Abstract
With the gradual decline in the proportion of spruce as the most important tree species in the Czech Republic, the importance of pine will increase. The test material for this study was selected from two localities with important representation of pure Scots pine stands. Two stands, representing clear-cutting and shelterwood regeneration methods were selected from each locality. In the case of shelterwood method, tree samples from a lower layer were cut down and subsequently evaluated in terms of the impact of the regeneration method on the density of the wood, the density of earlywood and latewood, the proportion of latewood and the width of the annual rings. These qualitative parameters of the wood were compared before and after the release of the parent stand canopy. The clear-cutting regeneration method served as a reference. The values obtained before the release of the parent stand canopy are significantly different from values after its removal (share of latewood 47.7% and 48.1% before the release in contrast to 39.5% and 39.1% after the release for the locality 1 and the locality 2 respectively). The shelterwood regeneration method has not a significant impact on the overall investigated characteristics. Most significant was the impact of the regeneration method on the distribution of properties along the trunk radius, where the shelterwood method shows a uniform density distribution from the pith to the bark. From the view of industry, therefore, it is not important for the final processing which part of the trunk the wood comes from.
1. Introduction
Scots pine (Pinus sylvestris L.) is the second most important tree species in the Czech Republic from an ecological and production point of view [1]. Currently, the clear-cutting method of forest regeneration is mostly used in commercial pine stands [2]. However, due to climate change with many adverse effects on forest stands, alternative methods relying more on natural processes and fostering stand heterogeneity are being increasingly used. The shelterwood regeneration in pine stands is considered a promising approach in the Czech Republic [3]. The impact of applied silvicultural methods is most often manifested in the radial growth of a tree [4]. The radial growth of a tree in a forest stand is also influenced by the mutual interaction of competing trees and the conditions of the given environment [5]. Forest managers can influence certain factors, such as stand density, to achieve the required wood quality [4,6].
Wood density is considered to be one of the most important indicators of wood quality, which affects both the mechanical and physical properties of wood [7,8,9]. In general, wood formation and density may vary depending on habitat, tree species, genetics, climatic characteristics, physiological factors and on silvicultural measures [5,7,10,11,12,13,14]. Wood density variability can also be observed inside the trunk [15]. The characteristics of the wood are closely linked to different types of trees, but are largely influenced by the surrounding environment, including the silvicultural measures carried out during the growth of the tree [16].
Thinning is a basic silvicultural treatment leading to increased tree growth due to higher availability of resources, which may result in a reduction of wood density in the annual ring [5,7]. Different values of annual ring wood density are mostly related to cambium activity and change with growing age [17]. In addition, the density of annual ring wood changes due to the proportion of latewood and earlywood [18]. Latewood shows a higher density value and earlywood usually reaches a higher percentage representation in the annual ring [7]. The density of earlywood remains almost constant throughout the growth of the tree, but the density of latewood increases with age [5,7,16]. The variability of wood density across the trunk cross section depends on the proportion of juvenile and mature wood [17], although the transition between juvenile and mature wood may be affected by intensive management [7]. Juvenile wood encompasses between few to several annual rings located in the central part of a stem. In contrast to mature wood, the juvenile xylem is characterised, among other things, by wider annual rings and lower participation of latewood, decreased density, shorter tracheids, and greater angle of inclination of fibrils in the cell wall [19,20]. Juvenile wood is regarded as one of the most important sources of variability within a trunk [21,22].
The aim of this study was to understand the impact of regeneration method on wood properties of Scots pine. We evaluated the annual ring widths, average density, density of latewood and earlywood and percentage of latewood for the shelterwood and the clear-cutting regeneration method. The evaluated parameters were investigated for the stem as a whole but also with respect to the time of release of the lower layer. The clear-cutting regeneration method served as a reference. Individual annual ring parameters were quantified using X-ray densitometry.
2. Materials and Methods
2.1. Materials
The test material came from two localities that are characteristic of the cultivation of Scots pine in the Czech Republic. In each locality two forest stands representing clear-cutting and shelterwood regeneration method were selected [23]. All stands used in this research were regenerated naturally.
Clear-cutting method in the conditions of the Czech Republic is usually realised in blocks of a size of predominantly 0.2 ha to 1.5 ha. Before the newly established stands reach the top height of 15 m, usually two thinning treatments are carried out in order to decrease the density to 3500–4000 ind.ha−1. The sample trees from clear-cut regenerated stands have been growing from the very beginning in a single-layer even-aged stand.
In the second case, close-to-nature silviculture approach is applied with the objective to create a complex forest structure, support natural processes and decrease costs for thinning. Here, abrupt cover release is generally rejected. The ongoing regeneration period ranges from 30 to 50 years (initial densities in the 0.25 m–4.0 m height class usually range from 5000 to 20,000 ind.ha−1). After the realised release cut the investigated forest stands consist of an upper layer (density 30–50%) and an advanced lower layer. The sample trees represent these understorey individuals. At the locality 1, the lower layer was released at the age of 24 years, at the locality 2 at the age of 34 years.
The material used for this study was taken from the Doksy region (locality 1) and Chvojno region (locality 2) (Table 1). The locality 1 is located in North-western Bohemia and the forest stands are owned by the Městské lesy Doksy, where average rainfall reaches 550 mm, the average temperature is between 7–8 °C and the altitude is up to 450 m above sea level. The locality 2 is located in West Bohemia and forest stands are owned by Lesy České republiky s.p. (Forests of the Czech Republic, state enterprise), where the average annual total precipitation reaches 680 mm, the average temperature is around 8 °C and the altitude reaches 362 m above sea level.
Table 1.
Basic locality and stand characteristics (stand summary characteristics according to forest management plan).
