Modeling the Carbon Cycle of a Subtropical Chinese Fir Plantation Using a Multi-Source Data Fusion Approach
Abstract
1. Introduction
2. Materials and Methods
2.1. Site Description
2.2. Data
2.2.1. Flux Data
2.2.2. Biometric Data
2.2.3. Soil Data
2.2.4. Meteorological Driving Data
2.3. DALEC Model
2.4. Parameterization of DALEC
3. Results
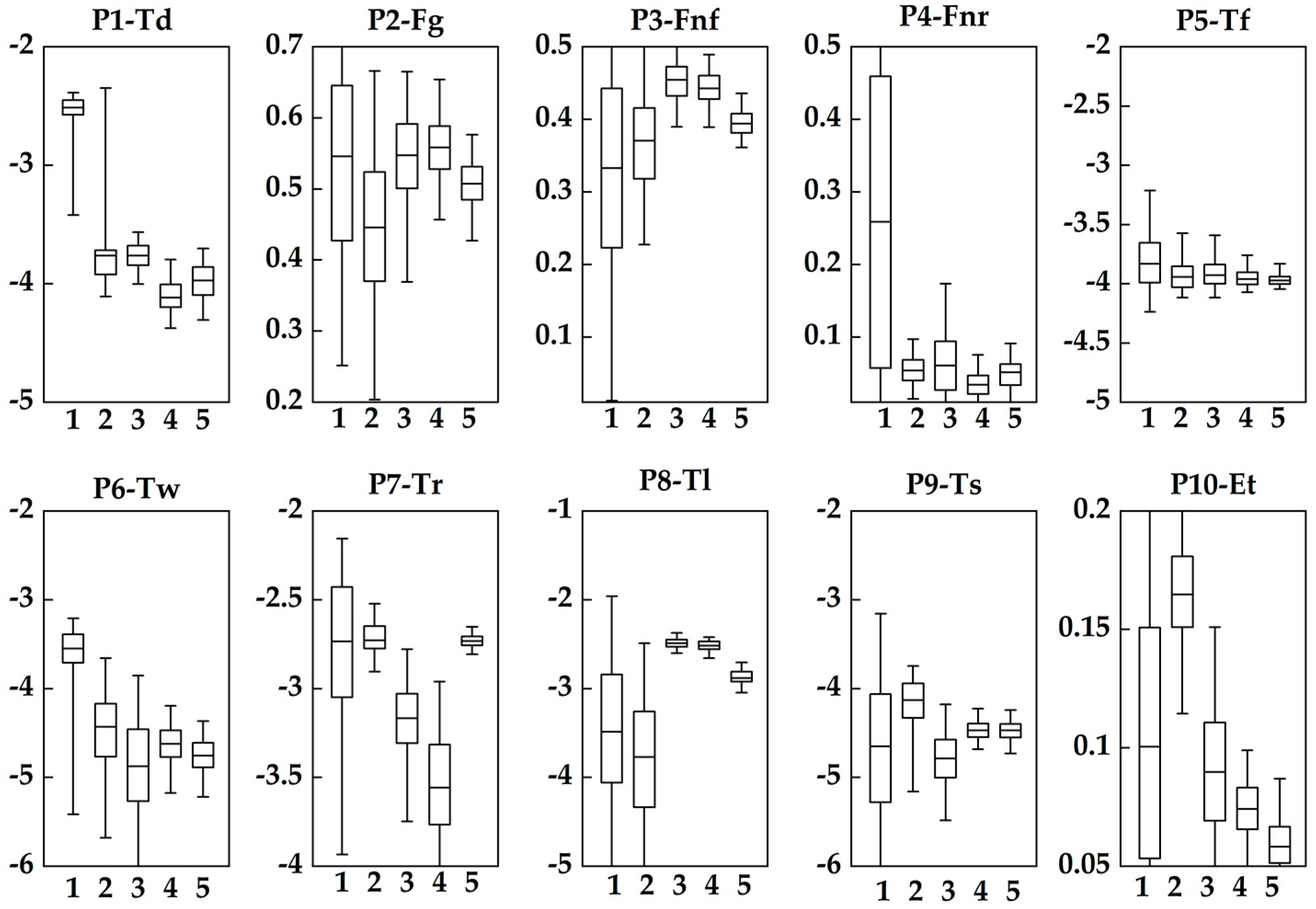
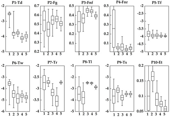
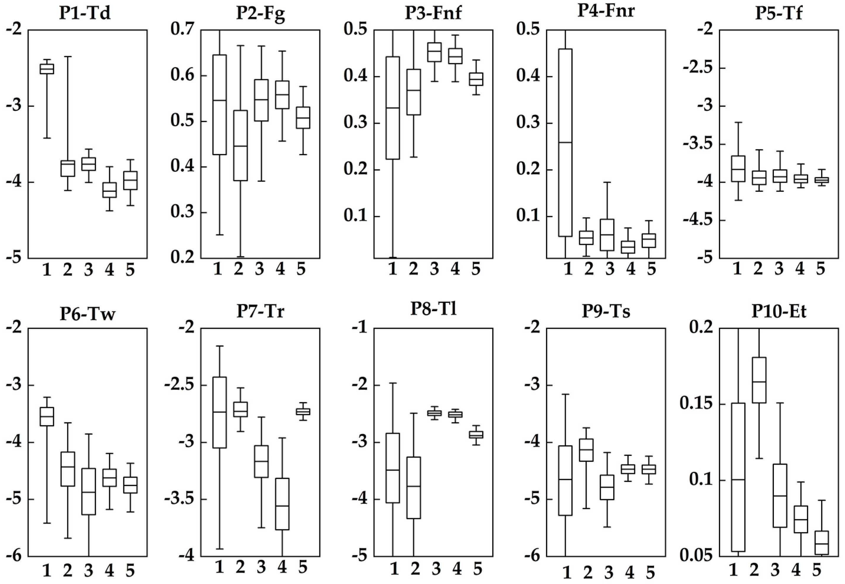
3.1. Constraint Effect of Multi-Source Data on Model Parameters
3.1.1. Parameter Posterior Distribution
3.1.2. Parameter Uncertainties
3.2. The Influence of Multi-Source Data on Predictions
3.2.1. C Pools
3.2.2. C Fluxes
4. Discussion
5. Conclusions
Author Contributions
Funding
Acknowledgments
Conflicts of Interest
References
- Niu, S.; Luo, Y.; Dietze, M.C.; Keenan, T.F.; Shi, Z.; Li, J.; Iii, F.S.C. The role of data assimilation in predictive ecology. Ecosphere 2014, 5, 1–16. [Google Scholar] [CrossRef]
- Peng, C.; Guiot, J.; Wu, H.; Jiang, H.; Luo, Y. Integrating models with data in ecology and palaeoecology: Advances towards a model-data fusion approach. Ecol. Lett. 2011, 14, 522–536. [Google Scholar] [CrossRef] [PubMed]
- López-Blanco, E.; Exbrayat, J.-F.; Lund, M.; Christensen, T.R.; Tamstorf, M.P.; Slevin, D.; Hugelius, G.; Bloom, A.A.; Williams, M. Evaluation of terrestrial pan-Arctic carbon cycling using a data-assimilation system. Earth Syst. Dyn. 2018, 10, 233–255. [Google Scholar] [CrossRef]
- Exbrayat, J.-F.; Bloom, A.A.; Falloon, P.; Ito, A.; Smallman, T.L.; Williams, M. Reliability ensemble averaging of 21st century projections of terrestrial net primary productivity reduces global and regional uncertainties. Earth Syst. Dyn. 2018, 9, 153–165. [Google Scholar] [CrossRef]
- Bloom, A.A.; Exbrayat, J.-F.; van der Velde, I.R.; Feng, L.; Williams, M. The decadal state of the terrestrial carbon cycle: Global retrievals of terrestrial carbon allocation, pools, and residence times. Proc. Natl. Acad. Sci. USA 2016, 113, 1285–1290. [Google Scholar] [CrossRef]
- Keenan, T.F.; Davidson, E.A.; Munger, J.W.; Richardson, A.D. Rate my data: Quantifying the value of ecological data for the development of models of the terrestrial carbon cycle. Ecol. Appl. 2013, 23, 273–286. [Google Scholar] [CrossRef]
- Li, W.; Ciais, P.; Wang, Y.; Peng, S.; Broquet, G.; Ballantyne, A.P.; Canadell, J.G.; Cooper, L.; Friedlingstein, P.; Quere, C.L.; et al. Reducing uncertainties in decadal variability of the global carbon budget with multiple datasets. Proc. Natl. Acad. Sci. USA 2016, 113, 13104–13108. [Google Scholar] [CrossRef]
