The Long-Term Survival and Growth of Enrichment Plantings in Logged Tropical Rainforest in North Queensland, Australia
Abstract
1. Introduction
2. Materials and Methods
2.1. Background to the Establishment of the Experiments
2.2. Data Analysis
3. Results
3.1. Survival
3.2. The Annualised Mortality Rate of Enrichment Plantings
3.3. The Survival of Enrichment Plantings with Increasing Post-Logging Overwood
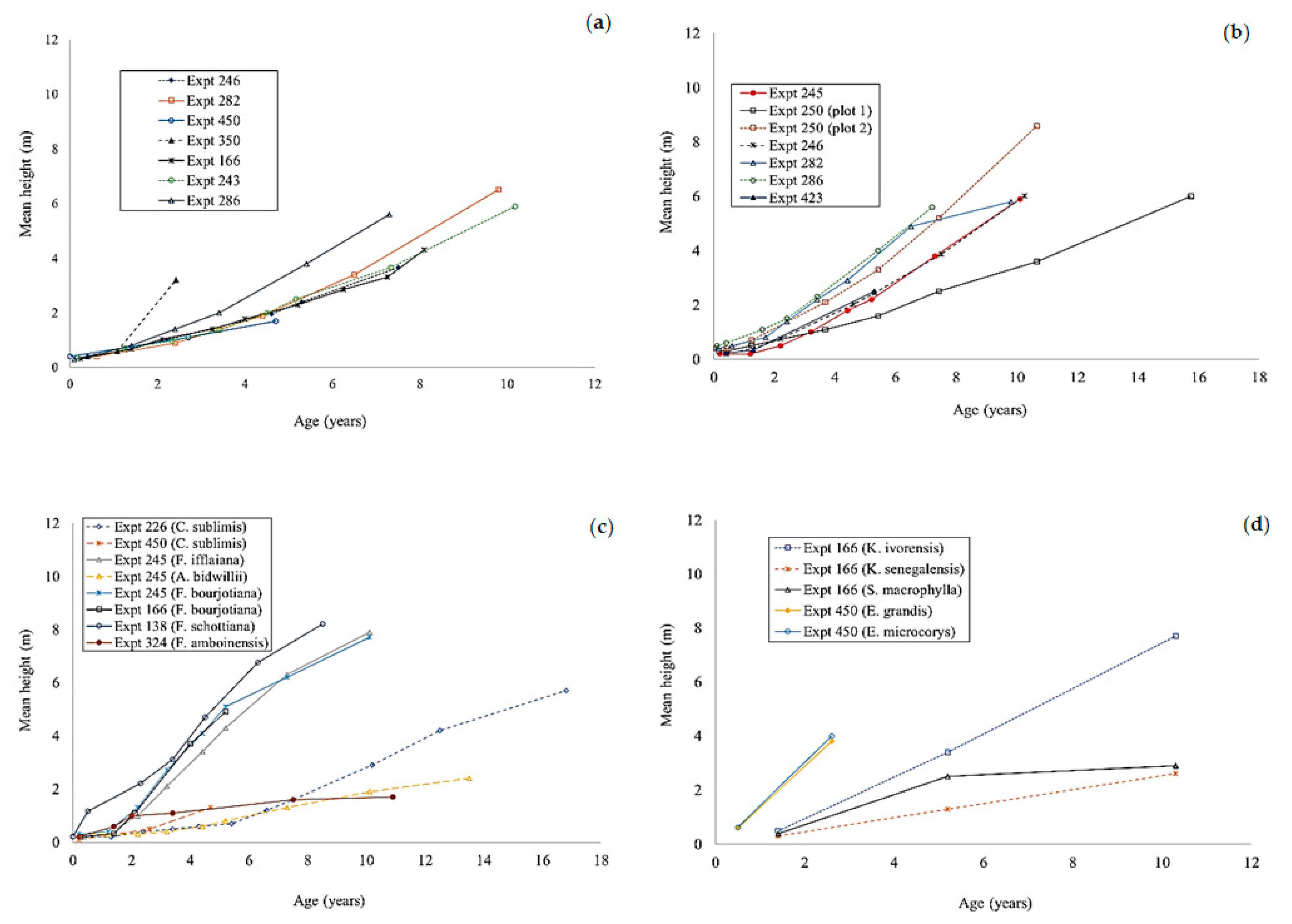
3.4. Height Development of the Enrichment Plantings
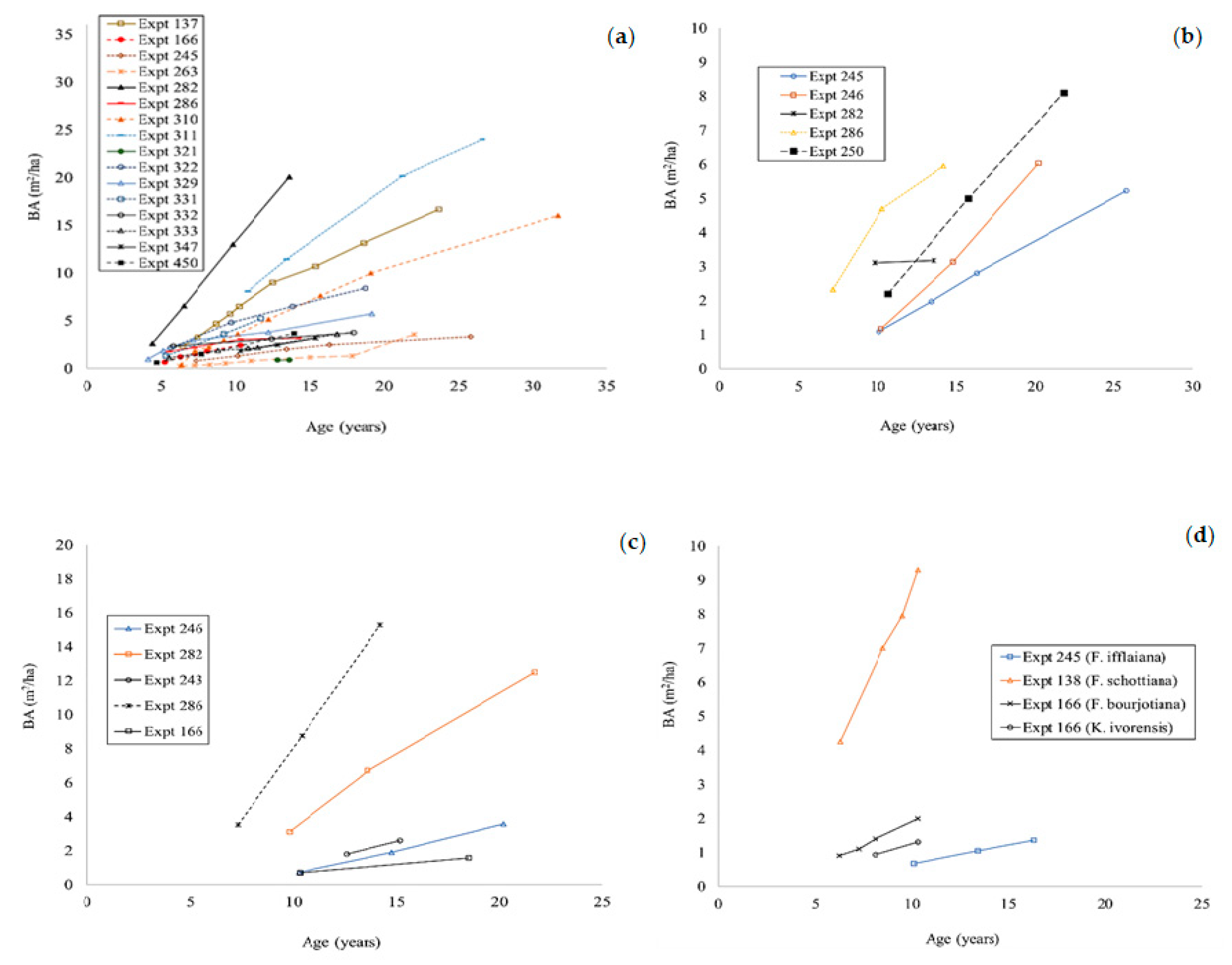
3.5. Basal Area Development of the Enrichment Plantings
3.6. The Height Growth of Three Commercially Desirable Species in the Enrichment Planting Experiments in Which They Grew Best
3.7. The Growth Response of Flindersia brayleyana to Different Tending Regimes
3.8. The Development of “Cohorts” of Overwood over Time
3.9. Qualitative Evidence from Old QDF Office Memos and Summary Reports
4. Discussion
4.1. Implications of These Results for Production Forestry
4.2. Interpreting the Results of This Study for Individual Tree Species
4.3. Reflections on the Historical Records and Broader Impacts of the Research
4.4. The Implication of These Results for Enrichment Planting as Part of Assisted Natural Regeneration
5. Conclusions
Author Contributions
Funding
Acknowledgments
Conflicts of Interest
Appendix A
| Expt | Number of Plots | Study Site | Species | Date Expt Commenced (month/year) | Age (years) | Planted Spacing (m) | Soil Type | Mean Rainfall (mm/year) | Slope (degrees) | Elevation (m) | Aspect |
|---|---|---|---|---|---|---|---|---|---|---|---|
| 137 | 1 | Atherton | F. brayleyana | 1–2/1954 | 23.7 | 2.7 × 2.4 | Granite | 1800 | Level | 1130 | Level |
| 138 | 1 | Atherton | F. schottiana | 2/1954 | 10.3 | Unknown | Gritty loam | 1778 | Unknown | 1158 | Unknown |
| 159 | 7 | Kuranda | F. brayleyana | 4/1954 | 9.3 | 2.4 × 3.7 | Basalt | 1400 | Unknown | 750 | Unknown |
| 166 | 5 | Kuranda | F. brayleyana | 5/1956 | 18.5 | 3.7 × 4.6 | Basalt | 1780–2030 | 5–10 | 790 | W |
| 166 | 1 | Ravenshoe | K. ivorensis | 5/1956 | 10.3 | 3.7 × 4.6 | Basalt | 1780–2030 | 5–10 | 790 | W |
| 166 | 2 | Ravenshoe | K. senegalensis | 5/1956 | 10.3 | 3.7 × 4.6 | Basalt | 1780–2030 | 5–10 | 790 | W |
| 166 | 1 | Ravenshoe | S. macrophylla | 5/1956 | 10.3 | 3.7 × 4.6 | Basalt | 1780–2030 | 5–10 | 790 | W |
| 166 | 2 | Ravenshoe | F. bourjotiana | 5/1956 | 10.3 | 3.7 × 4.6 | Basalt | 1780–2030 | 5–10 | 790 | W |
| 166 | 2 | Ravenshoe | A. cunninghamii | 5/1956 | 18.5 | 3.7 × 4.6 | Basalt | 1780–2030 | 5–10 | 790 | W |
| 226 | 1 | Eacham | C. sublimis | 3/1958 | 16.8 | 3.7 × 3 | Basalts | 1800 | 2–3 | 670 | N/N/E |
| 227 | 1 | Atherton | C. sublimis | 8/1958 | 3.0 | 3. 6 × 3 | Granite | 1778 | 10–15 | 1036 | S/W |
| 243 | 1 | Atherton | A. cunninghamii | 3/1959 | 15.2 | 2.4 × 3.7 | Granite | 1778 | 5–10 | 914 | W |
| 245 | 1 | Kuranda | F. brayleyana | 4/1959 | 25.8 | 4.6 × 3.7 | Metamorphic | 2040 | Level | 440 | Unknown |
| 245 | 1 | Kuranda | A. robusta | 4/1959 | 25.8 | 4.6 × 3.7 | Metamorphic | 2040 | Level | 440 | Unknown |
| 245 | 1 | Kuranda | F. ifflaiana | 4/1959 | 16.3 | 4.6 × 3.7 | Metamorphic | 2040 | Level | 440 | Unknown |
| 245 | 1 | Kuranda | A. bidwillii | 4/1959 | 13.5 | 4.6 x 3.7 | Metamorphic | 2040 | Level | 440 | Unknown |
| 245 | 1 | Kuranda | F. bourjotiana | 4/1959 | 13.4 | 4.6 x 3.7 | Metamorphic | 2040 | Level | 440 | Unknown |
| 246 | 2 | Kuranda | A. cunninghamii | 2–3/1959 | 20.2 | Unknown | Metamorphic | 1850 | 0–10 | 450 | W |
| 246 | 2 | Kuranda | A. robusta | 2–3/1959 | 20.2 | N/A | Metamorphic | 1850 | 0–10 | 450 | W |
| 250 | 2 | Kuranda | A. robusta (SP) | 1/1960 | 15.8 | N/A | Metamorphic | 2030 | <5 | 430 | E/S/E |
| A. robusta | 1/1960 | 21.8 | N/A | Metamorphic | 2030 | <5 | 430 | N | |||
| 263 | 1 | Kuranda | F. brayleyana | 5/1954 | 22.0 | 2.7 × 2.7 | Granite | 1800 | 5 | 1100 | N/W |
| 282 | 1 | Atherton | F. brayleyana | 12/1960 | 21.7 | 3.7 × 2.7 | Rhyolite | 2050 | 15 | 1220 | W |
| 282 | 1 | Atherton | A. robusta | 12/1960 | 13.6 | 3.7 × 2.7 | Rhyolite | 2050 | 15 | 1220 | W |
| 282 | 1 | Atherton | A. cunninghamii | 12/1960 | 21.7 | 3.7 × 2.7 | Rhyolite | 2050 | 15 | 1220 | W |
| 283 | 1 | Atherton | F. brayleyana | 12/1960 | 13.4 | Unknown | Granite | 2050 | Unknown | 1040 | Unknown |
| 286 | 1 | Atherton | F. brayleyana | 1/1961 | 14.2 | 3.7 × 2.4 | Metamorphic | 1400 | <5 | 610 | N |
| 286 | 1 | Atherton | A. cunninghamii | 1/1961 | 14.2 | 3.7 × 2.4 | Metamorphic | 1400 | <5 | 610 | N |
| 286 | 1 | Atherton | A. robusta | 1/1961 | 14.2 | 3.7 × 2.4 | Metamorphic | 1400 | <5 | 610 | N |
| 310 | 1 | Atherton | F. brayleyana | 6/1955–11/1956 | 31.7 | 3 × 3 | Basalt | 2090 | 5 | 670 | W |
| 311 | 1 | Atherton | F. brayleyana | 11/1960–1/1961 | 26.6 | 3 × 3 | Rhyolite | 1750 | 8–13 | 1040 | S/W |
| 317 | 1 | Atherton | F. brayleyana | 2/1952 | 23.7 | 3 × 2.7 | Metamorphic | 1400 | Level | 730 | Level |
| 321 | 1 | Atherton | F. brayleyana | 11/1960–1/1961 | 13.6 | 3 × 3 | Metamorphic | 1400 | 10 | 730 | N/E |