The investigated trees were co-dominat individuals within the particular tree-layer, free of any defects (curvature = compression wood, fungi, injury etc.), with diameter representing average Dbh of the tree-layer. From those trees, meeting such criterions, we randomly chose seven sample trees, these were felled in winter period and further used for the production of the test material.
2.2. Methods
A 3–5 cm thick disc was taken from each sampler at the breast height of the trunk (1.3 m). A test specimen of wood was cut from this disc using a double disc saw (Dendrocut, Walesch Electronic GmbH, Effretikon, Switzerland), 0.8 mm thick and 18 mm high. The cut was made in a north–south direction by the disc, running through the pith and perpendicular to the annual rings. All of the cut test specimens were conditioned to 65% (±5%) relative humidity and 20 °C (±2 °C) to 12% moisture content before X-ray densitometry measurements. The test specimens were measured longitudinally from the pith to the cambium with an X-ray beam on a QTRS-01X Tree Ring Analyzer (Quintek Measurement Systems Inc., Knoxville, TN, USA). Sample measurements were performed automatically using QTRS-01X software (Quintek Measurement Systems Knoxville, Knoxville, TN, USA) with a step size of 0.01 mm (Figure 1). The average density and width of the annual ring, the density of latewood and earlywood and the percentage of latewood in the annual ring were determined.
Figure 1.
X-ray densitometer QTRS-01X Tree Ring Analyzer (a); wood density profile for one of the testing samples using QTRS-01X software (b).
2.3. Statistical Analyses
An analysis of variance was performed to test whether the regeneration method led to statistically significant differences (p < 0.05) in the examined characteristics. The qualitative parameters of wood (average annual ring density, latewood and earlywood density, percentage of latewood in the annual ring) were subjected to a two-factor analysis of variance (ANOVA), where the regeneration method and locality were used as independent factors. We used a parametric test as the data possessed even distribution. Finally, a linear regression model was applied to test the correlation (significance level p < 0.05) between annual ring width and wood density and between annual ring width and the proportion of latewood in relation to the regeneration method.
3. Results
The average values of the evaluated parameters of the Scots pine for the whole stem radius are given in Table 2. There was no difference in average values of the width of the annual rings between the regeneration methods (Table A6). The higher percentage of latewood in the annual ring is shown by the stands restored via the shelterwood regeneration method. A statistically significant difference was not confirmed here (Table A7). For Locality 1, a statistically significant difference was found in the values of latewood density, where higher values were found in the stand regenerated with the clear-cutting method (Table A8). No statistically significant difference was found at locality 2, and although the shelterwood regeneration method shows higher values of latewood density, this difference is completely negligible. The table shows that higher values of earlywood density were achieved for the stand restored via the clear-cutting method, but these differences are completely negligible and statistically insignificant (Table A9). The annual ring density was found to be higher in the stands regenerated with the shelterwood method, but this difference is also not statistically significant (Table A10).
Table 2.
Monitored characteristics for the individual localities and the regeneration methods (mean ± standard deviation).
Impact of a release of the parent stand canopy on evaluated parameters for both localities is given in Table 3 and Figure 2. At locality 1, due to the release, the width of the annual ring increased by 123% and at locality 2 by 81%. The higher average annual ring width was found at both localities for stands regenerated via the shelterwood method, but this difference is not statistically significant (Table A1). The impact of the release of the parent stand is manifested at locality 1 by reducing the proportion of latewood in the annual ring by 17% and at locality 2 by 19%. The impact of the release of the parent stand on the percentage of latewood was not confirmed (Table A2). The impact of the release of the parent stand on the densities of latewood was not recorded (Table A3). The impact of the removal of the parent stand canopy resulted in a slight decrease in the density of earlywood at both localities. This decrease was found to be statistically significant only at locality 1 (Table A4). The impact of the felling of the parent stand leads to an even distribution of the wood density at locality 1, where no change in density was recorded. At locality 2, there was a slight decrease in density by 5%, which was statistically significant (Table A5).
Table 3.
Monitored characteristics for the individual localities and the regeneration methods in relation to the time of release of the parent stand canopy (mean ± standard deviation).


Figure 2.
Impact of regeneration method and locality on annual ring width (a), percentage of latewood (b), latewood density (c), earlywood density (d), annual ring density (e) (x-axis: 1-values up to the time of the release of the parent stand canopy, 2-values after the release of the parent stand canopy. In the case of the clear-cutting method x-axis values serve as a reference).
It is clear from Figure 3 that the width of the annual ring in the case of the clear-cutting regeneration method has the same trend at both localities, namely decreasing towards the cambium. The shelterwood method shows a completely opposite trend, where the lowest annual ring width was found to be close to the pith and, after the release of the parent stand, the annual ring width increases. The width of the annual ring is closely connected with the percentage of latewood and, quite logically, in connection with the above mentioned, the clear-cutting method shows a lower proportion of latewood in the annual ring at the pith and is increasing towards the cambium. The shelterwood method shows the opposite trend, where the proportion of latewood at the pith is higher and decreases towards the cambium. The density of latewood follows the same trend for both regeneration methods at both localities, namely increasing the density of wood from the pith to the cambium. The annual ring density in the clear-cutting regeneration method gradually increases from the pith to the cambium until it reaches its maximum. The shelterwood method shows an even distribution of annual ring density along the trunk radius.

Figure 3.
Distribution of the monitored characteristics along the trunk radius (from the pith to the bark) for the stands with a different regeneration method from both localities. Annual ring width (a,b), latewood percentage (c,d), latewood density (e,f), earlywood density (g,h), annual ring density (i,j). Green line denotes the time of release of the parent stand canopy.
