Long-Term Ecosystem Nutrient Pool Status for Aspen Forest Harvest Simulations on Glacial Till and Sandy Outwash Soils †
Abstract
:1. Introduction
2. Materials and Methods
2.1. Overview
2.2. Field Sampling
2.3. Laboratory Analysis
2.4. Harvest Intensity Simulations
2.4.1. Ecosystem Inputs
2.4.2. Ecosystem Outputs
2.4.3. Nutrient Capital and Modeling Assumptions
3. Results
3.1. Ecosystem Nutrient Distribution
3.2. Modeled Harvest Removals
3.3. Harvest Time Series—Sampled Outwash Pedons
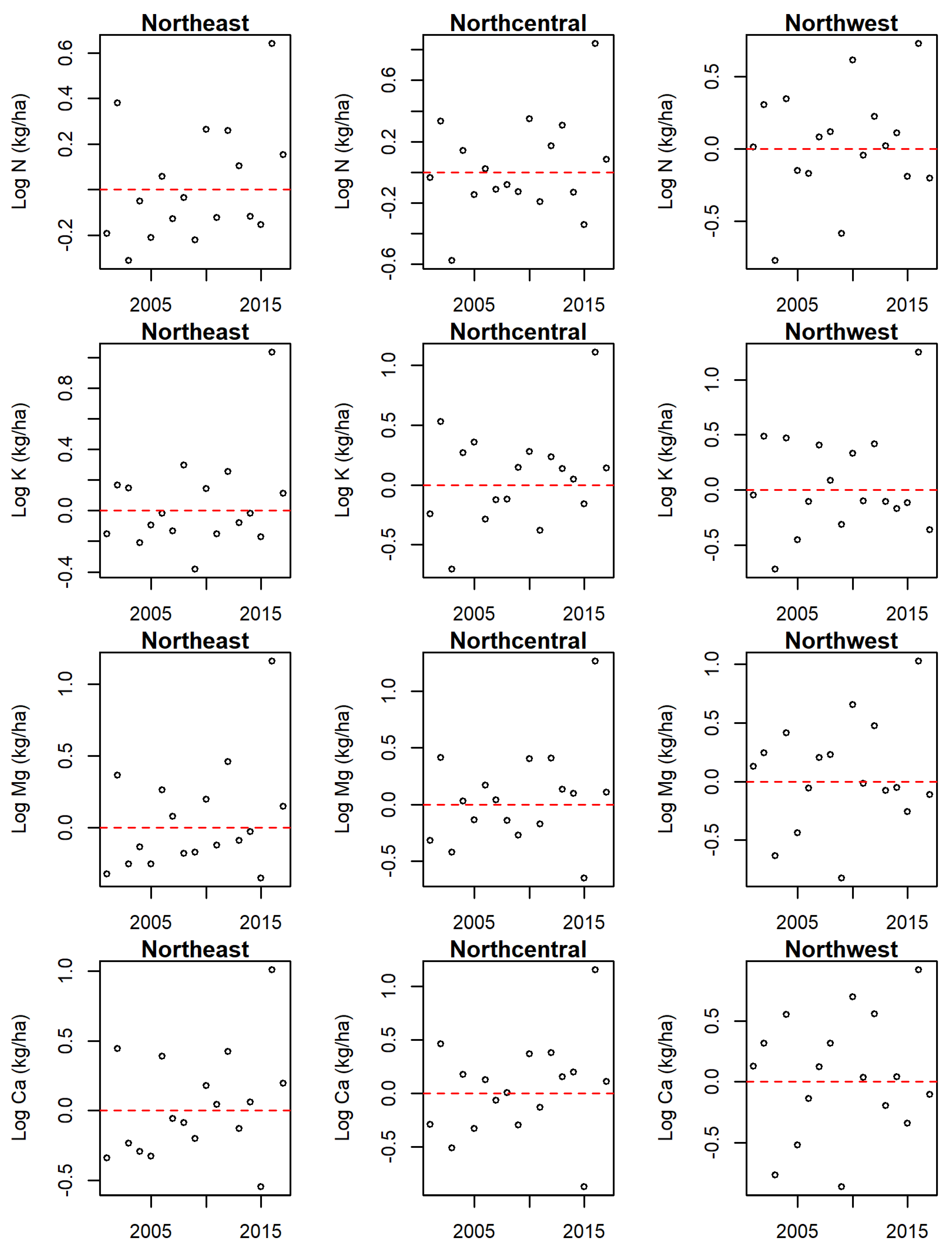
3.4. Harvest Time Series—NCSS Pedons
4. Discussion
4.1. Harvest Removals
4.2. Long-Term Nutrient Budgets Comparison to Short-Term Harvest Intensity Experiments
4.3. Modeled Ecosystem Values
4.4. Desired Future Condition
5. Conclusions
Author Contributions
Funding
Institutional Review Board Statement
Informed Consent Statement
Data Availability Statement
Acknowledgments
Conflicts of Interest
Appendix A
| Soil Type | Pedon ID | Clay (%) | Silt (%) | Sand (%) |
|---|---|---|---|---|
| Restricted | S2016WI037002 | 1.3 | 7.0 | 91.7 |
| S2016WI037004 | 0.8 | 5.0 | 94.2 | |
| S2016WI051002 | 1.8 | 5.1 | 93.1 | |
| S2016WI075001 | 1.9 | 7.2 | 90.9 | |
| S2016WI075002 | 1.8 | 6.5 | 91.7 | |
| S2016WI085004 | 1.3 | 4.8 | 90.5 | |
| S2016WI085005 | 2.7 | 8.5 | 88.8 | |
| S2016WI085006 | 1.0 | 8.2 | 90.8 | |
| S2016WI085007 | 1.5 | 6.1 | 92.3 | |
| S2016WI113002 | 1.5 | 2.8 | 95.7 | |
| S2016WI129001 | 2.5 | 4.3 | 93.2 | |
| NRCS pedons | 1.66 ± 0.18 | 5.95 ± 0.52 | 92.09 ± 0.57 | |
| NCSS pedons | 1.81 ± 0.13 | 5.87 ± 0.74 | 92.30 ± 0.80 | |
| Cloquet | 7.5 | 16.7 | 75.8 | |
| Omega | 5.7 | 8.9 | 85.3 | |
| Solon Springs | 7.2 | 3.3 | 89.5 | |
| Non-restricted | NCSS pedons | 5.97 ± 0.43 | 28.25 ± 1.66 | 64.36 ± 2.46 |
| Warba | 21.3 | 22.2 | 56.5 |
| Region | N | K | Ca | Mg |