- Xia, J.; Luo, Y.; Wang, Y.; Hararuk, O. Traceable components of terrestrial carbon storage capacity in biogeochemical models. Glob. Chang. Biol. 2013, 19, 2104–2116. [Google Scholar] [CrossRef]
- Smallman, T.L.; Exbrayat, J.F.; Mencuccini, M.; Bloom, A.A.; Williams, M. Assimilation of repeated woody biomass observations constrains decadal ecosystem carbon cycle uncertainty in aggrading forests. J. Geophys. Res. Biogeosci. 2017, 122, 528–545. [Google Scholar] [CrossRef]
- Keenan, T.F.; Davidson, E.; Moffat, A.M.; Munger, W.; Richardson, A.D. Using model-data fusion to interpret past trends, and quantify uncertainties in future projections, of terrestrial ecosystem carbon cycling. Glob. Chang. Biol. 2012, 18, 2555–2569. [Google Scholar] [CrossRef]
- Wu, D.; Piao, S.; Liu, Y. Evaluation of CMIP5 Earth System Models for the Spatial Patterns of Biomass and Soil Carbon Turnover Times and Their Linkage with Climate. J. Clim. 2018, 31, 5947–5960. [Google Scholar] [CrossRef]
- Ren, X.; He, H.; Zhang, L.; Li, F.; Liu, M.; Yu, G.; Zhang, J. Modeling and uncertainty analysis of carbon and water fluxes in a broad-leaved Korean pine mixed forest based on model-data fusion. Ecol. Model. 2018, 379, 39–53. [Google Scholar] [CrossRef]
- Wang, Y.P.; Trudinger, C.M.; Enting, I.G. A Review of Applications of Model-Data Fusion to Studies of Terrestrial Carbon Fluxes at Different Scales. Agric. For. Meteorol. 2009, 149, 1829–1842. [Google Scholar] [CrossRef]
- Luo, Y.; Weng, E.; Wu, X.; Gao, C.; Zhou, X.; Zhang, L. Parameter identifiability, constraint, and equifinality in data assimilation with ecosystem models. Ecol. Appl. 2009, 19, 571–574. [Google Scholar] [CrossRef]
- Liu, M.; He, H.; Ren, X.; Sun, X.; Yu, G.; Han, S.; Han, S.; Wang, H.; Zhou, G. The effects of constraining variables on parameter optimization in carbon and water flux modeling over different forest ecosystems. Ecol. Model. 2015, 303, 30–41. [Google Scholar] [CrossRef]
- Scholz, K.; Hammerle, A.; Hiltbrunner, E.; Wohlfahrt, G. Analyzing the effects of growing season length on the net ecosystem production of an alpine grassland using model–data fusion. Ecosystems 2018, 21, 982–999. [Google Scholar] [CrossRef]