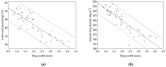
For the shelterwood regeneration method, the percentage of latewood and annual ring density at locality 2 decreases slightly with increasing width of the annual ring (Figure 4). After the release of the parent stand canopy the evaluated properties increase with increasing width of the annual ring. Locality 1 shows ambiguous results. Closer correlation of the tested characteristics and the annual ring width was found after the release of the parent stand canopy, a similar trend was confirmed for the locality 1 (Table 4).
Figure 4.
Correlation between annual ring width and proportion of latewood and between annual ring width and annual ring density related to the release of the parent stand canopy (locality 2). Shelterwood regeneration method. Latewood percentage (a,b), annual ring density (c,d).
Table 4.
Regression model for an effect of annual ring width (locality 2). Shelterwood regeneration method.
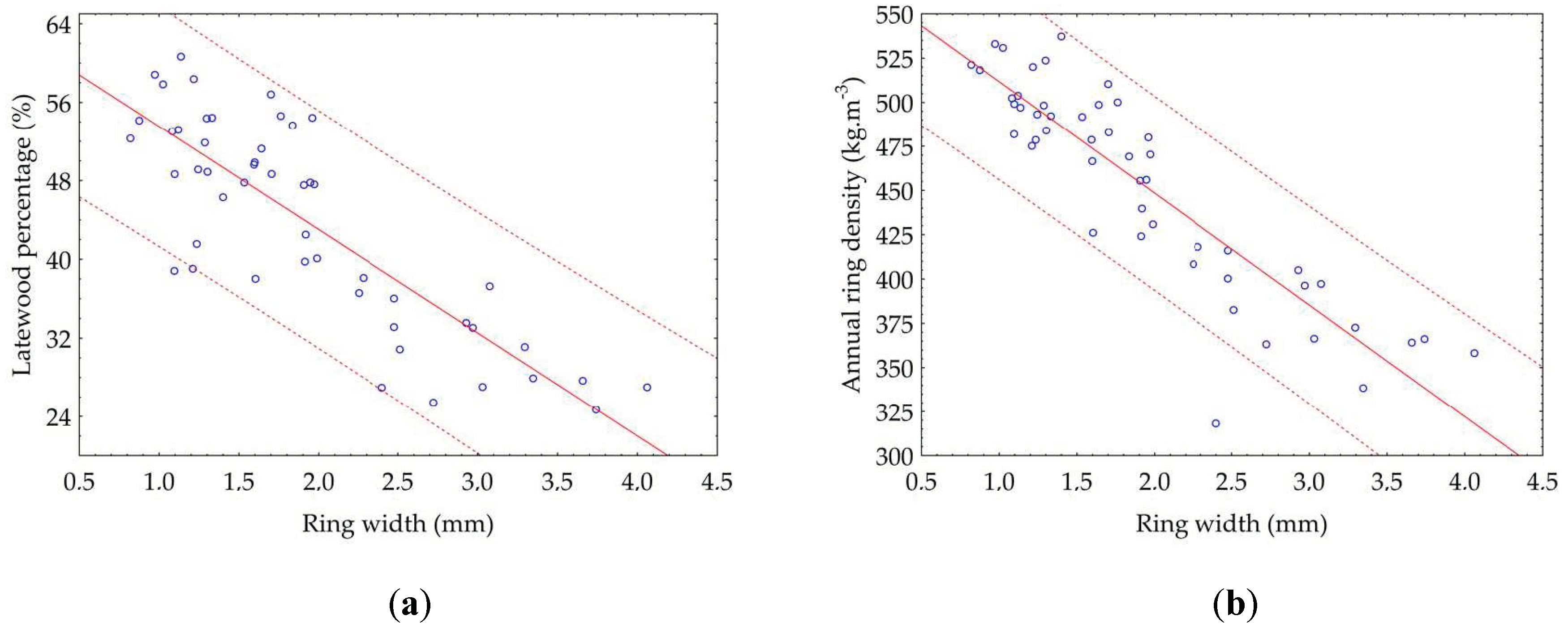
At locality 2, a strong correlation between the investigated characteristics and the width of the annual ring was confirmed for the clear-cutting regeneration method (Table 5). It is clear from Figure 5 that with increasing annual ring width the proportion of latewood and annual ring density decrease. A similar trend was demonstrated at locality 1.
Table 5.
Regression model for an effect of annual ring width (locality 2). Clear-cutting regeneration method.
Figure 5.
Correlation between annual ring width and proportion of latewood and between annual ring width and annual ring density (locality 2). Clear-cutting regeneration method. Latewood percentage (a) and annual ring density (b).
4. Discussion
The aim of this study was to analyse the influence of regeneration method on the annual ring characteristics of the Scots pine. Like all conifers, Scots pine and its radial growth clearly respond to environmental factors [5,11,12,14,25,26,27]. Tree growth is known to affect the resulting properties of wood, while the regeneration method has a direct effect on the trunk diameter of the tree. The response to the release provides highly relevant information on practical forest management, potentially allowing the determination and intensity of cultivation practices to be optimized [4].
Our results show that the removal of the parent stand led to a significant increase in the width of the annual ring when using the shelterwood method. The clear-cutting regeneration shows a gradual decrease in the width of the annual ring towards the cambium. The influence of stand release and its positive effect on the width of the annual ring is mentioned by several authors [4,5,28]. Peltola et al. [29] state that the reaction to growth in the Scots pine was manifested only in heavily cut stands.
The variability of the annual ring widths is mainly connected with the variability of the width of earlywood area, which is highly correlated with the proportion of latewood [18]. The results of the study show a higher percentage of latewood in the annual ring before the felling of the parent stand, when the width of the annual ring is low. Increasing the width of the annual ring also reduces the proportion of latewood. The increase in the width of annual rings usually causes the wood density to lower, which also causes the quality of the wood to decrease [11,30].