|---|---|---|---|---|
| Northeast | 0.05 | 0.48 | 0.01 | 0.01 |
| Northcentral | 0.02 | 0.41 | 0.02 | 0.01 |
| Northwest | 0.05 | 0.06 | 0.07 | 0.03 |
| Reference | Site Information | Depth | Type | N | P | K | Ca | Mg |
|---|---|---|---|---|---|---|---|---|
| (cm) | kg ha−1 | |||||||
| Alban et al., 1978 | Warba (Haplic Glossudalfs); loamy calcareous glacial till on moraines | 36 | - | 8575 | 358 | 1225 | 11,013 | 1108 |
| Boyle et al., 1973 | Iron River (Alfic Fragiorthods), Monico (Typic Endoaquods); silty or loamy deposits, overlying sandy loam till | 6 | - | 673 | 2858 | 3222 | 16,420 | |
| Perala and Alban, 1982 | Warba (Haplic Glossudalfs), loamy calcareous glacial till on moraines | 61 | - | 7766 | 268 | 2855 | 24,084 | 4281 |
| Perala and Alban, 1982 | Unnamed loamy fine sand | 61 | - | 6071 | 344 | 814 | 7247 | 969 |
| Pastor and Bockheim, 1984 | Pence (Typic Haplorthods), thin loamy alluvium mantle overlying stratified sand | 30 | - | 16,100 | 508 | 705 | 4200 | 590 |
| Premer et al., 2019 | Rubicon (Entic Haplorthods), sandy glaciofluvial deposits | 30 | SOH | 14,050 | - | 3650 | 2100 | 1850 |
| WTH | 15,700 | - | 3650 | 550 | 1650 | |||
| Onaway (Inceptic Hapludalfs), loamy deposits on moraines and drumlins | SOH | 18,050 | - | 3000 | 5450 | 2550 | ||
| WTH | 17,450 | - | 4200 | 5500 | 5750 | |||
| Silkworth and Grigal, 1982 | Newfound (Typic Fragiudepts), gravelly noncalcareous sandy loam glacial till | 130 | - | - | - | 741 | 10,478 | 2153 |
| Wilhelm et al., 2013 | Grayling/Menahga (Typic Udipsamments), Omega (Typic Haplorthods); sandy glaciofluvial deposits | 60 | 190 | 1278 | 875 | 6200 | 1603 | |
| Aspen WTH Removal | ||||||||
| Silkworth and Grigal, 1982 | 130 | - | 454 | 43.1 | 354.6 | 1034 | 94.5 | |
| Boyle et al., 1973 | (Harvest at 30 years) | 6 | - | 172 | 24 | 116 | 382 | - |
