Abstract
Carbon starvation and hydraulic failure are considered important factors in determining the mechanisms associated with tree mortality. In this study, iso/anisohydric classification was used to assess drought resistance and mortality mechanisms in two contrasting poplar species, as it is generally believed that isohydric species are more susceptible to carbon starvation, while anisohydric species are more susceptible to hydraulic failure. However, these assumptions are rarely tested in poplar genotypes with contrasting growth strategies. Thus, we subjected potted poplar genotypes (I-101 (Populus alba L.) × 84K (Populus alba L. × Populus glandulosa Uyeki)) with fast and slow growth rates to drought–rehydration treatments. The slow-growing genotype maintained higher stomatal conductance and lower predawn leaf water potential than the fast-growing genotype, thus exhibiting a near-anisohydric stomatal behavior throughout the treatment period. The nonstructural carbohydrate (NSC) content indicated that the two genotypes had the same trend of carbon change (e.g., the NSC content in the leaves increased with drought and then decreased). However, when NSC content data were combined with the growth and photosynthetic data, it was observed that the slow-growing genotype mobilized carbon to maintain hydraulic safety, while the NSC content of the fast-growing genotype among tissues was static. The percent loss of hydraulic conductivity in the branches during treatments indicated that the fast-growing genotype could recover more quickly from xylem embolism than the slow-growing genotype. The slow-growing genotype with a slow growth recovery after rehydration showed a significant increase in carbon consumption, combined with a significant increase in the hydraulic safety threshold value, indicating that there may be drought tolerance. In comparison, the fast-growing genotype showed a faster hydraulic recovery ability that had no effect on the NSC content in the leaves and roots. Our findings demonstrate intraspecific isohydric behavior in poplar; however, the trade-off between carbon distribution and stomatal regulation should be considered separately within genotypes of the same species. In addition, NSC plays an important role in water–carbon balance in the drought–rehydration cycle.
1. Introduction
Over the past 20 years, a growing number of climate-related forest mortality events have been observed [1,2]. These events are related to drought and have been observed in tropical rainforests [3] and temperate forests [4], although there are studies showing that it seems that there has been no aridity change in some regions such as Vojvodina in the recent period from 1949 to 2006 [5]. Water deficits and drought in forest and woodland ecosystems are thought to be responsible for the increasing mortality of tree species in arid areas [2]. In arid environments, when high xylem tensions induce embolism formation and spread, long-distance water transport in trees can be damaged [6]. However, plants are able to adapt to dehydration, making the plants resistant to changes in water supply and hydraulic recovery. The regulation of water and carbon is an essential part of plant function. While facing severe drought, plant strategies to cope with water shortage involve a complex set of traits related to water and carbon relations, and these characteristics exhibit strong interactions that may be relevant at different organizational levels and time scales [7]. The rate and magnitude of change in the carbon (C) and water balance of plants are considered important factors for determining the mechanisms associated with plant mortality [8]. During drought, trees need to rely on nonstructural carbohydrate (NSC) to maintain their metabolism [9], during which plants redistribute carbon from leaves to roots [10]. Therefore, the carbon balance (between carbon input (net photosynthesis of leaves and respiration) and carbon output (losses of dry matter, various forms of organic C export)) are important for tree survival during drought conditions [11,12,13]. Due to the differences in water use strategies and the interactions between water and carbon in different plants under drought stress [14,15], it is necessary to further explore the mechanism of trees in response to drought conditions.
To cope with drought-induced hydraulic stress, many tree species are able to translocate solute to the central column of the roots through active transport across the tree’s phloem system to increase hydrostatic pressure. Xylem repair may depend on refilling the xylem and/or regeneration of new vessels [16]. The mechanism by which plants pressurize the embolism conduits to repair the hydraulic conductivity is mainly achieved by changing the osmotic potential, while the change in osmotic potential is due to the large solute secreted by the wood parenchyma cells that cannot freely pass through the pit membrane [17]. Studies have shown that penetrants such as soluble sugars are mainly involved in the embolization and refilling process [18,19], and these soluble sugars may be derived from the decomposition of starch in the xylem parenchyma [20,21]. When starch is lacking in the parenchyma of the wood, the embolism conduits do not recover [21]. This suggests that stored NSCs and their metabolism play an important role in maintaining and restoring the xylem transport capacity.
Currently, plant response strategies to drought are generally divided into iso/anisohydry, which is based on leaf water potential regulation and the behavior of stomata/degree of stomatal control with increasing water deficit [22]. Isohydric behaviors are often associated with sensitive plant responses to water deficits. Under drought conditions, some plants close their stomata to maintain a relatively constant midday water potential but at the same time exhibit a decrease in photosynthetic capacity. Such behavior is often referred to as isohydric behavior. In contrast, other plants, called anisohydric species, maintain their stomata at a high level of openness, and the water potential at noon decreases as drought increases, thereby maintaining a high carbon assimilation capacity. However, the classification of these strategies is not a perfect dichotomy but rather a continuum of water regulation [23,24], which is usually a comprehensive discussion. In contrast, the response of stomata to drought is complicated. Firstly, it is necessary to consider that the sensitivity of stomata is species specific. Secondly, stomata regulation is susceptible to the air vapor-pressure deficit (VPD) [25] and concentrations of hormones such as abscisic acid (ABA) [22,26].
Studies have found that even the same plant exhibits different water regulation behaviors under different environmental conditions [27,28]. Franks et al. (2007) refer to this mode of regulation as isohydro-dynamic behavior [29]. When the soil water content catastrophically reduces, the plant’s demand for water will increase, and the plant’s water regulation strategy will change from anisohydry to isohydry in order to ensure the safety of the hydraulic system. In addition, it was found that anisohydric species are not necessarily more susceptible to hydraulic damage [30] and, during drought, gas exchange of anisohydric species is not necessarily less constrained than that of isohydric species [31]. These results indicate that it is necessary to disclose the drought-induced hydraulic balance strategies of different plant genotypes.
Most studies have focused on the differences in the water regulation strategies of the same species in different environments, while very few studies have investigated the water regulation strategies of different poplar genotypes with contrasting growth rates. In this study, we conduct an experiment on a poplar hybrid (I-101 (Populus alba L.) × 84K (Populus alba L. × Populus glandulosa Uyeki)) with two genotypes having different growth rates; this particular poplar hybrid is known to be isohydric and capable of maintaining a relatively constant water potential over prolonged drought conditions [23] (Martínez-Vilalta 2014) but is still at risk of carbon failure. Based on the above, we hypothesized the following: (1) compared with the fast-growing poplar genotypes, the slow-growing poplar genotypes used in this study would be inclined to be near-anisohydric (rather than isohydric) with a higher rate of carbon assimilation for maintaining growth under drought conditions; (2) fast-growing poplars have a strong hydraulic recovery ability, which is higher than that of slow-growing poplars; and (3) there is a particular relationship between hydraulic recovery and NSC content in the leaves and roots.
2. Materials and Methods
2.1. Plant Material and Culture Conditions
Experiments were carried out on a hybrid poplar (I-101 (Populus alba L.) × 84K (Populus alba L. × Populus glandulosa Uyeki)). The hybrid was an aspen hybrid seed newly selected from the interspecies crossbreeding materials of the Populus cultivar, whose interspecies crossbreeding program was carried out for seven consecutive years in the Forestry College of Northwest A&F University [32]. Tree height and ground diameter of the hybrid were observed over a two-year period and used as the basis for differences in growth rate, which were then divided into two groups, namely fast-growing and slow-growing genotypes. As the two genotypes grew under the same conditions, environmental variation was less likely to affect the traits under investigation.
Cuttings of the two genotypes (20 cm long) were rooted and planted in 10-L pots filled with soil (clay:sand:organic matter, 3:1:1, v/v/v) and grown in a screen house in the Northwest A&F University of China. The same weight of soil was placed in each pot so that the weight of each pot was 5 kg. In the three months before drought treatment, the plants were watered to field capacity, and 50 mL of Hoagland nutrient solution was supplied to the plants each day until each pot weighed 7 kg.