The clear-cutting regeneration method shows an increasing trend of the proportion of latewood to the cambium, which is confirmed by [18]. Candel-Pérez et al. [4] state that thinning can also lead to an increase in the percentage of latewood, which could lead to increase in wood density. The density of latewood is not affected in any way by the release of the parent stand, and in both stands it shows the same trend, increasing from the pith to the cambium. This trend is also described by [7]. Earlywood is an integral part of the annual ring. Earlywood occupies a higher percentage in the annual ring than latewood and has a lower density. This phenomenon has been observed by many authors [5,9,18]. Moreno-Fernandez et al. [7] state that the density of earlywood remains constant for almost the entire growth period. This trend was demonstrated for stands restored with the clear-cutting method and for the shelterwood regeneration at locality 2. Due to the release of the parent stand, there was a significant decrease in the density of earlywood at locality 1 for the shelterwood regeneration method.
The impact of the felling of the mother parent stand on the density of the wood was most significant in the shelterwood regeneration method. At locality 1, the effect of felling on wood density did not manifest and the density remained constant. A slight decrease was recorded at locality 2. Mörling [31] states that the impact of thinning has almost no effect on wood density. On the other hand, some authors state that thinning accelerates growth and, in relation thereto, reduces the density of wood [5,32]. Wodzicki [33] even states that thinning can also lead to an increase in wood density. The wood density for the clear-cutting method reaches the lowest values near the pith, and subsequently a constant increase in values was observed. This trend has been described by several authors [34,35,36].
The lower quality of wood near the pith for the clear-cutting regeneration may be due to the higher occurrence of juvenile wood. Juvenile wood is characterized by low wood density, lower percentage of latewood, higher lignin and hemicellulose content, low cellulose content, thin cell wall, short tracheids with wide lumens, high fibre and microfibrils rotation angle [20,37]. As the impact of juvenile wood on the final quality of wood is significant, it is necessary to decrease the proportion of juvenile wood in a trunk [38]. The proportion of juvenile wood in the trunk is discussed in many professional publications [20,39]. Yang [40] states that the size of juvenile wood is determined primarily by the number of individuals in the stand. However, Hébert et al. [41] state that spacing between trees on juvenile size does not have a significant effect on juvenile wood formation.
Compared to the clear-cutting regeneration method, the lower width of annual rings in the juvenile wood zone in the shelterwood regeneration method may be due to a higher number of individuals in the stand and growth of the examined individuals under the shadow of the parent stand at both localities. After releasing the parent stand, the width of the annual ring subsequently increases. This trend was also described by Eriksson et al. [42]. The release of the parent stand was manifested in the mature wood zone, where the shelterwood regeneration method has a higher annual ring width than the clear-cutting method. The width of the annual ring closely correlates with the percentage of latewood [18], where a higher proportion of latewood was found for the shelterwood regeneration method in the juvenile zone of the wood. The impact of a higher proportion of latewood in the juvenile zone of the wood in the shelterwood method was significantly reflected in the wood density, where the shelterwood regeneration method shows higher density values compared to the clear-cutting regeneration. Many studies report that mature wood has higher density values than juvenile wood [5,43,44], as found in the clear-cutting method. However, the shelterwood regeneration method does not show a difference between juvenile and mature wood.
The average values of the examined characteristics of the Scots pine, regardless of the time of the release of the parent stand canopy, show that the shelterwood regeneration method does not have a significant effect on the investigated properties of wood. There was no difference found in the average values between the shelterwood and clear-cutting regeneration method, with the exception of the density of latewood at locality 1. This is also confirmed in studies by authors who did not find the effect of thinning on wood density, latewood density and latewood content for the Scots pine in Finland. [6,45]. Similar results were also reported by Tong et al. [46].
5. Conclusions
The most important finding is that different regeneration methods produce wood of different quality along the stem radius. The distribution of wood density within the trunk is significantly affected by silvicultural measures. Due to the release cut, the shelterwood regeneration method shows an even distribution of wood density along the trunk radius, whereas the clear-cutting regeneration method shows an increasing trend from the pith to the cambium. The shelterwood regeneration method had a positive effect on the extent of the juvenile wood zone, wherein it eliminates its negative properties compared to the clear-cutting method. From the point of view of the wood processing industry, therefore, it is not important which part of the trunk is used in the case of the shelterwood method.
For the stem as a whole, the shelterwood regeneration method did not have a significant effect on the evaluated wood quality characteristics. The impact of different regeneration methods on the wood properties of pine was not demonstrated at any of the localities investigated, with the exception of latewood density at locality 1, where a statistically significant difference was confirmed for the shelterwood regeneration method. It is also important to notice lower variability of the annual ring density in the case of the shelterwood regeneration method.
Author Contributions
Conceptualization, O.S. and A.Z.; methodology, O.S.; software, O.S.; validation, O.S., A.Z., L.B. and V.B.; formal analysis, O.S., A.Z., V.B.; investigation, L.B.; resources, O.S., J.V.; data curation, O.S.; writing—original draft preparation, O.S.; writing—review and editing, A.Z., L.B., V.B., J.V.; visualization, O.S.; supervision, A.Z.; project administration, L.B.; funding acquisition, O.S., L.B. All authors have read and agreed to the published version of the manuscript.
Funding
This research was funded by the Ministry of Agriculture of the Czech Republic (project number Q J1520037–„Increasing the adaptability of pine (Pinus sylvestris L.) silviculture in the conditions of the Czech Republic“) and by Internal Grant Agency of the Faculty of Forestry and Wood Sciences (project A19/07).