| 322 | 1 | Kuranda | F. brayleyana | 11/1960–1/1961 | 18.7 | 3 × 3 | Metamorphic | 2080 | 0–15 | 488 | W/N/W |
| 324 | 1 | Atherton | F. amboinensis | 2/1963 | 10.9 | 4.3 × 3 | Metamorphic | 2100 | 2 | 460 | E |
| 329 (R1) | 1 | Mission Beach | F. brayleyana | 2–8/1963 | 19.2 | 4.3 × 3 | Metamorphic | 3500 | 0 | 6 | N |
| 329 (R2) | 1 | Mission Beach | F. brayleyana | 2–8/1963 | 19.2 | 4.3 × 3 | Metamorphic | 3500 | 5–15 | 6 | S/W |
| 331 | 1 | Atherton | F. brayleyana | 11/1961–1/1962 | 11.7 | 3 × 3 | Metamorphic | 1250 | 7–15 | 730 | S/E |
| 333 | 1 | Yungaburra | F. brayleyana | 1961 | 16.8 | 3 × 3 | Metamorphic | 2090 | 5–10 | 670 | S/W |
| 347 | 1 | Eacham | F. brayleyana | 11/1958–6/1959 | 15.4 | Unknown | Basalt | 2000 | 2–5 | 670 | W/N/W |
| 350 | 1 | Atherton | F. brayleyana | 1963 | 18.4 | Unknown | Granite | 2150 | 0–5 | 580 | S/W |
| 350 | 2 | Atherton | A. cunninghamii | 1963 | 18.4 | Unknown | Granite | 2150 | 0–5 | 580 | S/W |
| 373 (R1) | 4 | Kuranda | F. brayleyana | 12/1966 | 14.0 | Unknown | Granite | 2032 | Unknown | 457 | Unknown |
| 373 (R2) | 4 | Kuranda | F. brayleyana | 12/1966 | 14.0 | Unknown | Metamorphic | 2032 | Unknown | 457 | Unknown |
| 423 | 1 | Atherton | F. brayleyana | 4/1968 | 5.5 | 4.6 × 6.1 | Basalt | 2800 | <10 | 825 | N/E |
| 423 | 1 | Atherton | A. robusta | 4/1968 | 5.5 | 4.6 × 6.1 | Basalt | 2800 | <10 | 825 | N/E |
| 450 | 1 | Eacham | F. brayleyana | 1–6/1970 | 13.9 | 6.1 × 4.6 | Basalt | 2000 | 0–5 | 730 | N/W |
| 450 | 1 | Eacham | F. brayleyana | 1–6/1970 | 13.9 | 6.1 × 4.6 | Basalt | 2000 | 0–5 | 730 | N/W |
| 450 | 1 | Eacham | A. cunninghamii | 1–6/1970 | 4.7 | 6.1 × 4.6 | Basalt | 2000 | 0–5 | 730 | N/W |
| 450 | 1 | Eacham | C. sublimis | 1–6/1970 | 4.7 | 6.1 × 4.6 | Basalt | 2000 | 0–5 | 730 | N/W |
| 450 | 1 | Eacham | E. grandis | 1–6/1970 | 3.4 | 6.1 × 4.6 | Basalt | 2000 | 0–5 | 730 | N/W |
| 450 | 1 | Eacham | E. microcorys | 1–6/1970 | 2.6 | 6.1 × 4.6 | Basalt | 2000 | 0–5 | 730 | N/W |
| 450 | 1 | Eacham | E. pilularis | 1–6/1970 | 1.3 | 6.1 × 4.6 | Basalt | 2000 | 0–5 | 730 | N/W |
| 450 | 1 | Eacham | C. torelliana | 1–6/1970 | 1.3 | 6.1 × 4.6 | Basalt | 2000 | 0–5 | 730 | N/W |
| 456 | 1 | Kuranda | F. brayleyana | 2/1955 | 17.4 | 3.7 × 2.4 | Granite | 1800 | n/a | 1160 | N/W |
| Expt | Last Logged (year) | Date Expt Commenced (month/year) | Treatment after Enrichment Planting (month/year) | |||||
|---|---|---|---|---|---|---|---|---|
| Ringbarking and Herbicide Application | Brushing | Line Tending | 1.5m Radial Tending | Stinger Tending | Vine Tending | |||
| 137 | 1953 | 1–2/1954 | 1/1957, 8/1957 | 1/1956, 7/1957 | ||||
| 138 | Unknown | 2/1954 | 8/1958 | 10/1963 | ||||
| 159 * | 1954 | 4/1954 | ||||||
| 166 | 1942–1944 | 5/1956 | 10/1957, 9/1962, 1/1964 | 10/1957, 5/1958, 9/1962, 1/1964 | 10/1958, 8/1959, 6/1961 | 10/1957, 10/1958, 8/1959, 6/1961, 9/1962, 1/1964, 8/1964 | 10/1956 | 1/1964 |
| 226 | 1957 | 3/1958 | 10/1962; 11/1963 | 4/1974 | 6/1959; 10/1964 | |||
| 227 * | 1958 | 8/1958 | ||||||
| 243 | 1954–1956 | 3/1959 | 11/1961 | 7/1961 | 9/1960, 10/1964 | |||
| 245 | 1958–1959 | 4/1959 | 6/1959 | 11/1963; 4/1964;1/1965 | 7/1962; 11/1963, 4/1964 | |||
| 246 | Before 1958 | 2–3/1959 | 6/1974 | 12/1960; 1/1963; 12/1965 | ||||
| 250 | Unknown | 1/1960 | 12/1970 | 12/1970 | 7/1962 | 1/1965 | 11/1963 | |
| 263 | Unknown | 5/1954 | 1965 | |||||
| 282 | 1960 | 12/1960 | 10/1961 | 12/1962; 11/1963; 4/1964, 10/1964 | 5/1964 | |||
| 283 | 1957 | 12/1960 | 12/1961 | 12/1962, 4/1964 | 12/1961, 11/1963 | 10/1964 | ||
| 286 | 1930 | 1/1961 | 5/1975 | 4/1964 | 4/1968 | 2/1966 | ||
| 310 | Unknown | 6/1955–11/1956 | 2/1965 | 10/1964 | 7/1957; 3/1961 | 7/1957; 3/1961 | ||
| 311 | 1960 | 11/1960–1/1961 | 9/1962 | 10/1964 | 11/1963 | |||
| 317 | 1951 | 2/1952 | 12/1964 | 12/1963 | ||||
| 321 | 1945 | 11/1960–1/1961 | 12/1961 | 12/1961 | 1/1964; 2/1966 | |||
| 322 | 1956 | 11/1960–1/1961 | 9/1975 | 11/1963 | ||||
| 324 | 1948 | 2/1963 | 1/1974 | 1/1974 | 11/1965 | 7/1964, 1/1965 | 4/1964 | |
| 329 | 1960 | 2/–8/1963 | 12/1965 | 7/1964; 7/1965/7/1966 | 7/1965 | |||
| 331 | 1958 | 11/1961–1/1962 | 11/1963; 2/1966 | 11/1963 | ||||
| 333 | 1961 | 1961 | 1963 | |||||
| 350 | 350 | 1963 | 5/1964 | 1964, 1965 | ||||
| 347 | 1955 | 11/1958–6/1959 | 1961 | 9/1959; 10/1964 | 1958/1959 | 7/1961, 10/1964 | ||
| 373 * | 1964–1957 | 12/1966 | ||||||
| 423 | 1960 | 4/1968 | 10/1968, 10/1973 | 8/1974 | ||||
| 450 | 1970 | 1–6/1970 | 3/1973 | 3/1973 | 9/1972; 8/1974 | |||
| 456 | 1954 | 2/1955 | 8/1959, 4/1964 | 8/1955 | ||||
| Expt/Species | Annualised Mortality Rate (%) for Time Period Intervals (years) | |||||
|---|---|---|---|---|---|---|
| Expt 310/Flindersia brayleyana | 0–4.4 years | 4.5–6.3 years | 6.4–10.1 years | 10.2–15.7 years | 15.8–19.1 years | 19.2–31.7 years |
| 7.0% | 0.9% | 1.0% | 1.4% | 3.1% | 3.2% | |
| Expt 311/Flindersia brayleyana | 0–2.7 years | 2.8–5.5 years | 5.6–10.8 years | 10. 9–13.4 years | 13.5–21.2 years | 21.3–26.6 years |
| 0.9% | 0.8% | 0.5% | 1.5% | 0.2% | 0.8% | |
| Expt 245/Flindersia brayleyana | 0–3.2 years | 3.3–7.3 years | 7.4–10.1 years | 10.2–13.4 years | 13.5–16.3 years | 16.3–25.8 years |