2.2. Experimental Design
For the drought treatments, 36 saplings of each genotype were randomly allocated to three groups with 12 plants per group. The first group of plants was used as a control and maintained under the absence of drought (AD) with optimal water conditions, i.e., 75–90% of the field capacity (FC) between continuous watering. The second group of plants was subjected to moderate water stress (MS), where the soil water content was maintained between 45% and 60% of the FC. The third group of plants was subjected to severe water stress (SS), where the soil water content was maintained between 25% and 45% of the FC. To achieve the target field capacity for each drought treatment, each pot was weighed daily and the amount of water equal to transpiration loss and soil evaporation was added. The drought treatments were conducted for 30 days. Subsequently, six plants were harvested in each group for use in destructive measurements, while the remaining plants were rewatered to 80% field capacity. After 15 days, the remaining plants were harvested.
2.3. Aboveground Plant Growth Performance
During the drought and rehydration treatments, the stem height and basal diameter of each plant were measured every ten days. In order to ensure measurement accuracy, the basal diameter was measured with a vernier caliper to the nearest 0.01 cm, and the height of the seedlings was measured with a steel tape to the nearest 0.1 cm.
On the day before harvest (09:00–11:00), gas exchange was determined in three mature leaves (leaf plastochron index (LPI) = 8–10) of each of six plants per genotype; net photosynthetic rate (AN), stomatal conductance (gs) and transpiration rate (E) were determined with a portable photosynthesis system (LI-6400, LiCor, Lincoln, NE, USA). The light intensity was set to 1000 μmol·m−2·s−1, the flow rate through the sample chamber was set at 500 mL·s−1, and the CO2 concentration in the sample chamber was 400 μmol·mol−1.
2.4. Leaf Water Potential
A pressure chamber was used to measure the water potential at midday and predawn (ψm and ψp) [33]. The predawn water potential was measured between 04:00 and 06:00 in the morning, and the midday water potential was recorded between 12:00 and 14:00 in the afternoon. Three leaves were removed from each plant in each group to determine ψm and ψp.
2.5. Native Embolism and Specific Conductivity
Branches with a diameter of about 5 to 8 mm were cut in the morning and placed in a black plastic bag containing wet towels to prevent more air from entering the trachea and resulting in water loss. The samples were then immediately taken to the laboratory. Five stem segments of 2 cm in length were cut from each branch, and the native embolism and hydraulic conductivity (Kh) of the xylem were measured by a low pressure flowmeter (LPFM) [34]. The equation used to calculate Kh is as follows:
where F is the water flux and dP/dx is the pressure drop in the length unit of a xylem conduit. The ratio of Kh to the cross-sectional area (As) of the stem sapwood is the measured specific hydraulic conductivity (Ks-M). The percent loss of hydraulic conductivity (PLC) was used to express the native embolism of the annual branch. The calculation formula for the degree of embolism in the natural condition is:
where Kh is the initial hydraulic conductivity value of the cut section before washing, and Kmax is the maximum water conductivity value of the shoot after repeated washing at 0.13 MPa (for details, see Tyree and Sperry 2003). The washing liquid used for the determination was degassed by a vacuum suction pump for 4 h and filtered through a 0.2 μm micropore to obtain a KCl solution of 0.1 mol·L−1. The stem segments were flushed under a pressure of 0.13 MPa for 2 min to remove embolism in the stem segments (a pre-experiment showed that Kmax was usually achieved after one or two flushes at 130 kPa for 2 min). The average value of the corresponding measured values of the five stem segments was calculated as the water conductivity of the shoots and native embolism in the natural condition.
2.6. Vulnerability Curves and Estimation of Hydraulic Safety Margins
Xylem cavitation was evaluated using Cavitron technology [35]. The principle of this technique is as follows: five to six branches were selected for each treatment, the branches were placed in water, then samples of 27.4 cm were cut under water from the center of the branch, and the cut branches were placed in the Cochard Cavitron centrifuge (XiangYi Centrifuge Instrument Co., Ltd., Changsha, China). From a low to high pressure gradient (tension, T, MPa), water conductivity values (Kh) were recorded for the samples under different pressures, vulnerability curves of the samples were established, and the P50 value (i.e., the pressure value inducing a 50% loss in conductivity) of each sample was obtained.
The percent loss of conductance of a sample was then given by:
where Kmax is the hydraulic conductivity value at the lowest pressure (usually −0.5 MPa), i.e., the maximum hydraulic conductivity value. Usually the curve fits well to the Weibull cumulative distribution function [36].
The P50 value is the value of each sample. Average P50 values were determined using six branches for each treatment. Xylem pressures causing 12% and 88% loss of conductivity (P12 and P88) were also calculated, following [37], where P12 represents the xylem negative pressure at the beginning of cavitation, P50 is the xylem negative pressure when catastrophic hydraulic loss occurs, and P88 is the xylem negative pressure when the hydraulic power is completely lost [38]. In addition, the hydraulic safety threshold is calculated as the minimum predawn or midday leaf water potential minus the P50 of the shoot [37,39].
2.7. Nonstructural Carbohydrates (NSC)
At the time of harvesting, new leaves formed during the treatment were separated from each plant. The roots of each plant were carefully washed and harvested. Six plants were selected for each treatment, and in each treatment, equal quantities of fine powder were combined from two plants with the same tissue and mixed into samples for further analysis. The harvested roots and leaves were wrapped in tinfoil and immediately frozen in liquid nitrogen. The sample (in liquid nitrogen) was then ground to a fine powder in a mortar and stored at −80 °C.
NSC content is the sum of the soluble sugar and starch content. We followed Mitchell et al. (2013) as follows: 20 mg of dried plant tissue with 80% ethanol (v:v) was added to a polyethylene tube. The mixture was boiled in a water bath at 95 °C for 30 min and then centrifuged at 3000 rpm for 5 min [40]. The supernatant was removed, and the extraction was repeated with 5 mL of 80% ethanol (v:v) and 5 mL of distilled water (v:v). Then, boiling continued. Total soluble sugars were determined on the supernatants following the anthrone method [41]. The precipitate taken from the supernatants was used to determine starch content.
2.8. Statistical Analysis
Statistical analyses were performed using SPSS 24.0 (SPSS, Inc., Chicago, IL, USA). Differences between means were considered significant when the P-value of the ANOVA F-test was less than 0.05. All data were tested for normality using a Shapiro–Wilk test and homoscedasticity using a Bartlett test. Differences in growth increment, NSCs and hydraulics (P12, P50, P88, ψm and ψm) between treatments were tested with ANOVA followed by a post hoc Tukey-HSD test. Differences in all variables, such as rates (non-normality), were analyzed by two-way ANOVAs.
