Surface Canopy Position Determines the Photosystem II Photochemistry in Invasive and Native Prosopis Congeners at Sharjah Desert, UAE
Abstract
1. Introduction
2. Materials and Methods
2.1. Study Site, Experimental Setup and Sampling
2.2. Pulse-Modulated Chlorophyll Fluorescence Measurements
2.3. Plant Biomass Determination and Elemental Analysis
2.4. Experimental Design and Statistical Analysis
3. Results
3.1. Effects of Canopy Position (NW and SE) on Photosystem II Photochemistry Traits in P. cineraria and P. juliflora
3.2. Impact of Canopy Position on Fv′/Fm′ and ETR in Leaves of P. juliflora and P. cineraria
3.3. Impact of Canopy Position on qP, NPQ and Thermal Energy Dissipation Attributes
3.4. Effects of Canopy Position (NW and SE) on Leaf Water Content and Leaf Biomass of P. juliflora and P. cineraria
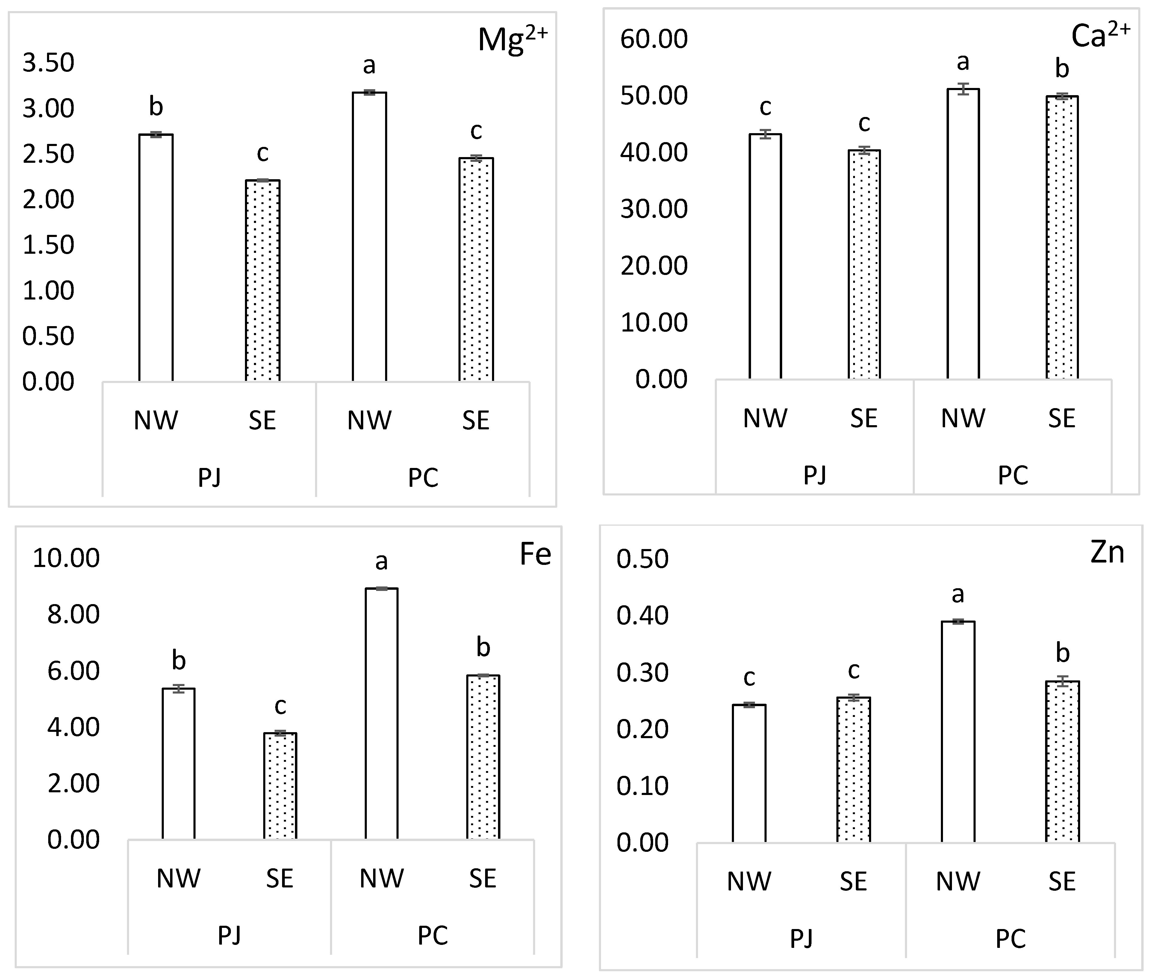
3.5. Effects of Canopy Position (NW and SE) on Carbon Gain and Nitrogen Partitioning
4. Discussion
5. Conclusions
Author Contributions
Funding
Acknowledgments
Conflicts of Interest
References
- Maxwell, K.; Johnson, G. Chlorophyll fluorescence—A practical guide. J. Exp. Bot. 2000, 51, 659–668. [Google Scholar] [CrossRef]
- Baker, N.R.; Oxborough, K. Chlorophyll Fluorescence as a Probe of Photosynthetic Productivity. In Plant Cell Monographs; Springer Science and Business Media LLC: Berlin/Heidelberg, Germany, 2007; Volume 19, pp. 65–82. [Google Scholar]
- Baker, N.R. Chlorophyll fluorescence: A probe of photosynthesis in vivo. Annu. Rev. Plant Biol. 2008, 59, 89–113. [Google Scholar] [CrossRef]
- Ledford, H.K.; Niyogi, K.K. Singlet oxygen and photo-oxidative stress management in plants and algae. Plant Cell Environ. 2005, 28, 1037–1045. [Google Scholar] [CrossRef]
- Demmig-Adams, B.; Adams, W.W. Xanthophyll cycle and light stress in nature: Uniform response to excess direct sunlight among higher plant species. Planta 1996, 198, 460–470. [Google Scholar] [CrossRef]
- Demmig-Adams, B.; Iii, W.W.A.; Barker, D.H.; Logan, B.A.; Bowling, D.R.; Verhoeven, A.S. Using chlorophyll fluorescence to assess the fraction of absorbed light allocated to thermal dissipation of excess excitation. Physiol. Plant. 2008, 98, 253–264. [Google Scholar] [CrossRef]
- Demmig-Adams, B.; Ebbert, V.; Mellman, D.L.; Mueh, K.E.; Schaffer, L.; Funk, C.; Zaeter, C.R.; Admska, I.; Jansson, S.; Adam, W.W. Modulation of PsbS and flexible vs. sustained energy dissipation by light environment in different species. Physiol. Plant 2006, 127, 670–680. [Google Scholar] [CrossRef]
- Munekage, Y.; Hashimoto, M.; Miyake, C.; Tomizawa, K.-I.; Endo, T.; Tasaka, M.; Shikanai, T. Cyclic electron flow around photosystem I is essential for photosynthesis. Nature 2004, 429, 579–582. [Google Scholar] [CrossRef] [PubMed]
- Hussain, M.I.; Reigosa, M.J. A chlorophyll fluorescence analysis of photosynthetic efficiency, quantum yield and fractions of photon energy in PSII antennae of Lactuca sativa exposed to cinnamic acid. Plant Physiol. Biochem. 2011, 49, 1290–1298. [Google Scholar] [CrossRef]
