Assessing Post-Harvest Regeneration in Northern Hardwood and Mixedwood Stands: Evolution of Species Composition and Dominance within 15-Year-Old Group Selection and Patch Cutting
Abstract
1. Introduction
2. Materials and Methods
2.1. Description of Study Sites
2.2. Sampling Design
2.3. Regeneration Indices
2.4. Measuring Regeneration Success
2.5. Statistical Analyses
3. Results
3.1. Regeneration Success
3.1.1. Stocking
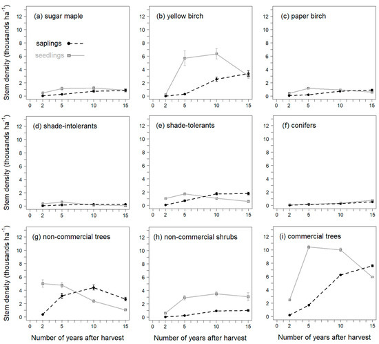
3.1.2. Seedling and Sapling Density
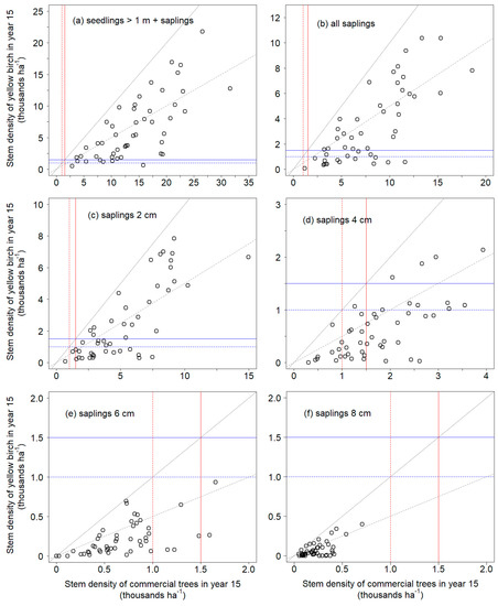
3.2. Correlations
3.3. Two-Way Relationships
3.4. Model Selection
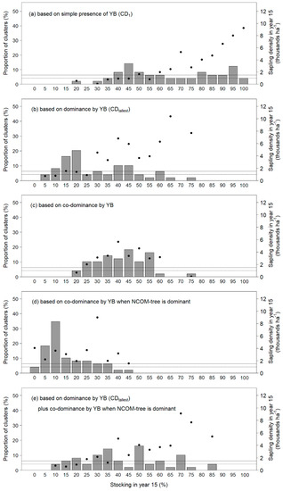
3.5. Contingency Analysis of Vertical Dominance
4. Discussion
4.1. Regeneration Success after 15 Years
4.2. Predicting Future Stand Composition
5. Conclusions
Supplementary Materials
Author Contributions
Funding
Acknowledgments
Conflicts of Interest
References
- Coates, K.D.; Burton, P.J. A gap-based approach for development of silvicultural systems to address ecosystem management objectives. For. Ecol. Manag. 1997, 99, 337–354. [Google Scholar] [CrossRef]
- Hupperts, S.F.; Dickinson, Y.L.; Webster, C.R.; Kern, C.C. Promoting structural and species diversity in Great Lakes northern hardwoods: A conceptual model and its application. For. Int. J. For. Res. 2018, 92, 16–25. [Google Scholar] [CrossRef]
- Puettmann, K.J.; Wilson, S.M.; Baker, S.C.; Donoso, P.J.; Drössler, L.; Amente, G.; Harvey, B.D.; Knoke, T.; Lu, Y.; Nocentini, S.; et al. Silvicultural alternatives to conventional even-aged forest management—What limits global adoption? For. Ecosyst. 2015, 2, 8. [Google Scholar] [CrossRef]
- Mitchell, S.J. Wind as a natural disturbance agent in forests: A synthesis. For. Int. J. For. Res. 2012, 86, 147–157. [Google Scholar] [CrossRef]
- Peterson, C.J.; Krueger, L.M.; Royo, A.A.; Stark, S.; Carson, W.P. Disturbance size and severity covary in small and mid-size wind disturbances in Pennsylvania northern hardwoods forests. For. Ecol. Manag. 2013, 302, 273–279. [Google Scholar] [CrossRef]
- Runkle, J.R.; Yetter, T.C. Treefalls revisited: Gap dynamics in the southern appalachians. Ecology 1987, 68, 417–424. [Google Scholar] [CrossRef]
- Canham, C.D. Growth and canopy architecture of shade-tolerant trees: Response to canopy gaps. Ecology 1988, 69, 786–795. [Google Scholar] [CrossRef]
- Woods, K.D. Intermediate disturbance in a late-successional hemlock-northern hardwood forest. J. Ecol. 2004, 92, 464–476. [Google Scholar] [CrossRef]
- Gasser, D.; Messier, C.; Beaudet, M.; Lechowicz, M.J. Sugar maple and yellow birch regeneration in response to canopy opening, liming and vegetation control in a temperate deciduous forest of Quebec. For. Ecol. Manag. 2010, 259, 2006–2014. [Google Scholar] [CrossRef]
- Hanson, J.J.; Lorimer, C.G. Forest structure and light regimes following moderate wind storms: Implications for multi-cohort management. Ecol. Appl. 2007, 17, 1325–1340. [Google Scholar] [CrossRef]
- Bannon, K.; Delagrange, S.; Bélanger, N.; Messier, C. American beech and sugar maple sapling relative abundance and growth are not modified by light availability following partial and total canopy disturbances. Can. J. For. Res. 2015, 45, 632–638. [Google Scholar] [CrossRef]