3. Results
3.1. Influence of Growth Rate on Hydraulic Properties
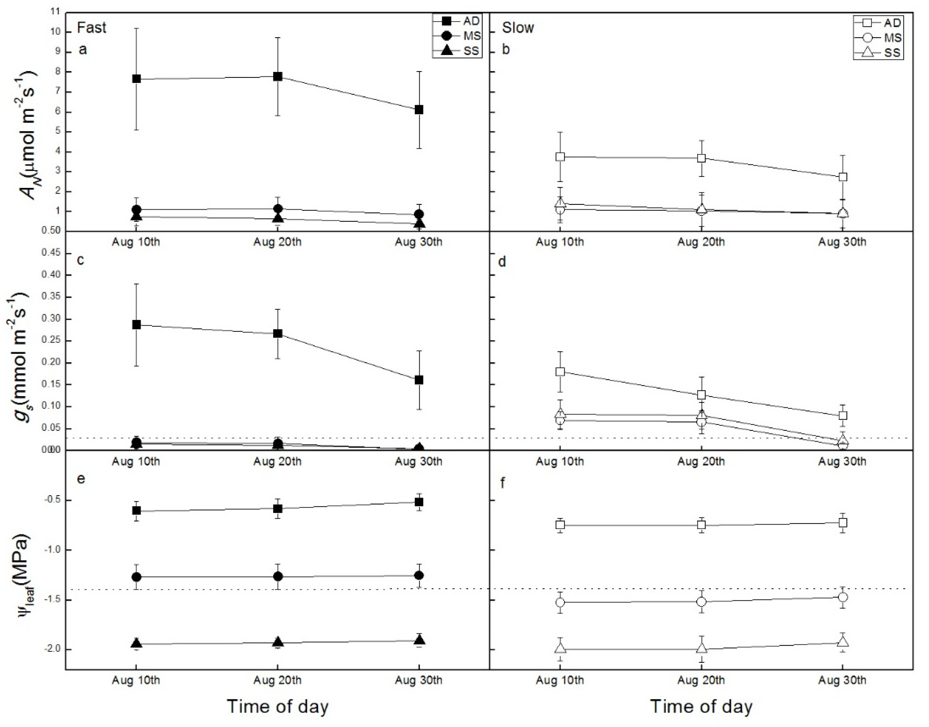
For both the fast- and slow-growing genotypes, there were significant differences in leaf water potential under different drought treatments during the experiment (Figure 1). Under MS conditions, there were significant differences in the predawn and midday water potential between the two genotypes, but no differences were observed under the SS treatment, except that the ψm value was lower for the slow- than the fast-growing genotype. After 15 days of rewatering, the leaf water potential of all the experimental groups recovered to a certain degree. For example, the midday leaf water potentials returned to the control level (−1.44267 and −1.35726 MPa, respectively) and predawn leaf water potential of the slow-growing genotype recovered to the control level after moderate drought stress (−0.75733 MPa). However, there was no significant difference in the ψm value between the two genotypes after recovery.
Figure 1.
The ψ values of both fast (filled symbol) and slow (empty symbol) genotypes (I-101 (Populus alba L.) × 84K (Populus alba L. × Populus glandulosa Uyeki)) were measured for AD plants, MS plants and SS plants (AD represents control group, MS represents moderately water-stressed, and SS represents severely water-stressed; square for AD plants, circle for MS plants, and triangle for SS plants) at 10, 20 and 30 days after drought treatment (from left to right) and at 15 days (right (behind the dashed line)) after the rewater. The ψpred values were recorded at 05:00, and the ψmidd values were recorded at 12:00. The dashed line denotes the time of watering. Each datapoint represents the mean value (±SE) for six plants. # Indicates data that are significantly different between fast- and slow-growing genotypes under the same treatment.
We found significant differences in the hydraulic characteristics of the two genotypes (Table 1), and there were substantial differences between drought treatments in each genotype. In terms of height increments, the fast-growing genotype grew taller than slow-growing genotype under the MS treatment only. The fast-growing genotype had a significantly higher P88 and P12 than the slow-growing genotype under both the drought and rewatering treatments. In the AD and MS treatments, there was no difference in the P50 value between the two genotypes after rewatering. In the SS treatment, the slow-growing genotype, with the lowest P50 values, was the least vulnerable to cavitation, especially when compared to the fast-growing genotype. In contrast, the fast-growing genotype under AD water conditions appeared to be the most vulnerable, with the highest P50 values. There was a significant difference in the hydraulic safety margin of the two genotypes, where the values of the slow-growing genotype in all treatments were significantly higher than that of the fast-growing genotype (Figure 2). There were also significant differences in the hydraulic safety margin between the different drought treatments for each genotype: as drought intensity increased, the hydraulic safety margin decreased. There was, however, no significant difference in the level of embolism between the two genotypes in all treatments. We only found a marked difference between the three rewatering treatments for each genotype.
Table 1.
Traits related to biomass production and hydraulics in two poplar genotypes (I-101 (Populus alba L.) × 84K (Populus alba L. × Populus glandulosa Uyeki)) under three water regimes (including AD (control, absence of drought), MS (moderately water-stressed) and SS (severely water-stressed) at the end of drought (including rewater). Different letters (the same treatment but different rates in the upper case; the same genotype but different treatments in the lower case) indicate significant differences in the means (p < 0.05, means ± SE).
Figure 2.
Comparison of the hydraulic safety margin (MPa) of the two genotypes (I-101 (Populus alba L.) × 84K (Populus alba L. × Populus glandulosa Uyeki)) (bars with dense line for fast-growing genotype; bars with sparse line for slow-growing genotype) under different treatment, including AD (control, absence of drought), MS (moderately water-stressed), SS (severely water-stressed), MS rewater (moderately water-stressed plants that were rewatered after drought) and SS rewater (severely water-stressed plants that were rewatered after drought). Safety margins were calculated as the minimum predawn leaf or midday branch water potential minus the stem P50. Asterisks (*) denote significant differences between the fast and slow genotypes for treatment (p < 0.05).
3.2. NSC Concentration in Relation to Growth Rate and Different Organs
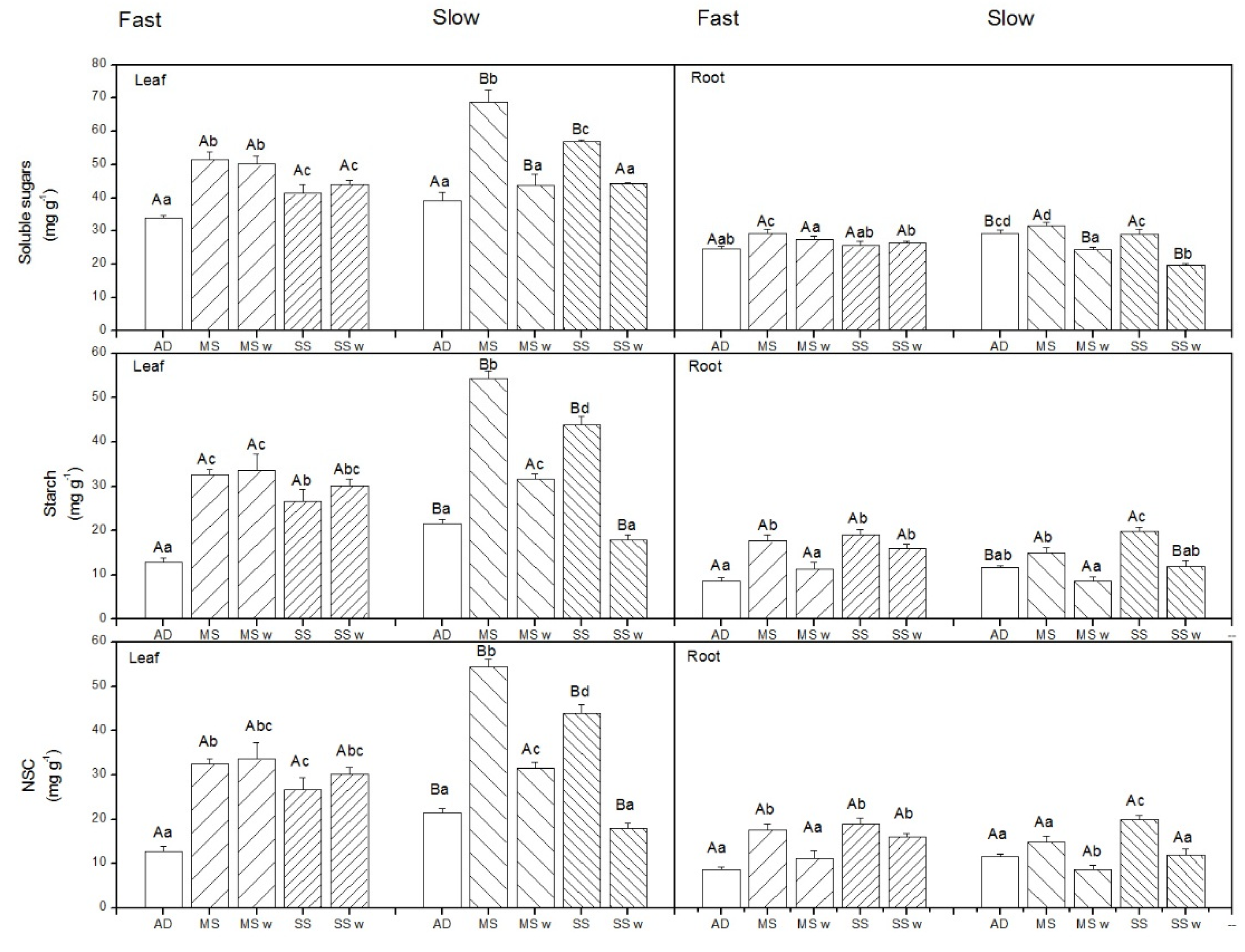
There were substantial changes in NSC concentrations in response to drought conditions in the AD plants (Figure 3). As drought intensity increased, the NSC in the leaves initially increased and then decreased, although this pattern was not observed in the roots. The NSC in the leaves of the fast-growing genotype was significantly lower than that of the slow-growing genotype under drought conditions. However, there was no significant difference in the NSC of the roots of the two genotypes under drought conditions (Figure 3). While the NSC in the fast-growing genotype did not change significantly before and after rewatering (except under the MS treatment), there was a significant difference in the slow-growing genotype. In terms of NSC, the leaves were more sensitive to drought, but there was a significant increase in the starch content in the roots of both genotypes after drought. The total NSC pool sizes of both two genotype poplars changed during drought stress and recovery, but the total NSC partitioning of the fast-growing poplar among tissues was static, while slow-growing poplar tree intertissue NSC pools changed only in the group that experienced moderate drought stress and in the group that suffered rehydration from severe drought (Figure 4).