- Zhang, T.; Sun, R.; Peng, C.; Peng, C.; Zhou, G.; Wang, C.; Zhu, Q.; Yang, Y. Integrating a model with remote sensing observations by a data assimilation approach to improve the model simulation accuracy of carbon flux and evapotranspiration at two flux sites. Sci. China Earth Sci. 2016, 59, 337–348. [Google Scholar] [CrossRef]
- Zhou, T.; Shi, P.; Jia, G.; Luo, Y. Nonsteady state carbon sequestration in forest ecosystems of china estimated by data assimilation. J. Geophys. Res. Biogeosci. 2013, 118, 1369–1384. [Google Scholar] [CrossRef]
- MacBean, N.; Peylin, P.; Chevallier, F.; Scholze, M.; Schurmann, G. Consistent assimilation of multiple data streams in a carbon cycle data assimilation system. Geosci. Model. Dev. 2016, 9, 3569–3588. [Google Scholar] [CrossRef]
- Ricciuto, D.M.; King, A.W.; Dragoni, D.; Post, W.M. Parameter and prediction uncertainty in an optimized terrestrial carbon cycle model: Effects of constraining variables and data record length. J. Geophys. Res. 2011, 116, 1–17. [Google Scholar] [CrossRef]
- Zobitz, J.M.; Desai, A.R.; Moore, D.J.P.; Chadwick, M.A. A primer for data assimilation with ecological models using Markov Chain Monte Carlo (MCMC). Oecologia 2011, 167, 599–611. [Google Scholar] [CrossRef] [PubMed]
- Lin, J.C.; Pejam, M.R.; Chan, E.; Wofsy, S.C.; Gottlieb, E.W.; Margolis, H.A.; McCaughey, J.H. Attributing uncertainties in simulated biospheric carbon fluxes to different error sources. Glob. Biogeochem. Cycles 2011, 25, 1–17. [Google Scholar] [CrossRef]
- Keenan, T.F.; Carbone, M.S.; Richardson, R.A.D. The model-data fusion pitfall: Assuming certainty in an uncertain world. Oecologia 2011, 167, 587–597. [Google Scholar] [CrossRef] [PubMed]
- Thum, T.; Zaehle, S.; Köhler, P.; Aalto, T.; Aurela, M.; Guanter, L.; Kolari, P.; Laurila, T.; Lohila, A.; Magnani, F.; et al. Modelling sun-induced fluorescence and photosynthesis with a land surface model at local and regional scales in northern Europe. Biogeosciences 2017, 14, 1969–1987. [Google Scholar] [CrossRef]
- Richardson, A.D.; Williams, M.; Hollinger, D.Y.; Moore, D.J.; Dail, D.B.; Davidson, E.A.; Scott, N.A.; Evans, R.S.; Hughes, H.; Lee, J.T.; et al. Estimating parameters of a forest ecosystem C model with measurements of stocks and fluxes as joint constraints. Oecologia 2010, 164, 25–40. [Google Scholar] [CrossRef]
- Bloom, A.A.; Williams, M. Constraining ecosystem carbon dynamics in a data-limited world: Integrating ecological “common sense” in a model–data fusion framework. Biogeosciences 2015, 12, 1299–1315. [Google Scholar] [CrossRef]
