Fire Alters Soil Properties and Vegetation in a Coniferous–Broadleaf Mixed Forest in Central China
Abstract
1. Introduction
2. Materials and Methods
2.1. Study Site
2.2. Experimental Design
2.3. Soil Microclimate and Properties
2.4. Measurement of Aboveground Biomass
2.5. Measurement of Understory Species Diversity
2.6. Data Analysis
3. Results
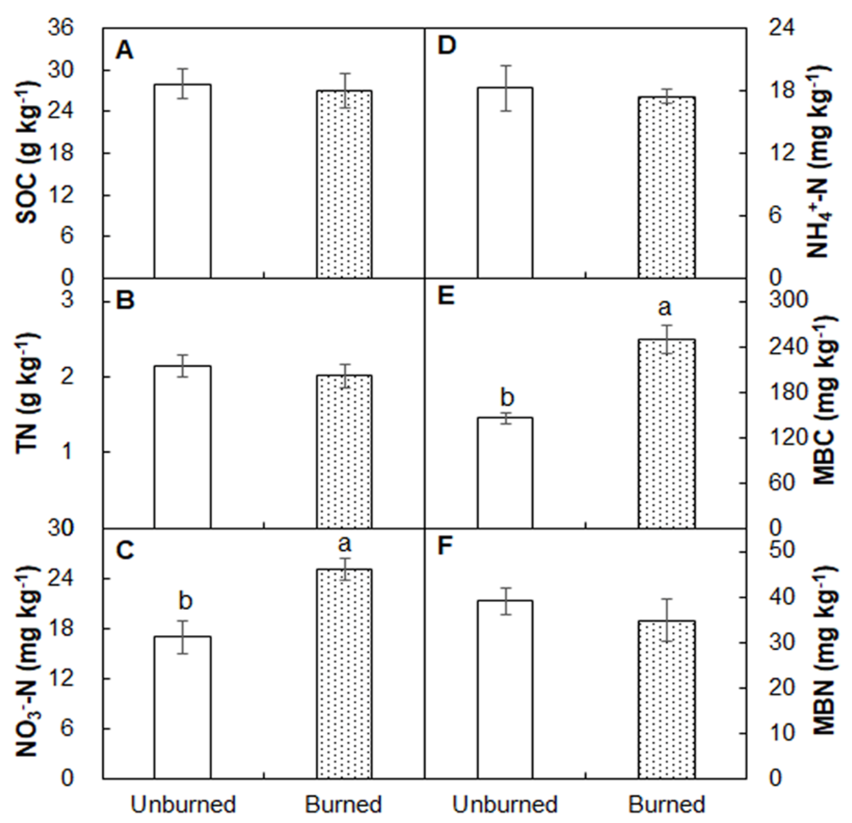
3.1. Soil Microclimate and Properties
3.2. Aboveground Biomass
3.3. Tree Mortality
3.4. Richness and Density of Understory Species
4. Discussion
4.1. Effect of Fire on Soil Properties
4.2. Effect of Fire on Aboveground Biomass and Tree Mortality
4.3. Effect of Fire on Understory Plants
5. Conclusions
Author Contributions
Funding
Acknowledgments
Conflicts of Interest
References
- Pimm, S.L.; Raven, P. Biodiversity: Extinction by numbers. Nature 2000, 403, 843–845. [Google Scholar] [CrossRef] [PubMed]
- Pan, Y.; Birdsey, R.A.; Fang, J.; Houghton, R.; Kauppi, P.E.; Kurz, W.A.; Phillips, O.L.; Shvidenko, A.; Lewis, S.L.; Canadell, J.G.; et al. A large and persistent carbon sink in the world’s forests. Science 2011, 333, 988–993. [Google Scholar] [CrossRef] [PubMed]
- Abatzoglou, J.T.; Williams, A.P. Impact of anthropogenic climate change on wildfire across western US forests. Proc. Natl. Acad. Sci. USA 2016, 113, 11770–11775. [Google Scholar] [CrossRef] [PubMed]
- Knorr, W.; Arneth, A.; Jiang, L. Demographic controls of future global fire risk. Nat. Clim. Change 2016, 6, 781–785. [Google Scholar] [CrossRef]
- Andela, N.; Morton, D.C.; Giglio, L.; Chen, Y.; Van Der Werf, G.R.; Kasibhatla, P.S.; DeFries, R.S.; Collatz, G.J.; Hantson, S.; Kloster, S.; et al. A human-driven decline in global burned area. Science 2017, 356, 1356–1362. [Google Scholar] [CrossRef]
- Krawchuk, M.A.; Moritz, M.A.; Parisien, M.A.; Van Dorn, J.; Hayhoe, K. Global pyrogeography: The current and future distribution of wildfire. PLoS ONE 2009, 4, e5102. [Google Scholar] [CrossRef]
- Pellegrini, A.F.; Ahlström, A.; Hobbie, S.E.; Reich, P.B.; Nieradzik, L.P.; Staver, A.C.; Scharenbroch, B.C.; Jumpponen, A.; Anderegg, W.R.L.; Randerson, J.T.; et al. Fire frequency drives decadal changes in soil carbon and nitrogen and ecosystem productivity. Nature 2018, 553, 194–198. [Google Scholar] [CrossRef]
- Walker, X.J.; Baltzer, J.L.; Cumming, S.G.; Day, N.J.; Ebert, C.; Goetz, S.; Johnstone, J.F.; Potter, S.; Rogers, B.M.; Schuur, E.A.G.; et al. Increasing wildfires threaten historic carbon sink of boreal forest soils. Nature 2019, 572, 520–523. [Google Scholar] [CrossRef]
- Bedia, J.; Herrera, S.; Gutiérrez, J.M.; Benali, A.; Brands, S.; Mota, B.; Moreno, J.M. Global patterns in the sensitivity of burned area to fire-weather: Implications for climate change. Agric. For. Meteorol. 2015, 214, 369–379. [Google Scholar] [CrossRef]