Acknowledgments
We would like to express our thanks to the Faculty of Forestry and Wood Sciences of the Czech University of Life Sciences Prague.
Conflicts of Interest
The authors declare no conflict of interest.
Appendix A
Table A1.
Duncan’s multiple range test for ring width.
Table A1.
Duncan’s multiple range test for ring width.
| B 24 | B 34 | B 24 | B 34 | A 24 | A 34 | A 24 | A 34 | |||
|---|---|---|---|---|---|---|---|---|---|---|
| MS = 29313 | L1 | L2 | L1 | L2 | L1 | L2 | L1 | L2 | ||
| DF = 188 | S | S | C | C | S | S | C | C | ||
| B 24 | L1 | S | ||||||||
| B 34 | L2 | S | 0.032 * | |||||||
| B 24 | L1 | C | 0.000 * | 0.011 * | ||||||
| B 34 | L2 | C | 0.000 * | 0.000 * | 0.149 * | |||||
| A 24 | L1 | S | 0.000 * | 0.000 * | 0.000 * | 0.000 * | ||||
| A 34 | L2 | S | 0.000 * | 0.000 * | 0.000 * | 0.000 * | 0.929 | |||
| A 24 | L1 | C | 0.104 | 0.535 | 0.000 * | 0.000 * | 0.000 * | 0.000 * | ||
| A 34 | L2 | C | 0.618 | 0.010 * | 0.000 * | 0.000 * | 0.000 * | 0.000 * | 0.043 * | |
* Values are significant at p < 0.05. Error: Between MS = mean squares, DF = degrees of freedom. L = Locality, S = Shelterwood, C = Clear-cutting, A = After felling, B = Before felling.
Table A2.
Duncan’s multiple range test for latewood percentage.
Table A2.
Duncan’s multiple range test for latewood percentage.
| B 24 | B 34 | A 24 | A 34 | B 24 | B 34 | A 24 | A 34 | |||
|---|---|---|---|---|---|---|---|---|---|---|
| MS = 246.53 | L1 | L2 | L1 | L2 | L1 | L2 | L1 | L42 | ||
| DF = 501 | S | S | S | S | C | C | C | C | ||
| B 24 | L1 | S | ||||||||
| B 34 | L2 | S | 0.824 | |||||||
| A 24 | L1 | S | 0.000 * | 0.000 * | ||||||
| A 34 | L2 | S | 0.000 * | 0.000 * | 0.818 | |||||
| B 24 | L1 | C | 0.000 * | 0.000 * | 0.003 * | 0.004 * | ||||
| B 34 | L2 | C | 0.000 * | 0.000 * | 0.896 | 0.907 | 0.004 * | |||
| A 24 | L1 | C | 0.707 | 0.577 | 0.000 * | 0.000 * | 0.000 * | 0.000 * | ||
| A 34 | L2 | C | 0.006 * | 0.008 * | 0.000 * | 0.000 * | 0.000 * | 0.000 * | 0.002 * | |
* Values are significant at p < 0.05. Error: Between MS = mean squares, DF = degrees of freedom. L = Locality, S = Shelterwood, C = Clear-cutting, A = After felling, B = Before felling.
Table A3.
Duncan’s multiple range test for latewood density.
Table A3.
Duncan’s multiple range test for latewood density.
| B 24 | B 34 | B 24 | B 34 | A 24 | A 34 | A 24 | A 34 | |||
|---|---|---|---|---|---|---|---|---|---|---|
| MS = 246.53 | L1 | L2 | L1 | L2 | L1 | L2 | L1 | L42 | ||
| DF = 501 | S | S | S | S | C | C | C | C | ||
| B 24 | L1 | S | ||||||||
| B 34 | L2 | S | 0.000 * | |||||||
| B 24 | L1 | S | 0.000 * | 0.202 | ||||||
| B 34 | L2 | S | 0.000 * | 0.000 * | 0.017 * | |||||
| A 24 | L1 | C | 0.049 * | 0.030 * | 0.000 * | 0.000 * | ||||
| A 34 | L2 | C | 0.000 * | 0.914 | 0.194 | 0.000 * | 0.030 * | |||
| A 24 | L1 | C | 0.000 * | 0.034 * | 0.341 | 0.124 | 0.000 * | 0.031 * | ||
| A 34 | L2 | C | 0.000 * | 0.000 * | 0.020 * | 0.993 | 0.000 * | 0.000 * | 0.146 | |
* Values are significant at p < 0.05. Error: Between MS = mean squares, DF = degrees of freedom. L = Locality, S = Shelterwood, C = Clear-cutting, A = After felling, B = Before felling.
Table A4.
Duncan’s multiple range test for earlywood density.
Table A4.
Duncan’s multiple range test for earlywood density.
| B 24 | B 34 | A 24 | A 34 | B 24 | B 34 | A 24 | A 34 | |||
|---|---|---|---|---|---|---|---|---|---|---|
| MS = 2840.2 | L1 | L2 | L1 | L2 | L1 | L2 | L1 | L42 | ||
| DF = 188 | S | S | S | S | C | C | C | C | ||
| B 24 | L1 | S | ||||||||
| B 34 | L2 | S | 0.008 * | |||||||
| A 24 | L1 | S | 0.000 * | 0.009 * | ||||||
| A 34 | L2 | S | 0.000 * | 0.195 | 0.158 | |||||
| B 24 | L1 | C | 0.010 * | 0.976 | 0.007 * | 0.162 | ||||
| B 34 | L2 | C | 0.009 * | 0.991 | 0.008 * | 0.182 | 0.983 | |||
| A 24 | L1 | C | 0.362 | 0.071 | 0.000 * | 0.002 * | 0.084 * | 0.030 * | ||
| A 34 | L2 | C | 0.251 | 0.111 | 0.000 * | 0.005 * | 0.140 | 0.130 | 0.755 | |
* Values are significant at p < 0.05. Error: Between MS = mean squares, DF = degrees of freedom. L = Locality, S = Shelterwood, C = Clear-cutting, A = After felling, B = Before felling.