| 5.1% | 3.5% | 0% | 0.4% | 0.5% | 1% | |
| Expt 137/Flindersia brayleyana | 0–4.3 years | 4.4–7.4 years | 7.5–10.2 years | 10.3–15.4 years | 15.5–18.6 years | 18.7–23.7 years |
| 1% | 3.5% | 0.5% | 1.8% | 0.9% | 0.3% | |
| Expt 347/Flindersia brayleyana | 0–2.4 years | 2.5–4.3 years | 4.4–6.2 years | 6.3–10.3 years | 10.4–11.4 years | |
| 11.9% | 7.0% | 4.0% | 5.9% | 3.2% | ||
| Expt 322/Flindersia brayleyana | 0–2.8 years | 2.9–5.6 years | 5.7–9.7 years | 9.8–13.8 years | 13.9–18.7 years | |
| 6.9% | 4.2% | 1.8% | 0% | 0% | ||
| Expt 333/Flindersia brayleyana | 0–3.5 years | 3.6–5.5 years | 5.6–8.8 years | 8.9–10.8 years | 10.9–16.8 years | |
| 2.7% | 2.4% | 3.2% | 9.4% | 2.5% | ||
| Expt 321/Flindersia brayleyana | 0 - 2.6 years | 2.7 - 5.6 years | 5.7 - 8.9 years | 9 - 10.3 years | 10.4 - 13.6 years | |
| 3.2% | 2.1% | 5.6% | 24.6% | 1.8% | ||
| Expt 329/Flindersia brayleyana | 0 - 2.9 years | 3 - 4.1 years | 4.2 - 7.1 years | 7.2 - 12.2 years | 12.3 - 19.2 years | |
| 3.3% | 2.5% | 2.1% | 1.2% | 1.5% | ||
| Expt 263/Flindersia brayleyana | 0–6.2 years | 6.3 - 9.3 years | 9.4 - 11 years | 11.1 - 15 years | 15.1 - 17.8 years | |
| 3% | 0.4% | 0% | 0% | 2.4% | ||
| Expt 282/Flindersia brayleyana | 0-3.4 years | 3.5–6.5 years | 6.6–9.8 years | 9.9–13.6 years | 13.7–21.7 years | |
| 1.5% | 1.1% | 1.0% | 0.6% | 0.3% | ||
| Expt 332/Flindersia brayleyana | 0–3.5 years | 3.6–5.8 years | 5.9–12.4 years | 12.5–17.9 years | ||
| 3.3% | 3.4% | 1.1% | 0.8% | |||
| Expt 286/Flindersia brayleyana | 0–5.5 years | 5.6–7.2 years | 7.3–10.3 years | 10.4–14.2 years | ||
| 2.8% | 2.8% | 0.3% | 6.9% | |||
| Expt 166/Flindersia brayleyana | 0–3.3 years | 3.4–7.3 years | 7.4–10.3 years | 10.3–18.5 years | ||
| 3.3% | 3.9% | 5.3% | 6.5% | |||
| Expt 456/Flindersia brayleyana | 0–3.5 years | 3.6–5.6 years | 5.7–14.8 years | 14.9–17.4 years | ||
| 8.6% | 0.7% | 8.2% | 0.8% | |||
| Expt 283/Flindersia brayleyana | 0–3.4 years | 3.5–6.5 years | 6.6–9.8 years | 9.9–13.4 years | ||
| 16.4% | 0.7% | 0.6% | 1.8% | |||
| Expt 373/Flindersia brayleyana | 0–1.2 years | 1.3–7 years | 7–14 years | |||
| 2.2% | 1.3% | 2.2% | ||||
| Expt 450/Flindersia brayleyana | 0–4.7 years | 4.8–7.7 years | 7.8–13.9 years | |||
| 4.9% | 2.3% | 1.0% | ||||
| Expt 423/Flindersia brayleyana | 0–1.3 years | 1.4–5.5 years | ||||
| 23.8% | 5.3% | |||||
| Expt 245/Agathis robusta | 0–3.2 years | 3.3–7.3 years | 7.4–10.1 years | 10.2–13.4 years | 13.5–16.3 years | 16.4–25.8 years |
| 4.1% | 2.3% | 3.7% | 1.9% | 1.5% | 0% | |
| Expt 246/Agathis robusta | 0–5.3 year | 5.4–7.5 years | 7.6–10.3 years | 10.4–14.8 years | 14.9–20.2 years | |
| 1.4% | 0.0% | 1.1% | 0.8% | 0.1% | ||
| Expt 250/Agathis robusta | 0–3.7 years | 3.8–7.4 years | 7.5–10.7 years | 10.8–15.8 years | 15.9–21.8 years | |
| 0.3% | 1.7% | 0.6% | 1% | 1.3% | ||
| Expt 282/Agathis robusta | 0–3.4 years | 3.5–6.5 years | 6.6–9.8 years | 9.9–13.6 years | ||
| 1.5% | 3.9% | 1.9% | 1% | |||
| Expt 286/Agathis robusta | 0–7.2 years | 7.3–10.3 years | 10.3–14.2 years | |||
| 0.2% | 0.4% | 0.3% | ||||
| Expt 423/Agathis robusta | 0–1.3 years | 1.3–5.3 years | ||||
| 8.4% | 5.8% | |||||
| Expt 282/Araucaria cunninghamii | 0–3.4 years | 3.5–6.5 years | 6.6–9.8 years | 9.9–13.6 years | 13.7–21.7 years | |
| 1.2% | 5.2% | 2.2% | 2.9% | 2.1% | ||
| Expt 246/Araucaria cunninghamii | 0–4.6 years | 4.7–7.5 years | 7.6–10.3 years | 10.4–14.8 years | 14.9–20.2 years | |
| 0.3% | 0.9% | 0% | 2% | 1.9% | ||
| Expt 166/Araucaria cunninghamii | 0–3.3 years | 3.4–5.2 years | 5.3–7.3 years | 7.3–10.3 years | 10.4–18.5 years | |
| 3% | 2.5% | 6.5% | 1.5% | 3.5% | ||
| Expt 243/Araucaria cunninghamii | 0–3.4 years | 3.5–7.3 years | 7.4–10.2 years | 10.3–15.2 years | ||
| 0.6% | 1% | 2.5% | 4.7% | |||
| Expt 286/Araucaria cunninghamii | 0–10.4 years | 10.5–14.2 years | ||||
| 0.2% | 0.3% | |||||
| Expt 450/Araucaria cunninghamii | 0–2.7 years | 2.8–4.7 years | ||||
| 1.9% | 4.6% | |||||
| Expt 350/Araucaria cunninghamii | 0–2.4 years | 2.5–18.4 years | ||||
| 0.4% | 100% | |||||
| Expt 245/Flindersia bourjotiana | 0–3.2 years | 3.3–7.3 years | 7.4–10.1 years | 10.2–13.4 years | ||
| 10% | 11.7% | 0 | 28.3% | |||
| Expt 166/Flindersia bourjotiana | 0–4 years | 4.1–7.3 years | 7.4–10.3 years | |||
| 2.4% | 1.6% | 3.6% | ||||
| Expt 226/Cardwellia sublimis | 0–3.4 years | 3.5–6.6 years | 6.7–10.2 years | 10.3–12.5 years | ||
| 10.8% | 3.6% | 3.7% | 9.9% | |||
| Expt 227/Cardwellia sublimis | 0–1.7 years | 1.8–3 years | ||||
| 33.5% | 64.4% | |||||
| Expt 450/Cardwellia sublimis | 0–2.6 years | 2.7–4.7 years | ||||
| 34.5% | 20.7% | |||||
| Expt 245/Flindersia ifflaiana | 0–3.2 years | 3.3–7.3 years | 7.4–10.1 years | 10.2–13.4 years | 13.5–16.3 years | |
| 17.8% | 2.2% | 4.4% | 0.0% | 0.0% | ||
| Expt 245/Araucaria bidwillii | 0–3.2 years | 3.3–7.3 years | 7.4–10.1 years | 10.2–13 years | ||
| 3.8% | 0.0% | 1.6% | 4.9% | |||
| Expt 166/Khaya ivorensis | 0–3.3 years | 3.4–7.3 years | 7.4–10.3 years | |||
| 6.6% | 0.0% | 1.7% | ||||