- Harris, R.M.; Remenyi, T.A.; Williamson, G.J.; Bindoff, N.L.; Bowman, D.M. Climate-vegetation-fire interactions and feedbacks: Trivial detail or major barrier to projecting the future of the Earth system? Wiley Interdiscip. Rev. Clim. Change 2016, 7, 910–931. [Google Scholar] [CrossRef]
- Harden, J.; Trumbore, S.; Stocks, B.; Hirsch, A.; Gower, S.; O’neill, K.; Kasischke, E. The role of fire in the boreal carbon budget. Glob. Change Biol. 2000, 6, 174–184. [Google Scholar] [CrossRef]
- Schoennagel, T.; Balch, J.K.; Brenkert-Smith, H.; Dennison, P.E.; Harvey, B.J.; Krawchuk, M.A.; Mietkiewicz, N.; Morgan, P.; Moritz, M.A.; Rasker, R.; et al. Adapt to more wildfire in western North American forests as climate changes. Proc. Natl. Acad. Sci. USA 2017, 114, 4582–4590. [Google Scholar] [CrossRef] [PubMed]
- Certini, G. Effects of fire on properties of forest soils: A review. Oecologia 2005, 143, 1–10. [Google Scholar] [CrossRef] [PubMed]
- Boerner, R.E.; Huang, J.; Hart, S.C. Impacts of fire and fire surrogate treatments on forest soil properties: A meta-analytical approach. Ecol. Appl. 2009, 19, 338–358. [Google Scholar] [CrossRef]
- Alcañiz, M.; Outeiro, L.; Francos, M.; Úbeda, X. Effects of prescribed fires on soil properties: A review. Sci. Total Environ. 2018, 613, 944–957. [Google Scholar] [CrossRef]
- Hubbert, K.R.; Preisler, H.K.; Wohlgemuth, P.M.; Graham, R.C.; Narog, M.G. Prescribed burning effects on soil physical properties and soil water repellency in a steep chaparral watershed, southern California, USA. Geoderma 2006, 130, 284–298. [Google Scholar] [CrossRef]
- Hamman, S.T.; Burke, I.C.; Knapp, E.E. Soil nutrients and microbial activity after early and late season prescribed burns in a Sierra Nevada mixed conifer forest. For. Ecol. Manag. 2008, 256, 367–374. [Google Scholar] [CrossRef]
- DeBano, L.F. The role of fire and soil heating on water repellency in wildland environments: A review. J. Hydrol. 2000, 231, 195–206. [Google Scholar] [CrossRef]
- Imeson, A.C.; Verstraten, J.M.; Van Mulligen, E.J.; Sevink, J. The effects of fire and water repellency on infiltration and runoff under Mediterranean type forest. Catena 1992, 19, 345–361. [Google Scholar] [CrossRef]
- Arocena, J.M.; Opio, C. Prescribed fire-induced changes in properties of sub-boreal forest soils. Geoderma 2003, 113, 1–16. [Google Scholar] [CrossRef]
- Wanthongchai, K.; Bauhus, J.; Goldammer, J.G. Nutrient losses through prescribed burning of aboveground litter and understorey in dry dipterocarp forests of different fire history. Catena 2008, 74, 321–332. [Google Scholar] [CrossRef]
- Wan, S.; Hui, D.; Luo, Y. Fire effects on nitrogen pools and dynamics in terrestrial ecosystems: A meta-analysis. Ecol. Appl. 2001, 11, 1349–1365. [Google Scholar] [CrossRef]