| Leaching | kg ha−1 45 year−1 | |||||||
| Silkworth and Grigal, 1982 | 130 | - | 18 | 25 | 131 | 1424 | 604 | |
| Wilhelm et al., 2013 | 6 | - | 138 | 85 | 170 | 344 | 353 | |




References
- Shands, W.E. The Lands Nobody Wanted: The Legacy of the Eastern National Forests; Pinchot Institute: Washington, DC, USA, 1991. [Google Scholar]
- Burns, R.M.; Honkala, B.H. Silvics of North America: Volume 2. Hardwoods. In Agriculture Handbook 654; United States Department of Agriculture (USDA) Forest Service: Washington, DC, USA, 1990. [Google Scholar]
- Perala, D.A.; Alban, D.H. Biomass, nutrient distribution and litterfall in Populus, Pinus and Picea stands on two different soils in Minnesota. Plant Soil 1982, 64, 177–192. [Google Scholar] [CrossRef]
- Boyle, J.R.; Phillips, J.J.; Ek, A.R. “Whole Tree” Harvesting: Nutrient Budget Evaluation. J. For. 1973, 71, 760–762. [Google Scholar]
- Silkworth, D.R.; Grigal, D.F. Determining and Evaluating Nutrient Losses Following Whole-tree Harvesting of Aspen. Soil Sci. Soc. Am. J. 1982, 46, 626–631. [Google Scholar] [CrossRef]
- Sverdrup, H.; Rosen, K. Long-term base cation mass balances for Swedish forests and the concept of sustainability. For. Ecol. Manag. 1998, 110, 221–236. [Google Scholar] [CrossRef]
- Thiffault, E.; Hannam, K.D.; Paré, D.; Titus, B.D.; Hazlett, P.W.; Maynard, D.G.; Brais, S. Effects of forest biomass harvesting on soil productivity in boreal and temperate forests—A review. Environ. Rev. 2011, 19, 278–309. [Google Scholar] [CrossRef]
- Bronson, D.R.; Edge, G.J.; Hardin, C.R.; Herrick, S.K.; Knoot, T.G. Wisconsin’s Forestland Woody Biomass Harvesting Guidelines. Field Manual for Loggers, Landowners and Land Managers; (PUB-FR-435-2014); WI DNR Division of Forestry and Wisconsin Council on Forestry: Madison, WI, USA, 2014.
