Standard Deviation |
|---|---|---|---|---|---|
| SOC in litter, % | 21 | 32.8 | 21.8 | 44.2 | 7.75 |
| Nt in litter, % | 21 | 1.26 | 0.82 | 1.68 | 0.20 |
| pHw in litter | 21 | 5.1 | 4.9 | 5.4 | 0.16 |
| pHKCl in litter | 21 | 4.7 | 4.4 | 5.0 | 0.18 |
| SOC, % | 114 | 2.42 | 0.01 | 10.7 | 2.40 |
| Nt, % | 59 | 0.20 | 0.01 | 0.55 | 0.14 |
| pHw | 114 | 5.7 | 4.3 | 6.8 | 0.55 |
| pHKCl | 114 | 5.0 | 3.6 | 6.0 | 0.58 |
| clay, % | 114 | 11.6 | 0.4 | 43.5 | 9.2 |
| silt, % | 114 | 32.3 | 0.5 | 67.2 | 21.0 |
| sand, % | 114 | 56.2 | 12.0 | 99.1 | 27.6 |
| EA, cmol(+) kg−1 | 114 | 2.56 | 0.04 | 10.2 | 2.49 |
| BC, cmol(+) kg−1 | 114 | 9.74 | 1.09 | 37.0 | 7.36 |
| ECEC, cmol(+) kg−1 | 114 | 12.3 | 1.48 | 44.2 | 8.45 |
| BS, % | 114 | 77.9 | 45.7 | 99.4 | 14.7 |
| Variable | SOC | Clay Fraction |
|---|---|---|
| SOC | - | −0.31 * |
| Nt | 0.86 ** | −0.14 |
| pHw | 0.06 | 0.14 |
| EA | 0.21 | 0.29 * |
| BC | 0.36 ** | 0.44 ** |
| ECEC | 0.39 ** | 0.49 ** |
| BS | −0.12 | 0.07 |
| Soil Profile(Transect) | Soil Horizons | Depth, cm | WRB (2015) | Polish Soil Classification (2019) |
|---|---|---|---|---|
| 1 (I) | A-AB-2C-3Cg | 0–38–65–104–150 | PH-fv.cm | CFbr |
| 2 (I) | A-ABwg-BCg-2C-2Cl | 0–18–25–50–110–150 | CM-st.fv.eu | BFog |
| 3 (I) | A-2Bwg-3C | 0–18–40–150 | CM-fv.eu | BFt |
| 4 (I) | A-Bw-Cg-2Cg | 0–15–60–90–150 | CM-st.fv.eu | BFog |
| 5 (I) | A-Bwg-Cg | 0–15–40–150 | CM-st.fv.eu | BFog |
| 6 (V) | A-2Bwg-3BCg-3Cg | 0–25–43–65–150 | PH-st.fv | BFh-og |
| 7 (V) | A-Bw-2BCg-2Cg | 0–10–37–56–150 | CM-fv.eu | BFt |
| 8 (V) | A-Bw-2BCg-2Cg | 0–10–30–42–150 | CM-fv.eu | BFt |
| 9 (V) | A-Bw-2Cg-3Cg-4Cg | 0–10–40–85–96–150 | CM-fv.eu | BFt |
| 10 (III) | A-ABw-Bwg-BCg-2Cg-3Cg-4Cl | 0–18–35–58–73–86–117–150 | CM-st.fv.eu | BFog |
| 11 (III) | A-Bwg-BCg-2Cg-3Cg-4Cl | 0–17–49–68–80–110–150 | CM-st.fv.eu | BFog |
| 12 (III) | A-2Bwg-3BCg-4Cg-5Cl | 0–20–55–66–90–150 | CM-st.fv.eu | BFog |
| 13 (III) | A-Bw-BCg-Cg-Cl | 0–16–38–67–117–150 | CM-st.fv.eu | BFog |
| 14 (IV) | A-Bw-BCg-Cg | 0–19–50–76–150 | CM-fv.eu | BFt |
| 15 (IV) | A-Bw-BCg-Cg | 0–18–47–67–150 | CM-st.fv.eu | BFog |
| 16 (IV) | A-Bwg-BCg-2Cg-3Cg-4Cg | 0–25–46–73–88–95–150 | CM-st.fv.eu | BFog |
| 17 (IV) | A-Bw-BCg-2Cg-3C | 0–23–60–84–94–150 | CM-fv.eu | BFt |
| 18 (V) | A-ABwg-2Agb-2Cg-3Cg | 0–20–36–59–74–150 | PH-st.fv | CFog |
| 19 (V) | A-Agb-A/Cg-2Cg | 0–41–60–80–150 | PH-st.fv | CFog |
| 20 (V) | A-Bwg-Agb-Cg-2Cg | 0–21–50–70–80–150 | CM-st.fv.eu | BFog |
| 21 (V) | A-Ab-2Cg | 0–25–45–150 | PH-st.fv | CFog |
Publisher’s Note: MDPI stays neutral with regard to jurisdictional claims in published maps and institutional affiliations. |
© 2021 by the authors. Licensee MDPI, Basel, Switzerland. This article is an open access article distributed under the terms and conditions of the Creative Commons Attribution (CC BY) license (http://creativecommons.org/licenses/by/4.0/).
Share and Cite
Kawalko, D.; Jezierski, P.; Kabala, C. Morphology and Physicochemical Properties of Alluvial Soils in Riparian Forests after River Regulation. Forests 2021, 12, 329. https://doi.org/10.3390/f12030329
Kawalko D, Jezierski P, Kabala C. Morphology and Physicochemical Properties of Alluvial Soils in Riparian Forests after River Regulation. Forests. 2021; 12(3):329. https://doi.org/10.3390/f12030329
Chicago/Turabian StyleKawalko, Dorota, Paweł Jezierski, and Cezary Kabala. 2021. "Morphology and Physicochemical Properties of Alluvial Soils in Riparian Forests after River Regulation" Forests 12, no. 3: 329. https://doi.org/10.3390/f12030329
APA StyleKawalko, D., Jezierski, P., & Kabala, C. (2021). Morphology and Physicochemical Properties of Alluvial Soils in Riparian Forests after River Regulation. Forests, 12(3), 329. https://doi.org/10.3390/f12030329