- Hussain, M.I.; Reigosa, M.J. Evaluation of photosynthetic performance and carbon isotope discrimination in perennial ryegrass (Lolium perenne L.) under allelochemicals stress. Ecotoxicology 2017, 26, 613–624. [Google Scholar] [CrossRef]
- Durnford, D.; Price, J.A.; McKim, S.M.; Sarchfield, M.L. Light-harvesting complex gene expression is controlled by both transcriptional and post-transcriptional mechanisms during photoacclimation in Chlamydomonas reinhardtii. Physiol. Plant. 2003, 118, 193–205. [Google Scholar] [CrossRef]
- Kanervo, E.; Lehto, K.; Ståhle, K.; Lehto, H.; Mäenpää, P. Characterization of growth and photosynthesis of Synechocystis sp. PCC 6803 cultures under reduced atmospheric pressures and enhanced CO2 levels. Int. J. Astrobiol. 2005, 4, 97–100. [Google Scholar] [CrossRef]
- Evans, J.R.; Poorter, H. Photosynthetic acclimation of plants to growth irradiance: The relative importance of specific leaf area and nitrogen partitioning in maximizing carbon gain. Plant Cell Environ. 2001, 24, 755–767. [Google Scholar] [CrossRef]
- Walters, R.G. Towards an understanding of photosynthetic acclimation. J. Exp. Bot. 2004, 56, 435–447. [Google Scholar] [CrossRef] [PubMed]
- Mazzanatti, T.; Calzavara, K.A.; Pimenta, J.A.; Oliveira, H.C.; Moreina-Caixeta, H.; Bianchini, E. Light acclimation in nursery: Morphoanatomy and ecophysiology of seedlings of three light-demanding neotropical tree species. Braz. J. Bot. 2016, 39, 19–28. [Google Scholar] [CrossRef]
- Kalaji, H.M.; Goltsev, V.; Bosa, K.; Allakhverdiev, S.I.; Strasser, R.J. Experimental in vivo measurements of light emission in plants: A perspective dedicated to David Walker. Photosynth Res. 2012, 114, 69–96. [Google Scholar] [CrossRef]
- Acheampong, M.A.; Pakshirajan, K.; Annachhatre, A.P.; Lens, P.N. Removal of Cu (II) by biosorption onto coconut shell in fixed-bed column systems. J. Ind. Eng. Chem. 2013, 19, 841–848. [Google Scholar] [CrossRef]
- Shackleton, R.T.; Le Maitre, C.D.; Pasiecznik, M.N.; Richardson, M.D. Prosopis: A global assessment of the biogeography, benefits, impacts and management of one of the world’s worst woody invasive plant taxa. J. Plant Sci. 2014, 6, 1–18. [Google Scholar] [CrossRef]
- Burkart, A. A monograph of the genus Prosopis (Leguminosae subfam. Mimosoideae). Catalogue of the recognized species of Prosopis. J. Amrnold Arbor. 1976, 57, 450–452. [Google Scholar]
- Pasiecznik, N.M.; Felker, P.; Harris, P.J.C.; Harsh, L.N.; Cruz, G.; Tewari, J.C.; Cadoret, K.; Maldonado, L.J. The Prosopis juliflora—Prosopis pallida Complex: A Monograph; HDRA: Coventry, UK, 2001; p. 172. [Google Scholar]
- El-Keblawy, A.A.; Ksiksi, T.S. Artificial forests as conservation sites for the native flora of the UAE. For. Ecol. Manag. 2005, 213, 288–296. [Google Scholar] [CrossRef]
- El-Keblawy, A. Greening Gulf Landscapes. In Environmental Politics in the Middle East; Oxford University Press (OUP): Oxford, UK, 2018; pp. 99–120. [Google Scholar]
- El-Keblawy, A.; Bhatt, A.; Gairolla, S. Storage on maternal plants affects light and temperature requirements during germination in two small seeded halophytes in the Arabian deserts. Pak. J. Bot. 2015, 47, 1701–1708. [Google Scholar]