- Premer, M.I. Evaluating the Long-Term Effects of Logging Residue Removals in Great Lakes Aspen Forests; Michigan Technological University: Houghton, MI, USA, 2015. [Google Scholar]
- Premer, M.I.; Froese, R.E.; Vance, E.D. Whole-tree harvest and residue recovery in commercial aspen: Implications to forest growth and soil productivity across a rotation. For. Ecol. Manag. 2019, 447, 130–138. [Google Scholar] [CrossRef]
- Slesak, R.A.; Palik, B.; D’Amato, A.W.; Kurth, V.J. Changes in soil physical and chemical properties following organic matter removal and compaction: 20-year response of the aspen Lake-States Long Term Soil Productivity installations. For. Ecol. Manag. 2017, 392, 68–77. [Google Scholar] [CrossRef] [Green Version]
- Bais, A.L.S.; Lauk, C.; Kastner, T.; Erb, K. Global patterns and trends of wood harvest and use between 1990 and 2010. Ecol. Econ. 2015, 119, 326–337. [Google Scholar] [CrossRef]
- Alban, D.H. Seasonal changes in nutrient concentration and content of aspen suckers in Minnesota. For. Sci. 1985, 31, 785–794. [Google Scholar]
- Ruark, G.A.; Bockheim, J.G. Biomass, net primary production, and nutrient distribution for an age sequence of Populustremuloides ecosystems. Can. J. For. Res. 1988, 18, 435–443. [Google Scholar] [CrossRef]
- Dean, C.; Kirkpatrick, J.B.; Friedland, A.J.; Kirkpatrick, J.B. Conventional intensive logging promotes loss of organic carbon from the mineral soil. Glob. Chang. Biol. 2016, 23, 1–11. [Google Scholar] [CrossRef] [Green Version]
- Olsson, B.A.; Bengtsson, J.; Lundkvist, H. Effects of different forest harvest intensities on the pools of exchangeable cations in coniferous forest soils. For. Ecol. Manag. 1996, 84, 135–147. [Google Scholar] [CrossRef]
- Powers, R.F.; Scott, D.A.; Sanchez, F.G.; Voldseth, R.A.; Page-Dumroese, D.; Elioff, J.D.; Stone, D.M. The North American long-term soil productivity experiment: Findings from the first decade of research. For. Ecol. Manag. 2005, 220, 31–50. [Google Scholar] [CrossRef]
- Premer, M.I.; Froese, R.E.; Webster, C.R.; Nagel, L.M. Vegetation response to logging residue removals in Great Lakes aspen forests: Long-term trends under operational management. For. Ecol. Manag. 2016, 382, 257–268. [Google Scholar] [CrossRef]
- Rittenhouse, T.A.; MacFarland, D.M.; Martin, K.J.; Van Deelen, T.R. Downed wood associated with roundwood harvest, whole-tree harvest, and unharvested stands of aspen in Wisconsin. For. Ecol. Manag. 2012, 266, 239–245. [Google Scholar] [CrossRef]
- Trettin, C.C.; Jurgensen, M.F.; Gale, M.R.; McLaughlin, J.W. Recovery of carbon and nutrient pools in a northern forested wetland 11years after harvesting and site preparation. For. Ecol. Manag. 2011, 262, 1826–1833. [Google Scholar] [CrossRef]
- Surabian, D. Soil Sustainability of Forest Biomass Harvesting in Connecticut; United States Department of Agriculture: Washington, DC, USA, 2016.
- Michigan Department of Natural Resources. Michigan Woody Biomass Harvesting Guidance; Michigan Department of Natural Resources and Environment, Forest Management Division: Lansing, MI, USA, 2010.
- Minnesota Forest Resources Council. Biomass Harvest Guidelines for Forestlands, Brushlands and Open Lands; Minnesota Forest Resources Council: Saint Paul, MN, USA, 2007.
- Kolka, R.; Grigal, D.; Nater, E. Forest soil mineral weathering rates: Use of multiple approaches. Geoderma 1996, 73, 1–21. [Google Scholar] [CrossRef]
- Schwede, D.B.; Lear, G.G. A novel hybrid approach for estimating total deposition in the United States. Atmos. Environ. 2014, 92, 207–220. [Google Scholar] [CrossRef] [Green Version]
- Schoeneberger, P.J.; Wysocki, D.A.; Benham, E.C.; Soil Survey Staff. Field Book for Describing and Sampling Soils; National Soil Survey Center: Lincoln, NE, USA, 2012.
- Wilson, B.T.; Lister, A.J.; Riemann, R.I.; Griffith, D.M. Live Tree Species Basal Area of the Contiguous United States (2000–2009); United States Department of Agriculture, Forest Service, Southern Research Station: Asheville, NC, USA, 2013.
- Huang, W.; Schoenau, J. Distribution of water-soluble organic carbon in an aspen forest soil. Can. J. For. Res. 1996, 26, 1266–1272. [Google Scholar] [CrossRef]
- Kane, E.; Valentine, D.; Michaelson, G.; Fox, J.; Ping, C.-L. Controls over pathways of carbon efflux from soils along climate and black spruce productivity gradients in interior Alaska. Soil Biol. Biochem. 2006, 38, 1438–1450. [Google Scholar] [CrossRef]
- Burt, R.; Soil Survey Staff. Kellogg Soil Survey Laboratory Methods Manual; National Soil Survey Center—Kellogg Soil Survey Laboratory: Lincoln, NE, USA, 2014.