- Fox, A.; Williams, M.; Richardson, A.D.; Cameron, D.; Gove, J.H.; Quaife, T.; Ricciuto, D.; Reichstein, M.; Tomelleri, E.; Trudinger, C.M.; et al. The REFLEX project: Comparing different algorithms and implementations for the inversion of a terrestrial ecosystem model against eddy covariance data. Agric. For. Meteorol. 2009, 149, 1597–1615. [Google Scholar] [CrossRef]
- Friend, A.D.; Arneth, A.; Kiang, N.Y.; Lomas, M.; OgÉE, J.; RÖDenbeck, C.; Running, S.W.; Santaren, J.-D.; Sitch, S.; Viovy, N.; et al. FLUXNET and modelling the global carbon cycle. Glob. Chang. Biol. 2007, 13, 610–633. [Google Scholar] [CrossRef]
- Dutta, D.; Schimel, D.S.; Sun, Y.; Van der Tol, C.; Frankenberg, C. Optimal inverse estimation of ecosystem parameters from observations of carbon and energy fluxes. Biogeosciences 2019, 16, 77–103. [Google Scholar] [CrossRef]
- Li, Y.; Yang, H.; Wang, T.; Macbean, N.; Bacour, C.; Ciais, P.; Zhang, Y.; Zhou, G.; Piao, S. Reducing the uncertainty of parameters controlling seasonal carbon and water fluxes in chinese forests and its implication for simulated climate sensitivities. Glob. Biogeochem. Cycles 2017, 31, 1344–1366. [Google Scholar] [CrossRef]
- Safta, C.; Ricciuto, D.M.; Sargsyan, K.; Debusschere, B.; Najm, H.N.; Williams, M.; Thornton, P. Global sensitivity analysis, probabilistic calibration, and predictive assessment for the data assimilation linked ecosystem carbon model. Geosci. Model Dev. 2015, 8, 1899–1918. [Google Scholar] [CrossRef]
- Hill, T.C.; Williams, M.; Moncrieff, G.B. Constraining ecosystem processes from tower fluxes and atmospheric profiles. Ecol. Appl. 2011, 21, 1474–1489. [Google Scholar] [CrossRef] [PubMed]
- Williams, M.; Richardson, A.D.; Reichstein, M.; Stoy, P.C.; Peylin, P.; Verbeeck, H.; Carvalhais, N.; Jung, M.; Hollinger, D.Y.; Kattge, K.; et al. Improving land surface models with fluxnet data. Biogeosciences 2009, 6, 1341–1359. [Google Scholar] [CrossRef]
- Kuppel, S.; Peylin, P.; Chevallier, F.; Bacour, C.; Maignan, F.; Richardson, A.D. Constraining a global ecosystem model with multi-site eddy-covariance data. Biogeosci. Discuss. 2012, 9, 3317–3380. [Google Scholar] [CrossRef]
- Kondo, M.; Ichii, K.; Ueyama, M.; Mizoguchi, Y.; Hirata, R.; Saigusa, N. The role of carbon flux and biometric observations in constraining a terrestrial ecosystem model: A case study in disturbed forests in East Asia. Ecol. Res. 2013, 28, 893–905. [Google Scholar] [CrossRef]