Table A5.
Duncan’s multiple range test for annual ring density.
Table A5.
Duncan’s multiple range test for annual ring density.
| B 24 | B 34 | A 24 | A 34 | B 24 | B 34 | A 24 | A 34 | |||
|---|---|---|---|---|---|---|---|---|---|---|
| MS = 1575.2 | L1 | L2 | L1 | L2 | L1 | L2 | L1 | L42 | ||
| DF = 188 | S | S | S | S | C | C | C | C | ||
| B 24 | L1 | S | ||||||||
| B 34 | L2 | S | 0.004 * | |||||||
| A 24 | L1 | S | 0.976 | 0.004 * | ||||||
| A 34 | L2 | S | 0.351 | 0.043 * | 0.368 | |||||
| B 24 | L1 | C | 0.000 * | 0.000 * | 0.000 * | 0.000 * | ||||
| B 34 | L2 | C | 0.884 | 0.003 | 0.899 * | 0.328 * | 0.000 * | |||
| A 24 | L1 | C | 0.018 * | 0.565 | 0.019 * | 0.120 | 0.000 * | 0.016 * | ||
| A 34 | L2 | C | 0.000 * | 0.000 * | 0.000 * | 0.000 * | 0.000 * | 0.000 * | 0.000 * | |
* Values are significant at p < 0.05. Error: Between MS = mean squares, DF = degrees of freedom. L = Locality, S = Shelterwood, C = Clear-cutting, A = After felling, B = Before felling.
Table A6.
Duncan’s multiple range test for ring width.
Table A6.
Duncan’s multiple range test for ring width.
| MS = 0.59824 | L1 | L1 | L2 | L2 | |
|---|---|---|---|---|---|
| DF = 192 | S | C | S | C | |
| L1 | S | ||||
| L1 | C | 0.276 | |||
| L2 | S | 0.526 | 0.102 | ||
| L2 | C | 0.952 | 0.271 | 0.518 | |
Error: Between MS = mean squares, DF = degrees of freedom. L = Locality, S = Shelterwood, C = Clear-cutting.
Table A7.
Duncan’s multiple range test for latewood percentage.
Table A7.
Duncan’s multiple range test for latewood percentage.
| MS = 72.995 | L1 | L1 | L2 | L2 | |
|---|---|---|---|---|---|
| DF = 192 | S | C | S | C | |
| L1 | S | ||||
| L1 | C | 0.073 | |||
| L2 | S | 0.599 | 0.025 * | ||
| L2 | C | 0.744 | 0.117 | 0.427 | |
* Values are significant at p < 0.05. Error: Between MS = mean squares, DF = degrees of freedom. L = Locality, S = Shelterwood, C = Clear-cutting.
Table A8.
Duncan’s multiple range test for latewood density.
Table A8.
Duncan’s multiple range test for latewood density.
| MS = 3965.1 | L1 | L1 | L2 | L2 | |
|---|---|---|---|---|---|
| DF = 192 | S | C | S | C | |
| L1 | S | ||||
| L1 | C | 0.006 * | |||
| L2 | S | 0.000 * | 0.210 | ||
| L2 | C | 0.000 * | 0.278 | 0.929 | |
* Values are significant at p < 0.05. Error: Between MS = mean squares, DF = degrees of freedom. L = Locality, S = Shelterwood, C = Clear-cutting.
Table A9.
Duncan’s multiple range test for earlywood density.
Table A9.
Duncan’s multiple range test for earlywood density.
| MS = 514.93 | L1 | L2 | L1 | L2 | |
|---|---|---|---|---|---|
| DF = 192 | S | S | C | C | |
| L1 | S | ||||
| L2 | S | 0.208 | |||
| L1 | C | 0.467 | 0.062 | ||
| L2 | C | 0.965 | 0.221 | 0.462 | |
Error: Between MS = mean squares, DF = degrees of freedom. L = Locality, S = Shelterwood, C = Clear-cutting.
Table A10.
Duncan’s multiple range test for annual ring density
Table A10.
Duncan’s multiple range test for annual ring density
| MS = 2437.1 | L1 | L1 | L2 | L2 | |
|---|---|---|---|---|---|
| DF = 192 | S | C | S | C | |
| L1 | S | ||||
| L1 | C | 0.399 | |||
| L2 | S | 0.006 * | 0.000 * | ||
| L2 | C | 0.021 * | 0.002 * | 0.599 | |
* Values are significant at p < 0.05. Error: Between MS = mean squares, DF = degrees of freedom. L = Locality, S = Shelterwood, C = Clear-cutting.
References
- Ministry of Agriculture. Zpráva o Stavu Lesa a Lesního Hospodářství ČR v Roce 2018; (Report on the State of Forest and Forestry in the Czech Republic 2018); Ministry of Agriculture: Prague, Czech Republic, 2019.