Figure 3.
Concentrations of soluble sugars, starch and nonstructural carbohydrate (NSC) in roots and leaves of the two genotypes (I-101 (Populus alba L.) × 84K (Populus alba L. × Populus glandulosa Uyeki)) were taken at the end of the drought and watering. The five pillars on the left of each panel represent the fast group, and those on the right represents the slow group. Letters indicate significant differences (p < 0.05) for a given species and treatment, including AD (control, absence of drought), MS (moderately water-stressed), SS (severely water-stressed), MS rewater (moderately water-stressed plants that were rewatered after drought) and SS rewater (severely water-stressed plants that were rewatered after drought); lowercase is used for single genotype between different sets, and uppercase is used for two genotypes between the same treatment.
Figure 4.
Partitioning of total NSC pool (soluble sugars + starch) across various tissues (leaf and root). Letters indicate significant differences (p < 0.05) for treatments, including AD (control, absence of drought), MS (moderately water-stressed), SS (severely water-stressed), MS rewater (moderately water-stressed plants that were rewatered after drought) and SS rewater (severely water-stressed plants that were rewatered after drought). Error bars represent ± standard error.
Our NSC measurements were derived from the leaves and roots; the leaves are carbon sources, or carbon assimilation sites, and the roots are remote reservoirs, usually functioning to store carbon. Therefore, the total carbon content of the leaves and roots can explain the total carbon content of the plant. Despite the fact that we did not determine the NSC of the stem, the growth increments of the plant can provide a reference for this.
3.3. Relationship between Hydraulic Properties and Gas Exchange
The gs of the fast-growing genotype was more sensitive to water deficit than the slow-growing genotype. Under moderate stress, in the fast-growing genotype, the ψpred decreased to −1.268 MPa and the gs decreased to 0.01875 mmol m−2·s−1, whereas those of the slow-growing genotype were considerably higher at −1.522 MPa and 0.06902 mmol m−2·s−1 (Figure 5c–f), yet both presented a similar trend of photosynthetic rate and stomatal conductance during treatment (Figure 5).
Figure 5.
Changes of net photosynthesis (AN) (a,b), stomatal conductance (gs) (c,d) and leaf water potential (ψleaf) (e,f) for fast (filled symbol) and slow genotypes (empty symbol) (I-101 (Populus alba L.) × 84K (Populus alba L. × Populus glandulosa Uyeki)) during August treatment (square for AD plants, circle for MS plants and triangle for SS plants, which represent control plants, moderately water-stressed plants and severely water-stressed plants, respectively). The AN and gs data are means ± SE from four to six fully exposed leaves; ψleaf data are means ± SE of three leaves per treatment.
In addition, the observed differences in stomatal sensitivity between the two genotypes during drought showed differences in water-use strategy. Even with less available soil water, the slow-growing genotypes presented a higher stomatal opening, which also led to water loss and, therefore, lower predawn leaf water potential, suggesting a near-anisohydric behavior.
4. Discussion
The novelty of our study is that it was conducted using two varieties of the same species with different growth rates exhibiting isohydric and anisohydric behaviors. The results of leaf gas exchange analysis revealed that the slow-growing genotype exhibits near-anisohydric behavior, whereas the fast-growing genotype exhibits isohydric stomatal behavior under water deficit conditions. The leaf water potential of the two genotypes decreased with water stress; similarly, stomatal conductivity and photosynthetic capacity decreased with a decrease in leaf water potential. It is worth mentioning that under the same stress conditions (e.g., moderate stress) on days 10 and 20, that is, at the beginning of the treatment, the slow-growing genotype had significantly higher stomatal conductivity and lower leaf water potential than the fast-growing genotype (indicated with the dashed line in Figure 5). In addition, there was no significant difference in leaf water potential between the two genotypes without water stress. There were still some limitations that existed in this study. First, soil water potential can directly drive water availability, but in our study, soil water content was used to describe drought condition due to the sufficient replications. The second limitation is related to photosynthetic measurements condition. The PAR of gas exchange measurements in the study was kept 1000 m−2s−1; thus, it would be insufficient for light saturation of poplar tree species grown in sunny conditions [42]. However, under the drought condition, strong light sometimes induces photoinhibition; once photoinhibition has occurred, it is difficult to separate the effects of drought and the photoinhibition from the photosynthetic rates. The impacts of these limitations to our results would be minor, and these things should be taken into account and discussed in further study.
4.1. Hydraulic Risk
The NSC in the two poplar genotypes gradually increased with the increase in drought stress but then gradually declined with a further increase in drought stress. The weaker the cavitation resistance of plants, the narrower the hydraulic safety threshold [43]. Consistent with our hypothesis, the fast-growing poplar genotype had a lower hydraulic safety threshold for sustained growth and a weaker cavitation resistance (P50 was −2.28 and −2.45 MPa under moderate and severe drought conditions, respectively) than the slow-growing poplar genotype. In contrast, slow-growing poplars preferred to maintain a high hydraulic safety threshold and thus survived under drought stress. The safety threshold of poplar was greater than it was before rehydration. The degree of vulnerability to cavitation was related to the severity of water stress, but the hydraulic safety margin was not related to the level of stress, and it only acclimated after the drought–rehydration treatment.
It is believed that there is a systematic trend in the hydraulic safety threshold range and xylem vulnerability of cavitation caused by the water potential, and that the species with a weak xylem resistance to embolism have a higher gs. That is, anisohydric plants are more susceptible to embolism than isohydric plants, and the resistance of their xylem to cavitation is stronger [23]. In this study, although the slow-growth genotype presented a near-anisohydric behavior, it had greater xylem resistance to embolism than the fast-growing genotype (Table 1). There was no correlation between gs and kh, and leaf water potential was observed when the gs data of the control and drought groups were plotted as a function of leaf water potential and hydraulic conductivity after drought. These data indicated that the stomatal behavior of poplar materials used in this study (i.e., isohydric and anisohydric behaviors) is not closely related to hydraulic properties (Figure 6). Studies indicate that the changes in stomatal conductance are still controversial in trees adopting different survival strategies [31].