- Burns, R.M.; Honkala, B.H. Silvics of North America: 2 Hardwoods; Department of Agriculture, Forest Service: Washington, DC, USA, 1990; Volume 2, p. 877. [Google Scholar]
- Jones, T.A.; Domke, G.M.; Thomas, S.C. Canopy tree growth responses following selection harvest in seven species varying in shade tolerance. Can. J. For. Res. 2009, 39, 430–440. [Google Scholar] [CrossRef]
- McClure, J.W.; Lee, T.D. Small-scale disturbance in a northern hardwoods forest: Effects on tree species abundance and distribution. Can. J. For. Res. 1993, 23, 1347–1360. [Google Scholar] [CrossRef]
- Godman, R.M.; Yawney, H.W.; Tubbs, C.H. Acer Saccharum Marsh Sugar Maple. In Silvics of North America, 654th ed.; Burns, R.M., Honkala, B.H., Eds.; Department of Agriculture, Forest Service: Washington, DC, USA, 1990; Volume 2, pp. 78–91. [Google Scholar]
- Nolet, P.; Delagrange, S.; Bouffard, D.; Doyon, F.; Forget, E. The successional status of sugar maple (Acer saccharum), revisited. Ann. For. Sci. 2008, 65, 1–10. [Google Scholar] [CrossRef]
- Raymond, P.; Royo, A.A.; Prévost, M.; Dumais, D. Assessing the single-tree and small group selection cutting system as intermediate disturbance to promote regeneration and diversity in temperate mixedwood stands. For. Ecol. Manag. 2018, 430, 21–32. [Google Scholar] [CrossRef]
- Reuling, L.F.; D’Amato, A.W.; Palik, B.J.; Martin, K.J.; Fassnacht, D.S.A. Initial tree regeneration response to natural-disturbance-based silviculture in second-growth northern hardwood forests. Can. J. For. Res. 2019, 49, 628–639. [Google Scholar] [CrossRef]
- Webster, C.R.; Lorimer, C.G. Single-tree versus group selection in hemlock-hardwood forests: Are smaller openings less productive? Can. J. For. Res. 2002, 32, 591–604. [Google Scholar] [CrossRef]
- Angers, V.A.; Messier, C.; Beaudet, M.; Leduc, A. Comparing composition and structure in old-growth and harvested (selection and diameter-limit cuts) northern hardwood stands in Quebec. For. Ecol. Manag. 2005, 217, 275–293. [Google Scholar] [CrossRef]
- Bolton, N.W.; D’Amato, A.W. Regeneration responses to gap size and coarse woody debris within natural disturbance-based silvicultural systems in northeastern Minnesota, USA. For. Ecol. Manag. 2011, 262, 1215–1222. [Google Scholar] [CrossRef]
- Webster, C.R.; Jensen, N.R. A shift in the gap dynamics of Betula alleghaniensis in response to single-tree selection. Can. J. For. Res. 2007, 37, 682–689. [Google Scholar] [CrossRef]
- Poznanovic, S.K.; Poznanovic, A.J.; Webster, C.R.; Bump, J.K. Spatial patterning of underrepresented tree species in canopy gaps 9years after group selection cutting. For. Ecol. Manag. 2014, 331, 1–11. [Google Scholar] [CrossRef]
- Raymond, P.; Bédard, S.; Roy, V.; Larouche, C.; Tremblay, S. The Irregular Shelterwood System: Review, Classification, and Potential Application to Forests Affected by Partial Disturbances. J. For. 2009, 107, 405–413. [Google Scholar]
- Buda, N.J.; White, R.G. Forest Regeneration Standards in Ontario: A Historical Perspective; Ontario Ministry of Natural Resources, Northwest Science & Information: Thunder Bay, ON, Canada, 2007; pp. 1–24. [Google Scholar]
- MRNFP. Manuel D’aménagement Forestier; Direction de la Planification et des Communications, Ministère des Ressources Naturelles, de la Faune et des Parcs, Gouvernement du Québec: Québec, QC, Canada, 2003; p. 245.