- Vincent, M.; Krause, C.; Koubaa, A. Influence of Stem Taper on the Yield of Black Spruce Stands and Trees Following Commercial Thinning. Forests 2019, 10, 1024. [Google Scholar] [CrossRef]
- Bílek, L.; Zeidler, A.; Pulkrab, K.; Ulbrichová, I.; Vacek, S.; Borůvka, V.; Vítámvás, J.; Remeš, J.; Vacek, Z.; Sloup, R. Pěstební a Ekonomické Aspekty Clonné Obnovy Borovice Lesní. (Silvicultural and Economical Aspects of Shelterwood Regeneration of Scots Pine), 1st ed.; Lesnický Průvodce: Strnady, Czech Republic, 2019; p. 56. [Google Scholar]
- Candel-Pérez, D.; Lo, Y.H.; Blanco, J.; Chiu, C.M.; Camarero, J.; de González, A.; Ester, I.J.; Castill, F. Drought-Induced Changes in Wood Density Are Not Prevented by Thinning in Scots Pine Stands. Forests 2018, 9, 4. [Google Scholar] [CrossRef]
- Tsoumis, G.T. Science and Technology of Wood—Structure, Properties, Utilization, 1st ed.; Van Nostrand Reinhold: New York, NY, USA, 1991; p. 494. [Google Scholar]
- Mäkinen, H.; Hynynen, J. Wood density and tracheid properties of Scots pine: Responses to repeated fertilization and timing of the first commercial thinning. For. Int. J. For. Res. 2014, 87, 437–447. [Google Scholar] [CrossRef]
- Moreno-Fernández, D.; Hevia, A.; Majada, J.; Cañellas, I. Do Common Silvicultural Treatments Affect Wood Density of Mediterranean Montane Pines? Forests 2018, 9, 80. [Google Scholar] [CrossRef]
- Auty, D.; Achim, A.; Macdonald, E.; Cameron, A.D.; Gardiner, B.A. Models for Predicting Clearwood Mechanical Properties of Scots Pine. For. Sci. 2016, 62, 403–413. [Google Scholar] [CrossRef]
- Kollmann, F. Technologie des Holzes und der Holzwerkstoffe; Springer: Berlin/Heidelberg, Germany, 1951; p. 1050. [Google Scholar]
- Torbenson, M.C.A.; Stahle, D.W.; Villanueva Díaz, J.; Cook, E.R.; Griffin, D. The Relationship Between Earlywood and Latewood Ring-Growth Across North America. Tree-Ring Res. 2016, 72, 53–66. [Google Scholar] [CrossRef]
- Peltola, H.; Kilpeläinen, A.; Sauvala, K.; Räisänen, T.; Ikonen, V. Effects of early thinning regime and tree status on the radial growth and wood density of Scots pine. Silva Fennica 2007, 41, 489–505. [Google Scholar] [CrossRef]
- Jelonek, T.; Pazdrowski, W.; Tomczak, A.; Szaban, J. The effect of social position of a tree in the stand and site on wood quality of scots pine (Pinus sylvestris L.). Electron. J. Pol. Agric. Univ. 2008, 10, 2. [Google Scholar]
- Tomczak, A.; Jelonek, T.; Jakubowski, M. Density of scots pine (Pinus sylvestris L.) wood as an indicator of tree resistance to strong winds. Sylwan 2013, 157, 539–545. [Google Scholar]
- Roszyk, E.; Moliński, W.; Kusiak, W.; Prądzyński, W.; Zborowska, M. Physical properties of Scots pine wood from the Notecka Forest. Sylwan 2016, 160, 547–555. [Google Scholar]
- Gryc, V.; Holan, J. Influence of position within the tree stem according to growth-ring width of spruce (Picea abies/L./KARST.) with compression wood. Acta Universitatis Agriculturae et Silviculturae Mendelianae Brunensis 2004, 52, 59–72. [Google Scholar] [CrossRef]
- Zeidler, A.; Šedivka, P. Influence of selected factors on wood density variability in grand fir (Abies grandis/Douglas/Lindl.). Wood Res. 2015, 60, 33–44. [Google Scholar]
- Bouslimi, B.; Koubaa, A.; Bergeron, Y. Intra-Ring Variations and Interrelationships for Selected Wood Anatomical and Physical Properties of Thuja Occidentalis L. Forests 2019, 10, 339. [Google Scholar] [CrossRef]
- Požgaj, A.; Chovanec, D.; Kurjatko, S.; Babiak, M. Štruktúra a Vlastnosti Dreva (Structure and Properties of Wood), 1st ed.; Príroda: Bratislava, Slovakia, 1993; p. 485. [Google Scholar]
- Kretschmann, D.E.; Moody, R.C.; Pellerin, R.F.; Bendtsen, B.A.; Cahill, J.M.; Mcalister, R.H.; Sharp, D.W. Properties of Juvenile Wood. Techline—Properties and Use of Wood, Composites, and Fiber Products. For. Prod. Lab. 1993, 6–7. [Google Scholar]
- Zobel, B.J.; Sprague, J.R. Juvenile Wood in Forest Trees; Springer: Berlin, Germany, 1998; p. 300. [Google Scholar]
- Macdonald, E.; Hubert, J. A review of the effects of silviculture on timber quality of Sitka spruce. Forestry 2002, 75, 107–138. [Google Scholar] [CrossRef]
- Zobel, B.J.; Buijtenen, J.P. Wood Variation: Its Causes and Control, 1st ed.; Springer: Berlin/Heidelberg, Germany, 1989; p. 363. [Google Scholar]
- Adams, D.L.; Hodges, J.D.; Loftis, D.L.; Long, J.N.; Seymour, R.S.; Helms, J.A. Silviculture Terminology with Appendix of Draft Ecosystem Management Terms. Silviculture Instructors Subgroup of the Silviculture Working Group of the Society of American Foresters. 1994. Available online: http://oak.snr.missouri.edu/silviculture/silviculture_terminology.htm (accessed on 3 August 2020).