Figure 6.
Stomatal conductance (gs) as a function of leaf water potential (ψleaf) (a) and hydraulic conductance (Kh) (b) for control (AD) and stress treatments (MS—moderately water-stressed; SS—severely water-stressed) of fast-growing and slow-growing poplar genotypes (I-101 (Populus alba L.) × 84K (Populus alba L. × Populus glandulosa Uyeki)) after 30 days of water stress. Water potential measurements were conducted immediately after measurements of leaf gas exchange.
Poplar is a tree species that is susceptible to drought [44]. After severe drought stress, the level of embolism was higher than 80% (Table 1). At the same time, during rehydration after severe drought, the recovery from embolism in the fast-growing genotype was significantly faster than that in the slow-growing genotype, indicating that the slow-growing genotype has a poor ability to recover from embolism. Although this only occurred in severe drought stress, it was very likely that when drought stress reached a certain intensity, the plants of the fast-growing genotype were regulated by a hydraulic signal to form osmotic pressure by consuming carbohydrates accumulated during the early phase. Thereby, the conduits could be refilled with the water near the parenchyma cells to accomplish the process of embolization repair, while the accumulated carbohydrates would be washed away under the action of transpiration flow.
As mentioned by Klein (2014), there are no absolute iso/anisohydric plants in nature, and plant water-regulation strategies are found on a continuum and cannot be simply separated into isohydry and anisohydry [45]. Therefore, anisohydric species do not seem to be vulnerable to carbon starvation [46]. Our experiment validates the possibility of iso/anisohydry and proves that differences exist not only between species but also within a species, i.e., different poplar genotypes.
The predawn and the midday leaf water potential are appropriate indicators of the current water status of the plant [47]. During the drought treatments, there were significant differences in water potential between the drought-treated groups and the control group for both poplar genotypes, indicating that each genotype experienced various water conditions under drought stress. We observed that the lowest leaf water potentials of the two groups of genotypes under drought were −2.03 and −2.20 MPa, respectively, which were very similar to the P50 value of the control group. Although the theoretical lethal threshold of conifers is around P50, it was reported that the theoretical threshold of irreversible drought in angiosperms is closer to P88 [48], which is consistent with our results. This can be explained by the experimental poplars being under drought conditions.
Xylem embolism vulnerability is considered a key factor in drought resistance, while distinct species have different embolic vulnerabilities [49,50]. At the same time, there are differences in xylem vulnerability between different genotypes of the same species [51,52,53]. Studies have demonstrated that the susceptibility of xylem to cavitation increases with increasing growth rates due to carbon partitioning in thicker cell walls and fewer pit-pairs or due to leaf and axial tissue established to increase carbon accumulation and growth rates in the canopy [54]. Previous studies have also found that poplars with anticavitation genotypes grew faster than genotypes that were more susceptible to cavitation [55]; however, in our experiments, there was no significant difference in P50 between the two poplar genotypes. However, after the drought treatments, the P50 value of the fast-growing genotype was significantly larger than that of the slow-growing genotype, indicating that hydraulic safety and xylem vulnerability of the two poplar genotypes at the whole-plant level have the same potential, but only under well-watered conditions. In addition, our study found that xylem cavitation vulnerability could adapt to the declining available soil water, because xylem embolism vulnerability of two poplar genotypes decreased with decreases in soil moisture content. However, under the drought treatments, the P50 value of the fast-growing genotype was significantly higher than that of the slow-growing genotype. If water-stressed plants have a higher level of embolism, then the vulnerability curves would be illustrated by the remaining functional vessels, which are the most resistant [56]. Therefore, as can be seen from the results of the drought treatment in the present study, the anticavitation ability of the fast-growing genotype was weaker than that of the slow-growing genotype. Hajek et al. (2014) demonstrated that the fast-growing poplar genotypes were more blocked than the slow-growing genotypes, but only for the P88 value [57]. Our study also found that poplars screened under the same genotype, although having radically different growth rates, showed significant differences in their ability to resist cavitation by adapting to soil water availability. Consistent with previous reports [58], the P88 value in poplars seems to explain the lethal threshold limit better than the P50 value, which may be more suitable for predicting the irreversible death point in angiosperms [48,58].
4.2. Carbon Assimilation, Use and Reserves
During a drought, plants perform stomatal control in order to prevent xylem cavitation. Stomatal closure prevents or delays xylem cavitation, but it is not conducive to gas exchange. It is generally believed that plants with isohydric behaviors can regulate stomatal closure, control the rate of water loss, and conservatively regulate their water status in the face of drought, so as to match the water supply capacity of the soil–plant–air continuous (SPAC) system. In order to reduce the risk of hydraulic imbalance, plants reduce their stomatal conductance and transpiration rate as soil water potential decreases, thereby maintaining a relatively constant minimum leaf water potential and leaf relative water content [59], thus maintaining relatively stable hydraulic safety margins. Our study found that photosynthesis of the poplars also decreased with decreases in soil water content. Signals for regulating substances in plants, such as ABA, regulate the opening of the stoma and maintain normal carbon assimilation to ensure a safer carbon safety margin.
The carbon assimilation ability of poplar leaves in the present study initially increased and then decreased with increases in drought intensity. In cases of severe drought, plants usually close the guard cells of their stomata to maintain safe water transport, which can reduce carbon assimilation and slow down growth [8]. We found that the NSC concentration in the leaves of the slow-growing genotype was considerably higher than that in the fast-growing genotype, indicating that the former genotype could assimilate more carbon when soil water availability was reduced. Despite the fact that more carbon is synthetized, the slow-growing genotype does not allocate enough carbon for growth; instead, it is allocated for maintaining superior hydraulic safety, which may be considered a conservative water–carbon allocation strategy for plants, controlled by genes of the slow-growing genotype poplar itself. Although it is generally believed that species with isohydric behavior have higher hydraulic safety thresholds, carbon would be preferentially allocated to maintain hydraulic safety rather than growth when photosynthesis is limited [23]. Such trade-offs were not observed in this study because the fast-growing genotype distributes more carbon for growth than the slow-growing genotype, which is determined by their genes themselves. Based on the functional analysis of the differentially expressed genes between two poplar clones, Hao (2011) reported that the two genotypes utilize distinct biological strategies to accommodate their fast-growth phase. Faster-growing clone NE19, with a higher photosynthetic rate and higher proportion of assimilation products distributed in tree trunks, emphasized growth-related primary metabolism [60].
In the roots, the soluble sugar content of both genotypes initially increased and then decreased with increasing drought stress, while the starch content remained unchanged, except in the slow-growing genotype under the severe drought treatment, despite the fact that the NSC in the slow-growing genotype was significantly greater than that in the fast-growing one. In addition to acting as a far-end sink, roots also perform a water-absorbing function. Since the supply of NSC tends to be preferentially directed to the organs, the NSC in the roots was adequately replenished in both poplar genotypes. Studies have indicated that the respiration demands of roots were a strong sink under drought conditions, but lower starch concentrations have not been observed [10]. Trees can reduce water potential and maintain turgor by accumulating soluble sugars to resist and adapt to drought [40,45]. Our results support this hypothesis, as we found evidence that soluble sugars (especially in leaves) were prioritized during drought. This suggests that the poplar saplings used in our experiments used storage C for osmoregulatory, and that the storage of NSC may be a complex active process regulated by a variety of mechanisms, or a process of alternating changes in active and passive storage under different environmental conditions [61,62].
After rewatering, the NSC in the leaves of the fast-growing genotype changed little, while the NSC in the slow-growing genotype was significantly reduced by rewatering. It is likely that stomatal regulation in the leaves of the slow-growing genotype played a critical role in recovery after rewatering, resulting in more NSC production for leaf recovery and plant respiratory metabolism. Simultaneously, we observed that the leaves of the slow-growing genotype showed greater defoliation in order to reduce water consumption during drought; hence, fewer leaves consumed carbon for growth recovery during the rehydration treatment.