- El-Keblawy, A.A.; Al-Rawai, A. Impacts of the invasive exotic Prosopis juliflora (Sw.) D.C. on the native flora and soils of the UAE. Plant Ecol. 2006, 190, 23–35. [Google Scholar] [CrossRef]
- Dzikiti, S.; Schachtschneider, K.; Naiken, V.; Gush, M.B.; Moses, G.; Le Maitre, D.; Le Maitre, D.C. Water relations and the effects of clearing invasive Prosopis trees on groundwater in an arid environment in the Northern Cape, South Africa. J. Arid. Environ. 2013, 90, 103–113. [Google Scholar] [CrossRef]
- Elfadl, M.; Luukkanen, O. Field studies on the ecological strategies of Prosopis juliflora in a dryland ecosystem. J. Arid. Environ. 2006, 66, 1–15. [Google Scholar] [CrossRef]
- El-Keblawy, A.A.; Abdelfatah, M.A. Impacts of native and invasive exotic Prosopis congeners on soil properties and associated flora in the arid United Arab Emirates. J. Arid. Environ. 2014, 100, 1–8. [Google Scholar] [CrossRef]
- Van Kleunen, M.; Dawson, W.; Schlaepfer, D.R.; Jeschke, J.M.; Fischer, M. Are invaders different? A conceptual framework of comparative approaches for assessing determinants of invasiveness. Ecol. Lett. 2010, 13, 947–958. [Google Scholar] [CrossRef] [PubMed]
- Callaway, R.M.; Pennings, S.C.; Richards, C.L. Phenotypic plasticity, and interactions among plants. Plant Ecol. 2003, 84, 1115–1128. [Google Scholar] [CrossRef]
- Davidson, A.M.; Jennions, M.D.; Nicotra, A.B. Do invasive species show higher phenotypic plasticity than native species and, if so, is it adaptive? A meta-analysis. Ecol. Lett. 2011, 14, 419–431. [Google Scholar] [CrossRef] [PubMed]
- Ghalambor, C.K.; McKay, J.K.; Carroll, S.P.; Reznick, D. Adaptive versus non-adaptive phenotypic plasticity and the potential for contemporary adaptation in new environments. Funct. Ecol. 2007, 21, 394–407. [Google Scholar] [CrossRef]
- Daehler, C.C. Performance comparisons of co-occurring native and alien invasive plants: Implications for conservation and restoration. Ann. Rev. Ecol. Evolut. 2003, 341, 183–211. [Google Scholar] [CrossRef]
- Oguchi, M.; Kameya, T.; Yagi, S.; Urano, K. Product flow analysis of various consumer durables in Japan. Resour. Conserv. Recycl. 2008, 52, 463–480. [Google Scholar] [CrossRef]
- Shirke, P.A.; Pathre, U. Diurnal and seasonal changes in photosynthesis and photosystem 2 photochemical efficiency in Prosopis juliflora leaves subjected to natural environmental stress. Photosynthetica 2003, 41, 83–89. [Google Scholar] [CrossRef]
- Shirke, P.A. Influence of leaf-to-air vapour pressure deficit (VPD) on the biochemistry and physiology of photosynthesis in Prosopis juliflora. J. Exp. Bot. 2004, 55, 2111–2120. [Google Scholar] [CrossRef]
- Slot, M.; Krause, G.H.; Krause, B.; Hernández, G.G.; Winter, K. Photosynthetic heat tolerance of shade and sun leaves of three tropical tree species. Photosynth. Res. 2018, 141, 119–130. [Google Scholar] [CrossRef]
- Hussain, M.I.; El-Keblawy, A.A.; Tsombou, F.M. Leaf age, canopy position, and habitat affect the carbon isotope discrimination and water-use efficiency in three C3 Leguminous Prosopis species from a hyper-arid climate. Plants 2019, 8, 402. [Google Scholar] [CrossRef] [PubMed]