| Expt 138/Flindersia schottiana | 0–3.4 years | 3.5–6.3 years | 6.4–8.5 years | 8.6–10.3 years | ||
| 2.3% | 1.1% | 1.5% | 2.2% | |||
| Expt 324/Flindersia amboinensis | 0–3.4 years | 3.5–7.5 years | 7.6–10.9 years | |||
| 5.81% | 1.63% | 4.23% | ||||
| Expt 166/Swietenia macrophylla | 0–1.4 years | 1.5–5.2 years | 5.3–10.3 years | |||
| 69.5% | 26.2% | 19.4% | ||||
| Expt 166/Khaya senegalensis | 0–3.3 years | 3.4–7.3 years | 7.4–10.3 years | |||
| 34.5% | 15.9% | 15.4% | ||||
| Expt 450/Eucalyptus grandis | 0–2.6 years | 2.7–4.7 years | ||||
| 43.2% | 100% | |||||
| Expt 450/Eucalyptus microcorys | 0–2.6 years | 2.7–4.7 years | ||||
| 27.7% | 100% | |||||
| Expt 450/Corymbia torelliana | 0–1.3 years | 1.4–3.4 years | ||||
| 93.3% | 100% | |||||
| Expt 450/Eucalyptus pilularis | 0–0.1 years | |||||
| 100% | ||||||
| Expt | Enrichment Plantings | Purpose of the Expt | Age of Enrichment Plantings (year) | Comment/Conclusion |
|---|---|---|---|---|
| 137 | Flindersia brayleyana | To observe the growth of enrichment plantings in treated rainforest. | 23.8 | Maple grown successfully, possibly because overwood basal area was below 15 m2/ha. |
| 138 | Flindersia schottiana | To observe the growth of planted Flindersia schottiana in treated rainforest. | 10.3 | Wallabies and borer attack caused significant mortality. |
| 159 | Flindersia brayleyana | To test the suitability of planted Flindersia brayleyana in treated eucalypt forest. | 0.3 | Maple was severely damaged by wallabies. A total of 60% of under-plantings died 3 months after planting. |
| 1.1 | Very poor survival: deaths caused by consistent browsing by wallabies (almost complete death). | |||
| 226 | Cardwellia sublimis | To test the suitability of planted Cardwellia sublimis in treated rainforest. | 16.8 | Overwood has not been reduced since 1963. |
| 12.5 | Overwood suppressed the enrichment plantings. | |||
| 227 | Cardwellia sublimis | To test the suitability of planted Cardwellia sublimis in treated rainforest. | 3 | Poor survival was caused by wallaby browsing. |
| 243 | Araucaria cunninghamii | To test the suitability of planted Araucaria cunninghamii in treated rainforest. | 5.2 | Poor growth caused by heavy growth of overwood. |
| 245 | Flindersia brayleyana, Agathis robusta, Flindersia ifflaiana, Flindersia bourjotiana, Araucaria bidwillii | To study the growth of enrichment plantings on a wet site in treated rainforest. | 16.3 | Growth of all species is falling because overwood basal area is now 27 m2/ha. Bunya pine had high survival rate, but its growth was very poor. |
| 246 | Araucaria cunninghamii, Agathis robusta | To test the suitability of enrichment plantings in treated rainforest. | 7.3 | The form of both kauri pine and hoop pine was good but vigour was fair. |
| 250 | Agathis robusta | To compare relative growth rate of the northern and southern provenances of Agathis robusta planted in treated rainforest. | 21.8 | At age 16, DBH for the best 100 tree/ha was 7 and 18 cm for plot 1 and plot 2, respectively. |
| 15.8 | Northern kauri pine in this experiment was better than on Expt 245 due to lower basal area. | |||
| 263 | Flindersia brayleyana | To test the suitability of planted Flindersia brayleyana in treated eucalypt forest. | 17.8 | Enrichment plantings were suppressed by eucalyptus species. |
| 263 | Flindersia brayleyana | To test the suitability of planted Flindersia brayleyana in treated eucalypt forest. | 17.8 | Enrichment plantings were suppressed by eucalyptus species. |
| 283 | Flindersia brayleyana | To test the suitability of enrichment planting Flindersia brayleyana in treated rainforest. | 13.4 | Initial mortality (reason not known) was high, but growth since then has been satisfactory. The trees had good form. |
| 286 | Flindersia brayleyana, Araucaria cunninghamii, Agathis robusta. | To observe growth of rainforest species when planted under ringbarked wattle. | 14.2 | Hoop pine performed well, whereas maple and kauri pine grew poorly due to compacted subsoil. |
| 310 | Flindersia brayleyana | To follow the development of Flindersia brayleyana planted in treated rainforest. | 16.1 | Growth satisfactory. DBH growth peaked at age 8 to 9 when stand overwood was 15 m2/ha. However, when overwood increased to 29 m2/ha, growth declined. |
| 311 | Flindersia brayleyana | To observe the growth of planted Flindersia brayleyana in treated rainforest. | 13.4 | Maple grew very well despite a high initial overwood basal area of 14.7 m2/ha, which increased to 34.1 m2/ha at age 13. DBH increment still 0.8 cm/year. |
| 13.4 | Form and vigor were satisfactory. Branching was heavy but shedding is being stimulated by rainforest growth. | |||
| 317 | Flindersia brayleyana | To observe the growth of planted Flindersia brayleyana in treated rainforest. | 18.7 | Poor growth because overwood basal area ranged from 10 to 15 m2/ha when planted but increased. Overwood was reduced at age 10 and growth of the maple improved. |
| 321 | Flindersia brayleyana | To observe the development of planted Flindersia brayleyana in treated rainforest. | 13.6 | Competition from regrowth and vine resulted in poor growth. |