- Yu, G.; Chen, Z.; Piao, S.; Peng, C.; Ciais, P.; Wang, Q.; Li, X.; Zhu, X. High carbon dioxide uptake by subtropical forest ecosystems in the East Asian monsoon region. Proc. Natl. Acad. Sci. USA 2014, 111, 4910–4915. [Google Scholar] [CrossRef]
- Fang, J.; Yu, G.; Liu, L.; Hu, S.; Chapin, F.S. Climate change, human impacts, and carbon sequestration in China. Proc. Natl. Acad. Sci. USA 2018, 115, 4015–4020. [Google Scholar] [CrossRef]
- Williams, M.; Schwarz, P.A.; Law, B.E.; Irvine, J.; Kurpius, M.R. An improved analysis of forest carbon dynamics using data assimilation. Glob. Chang. Biol. 2005, 11, 89–105. [Google Scholar] [CrossRef]
- Li, J.; Bai, Y.F.; Peng, Y.; Jiang, C.Q.; Xu, R. Carbon accounting of Chinese fir plantation in huitong, hu’nan province. For. Res. 2017, 30, 436–443. [Google Scholar]
- Li, C.; He, H.; Liu, M.; Su, W.; Fu, Y.; Zhang, L.; Wen, X.; Yu, G. The design and application of CO2 Flux Data Processing System at ChinaFLUX. Geo-Inf. Sci. 2008, 10, 557–565. [Google Scholar]
- Zheng, Z.M.; Yu, G.R.; Sun, X.M.; Li, S.G.; Wang, Y.S.; Wang, Y.H.; Wang, Y.H.; Fu, Y.L.; Wang, Q.F. Spatio-temporal variability of soil respiration of forest ecosystems in China: Influencing factors and evaluation model. Environ. Manag. 2010, 46, 633–642. [Google Scholar] [CrossRef] [PubMed]
- Zhu, G.; Ju, W.; Chen, J.M.; Gong, P.; Zhu, J. Foliage clumping index over china’s landmass retrieved from the MODIS BRDF parameters product. IEEE Trans. Geosci. Remote Sens. 2012, 50, 2122–2137. [Google Scholar] [CrossRef]
- Zhang, X.; Wu, K. Fine-root production and turnover for forest ecosystems. Sci. Silvae Sin. 2001, 37, 126–138. [Google Scholar]
- Post, W.; Pastor, J.; Zinke, P.J.; Stangenberger, A.G. Global patterns of soil nitrogen storage. Nature 1985, 317, 613–616. [Google Scholar] [CrossRef]
- Liu, H.; Tang, L.; Hu, B.; Liu, G.; Wang, Y.; Bai, F.; Chen, Y.; Cheng, Y.; Du, J.; Du, M.; et al. Photosynthetically active radiation dataset in Chinese Ecosystem Research Network (2005–2015). China Sci. Data 2017, 2, 1–10. [Google Scholar]
- Ge, R.; He, H.; Ren, X.; Zhang, L.; Yu, G.; Smallman, T.L.; Zhou, T.; Yu, S.Y.; Luo, Y.; Xie, Z.; et al. Underestimated ecosystem carbon turnover time and sequestration under the steady state assumption: A perspective from long-term data assimilation. Glob. Chang. Biol. 2019, 25, 935. [Google Scholar] [CrossRef]