- Genty, B.; Briantais, J.-M.; Baker, N.R. The relationship between the quantum yield of photosynthetic electron transport and quenching of chlorophyll fluorescence. Biochim. Biophys. Acta Gen. Subj. 1989, 990, 87–92. [Google Scholar] [CrossRef]
- Schreiber, U.; Schliwa, W.; Bilger, U. Continuous recording of photochemical and non-photochemical chlorophyll fluorescence quenching with a new type of modulation fluorometer. Photosynth. Res. 1986, 10, 52–62. [Google Scholar] [CrossRef]
- Hu, Y.; Sun, G.-Y.; Wang, X.-C. Induction characteristics and response of photosynthetic quantum conversion to changes in irradiance in mulberry plants. J. Plant Physiol. 2007, 164, 959–968. [Google Scholar] [CrossRef]
- Zhang, H.; Li, X.; Chen, Y.-H.; Wang, Y.; Li, M.-B.; Yang, R.-Y.; Xu, N.; Sun, G.-Y. A study on the effects of salinity and pH on PSII function in mulberry seedling leaves under saline–alkali mixed stress. Trees 2020, 34, 693–706. [Google Scholar] [CrossRef]
- Abbas, A.; Rubio-Casal, A.E.; De Cires, A.; Grewell, B.; Castillo, J.M. Differential tolerance of native and invasive tree seedlings from arid African deserts to drought and shade. S. Afr. J. Bot. 2019, 123, 228–240. [Google Scholar] [CrossRef]
- Hussain, M.I.; Reigosa, M.J. Seedling growth, leaf water status and signature of stable carbon isotopes in C3 perennials exposed to natural phytochemicals. Aust. J. Bot. 2012, 60, 676. [Google Scholar] [CrossRef]
- Attaelmanan, A.G.; Kawam, M.A. Determining the elemental composition of Calotropis procera using X-ray Analytical Microscopy. X Ray Spectrom. 2012, 41, 284–287. [Google Scholar] [CrossRef]
- Hussain, M.I.; El-Keblawy, A.A.; Elwakil, A.S. Aluminum influence on Calotropis procera seedling growth, nutrient accumulation, and electrochemical attributes. Flora Morphol. Distrib. Funct. Ecol. Plants 2018, 248, 34–42. [Google Scholar] [CrossRef]
- Delatorre, J.; Pinto, M.; Cardemil, L. Effects of water stress and high temperature on photosynthetic rates of two species of Prosopis. J. Photochem. Photobiol. B Boil. 2008, 92, 67–76. [Google Scholar] [CrossRef] [PubMed]
- Teskey, R.O.; Wertin, T.; Bauweraerts, I.; Ameye, M.; McGuire, M.A.; Steppe, K. Responses of tree species to heat waves and extreme heat events. Plant Cell Environ. 2014, 38, 1699–1712. [Google Scholar] [CrossRef] [PubMed]
- Allakhverdiev, S.; Kreslavski, V.D.; Klimov, V.V.; Los, D.A.; Carpentier, R.; Mohanty, P. Heat stress: An overview of molecular responses in photosynthesis. Photosynth. Res. 2008, 98, 541–550. [Google Scholar] [CrossRef] [PubMed]
- Takahashi, S.; Badger, M.R. Photoprotection in plants: A new light on photosystem II damage. Trends Plant Sci. 2011, 16, 53–60. [Google Scholar] [CrossRef]
- Morales, M.S.; Villalba, R.; Grau, H.R.; Villagra, P.E.; Boninsegna, J.A.; Ripalta, A.; Paolini, L. Potencialidad de Prosopis ferox Griseb (Leguminosae, subfamilia: Mimosoideae) para estudios dendrocronológicos en desiertos subtropicales de alta montaña. Rev. Chil. Hist. Nat. 2001, 74, 865–872. [Google Scholar] [CrossRef]