| 322 | Flindersia brayleyana | To observe the development of maple planted in treated rainforest. | 13.8 | Good growth with the best trees having free access to overhead light and planted away from retained trees. |
| 324 | Flindersia brayleyana | To observe growth of Flindersia amboinensis in treated rainforest. | 10.9 | Very slow growth due to overwood basal area of 32 m2/ha. |
| 329 | Flindersia brayleyana | To observe and record the growth of Flindersia brayleyana in treated rainforest. | 19.2 | Growth in both plots is slowing dramatically because of high overwood measured as 33 m2/ha in 1975. |
| 331 | Flindersia brayleyana | To collect increased data for GBH, basal area, and volume to determine the yield potential of Flindersia brayleyana planted in silviculturally treated rainforest. | 9.2 | A total of 30% of underplants were suppressed by overwood. Growth was poor. |
| 11.7 | Too much overwood remained in plot, resulted in very poor growth of underplants. | |||
| 332 | Flindersia brayleyana | To observe the growth of Flindersia brayleyana planted in treated rainforest. | 12.4 | Slow growth: caused by the initial basal area of overwood (15 m2/ha), which rose to 33 m2/ha at age 12. |
| 333 | Flindersia brayleyana | To follow the growth of planted Flindersia brayleyana in treated rainforest. | 16.8 | Large retained rainforest trees restricted the growth of enrichment plantings. |
| 11.3 | Most enrichment plantings had free access to overhead light and side light. Form and log lengths were consequently good. | |||
| 347 | Flindersia brayleyana | To assess the potential yield of planted Flindersia brayleyana in silviculturally treated rainforest. | 15.4 | Poor growth due to suppressed by overwood. DBH increments were falling steadily at age 12 to 15 due to overwood basal area being 30 m2/ha. |
| 350 | Flindersia brayleyana, Araucaria cunninghamii. | To observe the growth rate of enrichment plantings in logged rainforest. | 18.4 | Hoop pine failed due to lack of tending. Maple showed that it can grow successfully with minimum follow-up treatment. |
| 373 | Flindersia brayleyana | To observe growth under different tending regimes in treated rainforest. | 8.8 | The plots that had received no tending grew poorly. |
| 423 | Flindersia brayleyana, A. robusta | To test the suitability of enrichment plantings in treated rainforest. | 5.5 | Growth of enrichment plantings was good, but the survival was poor from the start due to heavy vine growth. The long delay between establishment and first tending resulted in severe damage. |
| 450 | Flindersia brayleyana, Araucaria cunninghamii, Cardwellia bidwillii, Eucalyptus grandis, Eucalyptus microcorys, Corymbia torelliana, Eucalyptus pilularis | To calculate the cost of enrichment planting and to assess growth and development of the enrichment plantings. | 7.7 | The eucalyptus species planted failed, despite replanting. This is the best maple plot in north Queensland. |
| 7.7 | The form of maple was reasonable and improving; some maples were damaged from rung overwood; some suffered a setback to form and vigour due to rampant vines growth. | |||
| 4.7 | Form of the hoop pine and bull oak was below average due to vine damage and suppression by weeds. Eucalyptus species failed completely. |
| Expt/Plot | Planted Species | Surveyed Date (month/year) | Age of Enrichment Plantings (year) | Overwood Basal Area (m2/ha) and Stocking (stems/ha) of Each Cohort | Stocking of Enrichment Plantings (stems/ha) | BA of Enrichment Plantings (m2/ha) | ||||||
|---|---|---|---|---|---|---|---|---|---|---|---|---|
| Cohort 1 | Cohort 2 | Cohort 3 | Cohort 4 | Cohort 5 | Cohort 6 | Total BA and Stocking | ||||||
| 322/1 | Flindersia brayleyana | 3/1961 | 0.3 | 11.5 (198) | 11.5 (198) | 721 | ||||||
| 7/1963 | 2.8 | 12.5 (198) | 0.2 (69) | 12.7 (267) | 623 | |||||||
| 5/1966 | 5.6 | 14.4 (188) | 0.3 (69) | 1.5 (475) | 16.2 (732) | 553 | 2.2 | |||||
| 7/1970 | 9.7 | 16.8 (178) | 0.4 (59) | 3.4 (475) | 1.5 (554) | 22.1 (126) | 514 | 4.8 | ||||
| 7/1974 | 13.8 | 18.9 (178) | 0.4 (50) | 4.5 (436) | 2.6 (535) | 0.17 (119) | 26.5 (1318) | 514 | 6.5 | |||
| 6/1979 | 18.7 | 15.3 (89) | 0.4 (40) | 2.2 (248) | 2.0 (406) | 0.21 (99) | 0.01 (10) | 20.1 (892) | 514 | 8.4 | ||
| 245/2 | Flindersia brayleyana | 8/1959 | 0.2 | 11.2 (179) | 11.2 (179) | 385 | ||||||
| 6/1961 | 2.2 | 11.7 (179) | 11.7 (179) | 326 | ||||||||
| 7/1963 | 4.4 | 12.0 (169) | 2.3 (362) | 14.3 (531) | 322 | |||||||
| 7/1966 | 7.3 | 13.3 (169) | 3.0 (362) | 2.7 (556) | 18.9 (1087) | 282 | 0.8 | |||||
| 4/1969 | 10.1 | 13.8 (164) | 2.4 (188) | 4.8 (556) | 2.5 (874) | 23.4 (1738) | 282 | 1.3 | ||||
| 7/1972 | 13.4 | 14.2 (150) | 1.9 (130) | 6.8 (478) | 4.1 (784) | 1.67 (628) | 28.7 (2170) | 278 | 2.0 | |||
| 245/1 | Agathis robusta | 8/1959 | 0.2 | 6.1 (58) | 6.1 (58) | 495 | ||||||
| 6/1961 | 2.2 | 6.3 (58) | 0.01 (4) | 6.3 (62) | 438 | |||||||
| 7/1963 | 4.4 | 6.8 (58) | 0.01 (4) | 1.5 (261) | 8.3 (323) | 420 | ||||||