- Ji, J. A climate-vegetation interaction model: Simulating physical and biological processes at the surface. J. Biogeogr. 1995, 22, 445. [Google Scholar] [CrossRef]
- Luo, Y.; Ahlström, A.; Allison, S.D.; Batjes, N.H.; Brovkin, V.; Carvalhais, N.; Chappell, A.; Ciais, P.; Davidson, E.A.; Finzi, A.; et al. Toward more realistic projections of soil carbon dynamics by Earth system models. Glob. Biogeochem. Cycles 2016, 30, 40–56. [Google Scholar] [CrossRef]
- Braswell, B.H.; Sacks, W.J.; Linder, E.; Schimel, D.S. Estimating diurnal to annual ecosystem parameters by synthesis of a carbon flux model with eddy covariance net ecosystem exchange observations. Glob. Chang. Biol. 2005, 11, 335–355. [Google Scholar] [CrossRef]
- Wutzler, T.; Carvalhais, N. Balancing multiple constraints in model-data integration: Weights and the parameter block approach. J. Geophys. Res. Biogeosci. 2014, 119, 2112–2129. [Google Scholar] [CrossRef]
- Wu, X.; Luo, Y.; Weng, E.; White, L.; Ma, Y.; Zhou, X. Conditional inversion to estimate parameters from eddy-flux observations. J. Plant Ecol. 2009, 2, 55–68. [Google Scholar] [CrossRef]
- Wang, Y.P.; Baldocchi, D.; Leuning, R.; Falgev, E.; Vesal, T. Estimating parameters in a land-surface model by applying nonlinear inversion to eddy covariance flux measurements from eight FLUXNET sites. Glob. Chang. Biol. 2007, 13, 652–670. [Google Scholar] [CrossRef]
- Peylin, P.; Bacour, C.; MacBean, N.; Leonard, S.; Rayner, P.; Kuppel, S.; Koffi, E.; Kane, A.; Maignan, F.; Chevallier, F.; et al. A new stepwise carbon cycle data assimilation system using multiple data streams to constrain the simulated land surface carbon cycle. Geosci. Model Dev. 2016, 9, 3321–3346. [Google Scholar] [CrossRef]
- Chuter, A.M.; Aston, P.J.; Skeldon, A.C.; Roulstone, I. A Dynamical Systems Analysis of the Data Assimilation Linked Ecosystem Carbon (DALEC) Models. Chaos 2015, 25, 1–43. [Google Scholar] [CrossRef] [PubMed]
- Trugman, T.A.; Medvigy, D.; Mankin, J.S.; Anderegg, W.R.L. Soil moisture stress as a major driver of carbon cycle uncertainty. Geophys. Res. Lett. 2018, 45, 6195–6502. [Google Scholar] [CrossRef]
- Ubierna, N.; Cernusak, L.A.; Holloway-Phillips, M.; Busch, F.A.; Cousins, A.B.; Farquhar, G.D. Critical review: Incorporating the arrangement of mitochondria and chloroplasts into models of photosynthesis and carbon isotope discrimination. Photosynth. Res. 2019, 141, 5–31. [Google Scholar] [CrossRef]