- Schreiber, U.; Berry, J.A. Heat-induced changes of chlorophyll fluorescence in intact leaves correlated with damage of the photosynthetic apparatus. Planta 1977, 136, 233–238. [Google Scholar] [CrossRef]
- Enami, I.; Kitamura, M.; Tomo, T.; Isokawa, Y.; Ohta, H.; Katoh, S. Is the primary cause of thermal inactivation of oxygen evolution in spinach PS II membranes release of the extrinsic 33 kDa protein or of Mn? BBA Bioenerget. 1994, 1186, 52–58. [Google Scholar] [CrossRef]
- Hussain, M.I.; González, L.; Souto, X.; Reigosa, M.J. Ecophysiological responses of three native herbs to phytotoxic potential of invasive Acacia melanoxylon R. Br. Agrofor. Syst. 2011, 83, 149–166. [Google Scholar] [CrossRef]
- Hussain, M.I.; Reigosa, M.J. Allelochemical stress inhibits growth, leaf water relations, PSII photochemistry, non-photochemical fluorescence quenching, and heat energy dissipation in three C3 perennial species. J. Exp. Bot. 2011, 62, 4533–4545. [Google Scholar] [CrossRef] [PubMed]
- Hussain, M.I.; Reigosa, M.J. Characterization of xanthophyll pigments, photosynthetic performance, photon energy dissipation, reactive oxygen species generation and carbon isotope discrimination during artemisinin-induced stress in Arabidopsis thaliana. PLoS ONE 2015, 10, e0114826. [Google Scholar] [CrossRef] [PubMed][Green Version]
- Funk, J.L. Differences in plasticity between invasive and native plants from a low resource environment. J. Ecol. 2008, 96, 1162–1173. [Google Scholar] [CrossRef]
- Leishman, M.R.; Haslehurst, T.; Ares, A.; Baruch, Z. Leaf trait relationships of native and invasive plants: Community- and global-scale comparisons. New Phytol. 2007, 176, 635–643. [Google Scholar] [CrossRef]
- McDowell, S.C.L. Photosynthetic characteristics of invasive and noninvasive species of Rubus (Rosaceae). Am. J. Bot. 2002, 89, 1431–1438. [Google Scholar] [CrossRef]
- Boyd, J.N.; Xu, C.-Y.; Griffin, K.L. Cost-effectiveness of leaf energy and resource investment of invasive Berberis thunbergii and co-occurring native shrubs. Can. J. For. Res. 2009, 39, 2109–2118. [Google Scholar] [CrossRef][Green Version]
- Roháček, K.; Bartak, M. Technique of the Modulated Chlorophyll Fluorescence: Basic Concepts, Useful Parameters, and Some Applications. Photosynthetica 1999, 37, 339–363. [Google Scholar] [CrossRef]
- Adams, W.W.; Demmig-Adams, B. Photoprotection in an ecological context: The remarkable complexity of thermal energy dissipation. New Phytol. 2006, 172, 11–21. [Google Scholar] [CrossRef]
- Jahns, P.; Latowski, D.; Strzalka, K. Mechanism and regulation of the violaxanthin cycle: The role of antenna proteins and membrane lipids. Biochim. Biophys. Acta Bioenerg. 2009, 1787, 3–14. [Google Scholar] [CrossRef]
- Jahns, P.; Holzwarth, A.R. The role of the xanthophyll cycle and of lutein in photoprotection of photosystem II. Biochim. Biophys. Acta Bioenerg. 2012, 1817, 182–193. [Google Scholar] [CrossRef]
- Murchie, E.H.; Niyogi, K.K. Manipulation of photoprotection to improve plant photosynthesis. Plant Physiol. 2010, 155, 86–92. [Google Scholar] [CrossRef] [PubMed]