| 7/1966 | 7.3 | 7.7 (53) | 0.0 (0) | 2.5 (261) | 3.0 (606) | 13.2 (920) | 393 | |||||
| 4/1969 | 10.1 | 7.9 (53) | 0.0 (0) | 2.1 (164) | 5.3(602) | 1.28 (518) | 16.5 (1337) | 354 | 1.1 | |||
| 7/1972 | 13.4 | 8.5 (53) | 0.0 (0) | 1.3 (102) | 8.0 (540) | 1.99 (522) | 0.65 (270) | 20.5 (1487) | 332 | 2.0 | ||
| 246/2 | Agathis robusta | 5/1959 | 0.4 | 15.0 (233) | 15.0 (233) | 424 | ||||||
| 3/1961 | 2.2 | 15.6 (233) | 15.6 (233) | 401 | ||||||||
| 7/1963 | 4.6 | 16.6 (233) | 16.6 (233) | 401 | ||||||||
| 7/1966 | 7.5 | 18.2 (233) | 2.9 (555) | 21.0 (788) | 401 | |||||||
| 4/1969 | 10.3 | 15.8 (214) | 3.76 (517) | 1.45 (476) | 21.0 (1207) | 382 | 0.32 | |||||
| 1/1974 | 14.8 | 17.1 (210) | 5.13 (471) | 2.11 (448) | 0.16 (5) | 24.5 (1134) | 364 | 1.67 | ||||
| 4/1979 | 20.2 | 17.6 (177) | 1.6 (131) | 0.7 (117) | 0.0 (0) | 0.1 (14) | 20.0 (439) | 359 | 3.97 | |||
| 246/4 | Agathis robusta | 5/1959 | 0.4 | 23.3 (158) | 23.3 (158) | 485 | ||||||
| 3/1961 | 2.2 | 23.9 (158) | 23.9 (158) | 480 | ||||||||
| 7/1963 | 4.6 | 23.8 (153) | 23.8 (153) | 480 | ||||||||
| 7/1966 | 7.5 | 25.2 (153) | 1.5 (403) | 26.6 (556) | 475 | |||||||
| 4/1969 | 10.3 | 26.1 (148) | 2.06 (357) | 0.31 (153) | 28.4 (658) | 470 | 2 | |||||
| 1/1974 | 14.8 | 28.1 (148) | 2.94 (332) | 0.52 (153) | 31.6 (633) | 459 | 4.5 | |||||
| 4/1979 | 20.2 | 26.3 (128) | 1.8 (153) | 0.2 (51) | 0.1 (15) | 28.4 (347) | 459 | 8.1 | ||||
| 246/1 | Araucaria cunninghamii | 5/1959 | 0.4 | 11.0 (213) | 11.0 (213) | 383 | ||||||
| 3/1961 | 2.2 | 11.5 (213) | 11.5 (213) | 376 | ||||||||
| 7/1963 | 4.6 | 12.5 (213) | 12.5 (213) | 376 | ||||||||
| 7/1966 | 7.5 | 16.7 (213) | 2.7 (616) | 19.4 (829) | 356 | |||||||
| 4/1969 | 10.3 | 14.1 (201) | 3.9 (585) | 1.1 (457) | 19.2 (1243) | 356 | 0.4 | |||||
| 1/1974 | 14.8 | 14.8 (190) | 5.8 (542) | 1.7 (426) | 22.1 (1158) | 321 | 1.7 | |||||
| 4/1979 | 20.2 | 14.9 (151) | 2.7 (217) | 1.4 (159) | 19.0 (527) | 321 | 4.1 | |||||
| 246/3 | Araucaria cunninghamii | 5/1959 | 0.4 | 17.2 (178) | 17.2 (178) | 403 | ||||||
| 3/1961 | 2.2 | 17.5 (178) | 17.5 (178) | 403 | ||||||||
| 7/1963 | 4.6 | 18.0 (178) | 18.0 (178) | 403 | ||||||||
| 7/1966 | 7.5 | 18.7 (173) | 1.7 (503) | 20.4 (676) | 403 | |||||||
| 4/1969 | 10.3 | 19.1 (160) | 2.4 (472) | 1.0 (455) | 22.6 (1087) | 403 | 1.0 | |||||
| 1/1974 | 14.8 | 20.6 (156) | 3.5 (468) | 1.8 (442) | 26.2 (1066) | 373 | 2.1 | |||||
| 4/1979 | 20.2 | 20.8 (134) | 1.5 (147) | 0.7 (91) | 0.1 (13) | 23.1 (385) | 303 | 3.8 | ||||
| 245/3 | Flindersia ifflaiana | 8/1959 | 0.2 | 11.4 (118) | 11.4 (118) | 535 | ||||||
| 6/1961 | 2.2 | 11.8 (118) | 11.8 (118) | 292 | ||||||||
| 7/1963 | 4.4 | 10.9 (106) | 4.1 (516) | 15.0 (621) | 286 | |||||||
| 7/1966 | 7.3 | 11.8 (99) | 5.9 (516) | 3.4 (752) | 21.1 (1366) | 261 | ||||||
| 4/1969 | 10.1 | 12.2 (99) | 5.5 (373) | 5.2 (752) | 2.4 (839) | 25.3 (2062) | 230 | |||||
| 7/1972 | 13.4 | 12.6 (99) | 5.3 (311) | 7.4 (689) | 3.8 (832) | 1.5 (634) | 30.5 (2565) | 230 | ||||
References
- Montagnini, F.; Jordan, C.F. Tropical Forest Ecology: The Basis for Conservation and Management; Springer Science & Business Media: Berlin, Germany, 2005. [Google Scholar]
- Lawal, A.; Adekunle, V.J. A silvicultural approach to volume yield, biodiversity and soil fertility restoration of degraded natural forest in South-West Nigeria. Int. J. Biodivers. Sci. Ecosyst. Serv. Manag. 2013, 9, 201–214. [Google Scholar] [CrossRef][Green Version]
- Keenan, R.; Hambleton, A.; Robson, K.; Webb, M. Growth response of rainforest cabinet timber species to fertiliser application in North Queensland plantations. In Soils of Tropical Forest Ecosystems; Springer Science and Business Media LLC: Berlin, Germany, 1998; pp. 107–114. [Google Scholar]
- Singh, K.D. Global Forest Resources Assessments. Sustain. Land Use Mount. Regions Southeast Asia 2013, 3, 203–211. [Google Scholar]
- Putz, F.E. The Natural History of Lianas on Barro Colorado Island, Panama. Ecology 1984, 65, 1713–1724. [Google Scholar] [CrossRef]
- Putz, F.E.; Chai, P. Ecological Studies of Lianas in Lambir National Park, Sarawak, Malaysia. J. Ecol. 1987, 75, 523. [Google Scholar] [CrossRef]
- Mills, D.J.; Bohlman, S.A.; Putz, F.E.; Andreu, M. Liberation of future crop trees from lianas in Belize: Completeness, costs, and timber-yield benefits. For. Ecol. Manag. 2019, 439, 97–104. [Google Scholar] [CrossRef]
- Marshall, A.R.; Coates, M.A.; Kivambe, E.; Mnendendo, H.; Mtoka, S.; Mwakisoma, R.; Figueiredo, R.J.R.L.; Njilima, F.M.; Archer, J. Liana cutting for restoring tropical forests: A rare palaeotropical trial. Afr. J. Ecol. 2016, 55, 282–297. [Google Scholar] [CrossRef]
- Sabogal, C.; Nasi, R. Restoring Overlogged Tropical Forests. In Forest Restoration in Landscapes; Springer: New York, NY, USA, 2006; pp. 361–369. [Google Scholar]
- Nabe-Nielsen, J.; Severiche, W.; Fredericksen, T.; Nabe-Nielsen, L.I. Timber tree regeneration along abandoned logging roads in a tropical Bolivian forest. New For. 2007, 34, 31–40. [Google Scholar] [CrossRef]