- Brand, D.G.; Leckie, D.G.; Cloney, E.E. Forest regeneration surveys: Design, data collection, and analysis. For. Chron. 1991, 67, 649–657. [Google Scholar] [CrossRef][Green Version]
- Stein, W.I. Regeneration Surveys and Evaluation. In Reforestation Practices in Southwestern Oregon and Northern California; Hobbs, S.D., Ed.; Forest Research Laboratory, Oregon State University: Corvallis, OR, USA, 1992; Available online: https://ir.library.oregonstate.edu/downloads/3r074v462 (accessed on 7 July 2020).
- Yang, Y.; Huang, S.; Dick Dempster, W.R. Percent stocking models for four major Alberta tree species. For. Int. J. For. Res. 2008, 81, 599–615. [Google Scholar] [CrossRef]
- Bonham, C.D. Measurements for Terrestrial Vegetation, 2nd ed.; John Wiley & Sons, Ltd.: Hoboken, NJ, USA, 2013; p. 246. [Google Scholar] [CrossRef]
- Raunkiær, C.C. The Life Forms of Plants and Statistical Plant Geography; Oxford University Press: Oxford, UK, 1934; p. 632. [Google Scholar]
- Leak, W.B. Effects of Weed Species on Northern Hardwood Regeneration in New Hampshire. North. J. Appl. For. 1988, 5, 235–237. [Google Scholar] [CrossRef]
- Hosie, R.C. Forest Regeneration in Ontario Based on a Review of Surveys Conducted in the Province during the Period 1918–1951; University of Toronto Press: Toronto, ON, Canada, 1953. [Google Scholar]
- Leak, W.B.S.; Dale, S.; DeBald, P.S. Silvicultural Guide for Northern Harwood Types in the Northeast (Revised); Departement of Agriculture, Forest Service, Northeastern Forest Experimental Station: Broomall, PA, USA, 1987; p. 36.
- Farnden, C. An analysis framework for linking regeneration standards to desired future forest conditions. For. Chron. 2009, 85, 285–292. [Google Scholar] [CrossRef]
- Farnden, C. Observations on relationships between regeneration stocking and yield. For. Ecol. Manag. 2010, 260, 1507–1515. [Google Scholar] [CrossRef]
- Leak, W.B. Accuracy of Regeneration Surveys in New England Northern Hardwoods. North. J. Appl. For. 2007, 24, 227–229. [Google Scholar] [CrossRef]
- Halpin, C.R.; Lorimer, C.G.; Hanson, J.J.; Palik, B.J. Predicted long-term effects of group selection on species composition and stand structure in northern hardwood forests. For. Ecol. Manag. 2017, 400, 677–691. [Google Scholar] [CrossRef]
- Leak, W.B.; Filip, S.M. Thirty-eight years of group selection in New England northern hardwoods. J. For. 1977, 75, 641–643. [Google Scholar]
- Marquis, D.A. Regeneration of Birch and Associated Hardwoods after Patch Cutting; RP-NE-032; Department of Agriculture, Forest Service, Northeastern Forest Experiment Station: Upper Darby, PA, USA, 1965; p. 13.