- Da, Q.; Jin, H.; Li, M.; Feng, D.; Wang, H.-B.; Sun, T.; Wang, M.; Wang, J.; Liu, B. M-type thioredoxins are involved in the xanthophyll cycle and proton motive force to alter NPQ under low-light conditions in Arabidopsis. Plant Cell Rep. 2017, 37, 279–291. [Google Scholar] [CrossRef] [PubMed]
- Zarter, C.R.; Adams, W.W.; Ebbert, V.; Cuthbertson, D.J.; Adamska, I.; Demmig-Adams, B. Winter down-regulation of intrinsic photosynthetic capacity coupled with up-regulation of Elip-like proteins and persistent energy dissipation in a subalpine forest. New Phytol. 2006, 172, 272–282. [Google Scholar] [CrossRef] [PubMed]
- Zarter, C.R.; Demmig-Adams, B.; Ebbert, V.; Adamska, I.; Adams, W.W. Photosynthetic capacity, and light harvesting efficiency during the winter-to-spring transition in subalpine conifers. New Phytol. 2006, 172, 283–292. [Google Scholar] [CrossRef] [PubMed]
- Sveshnikov, D.; Ensminger, I.; Ivanov, A.; Campbell, D.A.; Lloyd, J.; Funk, C.; Hüner, N.P.A.; Oquist, G. Excitation energy partitioning and quenching during cold acclimation in Scots pine. Tree Physiol. 2006, 26, 325–336. [Google Scholar] [CrossRef] [PubMed]
- Porcar-Castell, A. A high-resolution portrait of the annual dynamics of photochemical and non-photochemical quenching in needles of Pinus sylvestris. Physiol. Plant. 2011, 143, 139–153. [Google Scholar] [CrossRef]
- Hendrickson, L.; Furbank, R.T.; Chow, W.S. A simple alternative approach to assessing the fate of absorbed light energy using chlorophyll fluorescence. Photosynth. Res. 2004, 82, 73–81. [Google Scholar] [CrossRef]
- Flexas, J.; Medrano, H. Drought-inhibition of photosynthesis in C3 plants: Stomatal and non-stomatal limitations revisited. Ann. Bot. 2002, 89, 183–189. [Google Scholar] [CrossRef]
- Derks, A.; Schaven, K.; Bruce, D. Diverse mechanisms for photoprotection in photosynthesis. Dynamic regulation of photosystem II excitation in response to rapid environmental change. Biochim. Biophys. Acta Bioenerg. 2015, 1847, 468–485. [Google Scholar] [CrossRef]
- Li, Z.; Ahn, T.K.; Avenson, T.J.; Ballottari, M.; Cruz, J.A.; Kramer, D.M.; Bassi, R.; Fleming, G.R.; Keasling, J.D.; Niyogi, K.K. Lutein Accumulation in the Absence of Zeaxanthin Restores Nonphotochemical Quenching in the Arabidopsis thaliana npq1 Mutant [W][OA]. Plant Cell 2009, 21, 1798–1812. [Google Scholar] [CrossRef]
- Muller, H.S.P.; Thorwirth, S.; Roth, D.A.; Winnewisser, G. The cologne database for molecular spectroscopy, CDMS. Astron. Astrophys. 2001, 370, 49–52. [Google Scholar] [CrossRef]
- Pérez-Bueno, M.L.; Johnson, M.P.; Zia, A.; Ruban, A.V.; Horton, P.; Lett, F.E.B.S. Elevated ΔpH restores rapidly reversible photoprotective energy dissipation in Arabidopsis chloroplasts deficient in lutein and xanthophyll cycle activity. Planta 2008, 582, 1477–1482. [Google Scholar]
- Bollig, C.; Feller, U. Impacts of drought stress on water relations and carbon assimilation in grassland species at different altitudes. Agric. Ecosyst. Environ. 2014, 188, 212–220. [Google Scholar] [CrossRef]