- Millet, J.; Tran, N.; Ngoc, N.V.; Thi, T.T.; Prat, D. Enrichment planting of native species for biodiversity conservation in a logged tree plantation in Vietnam. New For. 2012, 44, 369–383. [Google Scholar] [CrossRef]
- Yeong, K.L.; Reynolds, G.; Hill, J.K.; Loong, Y.K. Enrichment planting to improve habitat quality and conservation value of tropical rainforest fragments. Biodivers. Conserv. 2016, 25, 957–973. [Google Scholar] [CrossRef]
- Ruslandi, R.; Romero, C.; Putz, F. Financial viability and carbon payment potential of large-scale silvicultural intensification in logged dipterocarp forests in Indonesia. For. Policy Econ. 2017, 85, 95–102. [Google Scholar] [CrossRef]
- Pariona, W.; Fredericksen, T.S.; Licona, J. Natural regeneration and liberation of timber species in logging gaps in two Bolivian tropical forests. For. Ecol. Manag. 2003, 181, 313–322. [Google Scholar] [CrossRef]
- Schwartz, G.; Lopes, J.C.; Mohren, F.; Peña-Claros, M. Post-harvesting silvicultural treatments in logging gaps: A comparison between enrichment planting and tending of natural regeneration. For. Ecol. Manag. 2013, 293, 57–64. [Google Scholar] [CrossRef]
- Hartshorn, G.S. Application of Gap Theory to Tropical Forest Management: Natural Regeneration on Strip Clear-cuts in the Peruvian Amazon. Ecology 1989, 70, 567–576. [Google Scholar] [CrossRef]
- Peña-Claros, M.; Boot, R.G.; Dorado-Lora, J.; Zonta, A. Enrichment planting of Bertholletia excelsa in secondary forest in the Bolivian Amazon: Effect of cutting line width on survival, growth and crown traits. For. Ecol. Manag. 2002, 161, 159–168. [Google Scholar] [CrossRef]
- Forbes, A.S.; Norton, D.A.; Carswell, F.E. Underplanting degraded exotic Pinus with indigenous conifers assists forest restoration. Ecol. Manag. Restor. 2015, 16, 41–49. [Google Scholar] [CrossRef]
- Montagnini, F.; Eibl, B.; Grance, L.; Maiocco, D.; Nozzi, D. Enrichment planting in overexploited subtropical forests of the Paranaense region of Misiones, Argentina. For. Ecol. Manag. 1997, 99, 237–246. [Google Scholar] [CrossRef]
- Ådjers, G.; Hadengganan, S.; Kuusipalo, J.; Nuryanto, K.; Vesa, L. Enrichment planting of dipterocarps in logged-over secondary forests: Effect of width, direction and maintenance method of planting line on selected Shorea species. For. Ecol. Manag. 1995, 73, 259–270. [Google Scholar] [CrossRef]
- Alvarez-Aquino, C.; Williams-Linera, G.; Newton, A. Experimental Native Tree Seedling Establishment for the Restoration of a Mexican Cloud Forest. Restor. Ecol. 2004, 12, 412–418. [Google Scholar] [CrossRef]
- D’Oliveira, M.V. Artificial regeneration in gaps and skidding trails after mechanised forest exploitation in Acre, Brazil. For. Ecol. Manag. 2000, 127, 67–76. [Google Scholar] [CrossRef]
- Phongoudome, C.; Sawathvong, S.; Woo, S.-Y.; Ho, W.M.; Park, Y.-D. Effects of Enrichment Planting with Five Native Species and Different Plantation Treatments on Seedling Growth Characteristics at Logged-over Forest in Lao PDR. Korean J. Agric. For. Meteorol. 2012, 14, 45–52. [Google Scholar] [CrossRef][Green Version]
- Vanclay, J. Lessons from the Queensland Rainforests. J. Sustain. For. 1996, 3, 1–27. [Google Scholar] [CrossRef]
- Keys, M.; Nicholson, D. Underplanting of silviculturally treated rainforest in north Queensland. Qld Dep. For. 1982, 7, 23. [Google Scholar]
- Sheil, D.; May, R.M. Mortality and recruitment rate evaluation in heterogeneous ropical forests. J. Ecol. 1996, 81, 91–100. [Google Scholar] [CrossRef]
- Bristow, M.; Erskine, P.D.; McNamara, S.; Annandale, M. Species performance and site relationships for rainforest timber species in plantations in the humid tropics of Queensland. In Reforestation in the Tropics and Subtropics of Australia: Using Rainforest Tree Species; Erskine, P.D., Lamb, D., Bristow, M., Eds.; Rainforest CRC: Cairns, Australia, 2005; pp. 84–100. [Google Scholar]
- Girona, M.M.; Rossi, S.; Lussier, J.-M.; Walsh, D.; Morin, H. Understanding tree growth responses after partial cuttings: A new approach. PLoS ONE 2017, 12, e0172653. [Google Scholar]
- Gerhardt, K. Leaf defoliation of tropical dry forest tree seedlings–implications for survival and growth. Trees 1998, 13, 88–95. [Google Scholar] [CrossRef]
- Engelbrecht, B.M.J.; Kursar, T.A.; Tyree, M.T. Drought effects on seedling survival in a tropical moist forest. Trees 2005, 19, 312–321. [Google Scholar] [CrossRef]
- Agyeman, V.K.; Swaine, M.D.; Thompson, J. Responses of tropical forest tree seedlings to irradiance and the derivation of a light response index. J. Ecol. 1999, 87, 815–827. [Google Scholar] [CrossRef]
- Osunkoya, O.; Ash, J.E.; Hopkins, M.S.; Graham, A.W. Factors affecting survival of tree seedlings in North Queensland rainforests. Oecologia 1992, 91, 569–578. [Google Scholar] [CrossRef]
- Thompson, W.; Stocker, G.; Kriedemann, P. Growth and Photosynthetic Response to Light and Nutrients of Flindersia brayleyana F. Muell., A Rainforest Tree With Broad Tolerance to Sun and Shade. Funct. Plant Boil. 1988, 15, 299–315. [Google Scholar] [CrossRef]
- Goosem, S.P.; Tucker, N.I. Repairing the Rainforest; Wet Tropics Management Authority: Cairns City QlD 4870, Australia, 2013.