- Turner, M.G.; Smithwick, E.A.; Metzger, K.L.; Tinker, D.B.; Romme, W.H. Inorganic nitrogen availability after severe stand-replacing fire in the Greater Yellowstone ecosystem. Proc. Natl. Acad. Sci. USA 2007, 104, 4782–4789. [Google Scholar] [CrossRef] [PubMed]
- Xue, L.; Li, Q.; Chen, H. Effects of a wildfire on selected physical, chemical and biochemical soil properties in a Pinus massoniana forest in South China. Forests 2014, 5, 2947–2966. [Google Scholar] [CrossRef]
- Fonseca, F.; de Figueiredo, T.; Nogueira, C.; Queirós, A. Effect of prescribed fire on soil properties and soil erosion in a Mediterranean mountain area. Geoderma 2017, 307, 172–180. [Google Scholar] [CrossRef]
- Dooley, S.R.; Treseder, K.K. The effect of fire on microbial biomass: A meta-analysis of field studies. Biogeochemistry 2012, 109, 49–61. [Google Scholar] [CrossRef]
- Wang, C.; Wang, G.; Wang, Y.; Rafique, R.; Ma, L.; Hu, L.; Luo, Y. Fire alters vegetation and soil microbial community in alpine meadow. Land Degrad. Dev. 2016, 27, 1379–1390. [Google Scholar] [CrossRef]
- Choromanska, U.; DeLuca, T.H. Microbial activity and nitrogen mineralization in forest mineral soils following heating: Evaluation of post-fire effects. Soil Biol. Biochem. 2002, 34, 263–271. [Google Scholar] [CrossRef]
- Singh, A.K.; Kushwaha, M.; Rai, A.; Singh, N. Changes in soil microbial response across year following a wildfire in tropical dry forest. For. Ecol. Manag. 2017, 391, 458–468. [Google Scholar] [CrossRef]
- Hart, S.C.; DeLuca, T.H.; Newman, G.S.; MacKenzie, M.D.; Boyle, S.I. Post-fire vegetative dynamics as drivers of microbial community structure and function in forest soils. For. Ecol. Manag. 2005, 220, 166–184. [Google Scholar] [CrossRef]
- Rothstein, D.E.; Yermakov, Z.; Buell, A.L. Loss and recovery of ecosystem carbon pools following stand-replacing wildfire in Michigan jack pine forests. Can. J. For. Res. 2004, 34, 1908–1918. [Google Scholar] [CrossRef]
- Sun, L.; Hu, T.X.; Kim, J.H.; Guo, F.T.; Song, H.; Lv, X.S.; Hu, H.Q. The effect of fire disturbance on short-term soil respiration in typical forest of Greater Xing’an Range, China. J. For. Res. 2014, 25, 613–620. [Google Scholar] [CrossRef]
- Gonzalez-Benecke, C.; Samuelson, L.; Stokes, T.; Cropper, W.; Martin, T.; Johnsen, K. Understory plant biomass dynamics of prescribed burned Pinus palustris stands. For. Ecol. Manag. 2015, 344, 84–94. [Google Scholar] [CrossRef]
- Kasischke, E.S.; Stocks, B.J.; O’Neill, K.; French, N.H.; Bourgeau-Chavez, L.L. Direct Effects of Fire on the Boreal Forest Carbon Budget. In Biomass Burning and Its Inter-Relationships with the Climate System; Springer: Dordrecht, The Netherlands, 2000; pp. 51–68. [Google Scholar] [CrossRef]