- Kuhn, M. Building Predictive Models inRUsing thecaretPackage. J. Stat. Softw. 2008, 28, 1–26. [Google Scholar] [CrossRef] [Green Version]
- Bond-Lamberty, B.; Wang, C.; Gower, S.T. Aboveground and belowground biomass and sapwood area allometric equations for six boreal tree species of northern Manitoba. Can. J. For. Res. 2002, 32, 1441–1450. [Google Scholar] [CrossRef]
- Kolka, R. Cation Release Rates from Weathering of Five Upper Great Lakes Forest Soils; University of Minnesota: Minneapolis, MN, USA, 1993.
- Teller, J.T.; Wright, H.E. Proglacial lakes and the southern margin of the Laurentide Ice Sheet. In North America and Adjacent Oceans during the Last Deglaciation. GeoScienceWorld 1987, 39–69. [Google Scholar] [CrossRef]
- Tseries: Time Series Analysis and Computational Finance. Available online: https://cran.r-project.org/web/packages/tseries/index.html (accessed on 9 October 2021).
- Chan, K.S.; Ripley, B. TSA: Time Series Analysis. Contains R functions and datasets detailed. In Time Series Analysis with Applications in R, 2nd ed.; Cryer, J., Chan, K.-S., Eds.; Springer Science+Business Media, LLC: New York, NY, USA, 2012. [Google Scholar]
- Hyndman, R.; Khandakar, Y. Automatic Time Series Forecasting: The forecast Package for R. J. Stat. Softw. 2008, 27, 1–22. [Google Scholar] [CrossRef] [Green Version]
- Forecast: Forecasting Functions for Time Series and Linear Models. Available online: https://pkg.robjhyndman.com/forecast (accessed on 15 January 2018).
- Wang, C.; McKeague, J.A.; Kodama, H. Pedogenic Imogolite and Soil Environments: Case Study of Spodosols in Quebec, Canada. Soil Sci. Soc. Am. J. 1986, 50, 711–718. [Google Scholar] [CrossRef]
- Grigal, D.F.; Hubbard, J.E. SOGGY: An empirical évapotranspiration model for forest soils. In Proceedings of the Summer Computer Simulation Conference; AFIPS: Boston, MA, USA, 1971; pp. 795–800. [Google Scholar]
- Thornthwaite, C.W.; Mather, J.R. Instructions and tables for computing potential evapotranspiration and the water balance. Publ. Climatol. 1957, 10, 185–311. [Google Scholar]
- Ruark, G.A.; Martin, G.L.; Bockheim, J. Comparison of Constant and Variable Allometric Ratios for Estimating Populus tremuloides Biomass. For. Sci. 1987, 33, 294–300. [Google Scholar] [CrossRef]
- Perala, D.A.; Alban, D.H. Allometric Biomass Estimators for Aspen-Dominated Ecosystems in the Upper Great Lakes; Forest Service: Saint Paul, MN, USA, 1994. [Google Scholar]
- Young, H.E.; Strand, L.; Altenberger, R. Preliminary fresh and dry weight tables for seven tree species in Maine. In Agricultural Experiment Station Technical Bulletin; The University of the Maine: Orono, ME, USA, 1964; Volume 12. [Google Scholar]
- Brown, R.M.; Gevorkiantz, S.R. Volume, Yield, and Stand Tables for Tree Species in the Lake States. Minnesota Agricultural Experiment Station. Retrieved from the University of Minnesota Digital Conservancy. 1934. Available online: https://hdl.handle.net/11299/108228 (accessed on 9 October 2021).
- Gerloff, G.C.; Moore, D.G.; Curtis, J.T. Mineral Content of Native Plants of Wisconsin; Wisconsin Agricultural Experiment Station: Madison, WI, USA, 1964. [Google Scholar]
- Henry, D.G. Foliar Nutrient Concentrations of Some Minnesota Forest Species; College of Forestry, University of Minnesota: Saint Paul, MI, USA, 1973. [Google Scholar]
- McColl, J.G. Seasonal nutrient variation in trembling aspen. Plant Soil 1980, 54, 323–328. [Google Scholar] [CrossRef]
- Tew, R.K. Seasonal Variation in the Nutrient Content of Aspen Foliage. J. Wildl. Manag. 1970, 34, 475–478. [Google Scholar] [CrossRef]
- Wisconsin Department of Natural Resources. Silviculture and Forest Aesthetics Handbook, 2431.5; Wisconsin Department of Natural Resources: Madison, WI, USA, 2013.