- Miller, G.W.; Wood, P.B.; Nichols, J.V. Two-Age Silviculture: An Innovative tool for Enhancing Species Diversity and Vertical Structure in Appalachian Hardwoods. In Forest Health through Silviculture: Proceedings of the 1995 National Silviculture Workshop; US Department of Agriculture, Forest Service, Rocky Mountain Forest and Range Experiment Station: Fort Collins, CO, USA, 1995. [Google Scholar]
- Elie, J.-G.; Ruel, J.-C.; Lussier, J.-M. Effect of Browsing, Seedbed, and Competition on the Development of Yellow Birch Seedlings in High-Graded Stands. North. J. Appl. For. 2009, 26, 99–105. [Google Scholar] [CrossRef]
- Erdmann, G.G. Betula alleghaniensis Britton Yellow Birch. In Silvics of North America, 654th ed.; Burns, R.M., Honkala, B.H., Eds.; U.S. Department of Agriculture, Forest Service: Washington, DC, USA, 1990; Volume 2. [Google Scholar]
- Hatcher, R.J. Yellow birch regeneration on scarified seedbeds under small canopy openings. For. Chron. 1966, 42, 350–358. [Google Scholar] [CrossRef]
- Linteau, A. Factors affecting germination and early survival of yellow birch (Betula lutea Michx) in Quebec. For. Chron. 1948, 24, 27–86. [Google Scholar] [CrossRef]
- Marquis, D.A. Germination and Growth of Paper Birch and Yellow Birch in Simulated Strip Cuttings; U.S. Department of Agriculture, Forest Service, Northeastern Forest Experiment Station: Upper Darby, PA, USA, 1966; p. 19.
- Bédard, S.; DeBlois, J. Effets de trouées sylvicoles sur l’établissement de la régénération d’une érablière à bouleau jaune après cinq ans. Forestière; Direction de la Recherche Forestière, Ed.; Ministère Ressources Naturelles: Quebec, QC, Canada, 2010; p. 28.
- Gauthier, M.-M.; Lambert, M.-C.; Bédard, S. Effects of Harvest Gap Size, Soil Scarification, and Vegetation Control on Regeneration Dynamics in Sugar Maple-Yellow Birch Stands. For. Sci. 2016, 62, 237–246. [Google Scholar] [CrossRef]
- Lorenzetti, F.; Delagrange, S.; Bouffard, D.; Nolet, P. Establishment, survivorship, and growth of yellow birch seedlings after site preparation treatments in large gaps. For. Ecol. Manag. 2008, 254, 350–361. [Google Scholar] [CrossRef]
- Prévost, M.; Raymond, P.; Lussier, J.-M. Regeneration dynamics after patch cutting and scarification in yellow birch—Conifer stands. Can. J. For. Res. 2010, 40, 357–369. [Google Scholar] [CrossRef]
- Régnière, J.; Saint-Amant, R. BioSIM 9: User’s Manual, Natural Resources Canada; C.F.S., Laurentian Forestry Centre: Québec, QC, Canada, 2008; pp. 1–68.
- Beaudet, M.; Bédard, S.; Lambert, M.-C.; Hamel, J. Effets Réels Quinquennaux des Coupes de Jardinage par Trouées et des Coupes de Jardinage Avec Régénération par Parquets Pratiquées de 2000 à 2005 en Forêt Feuillue et Mixte; Gouvernement du Québec, Ministère des Ressources Naturelles, Direction de la Recherche Forestière: Québec, QC, Canada, 2014; p. 41.
- Saucier, J.-P.; Berger, J.-P.; D’Avignon, H.; Racine, P. Le point d’observation écologique; Ministère des Ressources Naturelles, Directions des Stocks Forestiers, Service des Inventaires Forestiers: Québec, QC, Canada, 1994; p. 116.