- Zhang, L.; Yu, G.R.; Luo, Y.; He, H.L.; Zhang, L.M. Based on the model of data fusion in broadleaved Korean pine forest carbon cycling modeling. Chin. J. Plant Ecol. 2009, 33, 1044–1055. [Google Scholar]
- Gao, C.; Wang, H.; Weng, E.; Lakshmivarahan, S.; Zhang, Y.; Luo, Y. Assimilation of multiple data sets with the ensemble kalman filter to improve forecasts of forest carbon dynamics. Ecol. Appl. 2011, 21, 1461–1473. [Google Scholar] [CrossRef][Green Version]
- Zhu, P.; Shi, L.; Zhu, Y.; Zhang, Q.; Huang, K.; Williams, M. Data assimilation of soil water flow via ensemble Kalman filter: Infusing soil moisture data at different scales. J. Hydrol. 2017, 555, 912–925. [Google Scholar] [CrossRef]
- Hill, T.C.; Ryan, E.; Williams, M. The use of CO2 flux time series for parameter and carbon stock estimation in carbon cycle research. Glob. Chang. Biol. 2011, 18, 179–193. [Google Scholar] [CrossRef]
- Enting, I.G. Assessing the information content in environmental modelling: A carbon cycle perspective. Entropy 2008, 10, 556–575. [Google Scholar] [CrossRef]




| Run ID | Constraining Data Streams Included in Parameter Optimization |
|---|---|
| 1 | LAI only |
| 2 | Run 1 + foliage + fine root + wood |
| 3 | Run 2 + SOC |
| 4 | Run 3 + litter |
| 5 | Run 4 + NEE + Rs |
| Parameters | Abbreviation | Description | Prior Range (Low, High) |
|---|---|---|---|
| P1 | Td | Decomposition rate (per day) | Log10(−6, −2) |
| P2 | Fg | Fraction of GPP respired | (0.2, 0.7) |
| P3 | Fnf | Fraction of NPP allocated to foliage | (0.01, 0.5) |
| P4 | Fnr | Fraction of NPP allocated to roots | (0.01, 0.5) |
| P5 | Tf | Turnover rate of foliage (per day) | Log10(−5, −2) |
| P6 | Tw | Turnover rate of wood (per day) | Log10(−6, −2) |
| P7 | Tr | Turnover rate of roots (per day) | Log10(−4, −2) |
| P8 | Tl | Mineralization rate of litter (per day) | Log10(−4, −1) |
| P9 | Ts | Mineralization rate of SOM (per day) | Log10(−6, −2) |
| P10 | Et | Parameter in exponential term of temperature-dependent rate parameter | (0.05, 0.2) |
| Run 1 | Run 2 | Run 3 | Run 4 | Run 5 | ||
|---|---|---|---|---|---|---|
| Foliage carbon Pool (g C·m−2) | R2 | 0.79 | 0.78 | 0.78 | 0.78 | 0.78 |
| RMSE | 594.33 | 347.74 | 348.07 | 347.72 | 346.82 | |
| MAE | 536.59 | 217.58 | 216.20 | 218.57 | 215.71 | |
| Wood carbon Pool (g C·m−2) | R2 | 0.93 | 0.93 | 0.93 | 0.93 | 0.93 |
| RMSE | 2847.25 | 167.00 | 163.93 | 165.11 | 164.21 | |
| MAE | 2564.48 | 119.28 | 109.58 | 114.85 | 111.73 | |
| Fine roots carbon Pool (g C·m−2) | R2 | 0.94 | 0.88 | 0.91 | 0.96 | 0.95 |