- Wang, F.; Mladenoff, D.J.; Forrester, J.; Blanco, J.; Scheller, R.; Peckham, S.D.; Keough, C.; Lucash, M.; Gower, S.T. Multimodel simulations of forest harvesting effects on long-term productivity and CN cycling in aspen forests. Ecol. Appl. 2014, 24, 1374–1389. [Google Scholar] [CrossRef] [Green Version]
- Grigal, D.F.; Ohmann, P.R. Calcium and forest systems: Diffusion from deep sources. Soil Sci. 2005, 170, 129–136. [Google Scholar] [CrossRef]
- Wilhelm, K.; Rathsack, B.; Bockheim, J. Effects of timber harvest intensity on macronutrient cycling in oak-dominated stands on sandy soils of northwest Wisconsin. For. Ecol. Manag. 2013, 291, 1–12. [Google Scholar] [CrossRef]
- Ponder, F., Jr.; Fleming, R.L.; Berch, S.; Busse, M.D.; Elioff, J.D.; Hazlett, P.W.; Kabzems, R.D.; Kranabetter, J.M.; Morris, D.M.; Page-Dumroese, D.; et al. Effects of organic matter removal, soil compaction and vegetation control on 10th year biomass and foliar nutrition: LTSP continent-wide comparisons. For. Ecol. Manag. 2012, 278, 35–54. [Google Scholar] [CrossRef]
- Pastor, J.; Bockheim, J.G. Distribution and Cycling of Nutrients in an Aspen-Mixed-Hardwood-Spodosol Ecosystem in Northern Wisconsin. Ecology 1984, 65, 339–353. [Google Scholar] [CrossRef]
- Von Liebig, J. Die Organische Chemie in Ihrer Anwendung auf Agricultur und Physiologie; Vieweg und Sohn, F., Ed.; Vieweg: Braunschweig, Germany, 1841. [Google Scholar]





| Nutrient (kg ha−1) | |||||
|---|---|---|---|---|---|
| N | P | K | Ca | Mg | |
| Leaf | 41 ± 8 | 5 ± 1 | 23 ± 4 | 27 ± 7 | 5 ± 1 |
| Twig | 0.92 ± 0.23 | 0.22 ± 0.05 | 0.99 ± 0.14 | 2.14 ± 0.34 | 0.22 ± 0.05 |
| D.Branch | 1.2 ± 0.71 | 0.15 ± 0.08 | 0.65 ± 0.45 | 6.18 ± 4.30 | 0.39 ± 0.23 |
| L. Branch | 34 ± 10 | 7 ± 2 | 38 ± 11 | 136 ± 41 | 11 ± 3 |
| Barkwood | 91 ± 28 | 13 ± 5 | 94 ± 40 | 467 ± 170 | 24 ± 8 |
| Bolewood | 247 ± 209 | 23 ± 6 | 109 ± 33 | 312 ± 158 | 39 ± 9 |
| Stump + Roots | 71 ± 48 | 8 ± 2 | 40 ± 15 | 132 ± 69 | 13 ± 3 |
| Coarse Roots | 0.06 ± 0.01 | 0.02 ± 0 | 0.02 ± 0 | 0.2 ± 0.02 | 0.02 ± 0.00 |
| Vegetation Total | 487 ± 217 | 57 ± 8 | 306 ± 55 | 1083 ± 246 | 93 ± 13 |
| Sampled Soil Pedons (0–150 cm) | 8734 ± 506 | 1953 ± 175 | 989 ± 123 | 3217 ± 339 | 336 ± 39 |
| Typic Udipsamments and Entic Haplorthods NCSS Soil Pedons (0–150 cm) | 10781 ± 996 | 2085 ± 260 | 722 ± 65 | 3763 ± 399 | 527 ± 67 |
| Alfic Haplorthods NCSS Soil Pedons (0–150 cm) | 10743 ± 433 | 4398 ± 109 | 698 ± 90 | 12740 ± 1131 | 2988 ± 519 |
| Nutrient (kg ha−1 45 year−1) | ||||||
|---|---|---|---|---|---|---|
| N | P | K | Ca | Mg | ||
| Outputs | ||||||
| Harvest Removals | SOH | 339 | 36 | 204 | 779 | 63 |
| WTH—Winter | 396 | 48 | 257 | 977 | 81 | |
| WTH—Spring | 461 | 51 | 280 | 985 | 83 | |
| WTH—Summer | 433 | 52 | 282 | 998 | 84 | |
| WTH—Fall | 421 | 49 | 267 | 1034 | 87 | |