- Turetsky, M.R.; Kane, E.S.; Harden, J.W.; Ottmar, R.D.; Manies, K.L.; Hoy, E.; Kasischke, E.S. Recent acceleration of biomass burning and carbon losses in Alaskan forests and peatlands. Nat. Geosci. 2011, 4, 27–31. [Google Scholar] [CrossRef]
- Seedre, M.; Taylor, A.R.; Brassard, B.W.; Chen, H.Y.; Jõgiste, K. Recovery of ecosystem carbon stocks in young boreal forests: A comparison of harvesting and wildfire disturbance. Ecosystems 2014, 17, 851–863. [Google Scholar] [CrossRef]
- Kasischke, E.S.; O’neill, K.; Bourgeau-Chavez, L.L.; French, N.H. Indirect and Long-term Effects of Fire on the Boreal Forest Carbon Budget. In Biomass Burning and Its Inter-relationships with the Climate System; Springer: Dordrecht, The Netherlands, 2000; pp. 263–280. [Google Scholar] [CrossRef]
- Murphy, B.P.; Lehmann, C.E.; Russell-Smith, J.; Lawes, M.J. Fire regimes and woody biomass dynamics in Australian savannas. J. Biogeogr. 2014, 41, 133–144. [Google Scholar] [CrossRef]
- Harper, K.A.; Bergeron, Y.; Drapeau, P.; Gauthier, S.; De Grandpré, L. Structural development following fire in black spruce boreal forest. For. Ecol. Manag. 2005, 206, 293–306. [Google Scholar] [CrossRef]
- Maia, P.; Keizer, J.; Vasques, A.; Abrantes, N.; Roxo, L.; Fernandes, P.; Ferreira, A.; Moreira, F. Post-fire plant diversity and abundance in pine and eucalypt stands in Portugal: Effects of biogeography, topography, forest type and post-fire management. For. Ecol. Manag. 2014, 334, 154–162. [Google Scholar] [CrossRef]
- Moritz, M.A.; Batllori, E.; Bradstock, R.A.; Gill, A.M.; Handmer, J.; Hessburg, P.F.; Leonard, J.; McCaffrey, S.; Odion, D.C.; Schoennagel, T. Learning to coexist with wildfire. Nature 2014, 515, 58–66. [Google Scholar] [CrossRef]
- Pinno, B.; Errington, R. Burn severity dominates understory plant community response to fire in xeric jack pine forests. Forests 2016, 7, 83. [Google Scholar] [CrossRef]
- Foster, C.N.; Barton, P.S.; MacGregor, C.I.; Catford, J.A.; Blanchard, W.; Lindenmayer, D.B. Effects of fire regime on plant species richness and composition differ among forest, woodland and heath vegetation. Appl. Veg. Sci. 2018, 21, 132–143. [Google Scholar] [CrossRef]
- Clarke, P.J.; Lawes, M.J.; Midgley, J.J.; Lamont, B.B.; Ojeda, F.; Burrows, G.E.; Enright, N.J.; Knox, K.J.E. Resprouting as a key functional trait: How buds, protection and resources drive persistence after fire. New Phytol. 2013, 197, 19–35. [Google Scholar] [CrossRef] [PubMed]
- Pivello, V.R.; Oliveras, I.; Miranda, H.S.; Haridasan, M.; Sato, M.N.; Meirelles, S.T. Effect of fires on soil nutrient availability in an open savanna in Central Brazil. Plant Soil 2010, 337, 111–123. [Google Scholar] [CrossRef]
- Oliveras, I.; Meirelles, S.T.; Hirakuri, V.L.; Freitas, C.R.; Miranda, H.S.; Pivello, V.R. Effects of fire regimes on herbaceous biomass and nutrient dynamics in the Brazilian savanna. J. Wildland Fire 2013, 22, 368–380. [Google Scholar] [CrossRef]