- Bertolde, F.Z.; Almeida, A.-A.F.; Pirovani, C.P.; Gomes, F.P.; Ahnert, D.; Baligar, V.C.; Valle, R.R. Physiological and biochemical responses of Theobroma cacao L. genotypes to flooding. Photosynthetica 2012, 50, 447–457. [Google Scholar] [CrossRef]
- Molina-Montenegro, M.A.; Carrasco-Urra, F.; Rodrigo, C.; Convey, P.; Valladaress, F.; Gianoli, E. Occurrence of the non-native annual bluegrass on the Antartic Mainland and its negative effects on native plants. Conserv. Biol. 2012, 26, 717–723. [Google Scholar] [CrossRef]
- Wingler, A.; Purdy, S.; MacLean, J.A.; Pourtau, N. The role of sugars in integrating environmental signals during the regulation of leaf senescence. J. Exp. Bot. 2005, 57, 391–399. [Google Scholar] [CrossRef]
- Makino, A.; Osmond, B. Effects of nitrogen nutrition on nitrogen partitioning between chloroplasts and mitochondria in pea and wheat. Plant Physiol. 1991, 96, 355–362. [Google Scholar] [CrossRef]
- Theobald, J.C.; Mitchell, R.A.C.; Parry, M.A.J.; Lawlor, D.W. Estimating the Excess Investment in Ribulose-1,5-Bisphosphate Carboxylase/Oxygenase in Leaves of Spring Wheat Grown under Elevated CO2. Plant Physiol. 1998, 118, 945–955. [Google Scholar] [CrossRef]
- Terashima, I.; Araya, T.; Miyazawa, S.-I.; Sone, K.; Yano, S. Construction and maintenance of the optimal photosynthetic systems of the leaf, herbaceous plant and tree: An eco-developmental treatise. Ann. Bot. 2004, 95, 507–519. [Google Scholar] [CrossRef]
- Niinemets, Y.; Anten, N.P.R. Packing the Photosynthetic Machinery: From Leaf to Canopy; Springer Science and Business Media LLC: Berlin/Heidelberg, Germany, 2009; Volume 29, pp. 363–399. [Google Scholar]
- Seneweera, S.; Makino, A.; Hirotsu, N.; Norton, R.; Suzuki, Y. New insight into photosynthetic acclimation to elevated CO2: The role of leaf nitrogen and ribulose-1,5-bisphosphate carboxylase/oxygenase content in rice leaves. Environ. Exp. Bot. 2011, 71, 128–136. [Google Scholar] [CrossRef]









| Sites | MAP (mm) | MAT (°C) | DTR (°C) | RH (%) | SH (%) | WR (m/s) | MAI | PM (mm/Day) |
|---|---|---|---|---|---|---|---|---|
| Jan | 5.13 | 18.3 | 11.8 | 68 | 73 | 2.9 | 0.01 | 3 |
| Feb | 17.59 | 19.2 | 11.8 | 67 | 72 | 3.3 | 0.04 | 3.67 |
| Mar | 13.25 | 22.2 | 12.8 | 63 | 68 | 3.5 | 0.02 | 4.83 |
| Apr | 3.28 | 26.5 | 14.7 | 56 | 76 | 3.5 | 0 | 6.64 |
| May | 0.01 | 30.4 | 15.5 | 52 | 82 | 3.6 | 0 | 8.17 |
| Jun | 0 | 32.9 | 15.1 | 56 | 82 | 3.8 | 0 | 8.6 |
| Jul | 0 | 35 | 13.6 | 55 | 77 | 3.6 | 0 | 8.67 |
| Aug | 0 | 34.7 | 12.9 | 57 | 78 | 3.7 | 0 | 8.29 |
| Sep | 0 | 32.2 | 14.6 | 61 | 83 | 3.3 | 0 | 7.01 |
| Oct | 0.03 | 28.5 | 14.6 | 62 | 85 | 2.9 | 0 | 5.46 |
| Nov | 0.56 | 23.9 | 13.8 | 63 | 85 | 2.8 | 0 | 4.1 |
| Dec | 8.3 | 20.1 | 12.2 | 67 | 76 | 2.8 | 0.03 | 3.11 |
| Mean | 4.01 | 26.99 | 13.62 | 60.58 | 78.08 | 3.31 | 0.01 | 5.96 |
| Variable | Source of Variation | ||
|---|---|---|---|
| Species (S) | Directions (D) | S X D | |
| (a) chlorophyll fluorescence traits | |||
| Fo | 7.627* | 0.891 | 0.036 |
| Fm | 5.396* | 8.739* | 0.002 |
| Fv/Fm | 0 | 17.60** | 0.039 |
| Fv | 5.90* | 10.87* | 0 |
| Fs | 32.68*** | 1.527 | 1.243 |
| Fm′ | 22.84** | 37.91*** | 0.275 |