| Leaching | 4 | 0.4 | 24 | 41 | 13 | |
| Inputs | ||||||
| Deposition | Northeast | 241 | 9 | 88 | 12 | |
| Northcentral | 226 | 9 | 85 | 11 | ||
| Northwest | 268 | 10 | 100 | 12 | ||
| Weathering | ||||||
| Entic Haplorthods/Typic Udisamments | Minimum | 4 | 0 | 1 | ||
| Average | 5 | 36 | 9 | |||
| Maximum | 8 | 70 | 17 | |||
| Medium to Nutrient-Rich | Warba | 9 | 280 | 38 | ||
| Net | ||||||
| SOH | −98 | −36 | ||||
| WTH (avg.) | −187 | −50 | ||||
| Entic Haplorthods/Typic Udisamments | ||||||
| Minimum Weathering | SOH | −214 | −729 | −63 | ||
| WTH (avg.) | −282 | −948 | −84 | |||
| Average Weathering | SOH | −213 | −693 | −55 | ||
| WTH (avg.) | −281 | −912 | −76 | |||
| Maximum Weathering | SOH | −210 | −659 | −47 | ||
| WTH (avg.) | −278 | −878 | −68 | |||
| Medium to Nutrient-rich | ||||||
| Warba Weathering | SOH | −209 | −449 | −26 | ||
| WTH (avg.) | −277 | −668 | −47 | |||
| SOH | WTH | |||||||
|---|---|---|---|---|---|---|---|---|
| Soil Type | Weathering Type | Rate | K | Ca | Mg | K | Ca | Mg |
| Entic Haplorthods/Typic Udipsamments | Outwash Soils (Kolka et al.,1996) | Max. | 282 | 128 | 54 | 379 | 163 | 71 |
| Avg. | * | 186 | 90 | * | 238 | 119 | ||
| Min. | * | 448 | 276 | * | 573 | 367 | ||
| Texturally Adjusted to Observed | Max. | * | 291 | 175 | * | 372 | 233 | |
| Avg. | * | 403 | 335 | * | 516 | 444 | ||
| Min. | * | 696 | * | * | 890 | * | ||
| Medium to Nutrient-rich | Warba (Kolka et al., 1996) | Min. | * | 107 | 77 | * | 137 | 102 |
Publisher’s Note: MDPI stays neutral with regard to jurisdictional claims in published maps and institutional affiliations. |
© 2021 by the authors. Licensee MDPI, Basel, Switzerland. This article is an open access article distributed under the terms and conditions of the Creative Commons Attribution (CC BY) license (https://creativecommons.org/licenses/by/4.0/).
Share and Cite
Richard, R.P.; Kane, E.S.; Bronson, D.R.; Kolka, R.K. Long-Term Ecosystem Nutrient Pool Status for Aspen Forest Harvest Simulations on Glacial Till and Sandy Outwash Soils. Forests 2021, 12, 1556. https://doi.org/10.3390/f12111556
Richard RP, Kane ES, Bronson DR, Kolka RK. Long-Term Ecosystem Nutrient Pool Status for Aspen Forest Harvest Simulations on Glacial Till and Sandy Outwash Soils. Forests. 2021; 12(11):1556. https://doi.org/10.3390/f12111556
Chicago/Turabian StyleRichard, Robert P., Evan S. Kane, Dustin R. Bronson, and Randall K. Kolka. 2021. "Long-Term Ecosystem Nutrient Pool Status for Aspen Forest Harvest Simulations on Glacial Till and Sandy Outwash Soils" Forests 12, no. 11: 1556. https://doi.org/10.3390/f12111556
APA StyleRichard, R. P., Kane, E. S., Bronson, D. R., & Kolka, R. K. (2021). Long-Term Ecosystem Nutrient Pool Status for Aspen Forest Harvest Simulations on Glacial Till and Sandy Outwash Soils. Forests, 12(11), 1556. https://doi.org/10.3390/f12111556