- Brockway, D.G.; Lewis, C.E. Long-term effects of dormant-season prescribed fire on plant community diversity, structure and productivity in a longleaf pine wiregrass ecosystem. For. Ecol. Manag. 1997, 96, 167–183. [Google Scholar] [CrossRef]
- Roberts, M.R. Response of the herbaceous layer to natural disturbance in North American forests. Can. J. Bot. 2004, 82, 1273–1283. [Google Scholar] [CrossRef]
- Tian, X.R.; Shu, L.F.; Wang, M.Y. Direct carbon emissions from Chinese forest fires, 1991–2000. Fire Safety Sci. 2003, 12, 6–10. [Google Scholar] [CrossRef]
- Fang, J. Forest productivity in China and its response to global climate change. Acta Phyto. Sin. 2001, 24, 513–517. [Google Scholar] [CrossRef]
- Zhang, J.; Dong, W.; Fu, C.; Wu, L. The influence of vegetation cover on summer precipitation in China: A statistical analysis of NDVI and climate data. Adv. Atmos. Sci. 2003, 20, 1002–1006. [Google Scholar] [CrossRef]
- Hu, M.; Liu, Y.; Sun, Z.; Zhang, K.; Liu, Y.; Miao, R.; Wan, S. Fire rather than nitrogen addition affects understory plant communities in the short term in a coniferous-broadleaf mixed forest. Ecol. Evol. 2018, 8, 8135–8148. [Google Scholar] [CrossRef]
- Ryan, K.C. Dynamic interactions between forest structure and fire behavior in boreal ecosystems. Silva Fenn. 2002, 36, 13–39. [Google Scholar] [CrossRef]
- Fornwalt, P.J.; Kaufmann, M.R.; Stohlgren, T.J. Impacts of mixed severity wildfire on exotic plants in a Colorado ponderosa pine—Douglas-fir forest. Biol. Invasions 2010, 12, 2683–2695. [Google Scholar] [CrossRef]
- Walkley, A.; Black, I.A. An examination of the Degtjareff method for determining soil organic matter, and a proposed modification of the chromic acid titration method. Soil Sci. 1934, 37, 29–38. [Google Scholar] [CrossRef]
- Vance, E.D.; Brooks, P.C.; Jenkinson, D.S. An extraction method for measuring soil microbial biomass. Soil Biol. Biochem. 1987, 19, 703–707. [Google Scholar] [CrossRef]
- Joergensen, R.G. The fumigation-extraction method to estimate soil microbial biomass: Calibration of the kEC value. Soil Biol. Biochem. 1996, 28, 25–31. [Google Scholar] [CrossRef]
- Berner, L.T.; Alexander, H.D.; Loranty, M.M.; Ganzlin, P.; Mack, M.C.; Davydov, S.P.; Goetz, S.J. Biomass allometry for alder, dwarf birch, and willow in boreal forest and tundra ecosystems of far northeastern Siberia and north-central Alaska. For. Ecol. Manag. 2015, 337, 110–118. [Google Scholar] [CrossRef]
- Yang, T. The investigating and study to the natural secondary mixed forest’s biomass and the root system’s spreading character of the oak and the horse-tail pine. J. Xinyang Agri. Coll. 2004, 14, 4–7. [Google Scholar]