- Enright, N.J. The ecology of Araucaria species in New Guinea. II. Pattern in the distribution of young and mature individuals and light requirements of seedlings. Austr. Ecol. 1982, 7, 39–48. [Google Scholar] [CrossRef]
- Florence, R. Ecology and Silviculture of Eucalypt Forests; CSIRO Publishing: Clayton, VIC, Australia, 2004. [Google Scholar]
- Simpson, J.; Osborne, D. Performance of seven hardwood species underplanted to Pinus elliottii in south-east Queensland. For. Ecol. Manag. 2006, 233, 303–308. [Google Scholar] [CrossRef]
- Ramos, J.; Del Amo, S. Enrichment planting in a tropical secondary forest in Veracruz, Mexico. For. Ecol. Manag. 1992, 54, 289–304. [Google Scholar] [CrossRef]
- Negreros-Castillo, P.; Mize, C. Enrichment planting and the sustainable harvest of mahogany (Swietenia macrophylla King) in Quintana Roo, Mexico. In Big-leaf Mahogany: Genetics, Ecology Management; Lugo, A.E., Alayón, M., Eds.; Springer: New York, NY, USA, 2003; pp. 278–287. [Google Scholar]
- Snook, L.K.; Negreros-Castillo, P. Regenerating mahogany (Swietenia macrophylla King) on clearings in Mexico’s Maya forest: The effects of clearing method and cleaning on seedling survival and growth. For. Ecol. Manag. 2004, 189, 143–160. [Google Scholar] [CrossRef]
- Applegate, G.; Robson, K. Establishment of mixed rainforest species on degraded land-a case study from the coastal lowlands of northeastern Australia. J. Trop. For. Sci. 1994, 7, 8–17. [Google Scholar]
- Bloor, J.M.G.; Grubb, P.J. Growth and mortality in high and low light: Trends among 15 shade-tolerant tropical rain forest tree species. J. Ecol. 2003, 91, 77–85. [Google Scholar] [CrossRef]
- Hawthorne, W. Forest Regeneration after Logging: Findings of a Study in the Bia South Game Production Reserve, Ghana; Overseas Development Administration (ODA): London, UK, 1993. [Google Scholar]
- Opuni-Frimpong, E.; Karnosky, D.; Storer, A.; Cobbinah, J. Silvicultural systems for plantation mahogany in Africa: Influences of canopy shade on tree growth and pest damage. For. Ecol. Manag. 2008, 255, 328–333. [Google Scholar] [CrossRef]
- Yang, Y.; Wang, L.; Yang, Z.; Xu, C.; Xie, J.; Chen, G.; Lin, C.; Guo, J.; Liu, X.; Xiong, D.; et al. Large Ecosystem Service Benefits of Assisted Natural Regeneration. J. Geophys. Res. Biogeosci. 2018, 123, 676–687. [Google Scholar] [CrossRef]
- Uebel, K.; A Wilson, K.; Shoo, L.P. Assisted natural regeneration accelerates recovery of highly disturbed rainforest. Ecol. Manag. Restor. 2017, 18, 231–238. [Google Scholar] [CrossRef]
- Peltier, R.; Diowo, S.; Gigaud, M.; Marien, J.-N.; Marquant, B.; Vermeulen, C.; Dubiez, E.; Peroches, A.; Proces, P. Assisted Natural Regeneration in slash-and-burn agriculture: Results in the Democratic Republic of the Congo. Bois Forets Des Trop. 2014, 321, 67. [Google Scholar] [CrossRef]
- De Cauwer, V.; Chaka, M.; Chimwamurombe, P.M.; George, D.; Ham, H.; Heita, H.; Makoi, T.; Mashungwa, G.; Reinhold-Hurek, B.; Tshwenyane, S. Artificial and assisted natural regeneration of socio-economically important southern African tree species. Biodivers. Ecol. 2018, 6, 324–331. [Google Scholar] [CrossRef][Green Version]






| Scientific Name | Common Name | Light Requirement | Distribution |
|---|---|---|---|
| Flindersia brayleyana F. Muell | Queensland maple | Light-demanding | Endemic to north-eastern Queensland |
| Flindersia ifflaiana F. Muell | Hickory ash | Light-demanding | North-eastern Queensland, also New Guinea |
| Flindersia bourjotiana F. Muell | Queensland silver ash | Shade-tolerant | Endemic to north-eastern Queensland |
| Agathis robusta (C. Moore ex F. Muell.) F.M. Bailey | Kauri pine | Shade-tolerant | Papua New Guinea and Queensland, Australia |
| Araucaria cunninghamii Aiton ex D. Don | Hoop pine | Shade-tolerant | North-eastern QLD to north-eastern NSW, also New Guinea |
| Araucaria bidwillii Hook | Bunya pine | Light-demanding | Endemic to north-eastern and south-eastern Queensland |
| Cardwellia sublimis F. Muell | Northern silky oak | Shade-tolerant | Endemic to north-eastern Queensland between Mossman and Townsville |
| Eucalyptus grandis W. Hill ex Maiden | Rose gum | Light-demanding | Distributed in north-eastern Queensland and southwards to coastal central New South Wales. |
| Eucalyptus microcorys F. Muell | Tallowwood | Light-demanding | Southern Queensland |
| Corymbia torelliana F. Muell | Cadaga | Light-demanding | Endemic to north-eastern Queensland |
| Eucalyptus pilularis Smith | Blackbutt | Light-demanding | Found in New South Wales and south-eastern Queensland |
| Khaya ivorensis A. chev | Ivory Coast mahogany | Light-demanding | Found mostly in West Africa and southern Nigeria |
| Khaya senegalensis (Desr.) A. Juss | Dry zone mahogany | Moderately shade-tolerant | West tropical Africa from the Guinea Coast to Cameroon and extending eastward through the Congo Basin to Uganda and parts of Sudan. |
| Swietenia macrophylla King | American mahogany | Light-demanding | Distributed throughout the American tropics |
| Flindersia schottiana F. Muell | Northern silver ash | Shade-tolerant | North-eastern Queensland to north-eastern New South Wales, and in Papua New Guinea |
| Flindersia amboinensis Poir | New Guinea ash | Unknown | Ceram and Tanimbar Islands in the Moluccas eastward throughout New Guinea |
| Expt | Species | Initial Basal Area of Overwood (m2/ha) | Initial Survival (%) at Age of Measurement (years) |
|---|---|---|---|
| 137 | Flindersia brayleyana | 13.8 | 99 (2.3) |
| 245 | Flindersia brayleyana | 11.2 | 87 (1.2) |
| 282 | Flindersia brayleyana | 9.0 | 99 (1.7) |
| 310 | Flindersia brayleyana | 6.4 | 83 (1.4) |
| 311 | Flindersia brayleyana | 14.8 | 98 (1.6) |
| 321 | Flindersia brayleyana | 9.3 | 84 (1.7) |
| 322 | Flindersia brayleyana | 9.64 | 86 (1.6) |
| 329 | Flindersia brayleyana | 13.7 | 96 (1.8) |
| 331 | Flindersia brayleyana | 7.9 | 88 (1.5) |
| 332 | Flindersia brayleyana | 15.3 | 93 (1.8) |
| 347 | Flindersia brayleyana | 14.3 | 80 (1.5) |
| Species | Enrichment Plantings at Age 10 | Plantation-Grown Trees at Age 8 [27] | ||||
|---|---|---|---|---|---|---|
| Expt | PHD at Age 10 (m) | Mean DBH (cm) | Mean Height (m) | Mean DBH (cm) | Mean Height (m) | |
| Flindersia brayleyana | 282 | 14 | 14.1 | Not measured | 14.7 | 12.1 |
| Agathis robusta | 246 | 9.6 | 7.1 | 6.0 | 9.2 | 6.6 |
| Araucaria cunninghamii | 282 | 9.4 | 7.6 | 6.5 | 12.5 | 8.3 |
| Treatment | Treatment Characteristics | Mean DBH (cm) and Standard Error | BA (m2/ha) |
|---|---|---|---|
| Treatment 1 | High shade: all understory brushed and trees ranging from 4.9 to 14.6 cm DBH retained, with the remainder ringbarked or herbicided. | 5.5 (0.14) | 1.8 |
| Treatment 2 | No shade: all understory brushed, and all trees ringbarked and herbicided. | 8.5 (0.24) | 3.4 |
| Treatment 3 | Low shade: all trees over 4.9 cm ringbarked and treated with herbicide, all vines brushed but no other treatment except along planting lines. | 7.8 (0.22) | 2.9 |
| Treatment 4 | No shade: all understory brushed, and all trees ringbarked but herbicide was not applied, so that the overstory trees died slowly. | 8.1 (0.23) | 3.2 |
© 2020 by the authors. Licensee MDPI, Basel, Switzerland. This article is an open access article distributed under the terms and conditions of the Creative Commons Attribution (CC BY) license (http://creativecommons.org/licenses/by/4.0/).
Share and Cite
Minh Quang, P.; Baynes, J.; Herbohn, J.; Applegate, G.; Keys, M. The Long-Term Survival and Growth of Enrichment Plantings in Logged Tropical Rainforest in North Queensland, Australia. Forests 2020, 11, 386. https://doi.org/10.3390/f11040386
Minh Quang P, Baynes J, Herbohn J, Applegate G, Keys M. The Long-Term Survival and Growth of Enrichment Plantings in Logged Tropical Rainforest in North Queensland, Australia. Forests. 2020; 11(4):386. https://doi.org/10.3390/f11040386
Chicago/Turabian StyleMinh Quang, Phan, Jack Baynes, John Herbohn, Grahame Applegate, and Murray Keys. 2020. "The Long-Term Survival and Growth of Enrichment Plantings in Logged Tropical Rainforest in North Queensland, Australia" Forests 11, no. 4: 386. https://doi.org/10.3390/f11040386
APA StyleMinh Quang, P., Baynes, J., Herbohn, J., Applegate, G., & Keys, M. (2020). The Long-Term Survival and Growth of Enrichment Plantings in Logged Tropical Rainforest in North Queensland, Australia. Forests, 11(4), 386. https://doi.org/10.3390/f11040386