Generally, over shorter time scales, the decrease in photosynthetic rate lags behind the decrease in growth rate, which leads to the accumulation of starch and NSC [63]. The NSC assimilation of fast-growing genotype under drought is significantly lower than that of slow-growing genotype, but when combined with these height increments, it is found that the former growth value is significantly higher than the latter, and we speculate that this may because the slow-growing genotype has reduced the carbon distribution used for growth due to drought. Thus, a certain amount of stored C has been accumulated to maintain hydraulic safety.
It is speculated that NSC depletion will occur more frequently due to long-term drought and less severe droughts, where hydraulic damage will dominate short and severe periods of water stress. [8,46]. Our experimental saplings were subjected to a month of different water stress, which made plants more susceptible to hydraulic damage, while study shows the probability of carbon failure increases with increasing drought intensity [64]. Our data also support this hypothesis, as a lower NSC during severe drought indicates more severe carbon failure. (While long-term mild drought conditions seem to be more responsive to the relationship with NSC depletion, we lack the necessary data on such conditions to test this mechanism.) Reductions of other C sinks such as growth or respiration may result in static NSC pools, especially during severe drought when growth may be limited by turgor. Studies show that the discrepancy between C sinks and sources could still occur [40,65,66,67]. Consistent with the results described above, the significant increase in leaf NSC is due to relatively high gs, which is the result of maintaining a safer hydraulic threshold.
5. Conclusions
The isohydric and near-anisohydric behaviors in poplar with different growth rates under water stress can be explained by the differences in stomatal regulation and leaf water potential; however, these behaviors are not closely related to hydraulic properties. Furthermore, in poplars with different growth rates, the effects of carbon distribution and stomatal regulation should be considered. The total NSC pool (soluble sugars + starch) of the fast-growing genotype across various tissues was static, while the slow-growing genotype mobilized carbon to maintain hydraulic safety. Therefore, fast-growing genotype poplars are more likely to suffer hydraulic damage under water deficit. This is the first study to report isohydric and anisohydric behaviors within the same species with different growth rates. During rehydration, the fast-growing poplars have a greater capacity to recover from embolism than the slow-growing poplars. In addition, analyzing the individual components of soluble sugars also explained the role of the water–carbon balance in the drought–rehydration cycle. Considering climate change predictions and the multifaceted effects of the drought recovery cycle on species productivity, survival rates and so forth, the iso/anisohydry strategies of species and genotypes should be considered.
Author Contributions
L.Z. and J.C. designed the experiments. L.Z., L.L. and H.Z. performed the experiments. L.Z. analyzed the data and wrote the article. J.C. and Z.J. revised the article. All authors have read and agreed to the published version of the manuscript.
Funding
This work was financially supported by the National Natural Science Foundation of China (31570588).
Acknowledgments
The materials used for experiments were provided by Junfeng Fan.
Conflicts of Interest
The authors declare that they have no conflict of interest.
References
- Ma, Z.; Lei, X.; Zhu, Q.; Chen, H.; Peng, C. A Drought-Induced Pervasive Increase in Tree Mortality across Canada’s Boreal Forests. Nat. Clim. Chang. 2011, 1, 467–471. [Google Scholar] [CrossRef]
- Allen, C.D.; Macalady, A.K.; Chenchouni, H.; Bachelet, D.; McDowell, N.; Vennetier, M.; Kitzberger, T.; Rigling, A.; Breshears, D.D.; Hogg, E.H.T.; et al. A Global Overview of Drought and Heat-Induced Tree Mortality Reveals Emerging Climate Change Risks for Forests. For. Ecol. Manag. 2010, 259, 660–684. [Google Scholar] [CrossRef]
- Joetzjer, E.; Delire, C.; Douville, H.; Ciais, P.; Decharme, B.; Fisher, R.; Christoffersen, B.; Calvet, J.C.; Costa, A.C.L.D.; Ferreira, L.V. Predicting the Response of the Amazon Rainforest to Persistent Drought Conditions under Current and Future Climates: A Major Challenge for Global Land Surface Models. Geosci. Model Dev. Discuss. 2014, 7, 2933–2950. [Google Scholar] [CrossRef]
- D’Orangeville, L.; Maxwell, J.; Kneeshaw, D.; Pederson, N.; Duchesne, L.; Logan, T.; Houle, D.; Arseneault, D.; Beier, C.M.; Bishop, D.A.; et al. Drought Timing and Local Climate Determine the Sensitivity of Eastern Temperate Forests to Drought. Glob. Chang. Biol. 2018, 24, 2339–2351. [Google Scholar] [CrossRef]
- Hrnjak, I.; Lukić, T.; Gavrilov, M.B.; Marković, S.B.; Unkašević, M.; Tošić, I. Aridity in Vojvodina, Serbia. Theor. Appl. Climatol. 2014, 115, 323–332. [Google Scholar] [CrossRef]
- Tyree, M.T.; Zimmermann, M.H. Xylem Structure and the Ascent of Sap. Science 1983. [Google Scholar] [CrossRef]
- Mencuccini, M. Temporal Scales for the Coordination of Tree Carbon and Water Economies during Droughts. Tree Physiol. 2014, 34, 439–442. [Google Scholar] [CrossRef]
- McDowell, N.G.; Beerling, D.J.; Breshears, D.D.; Fisher, R.A.; Raffa, K.F.; Stitt, M. The Interdependence of Mechanisms Underlying Climate-Driven Vegetation Mortality. Trends Ecol. Evol. 2011, 26, 523–532. [Google Scholar] [CrossRef]
- Klein, T.; Hoch, G. Tree Carbon Allocation Dynamics Determined Using a Carbon Mass Balance Approach. New Phytol. 2015, 205, 147–159. [Google Scholar] [CrossRef]
- Hartmann, H.; Ziegler, W.; Kolle, O.; Trumbore, S. Thirst Beats Hunger—Declining Hydration during Drought Prevents Carbon Starvation in Norway Spruce Saplings. New Phytol. 2013, 200, 340–349. [Google Scholar] [CrossRef]
- Körner, C. Tansley Lecture: Carbon Limitation in Trees. J. Ecol. 2003, 4–17. [Google Scholar] [CrossRef]
- Sala, A.; Woodruff, D.R.; Meinzer, F.C. Carbon Dynamics in Trees: Feast or Famine? Tree Physiol. 2012, 32, 764–775. [Google Scholar] [CrossRef] [PubMed]
- McDowell, N.G.; Ryan, M.G.; Zeppel, M.J.; Tissue, D.T. Feature: Feature: Improving Our Knowledge of Drought-Induced Forest Mortality through Experiments, Observations, and Modeling. New Phytol. 2013, 200, 289–293. [Google Scholar] [CrossRef] [PubMed]