- Bashant, A.L.; Nyland, R.D.; Engelman, H.M.; Bohn, K.K.; Verostek, J.M.; Donoso, P.J.; Nissen, R.L., Jr. The Role of Interfering Plants in Regenerating Hardwood Stands of Northeastern North America; Maine Agricultural and Forest Experiment Station, The University of Maine: Orono, ME, USA, 2005; p. 66. [Google Scholar]
- Donoso, P.J.; Nyland, R.D. Interference to Hardwood Regeneration in Northeastern North America: The Effects of Raspberries (Rubus spp.) Following Clearcutting and Shelterwood Methods. North. J. Appl. Forest. 2006, 23, 288–296. [Google Scholar] [CrossRef]
- Haig, I.T. The Stocked-Quadrat Method of Sampling Reproduction Stands. J. For. 1931, 29, 747–749. [Google Scholar] [CrossRef]
- Lowdermilk, W.C. A Method for Rapid Surveys of Vegetation. J. For. 1927, 25, 181–185. [Google Scholar] [CrossRef]
- Bohn, K.K.; Nyland, R.D. Forecasting development of understory American beech after partial cutting in uneven-aged northern hardwood stands. For. Ecol. Manag. 2003, 180, 453–461. [Google Scholar] [CrossRef]
- Bretz, F.; Posch, M.; Glimm, E.; Klinglmueller, F.; Maurer, W.; Rohmeyer, K. Graphical approaches for multiple comparison procedures using weighted Bonferroni, Simes, or parametric tests. Biom. J. 2011, 53, 894–913. [Google Scholar] [CrossRef] [PubMed]
- Faraway, J.J. Extending the Linear Model with R: Generalized Linear, Mixed Effects and Nonparametric Regression Models; Chapman & Hall/CRC: Boca Raton, FL, USA, 2006; p. 331. [Google Scholar]
- Strauss, D. The Many Faces of Logistic Regression. Am. Stat. 1992, 46, 321–327. [Google Scholar] [CrossRef]
- Satterthwaite, F.E. An Approximate Distribution of Estimates of Variance Components. Biom. Bull. 1946, 2, 110–114. [Google Scholar] [CrossRef]
- Burnham, K.P.; Anderson, D.R. Model Selection and Multimodel Inference: A Practical Information-Theoretic Approach, 2nd ed.; Springer: New York, NY, USA, 2002; p. 488. [Google Scholar]
- Harrell, F.E., Jr. Package ‘Hmisc’, Version 4.3-0; CRAN: Toronto, ON, Canada, 2019; p. 424. [Google Scholar]
- Bates, D.; Mächler, M.; Bolker, B.; Walker, S. Fitting Linear Mixed-Effects Models Using lme4. J. Stat. Softw. 2015, 67, 1–48. [Google Scholar] [CrossRef]
- Elenitsky, L.M.; Walters, M.B.; Farinosi, E.J. Tree Regeneration Structure Following Beech Bark Disease-Motivated Harvests: Factors Associated with Patterns and Management Implications. Forests 2020, 11, 80. [Google Scholar] [CrossRef]
- Knapp, S.P.; Webster, C.R.; Kern, C.C. Can group selection with legacy retention change compositional trajectories in conventionally managed hardwoods? For. Ecol. Manag. 2019, 448, 174–186. [Google Scholar] [CrossRef]
- Shields, J.M.; Webster, C.R.; Nagel, L.M. Factors influencing tree species diversity and Betula alleghaniensis establishment in silvicultural openings. For. Int. J. For. Res. 2007, 80, 293–307. [Google Scholar] [CrossRef]
- Kelty, M.J.; Nyland, R.D. Regenerating Adirondack Northern Hardwoods By Shelterwood Cutting and Control of Deer Density. J. For. 1981, 79, 22–26. [Google Scholar] [CrossRef]
- Poznanovic, S.K.; Webster, C.R.; Bump, J.K. Maintaining mid-tolerant tree species with uneven-aged forest management: 9-year results from a novel group-selection experiment. For. Int. J. For. Res. 2013, 86, 555–567. [Google Scholar] [CrossRef]
- Shabaga, J.A.; Jones, T.A.; Elliott, K.A. Group-selection silviculture conditionally enhances recruitment of yellow birch in a shade-tolerant hardwood forest. For. Ecol. Manag. 2019, 444, 244–255. [Google Scholar] [CrossRef]