- Viewegh, J.; Kusbach, A.; Mikeska, M. Czech forest ecosystem classification. J. For. Sci. 2012, 49, 74–82. [Google Scholar] [CrossRef]
- Jelonek, T.; Pazdrowski, W.; Tomczak, A.; Grzywiński, W. Biomechanical stability of pines growing on former farmland in northern Poland. Wood Res. 2012, 57, 31–44. [Google Scholar]
- Tomczak, A.; Jelonek, T. Radial variation in the wood properties of Scots pine (Pinus sylvestris L.) grown on former agricultural soil. For. Res. Pap. 2013, 74, 171–177. [Google Scholar] [CrossRef]
- Koubaa, A.; Isabel, N.; Zhang, S.Y.; Beaulieu, J.; Bousquet, J. Transition from juvenile to mature wood in black spruce (Picea mariana (Mill.) B.S.P.). Wood Fib. Sci. 2005, 37, 445–455. [Google Scholar]
- Peltola, H.; Gort, J.; Pulkkinen, P.; Zubizarreta Gerendiain, A.; Karppinen, J.; Ikonen, V.P. Differences in growth and wood density traits in Scots pine (Pinus sylvestris L.) genetic entries grown at different spacing and sites. Silva Fennica 2009, 43, 339–354. [Google Scholar] [CrossRef]
- Peltola, H.; Miina, J.; Rouvinen, I.; Kellomäki, S. Effect of early thinning on the diameter growth distribution along the stem of Scots pine. Silva Fennica 2002, 36, 813–825. [Google Scholar] [CrossRef]
- Aleinikovas, M. Effect of the mean diameter increment on the pine wood mechanical−physical properties in Lithuania. Baltic Forestry 2002, 13, 103−108. [Google Scholar]
- Mörling, T. Evaluation of annual ring width and ring density development following fertilization and thinning of Scots pine. Ann. For. Sci. 2002, 59, 29–40. [Google Scholar] [CrossRef]
- Jaakkola, T.; Mäkinen, H.; Saranpää, P. Wood density in Norway spruce: Changes with thinning intensity and tree age. Can. J. For. Res. 2005, 35, 1767–1778. [Google Scholar] [CrossRef]
- Wodzicki, T.J. Natural factors affecting wood structure. Wood Sci. Technol. 2001, 3, 5–26. [Google Scholar] [CrossRef]
- Nicholls, J.W.P.; Brown, A.G. The relationship between ring width and wood characteristics in double-stemmed trees of radiata pine. N. Z. J. For. Sci. 1973, 4, 105–111. [Google Scholar]
- Fritts, H.C.; Vaganov, E.A.; Sviderskaya, I.V.; Shashkin, A.V. Climatic variation and tree-ring structure in conifers: Empirical and mechanistic models of tree-ring width, number of cells, cell size, cell-wall, thickness and wood density. Clim. Res. 1991, 1, 97–116. [Google Scholar] [CrossRef]
- Ivković, M.; Gapare, W.; Wu, H.; Espinoza, S.; Rozenberg, P. Influence of cambial age and climate on ring width and wood density in Pinus radiata families. Ann. For. Sci. 2013, 70, 525–534. [Google Scholar] [CrossRef]
- Kučera, B. A hypothesis relating current annual height increment to juvenile wood formation in Norway Spruce. Wood Fiber Sci. 1992, 26, 152–167. [Google Scholar]
- Barnett, J.R.; Jeronimidis, G. Wood Quality and Its Biological Basis; Blackwell: Hoboken, NJ, USA, 2003; p. 226. ISBN 1–84127–319–8. [Google Scholar]
- Bembenek, M.; Giefing, D.F.; Jelonek, T.; Karaszewski, Z.; Kruszyk, R.; Tomczak, A.; Woszczyk, M.; Mederski, P.S. Carbon Content in Juvenile and Mature Wood of Scots Pine (Pinus sylvestris L.). Balt. For. 2015, 21, 279–284. [Google Scholar]
- Yang, K.C.; Chen, Y.S.; Chiu, C. Formation and vertical distribution of juvenilie and mature wood in single stem of Cryptomeria Japonica. Can. J. For. Res. 1994, 24, 969–975. [Google Scholar] [CrossRef]
- Hébert, F.; Krause, C.; Plourde, P.Y.; Achim, A.; Prégent, G.; Ménétrier, J. Effect of Tree Spacing on Tree Level Volume Growth, Morphology, and Wood Properties in a 25-Year-Old Pinus banksiana Plantation in the Boreal Forest of Quebec. Forests 2016, 7, 276. [Google Scholar]
- Eriksson, D.; Lindber, H.; Bergsten, U. Influence of silvicultural regime on wood structure characteristics and mechanical properties of clear wood in Pinus sylvestris. Silva Fennica 2006, 40, 743–762. [Google Scholar] [CrossRef]
- Pikk, J.; Kask, R. Mechanical properties of Juvenile Wood of Scots Pine (Pinus sylvestris L.) On Myrtillus Forest Site Type. Balt. For. 2004, 10, 72–78. [Google Scholar]
- Vavrčík, H.; Horn, K. Density of juvenile and mature wood of selected coniferous species. J. For. Sci. 2011, 57, 123–130. [Google Scholar]
- Mäkinen, H.; Hynynen, J.; Penttilä, T. Effect of thinning on wood density and tracheid properties of Scots pine on drained peatland stands. Forestry 2015, 88, 359–367. [Google Scholar] [CrossRef]
- Tong, Q.; Tanguay, F.; Zhang, S. Impact of commercial thinning on annual radial growth and wood density in plantation-grown black spruce. Wood Fiber Sci. 2011, 43, 311–325. [Google Scholar]
© 2020 by the authors. Licensee MDPI, Basel, Switzerland. This article is an open access article distributed under the terms and conditions of the Creative Commons Attribution (CC BY) license (http://creativecommons.org/licenses/by/4.0/).