- Fisher, R.A.; Williams, M.; Do Vale, R.L.; Da Costa, A.L.; MEIR, P. Evidence from Amazonian Forests is Consistent with Isohydric Control of Leaf Water Potential. Plant Cell Environ. 2006, 29, 151–165. [Google Scholar] [CrossRef] [PubMed]
- West, A.G.; Hultine, K.R.; Sperry, J.S.; Bush, S.E.; Ehleringer, J.R. Transpiration and Hydraulic Strategies in a Pinon-Juniper Woodland. Ecol. Appl. 2008, 18, 911–927. [Google Scholar] [CrossRef]
- Anderegg, W.R.L.; Anderegg, L.D.L. Hydraulic and Carbohydrate Changes in Experimental Drought-Induced Mortality of Saplings in Two Conifer Species. Tree Physiol. 2013, 33, 252–260. [Google Scholar] [CrossRef] [PubMed]
- Hacke, U.G.; Sperry, J.S. Limits to Xylem Refilling under Negative Pressure in Laurus nobilis and Acer negundo. Plant Cell Environ. 2003, 26, 303–311. [Google Scholar] [CrossRef]
- Ameglio, T.; Bodet, C.; Lacointe, A.; Cochard, H. Winter Embolism, Mechanisms of Xylem Hydraulic Conductivity Recovery and Springtime Growth Patterns in Walnut and Peach Trees. Tree Physiol. 2002, 22, 1211–1220. [Google Scholar] [CrossRef]
- Alves, G.; Ameglio, T.; Guilliot, A.; Fleurat-Lessard, P.; Lacointe, A.; Sakr, S.; Petel, G.; Julien, J.L. Winter Variation in Xylem Sap pH of Walnut Trees: Involvement of plasma membrane H+-ATPase of vessel-associated cells. Tree Physiol. 2004, 24, 99–105. [Google Scholar] [CrossRef]
- Salleo, S.; Trifilò, P.; Lo Gullo, M.A. Phloem as a Possible Major Determinant of Rapid Cavitation Reversal in Stems of Laurus nobilis (Laurel). Funct. Plant Biol. 2006, 33, 1063. [Google Scholar] [CrossRef]
- Salleo, S.; Gullo, M.A.L.; Trfilo, P.; Nardini, A. New Evidence for a Role of Vessel-Associated Cells and Phloem in the Rapid Xylem Refilling of Cavitated Stems of Laurus nobilis L. Plant Cell Environ. 2004, 27, 1065–1076. [Google Scholar] [CrossRef]
- Tardieu, F.; Simonneau, T. Variability among Species of Stomatal Control under Fluctuating Soil Water Status and Evaporative Demand: Modelling Isohydric and Anisohydric Behaviours. J. Exp. Bot. 1998, 49, 419–432. [Google Scholar] [CrossRef]
- Martínez-Vilalta, J.; Poyatos, R.; Aguadé, D.; Retana, J.; Mencuccini, M. A New Look at Water Transport Regulation in Plants. New Phytol. 2014, 204, 105–115. [Google Scholar] [CrossRef] [PubMed]
- Skelton, R.P.; West, A.G.; Dawson, T.E. Predicting Plant Vulnerability to Drought in Biodiverse Regions Using Functional Traits. Proc. Natl. Acad. Sci. USA 2015, 112, 5744–5749. [Google Scholar] [CrossRef]
- Grossiord, C.; Buckley, T.N.; Cernusak, L.A.; Novick, K.A.; Poulter, B.; Siegwolf, R.T.W.; Sperry, J.S.; McDowell, N.G. Plant Responses to Rising Vapor Pressure Deficit. New Phytol. 2020. [Google Scholar] [CrossRef]
- Rogiers, S.Y.; Greer, D.H.; Hatfield, J.M.; Hutton, R.J.; Clarke, S.J.; Hutchinson, P.A.; Somers, A. Stomatal Response of an Anisohydric Grapevine Cultivar to Evaporative Demand, Available Soil Moisture and Abscisic Acid. Tree Physiol. 2012, 32, 249–261. [Google Scholar] [CrossRef]
- Conesa, M.R.; de la Rosa, J.M.; Domingo, R.; Bañon, S.; Pérez-Pastor, A. Changes Induced by Water Stress on Water Relations, Stomatal Behaviour and Morphology of Table Grapes (Cv. Crimson Seedless) Grown in Pots. Sci. Hortic. 2016, 202, 9–16. [Google Scholar] [CrossRef]
- Schultz, H.R. Differences in Hydraulic Architecture Account for Near-Isohydric and Anisohydric Behaviour of Two Field-Grown Vitis vinifera L. Cultivars during Drought. Plant Cell Environ. 2003, 26, 1393–1405. [Google Scholar] [CrossRef]
- Franks, P.J.; Drake, P.L.; Froend, R.H. Anisohydric but Isohydrodynamic: Seasonally Constant Plant Water Potential Gradient Explained by a Stomatal Control Mechanism Incorporating Variable Plant Hydraulic Conductance. Plant Cell Environ. 2007, 30, 19–30. [Google Scholar] [CrossRef]
- Garcia-Forner, N.; Adams, H.D.; Sevanto, S.; Collins, A.D.; Dickman, L.T.; Hudson, P.J.; Zeppel, M.J.B.; Jenkins, M.W.; Powers, H.; Martínez-Vilalta, J.; et al. Responses of Two Semiarid Conifer Tree Species to Reduced Precipitation and Warming Reveal New Perspectives for Stomatal Regulation. Plant Cell Environ. 2016, 39, 38–49. [Google Scholar] [CrossRef]
- Quero, J.L.; Sterck, F.J.; Martínez-Vilalta, J.; Villar, R. Water-use Strategies of Six Co-existing Mediterranean Woody Species during a Summer Drought. Oecologia 2011, 166, 45–57. [Google Scholar] [CrossRef] [PubMed]
- Gao, J.S.; Wang, J.; Zhou, Y.X.; Liu, Y.H.; Zheng, S.X. Studies on Drought-Resistance of Five Poplar Clones. J. Northwest A F Univ. (Nat. Sci. Ed.) 2005, 112–116. [Google Scholar] [CrossRef]
- Scholander, P.F. The Role of Solvent Pressure in Osmotic Systems. Proc. Natl. Acad. Sci. USA 1966, 55, 1407–1414. [Google Scholar] [CrossRef] [PubMed]
- Tyree, M.T. Relationship to a Field Assessment of Drought Performance. Plant Physiol. 2003, 132, 1439–1447. [Google Scholar] [CrossRef]
- Cochard, H.; Damour, G.; Bodet, C.; Tharwat, I.; Poirier, M.; Améglio, T. Evaluation of a New Centrifuge Technique for Rapid Generation of Xylem Vulnerability Curves. Physiol. Plant. 2005, 124, 410–418. [Google Scholar] [CrossRef]
- Cai, J.; Tyree, M.T. The Impact of Vessel Size on Vulnerability Curves: Data and Models for within-Species Variability in Saplings of Aspen, Populus tremuloides Michx. Plant Cell Environ. 2010, 33, 1059–1069. [Google Scholar] [CrossRef]
- Choat, B.; Jansen, S.; Brodribb, T.J.; Cochard, H.; Delzon, S.; Bhaskar, R.; Bucci, S.J.; Feild, T.S.; Gleason, S.M.; Hacke, U.G.; et al. Global Convergence in the Vulnerability of Forests to Drought. Nature 2012, 491, 752. [Google Scholar] [CrossRef]
- Fichot, R.; Brignolas, F.; Cochard, H.; Ceulemans, R. Vulnerability to Drought-Induced Cavitation in Poplars: Synthesis and Future Opportunities. Plant Cell Environ. 2015, 38, 1233–1251. [Google Scholar] [CrossRef]
- Sperry, J.S.; Hacke, U.G.; Oren, R.; Comstock, J.P. Water Deficits and Hydraulic Limits to Leaf Water Supply. Plant Cell Environ. 2002, 25, 251–263. [Google Scholar] [CrossRef]
- Mitchell, P.J.; O’Grady, A.P.; Tissue, D.T.; White, D.A.; Ottenschlaeger, M.L.; Pinkard, E.A. Drought Response Strategies Define the Relative Contributions of Hydraulic Dysfunction and Carbohydrate Depletion during Tree Mortality. New Phytol. 2013, 197, 862–872. [Google Scholar] [CrossRef]