- Raymond, P.; Prévost, M.; Roy, V. Silvicultural options for rehabilitating high-graded mixedwood stands in northeastern North America. For. Ecol. Manag. 2020, 466, 118137. [Google Scholar] [CrossRef]
- Gastaldello, P.; Ruel, J.-C.; Lussier, J.-M. Remise en production des bétulaies jaunes résineuses dégradées: Étude du succès d’installation de la régénération. For. Chron. 2007, 83, 742–753. [Google Scholar] [CrossRef]
- Nyland, R.D.; Bashant, A.L.; Bohn, K.K.; Verostek, J.M. Interference to Hardwood Regeneration in Northeastern North America: Ecological Characteristics of American Beech, Striped Maple, and Hobblebush. North. J. Appl. For. 2006, 23, 53–61. [Google Scholar] [CrossRef]
- Nyland, R.D.; Bashant, A.L.; Heitzman, E.F.; Verostek, J.M. Interference to Hardwood Regeneration in Northeastern North America: Pin Cherry and Its Effects. North. J. Appl. For. 2007, 24, 52–60. [Google Scholar] [CrossRef]
- Kern, C.C.; Reich, P.B.; Montgomery, R.A.; Strong, T.F. Do deer and shrubs override canopy gap size effects on growth and survival of yellow birch, northern red oak, eastern white pine, and eastern hemlock seedlings? For. Ecol. Manag. 2012, 267, 134–143. [Google Scholar] [CrossRef]
- Widen, M.J.; Petras O’Neil, M.A.; Dickinson, Y.L.; Webster, C.R. Rubus persistence within silvicultural openings and its impact on regeneration: The influence of opening size and advance regeneration. For. Ecol. Manag. 2018, 427, 162–168. [Google Scholar] [CrossRef]
- Webster, C.R.; Lorimer, C.G. Minimum opening sizes for canopy recruitment of midtolerant tree species: A retrospective approach. Ecol. Appl. 2005, 15, 1245–1262. [Google Scholar] [CrossRef]
- Leak, W.B. Regeneration of patch harvests in even-aged northern hardwoods in New England. North. J. Appl. For. 2003, 20, 188–189. [Google Scholar]
- McClure, J.; Lee, T.; Leak, W. Gap capture in northern hardwoods: Patterns of establishment and height growth in four species. For. Ecol. Manag. 2000, 127, 181–189. [Google Scholar] [CrossRef]
- Heitzman, E.; Nyland, R.D. Cleaning and early crop-tree release in northern hardwood stands: A review. North. J. Appl. For. 1991, 8, 111–115. [Google Scholar] [CrossRef]








| Species or Species Pool | Common Name | Scientific Name |
|---|---|---|
| SM | Sugar maple | Acer saccharum |
| YB | Yellow birch | Betula alleghaniensis |
| PB | Paper birch | Betula papyrifera |
| INTOL, shade-intolerant, deciduous, commercial tree species | White ash | Fraxinus americana |
| Black ash | Fraxinus nigra | |
| Bigtooth aspen | Populus grandidentata | |
| Trembling aspen | Populus tremuloides | |
| Red oak | Quercus rubra | |
| American basswood | Tillia americana | |
| TOL, shade-tolerant, deciduous, commercial tree species | Red maple | Acer rubrum |
| American beech | Fagus grandifolia | |
| American hop-hornbeam | Ostrya virginiana | |
| CONIF, commercial coniferous tree species | Balsam fir | Abies balsamea |
| American larch | Larix laricina | |
| White spruce | Picea glauca | |
| Black spruce | Picea mariana | |
| Red spruce | Picea rubens | |
| Red pine | Pinus resinosa | |
| White pine | Pinus strobus | |
| Northern white cedar | Thuja occidentalis | |
| Eastern hemlock | Tsuga canadensis | |
| NCOM-tree, non-commercial woody species that can reach tree size | Striped maple | Acer pensylvanicum |
| Mountain maple | Acer spicatum | |
| Pin cherry | Prunus pensylvanica | |