| ΦPSII | 0.639 | 29.84** | 0.136 |
| Fo′ | 12.3** | 1.368 | 0.001 |
| Fv′ | 21.14** | 37.16*** | 0.276 |
| Fv′/Fm′ | 7.44* | 15.21** | 2.845 |
| qP | 3.593 | 16.94** | 0.238 |
| NPQ | 0.677 | 6.92* | 1.265 |
| HED (1 − qP)/NPQ | 7.48* | 7.45* | 4.02 |
| (b) Leaf nutrient concentrations | |||
| Mg | 4.216* | 12.66** | 0.40 |
| P | 462.35*** | 12.52** | 0.10 |
| S | 203.30*** | 45.41*** | 4.47 |
| Cl | 62.37*** | 45.80*** | 203.21*** |
| K | 2004.45*** | 71.57*** | 200.58*** |
| Ca | 734.01*** | 41.29*** | 5.73* |
| Fe | 154.79*** | 107.27*** | 11.08* |
| Zn | 29.49*** | 8.09* | 13.33*** |
| Tree Side | LFW | LDW | LD:FW | WC | |
|---|---|---|---|---|---|
| South East | 5 ± 1.04a | 2.4 ± 0.1a | 0.48 ± 0.05a | 1.06 ± 0.8a | |
| P. cineraria | North West | 5.3 ± 1.8a | 2.4 ± 0.00a | 0.45 ± 0.01a | 1.13 ± 0.73a |
| P. juliflora | South East | 8 ± 1.00a | 4.6 ± 0.02a | 0.57 ± 0.02a | 1.31 ± 0.3a |
| North West | 7 ± 0.98a | 4.1 ± 0.03a | 0.58 ± 0.02a | 1.21 ± 0.5a |
| Carbon % | Nitrogen % | C/N Ratios | ||||
|---|---|---|---|---|---|---|
| Prosopis spp. | North West | South East | North West | South East | North West | South East |
| PC | 40.8 ± 0.11 bB | 43.1 ± 0.15 aB | 1.5 ± 0.01 aB | 1.5 ± 0.02 aB | 27.2 ± 0.15 bA | 28.7 ± 0.14 aA |
| PJ | 45.3 ± 0.13 bA | 46.2 ± 0.27 aA | 4.35 ± 0.03 aA | 3.7 ± 0.08 bA | 10.41 ± 0.10 bB | 12.9 ± 0.12 aB |
| Species | K | P | S | Cl | ||||
|---|---|---|---|---|---|---|---|---|
| North West | South East | North West | South East | North West | South East | North West | South East | |
| PJ | 16.76 ± 1.18 bA | 24 ± 0.16 aA | 1.73 ± 0.07 aA | 1.59 ± 0.03 bA | 9.46 ± 0.10 bA | 10.48 ± 0.25 aA | 8.36 ± 0.26 aA | 5.061 ± 0.31 bB |
| PC | 6.97 ± 0.72 aB | 5.15 ± 0.32 bB | 0.974 ± 0.12 aB | 0.86 ± 0.06 aB | 8.06 ± 0.28 aB | 8.59 ± 0.33 aB | 4.88± 0.31 aB | 6.059 ± 0.49 aA |
© 2020 by the authors. Licensee MDPI, Basel, Switzerland. This article is an open access article distributed under the terms and conditions of the Creative Commons Attribution (CC BY) license (http://creativecommons.org/licenses/by/4.0/).
Share and Cite
Hussain, M.I.; tsombou, F.M.; El-Keblawy, A. Surface Canopy Position Determines the Photosystem II Photochemistry in Invasive and Native Prosopis Congeners at Sharjah Desert, UAE. Forests 2020, 11, 740. https://doi.org/10.3390/f11070740
Hussain MI, tsombou FM, El-Keblawy A. Surface Canopy Position Determines the Photosystem II Photochemistry in Invasive and Native Prosopis Congeners at Sharjah Desert, UAE. Forests. 2020; 11(7):740. https://doi.org/10.3390/f11070740
Chicago/Turabian StyleHussain, M. Iftikhar, François Mitterand tsombou, and Ali El-Keblawy. 2020. "Surface Canopy Position Determines the Photosystem II Photochemistry in Invasive and Native Prosopis Congeners at Sharjah Desert, UAE" Forests 11, no. 7: 740. https://doi.org/10.3390/f11070740
APA StyleHussain, M. I., tsombou, F. M., & El-Keblawy, A. (2020). Surface Canopy Position Determines the Photosystem II Photochemistry in Invasive and Native Prosopis Congeners at Sharjah Desert, UAE. Forests, 11(7), 740. https://doi.org/10.3390/f11070740