- Ebell, L.F. Specific Total Starch Determinations in Conifer Tissues with Glucose Oxidase. Phytochemistry 1969, 8, 25–36. [Google Scholar] [CrossRef]
- Qian, L.W.; Zhang, X.S.; Yang, Z.J.; Han, Z.G. Comparison of Different Light Response Models for Photosynthesis. J. Wuhan Bot. Res. 2009, 2, 197–203. [Google Scholar] [CrossRef]
- Ogasa, M.; Miki, N.H.; Murakami, Y.; Yoshikawa, K. Recovery Performance in Xylem Hydraulic Conductivity is Correlated with Cavitation Resistance for Temperate Deciduous Tree Species. Tree Physiol. 2013, 33, 335–344. [Google Scholar] [CrossRef] [PubMed]
- Monclus, R.; Dreyer, E.; Villar, M.; Delmotte, F.M.; Delay, D.; Petit, J.M.; Barbaroux, C.; Le Thiec, D.; Brechet, C.; Brignolas, F. Impact of Drought on Productivity and Water Use Efficiency in 29 Genotypes of Populus deltoides X Populus nigra. New Phytol. 2006, 169, 765–777. [Google Scholar] [CrossRef]
- Klein, T. The Variability of Stomatal Sensitivity to Leaf Water Potential across Tree Species Indicates a Continuum between Isohydric and Anisohydric Behaviours. Funct. Ecol. 2014, 28, 1313–1320. [Google Scholar] [CrossRef]
- McDowell, N.; Pockman, W.T.; Allen, C.D.; Breshears, D.D.; Cobb, N.; Kolb, T.; Plaut, J.; Sperry, J.; West, A.; Williams, D.G.; et al. Mechanisms of Plant Survival and Mortality during Drought: Why do Some Plants Survive while Others Succumb to Drought? New Phytol. 2008, 178, 719–739. [Google Scholar] [CrossRef]
- Shackel, K.A.; Ahmadi, H.; Biasi, W.; Buchner, R.; Yeager, J. Plant water status as an index of irrigation need in deciduous fruit trees. Horttechnology 1997, 7, 23–29. [Google Scholar] [CrossRef]
- Urli, M.; Porte, A.J.; Cochard, H.; Guengant, Y.; Burlett, R.; Delzon, S. Xylem Embolism Threshold for Catastrophic Hydraulic Failure in Angiosperm Trees. Tree Physiol. 2013, 33, 672–683. [Google Scholar] [CrossRef]
- Tyree, M.T.; Sperry, J.S. Vulnerability of Xylem to Cavitation and Embolism. Annu. Rev. Plant Physiol. Plant Mol. Biol. 2003, 40, 19–38. [Google Scholar] [CrossRef]
- Pockman, W.T.; Sperry, J.S. Vulnerability to Xylem Cavitation and the Distribution of Sonoran Desert Vegetation. Am. J. Bot. 2000, 87, 1287–1299. [Google Scholar] [CrossRef]
- Cochard, H.; Casella, E.; Mencuccini, M. Xylem Vulnerability to Cavitation Varies among Poplar and Willow Clones and Correlates with Yield. Tree Physiol. 2007, 27, 1761–1767. [Google Scholar] [CrossRef] [PubMed]
- Dalla-Salda, G.; Martinez-Meier, A.; Cochard, H.; Rozenberg, P. Variation of Wood Density and Hydraulic Properties of Douglas-fir (Pseudotsuga menziesii (Mirb.) Franco) Clones Related to a Heat and Drought Wave in France. For. Ecol. Manag. 2009, 257, 182–189. [Google Scholar] [CrossRef]
- Sangsing, K.; Kasemsap, P.; Thanisawanyangkura, S.; Sangkhasila, K.; Gohet, E.; Thaler, P.; Cochard, H. Xylem Embolism and Stomatal Regulation in Two Rubber Clones (Hevea brasiliensis Muell. Arg.). Trees 2004, 18, 109–114. [Google Scholar] [CrossRef]
- Wikberg, J.; Gren, E. Interrelationships between Water Use and Growth Traits in Biomass-Producing Willows. Trees 2004, 18, 70–76. [Google Scholar] [CrossRef]
- Fichot, R.; Barigah, T.S.; Chamaillard, S.; Thiec, D.L.; Laurans, F.; Cochard, H.; Brignolas, F. Common trade-offs between Xylem Resistance to Cavitation and Other Physiological Traits do not Hold among Unrelated Populus deltoides × Populus nigra Hybrids. Plant Cell Environ. 2010, 33, 1553–1568. [Google Scholar] [CrossRef]
- Awad, H.; Barigah, T.; Badel, E.; Cochard, H.; Herbette, S. Poplar Vulnerability to Xylem Cavitation Acclimates to Drier Soil Conditions. Physiol. Plant. 2010, 139, 280–288. [Google Scholar] [CrossRef]
- Hajek, P.; Leuschner, C.; Hertel, D.; Delzon, S.; Schuldt, B. Trade-offs between Xylem Hydraulic Properties, Wood Anatomy and Yield in Populus. Tree Physiol. 2014, 34, 744–756. [Google Scholar] [CrossRef]
- Barigah, T.S.; Charrier, O.; Douris, M.; Bonhomme, M.; Herbette, S.; Améglio, T.; Fichot, R.; Brignolas, F.; Cochard, H. Water Stress-Induced Xylem Hydraulic Failure is a Causal Factor of Tree Mortality in Beech and Poplar. Ann. Bot.-Lond. 2013, 112, 1431–1437. [Google Scholar] [CrossRef]
- Moshelion, M.; Halperin, O.; Wallach, R.; Oren, R.; Way, D.A. Role of Aquaporins in Determining Transpiration and Photosynthesis in Water-stressed Plants: Crop Water-use Efficiency, Growth and Yield. Plant Cell Environ. 2015, 38, 1785–1793. [Google Scholar] [CrossRef]
- Hao, S.; Zhao, T.; Xia, X.; Yin, W. Genome-wide Comparison of Two poplar Genotypes with Different Growth Rates. Plant Mol. Biol. 2011, 76, 575–591. [Google Scholar] [CrossRef]
- Dietze, M.C.; Sala, A.; Carbone, M.S.; Czimczik, C.I.; Mantooth, J.A.; Richardson, A.D.; Vargas, R. Nonstructural Carbon in Woody Plants. Annu. Rev. Plant Biol. 2014, 65, 667–687. [Google Scholar] [CrossRef] [PubMed]
- Wiley, E.; Helliker, B. A Re-Evaluation of Carbon Storage in Trees Lends Greater Support for Carbon Limitation to Growth. New Phytol. 2012, 195, 285–289. [Google Scholar] [CrossRef] [PubMed]
- Griffiths, H. Plant Responses to Water Stress. Ann. Bot.-Lond. 2002, 89, 801–802. [Google Scholar] [CrossRef] [PubMed]
- Sevanto, S.; McDowell, N.G.; Dickman, L.T.; Pangle, R.; Pockman, W.T. How do trees die? A Test of the Hydraulic Failure and Carbon Starvation Hypotheses. Plant Cell Environ. 2014, 37, 153–161. [Google Scholar] [CrossRef] [PubMed]
- Galiano, L.; Timofeeva, G.; Saurer, M.; Siegwolf, R.; Martínez-Vilalta, J.; Hommel, R.; Gessler, A. The Fate of Recently Fixed Carbon after Drought Release: Towards Unravelling C Storage Regulation in Tilia platyphyllos and Pinus sylvestris. Plant Cell Environ. 2017, 40, 1711–1724. [Google Scholar] [CrossRef]
- Huang, J.; Hammerbacher, A.; Weinhold, A.; Reichelt, M.; Gleixner, G.; Behrendt, T.; van Dam, N.M.; Sala, A.; Gershenzon, J.; Trumbore, S.; et al. Eyes on the Future-evidence for Trade-offs between Growth, Storage and Defense in Norway Spruce. New Phytol. 2019, 222, 144–158. [Google Scholar] [CrossRef]
- O’Brien, M.J.; Burslem, D.F.R.P.; Caduff, A.; Tay, J.; Hector, A. Contrasting Nonstructural Carbohydrate Dynamics of Tropical Tree Seedlings under Water Deficit and Variability. New Phytol. 2015, 205, 1083–1094. [Google Scholar] [CrossRef]
© 2020 by the authors. Licensee MDPI, Basel, Switzerland. This article is an open access article distributed under the terms and conditions of the Creative Commons Attribution (CC BY) license (http://creativecommons.org/licenses/by/4.0/).