| NCOM-shrub, non-commercial woody species that remain shrub-sized or small trees | Speckled alder | Alnus rugosa |
| Serviceberry | Amelanchier canadensis | |
| Beaked hazel | Corylus cornuta | |
| Choke cherry | Prunus virginiana | |
| Staghorn sumac | Rhus typhina | |
| Willow | Salix spp. | |
| Black elderberry | Sambucus canadensis | |
| Red elderberry | Sambucus pubens | |
| American mountain-ash | Sorbus americana | |
| Canadian yew | Taxus canadensis |
| Acronym | Full Name | Units | Source |
|---|---|---|---|
| BA | Basal area of the target species | m2 ha−1 | |
| BArel | Basal area of the target species Relative to the total basal area of all species combined | % | |
| Stock-x | Stocking based on the presence of at least x stem of the target species, with x being equal to 1, 3, 5 or 10. | % | Beaudet et al., 2014 [52] |
| Stock-x, ≥1m | Stocking based on the presence of at least x stem of the target species, with x being equal to 1, 3, 5 or 10, and only considering stems ≥ 1 m in height | % | Beaudet et al., 2014 [52] |
| Stock-tallest | Stocking based on the target species being the tallest individual | % | Leak, 2007 [37] |
| Hmax | Maximum height, i.e., tallest individual of the target species | cm | |
| Hmaxrel | Maximum height of the target species relative to the maximum height of the tallest other species | % | |
| SIV | Species index value | Unitless, range = 0–1 | Bohn and Nyland, 2003 [58] |
| StD | Stem density of the target species | Stems ha−1 | Leak et al., 1987 [34] |
| %(species) | relative abundance, i.e., abundance of the target species relative to the total abundance of all species combined | % |
| Species | Year | Response Variable | Model | AICc | R2 | p-Value | Explanatory Variables | |||||
|---|---|---|---|---|---|---|---|---|---|---|---|---|
| Stocking | Hmax | StD | % | |||||||||
| 1 Stem | 1 Stem, ≥1 m | Tallest | ||||||||||
| Yellow birch | 2 | Relative basal area in year 15 | 1 | 387.7 | 0.550 | <0.0001 | x | x | x | x *** | x | x |
| 2 | 385.8 | 0.560 | <0.0001 | x | x | x | x *** | x | ||||
| 3 | 384.0 | 0.568 | <0.0001 | x | x | x *** | x | |||||
| 4 | 382.5 | 0.573 | <0.0001 | x (*) | x *** | x | ||||||
| 5 | 381.7 | 0.572 | <0.0001 | x | x *** | |||||||
| 6 | 382.3 | 0.558 | <0.0001 | x *** | ||||||||
| Relative abundance in year 15 | 1 | 382.6 | 0.638 | <0.0001 | x | x | x | x *** | x | x | ||
| 2 | 380.6 | 0.647 | <0.0001 | x | x | x | x *** | x | ||||
| 3 | 378.7 | 0.654 | <0.0001 | x | x | x *** | x | |||||
| 4 | 377.7 | 0.655 | <0.0001 | x | x | x *** | ||||||
| 5 | 377.1 | 0.653 | <0.0001 | x * | x *** | |||||||
| 5 | Relative basal area in year 15 | 1 | 347.1 | 0.804 | <0.0001 | x | x | x | x | x | x ** | |
| 2 | 345.1 | 0.808 | <0.0001 | x | x | x | x | x *** | ||||
| 3 | 344.1 | 0.809 | <0.0001 | x * | x | x | x *** | |||||
| 4 | 343.0 | 0.810 | <0.0001 | x * | x | x *** | ||||||
| 5 | 342.3 | 0.809 | <0.0001 | x * | x *** | |||||||
| Relative abundance in year 15 | 1 | 334.8 | 0.864 | <0.0001 | x | x | x | x | x | x *** | ||
| 2 | 332.8 | 0.866 | <0.0001 | x | x | x | x | x *** | ||||
| 3 | 331.4 | 0.868 | <0.0001 | x * | x | x | x *** | |||||
| 4 | 330.2 | 0.869 | <0.0001 | x * | x | x *** | ||||||
| 5 | 329.8 | 0.868 | <0.0001 | x * | x *** | |||||||
| Species | Year | Response Variable | Model | AIC | R2 | p-Value | Explanatory Variables | |||||
|---|---|---|---|---|---|---|---|---|---|---|---|---|
| Stocking | Hmax | StD | % | |||||||||
| 1 Stem | 1 Stem, ≥1 m | Tallest | ||||||||||