| RMSE | 8.35 | 2.91 | 2.68 | 1.89 | 2.10 | |
| MAE | 7.22 | 2.37 | 2.21 | 1.5953 | 1.79 | |
| Soil carbon Pool (g C·m−2) | R2 | - | - | - | - | - |
| RMSE | 1569.98 | 326.74 | 108.99 | 343.15 | 113.20 | |
| MAE | 1554.83 | 320.31 | 90.08 | 329.92 | 90.68 | |
| Litter carbon Pool (g C·m−2) | R2 | 0.77 | 0.90 | 0.91 | 0.91 | 0.90 |
| RMSE | 651.56 | 119.52 | 26.87 | 15.00 | 13.52 | |
| MAE | 600.34 | 119.33 | 25.31 | 13.03 | 10.50 | |
| LAI (m m−2) | R2 | 0.64 | 0.66 | 0.66 | 0.66 | 0.66 |
| RMSE | 0.03 | 0.06 | 0.07 | 0.08 | 0.12 | |
| MAE | 0.03 | 0.05 | 0.06 | 0.07 | 0.12 |
| NEE (g C·m−2 day−1) | Rs (g C·m−2 m−1) | |||||||
|---|---|---|---|---|---|---|---|---|
| Run ID | RMSE | MAE | Mean | Standard deviation | RMSE | MAE | Mean | Standard deviation |
| 1 | 2.63 | 2.15 | 1.48 | 1.61 | 5.41 | 4.21 | 5.41 | 3.53 |
| 2 | 2.99 | 2.24 | 1.42 | 1.90 | 7.13 | 5.21 | 6.38 | 4.67 |
| 3 | 1.41 | 1.14 | −0.40 | 1.18 | 1.19 | 0.99 | 2.20 | 1.03 |
| 4 | 1.52 | 1.21 | 0.20 | 1.15 | 0.91 | 0.79 | 2.50 | 1.20 |
| 5 | 1.44 | 1.17 | −0.39 | 1.22 | 0.66 | 0.55 | 1.78 | 0.80 |
© 2020 by the authors. Licensee MDPI, Basel, Switzerland. This article is an open access article distributed under the terms and conditions of the Creative Commons Attribution (CC BY) license (http://creativecommons.org/licenses/by/4.0/).
Share and Cite
Hu, L.; He, H.; Shen, Y.; Ren, X.; Yan, S.-k.; Xiang, W.; Ge, R.; Niu, Z.; Xu, Q.; Zhu, X. Modeling the Carbon Cycle of a Subtropical Chinese Fir Plantation Using a Multi-Source Data Fusion Approach. Forests 2020, 11, 369. https://doi.org/10.3390/f11040369
Hu L, He H, Shen Y, Ren X, Yan S-k, Xiang W, Ge R, Niu Z, Xu Q, Zhu X. Modeling the Carbon Cycle of a Subtropical Chinese Fir Plantation Using a Multi-Source Data Fusion Approach. Forests. 2020; 11(4):369. https://doi.org/10.3390/f11040369
Chicago/Turabian StyleHu, Longwei, Honglin He, Yan Shen, Xiaoli Ren, Shao-kui Yan, Wenhua Xiang, Rong Ge, Zhongen Niu, Qian Xu, and Xiaobo Zhu. 2020. "Modeling the Carbon Cycle of a Subtropical Chinese Fir Plantation Using a Multi-Source Data Fusion Approach" Forests 11, no. 4: 369. https://doi.org/10.3390/f11040369
APA StyleHu, L., He, H., Shen, Y., Ren, X., Yan, S.-k., Xiang, W., Ge, R., Niu, Z., Xu, Q., & Zhu, X. (2020). Modeling the Carbon Cycle of a Subtropical Chinese Fir Plantation Using a Multi-Source Data Fusion Approach. Forests, 11(4), 369. https://doi.org/10.3390/f11040369