| Sugar maple | 2 | Relative basal area in year 15 | 1 | 333.0 | 0.727 | <0.0001 | x | x | x | x * | x | x |
| 2 | 331.0 | 0.734 | <0.0001 | x | x | x (*) | x * | x | ||||
| 3 | 329.1 | 0.739 | <0.0001 | x | x * | x ** | x | |||||
| 4 | 327.4 | 0.743 | <0.0001 | x * | x *** | x | ||||||
| 5 | 325.7 | 0.747 | <0.0001 | x * | x *** | |||||||
| Relative abundance in year 15 | 1 | 352.1 | 0.700 | <0.0001 | x | x | x | x | x | x | ||
| 2 | 350.2 | 0.706 | <0.0001 | x | x | x | x | x | ||||
| 3 | 348.2 | 0.713 | <0.0001 | x | x | x ** | x | |||||
| 4 | 346.5 | 0.717 | <0.0001 | x | x | x ** | ||||||
| 5 | 345.2 | 0.720 | <0.0001 | x | x *** | |||||||
| 6 | 345.0 | 0.715 | <0.0001 | x *** | ||||||||
| 5 | Relative basal area in year 15 | 1 | 246.9 | 0.953 | <0.0001 | x | x | x | x | x (*) | x *** | |
| 2 | 244.9 | 0.954 | <0.0001 | x | x | x | x (*) | x *** | ||||
| 3 | 243.0 | 0.955 | <0.0001 | x | x | x (*) | x *** | |||||
| 4 | 242.6 | 0.955 | <0.0001 | x | x * | x *** | ||||||
| 5 | 241.2 | 0.955 | <0.0001 | x * | x *** | |||||||
| Relative abundance in year 15 | 1 | 271.2 | 0.943 | <0.0001 | x | x | x * | x | x | x *** | ||
| 2 | 269.2 | 0.944 | <0.0001 | x | x | x ** | x (*) | x *** | ||||
| 3 | 267.9 | 0.944 | <0.0001 | x * | x ** | x | x *** | |||||
| 4 | 268.4 | 0.943 | <0.0001 | x *** | x ** | x *** | ||||||
| Response Variable | Explanatory Variable | DF, Numerator | DF, Denominator | F-Value | p-Value |
|---|---|---|---|---|---|
| Dominance | None (intercept) | 1 | 39.36 | 93.5 | <0.0001 |
| Dominance | Type of opening | 1 | 39.36 | 0.84 | 0.3655 |
| Soil scarification | 2 | 39.61 | 1.87 | 0.1678 | |
| Opening × scarification | 2 | 39.61 | 1.38 | 0.2625 |
| Species | Proportion (%) | ||
|---|---|---|---|
| Year 2 | Year 5 | Year 15 | |
| SM | 9.0 | 5.4 | 6.7 |
| YB | 17.4 | 13.6 | 28.2 |
| INTOL | 13.1 | 12.4 | 14.4 |
| TOL | 11.6 | 9.4 | 12.9 |
| CONIF | 4.6 | 4.6 | 6.2 |
| NCOM-tree | 40.8 | 47.4 | 26.4 |
| NCOM-shrub | 3.5 | 7.1 | 5.3 |
© 2020 by the authors. Licensee MDPI, Basel, Switzerland. This article is an open access article distributed under the terms and conditions of the Creative Commons Attribution (CC BY) license (http://creativecommons.org/licenses/by/4.0/).
Share and Cite
Bilodeau-Gauthier, S.; Bédard, S.; Guillemette, F. Assessing Post-Harvest Regeneration in Northern Hardwood and Mixedwood Stands: Evolution of Species Composition and Dominance within 15-Year-Old Group Selection and Patch Cutting. Forests 2020, 11, 742. https://doi.org/10.3390/f11070742
Bilodeau-Gauthier S, Bédard S, Guillemette F. Assessing Post-Harvest Regeneration in Northern Hardwood and Mixedwood Stands: Evolution of Species Composition and Dominance within 15-Year-Old Group Selection and Patch Cutting. Forests. 2020; 11(7):742. https://doi.org/10.3390/f11070742
Chicago/Turabian StyleBilodeau-Gauthier, Simon, Steve Bédard, and François Guillemette. 2020. "Assessing Post-Harvest Regeneration in Northern Hardwood and Mixedwood Stands: Evolution of Species Composition and Dominance within 15-Year-Old Group Selection and Patch Cutting" Forests 11, no. 7: 742. https://doi.org/10.3390/f11070742
APA StyleBilodeau-Gauthier, S., Bédard, S., & Guillemette, F. (2020). Assessing Post-Harvest Regeneration in Northern Hardwood and Mixedwood Stands: Evolution of Species Composition and Dominance within 15-Year-Old Group Selection and Patch Cutting. Forests, 11(7), 742. https://doi.org/10.3390/f11070742