- Zhang, Y.; Gu, F.; Liu, S.; Liu, Y.; Li, C. Variations of carbon stock with forest types in subalpine region of southwestern China. For. Ecol. Manag. 2013, 300, 88–95. [Google Scholar] [CrossRef]
- Conti, G.; Enrico, L.; Casanoves, F.; Díaz, S. Shrub biomass estimation in the semiarid Chaco forest: A contribution to the quantification of an underrated carbon stock. Ann. For. Sci. 2013, 70, 515–524. [Google Scholar] [CrossRef]
- Sah, J.P.; Ross, M.S.; Koptur, S.; Snyder, J.R. Estimating aboveground biomass of broadleaved woody plants in the understory of Florida Keys pine forests. For. Ecol. Manag. 2004, 203, 319–329. [Google Scholar] [CrossRef]
- Su, L.; He, Y.; Chen, S. Temporal and spatial characteristics and risk analysis of forest fires in China from 1950 to 2010. Sci. Silvae Sin. 2015, 51, 88–96. [Google Scholar] [CrossRef]
- Xu, Z.; Zhang, W.; Wang, J. An analysis report on major forest fires in Henan province in recent 10 years. J. Henan For. Sci. Technol. 2019, 39, 33–36. [Google Scholar] [CrossRef]
- Gu, Q.; Chen, H.; Zhou, C.; Xue, L.; Zhao, X.; Liu, Z. Analysis of the laws of spatial and temporal distribution of remote sensing monitoring forest fires of in Henan province in recent years. Meteorol. Environ. Sci. 2009, 32, 29–32. [Google Scholar]
- Keeley, J.E. Fire intensity, fire severity and burn severity: A brief review and suggested usage. J. Wildland Fire 2009, 18, 116–126. [Google Scholar] [CrossRef]
- Nave, L.E.; Vance, E.D.; Swanston, C.W.; Curtis, P.S. Fire effects on temperate forest soil C and N storage. Ecol. Appl. 2011, 21, 1189–1201. [Google Scholar] [CrossRef]
- Wang, Q.; Zhong, M.; Wang, S. A meta-analysis on the response of microbial biomass, dissolved organic matter, respiration, and N mineralization in mineral soil to fire in forest ecosystems. For. Ecol. Manag. 2012, 271, 91–97. [Google Scholar] [CrossRef]
- Pereira, P.; Úbeda, X.; Martin, D.; Mataix-Solera, J.; Cerdà, A.; Burguet, M. Wildfire effects on extractable elements in ash from a Pinus pinaster forest in Portugal. Hydrol. Process. 2014, 28, 3681–3690. [Google Scholar] [CrossRef]
- Ulery, A.L.; Graham, R.C.; Goforth, B.R.; Hubbert, K.R. Fire effects on cation exchange capacity of California forest and woodland soils. Geoderma 2017, 286, 125–130. [Google Scholar] [CrossRef]
- Akburak, S.; Son, Y.; Makineci, E.; Çakir, M. Impacts of low-intensity prescribed fire on microbial and chemical soil properties in a Quercus frainetto forest. J. Forestry Res. 2018, 29, 687–696. [Google Scholar] [CrossRef]
- Moghaddas, E.E.; Stephens, S.L. Thinning, burning, and thin-burn fuel treatment effects on soil properties in a Sierra Nevada mixed-conifer forest. For. Ecol. Manag. 2007, 250, 156–166. [Google Scholar] [CrossRef]
- Rossiter-Rachor, N.A.; Setterfield, S.A.; Douglas, M.M.; Hutley, L.B.; Cook, G.D. Andropogon gayanus (gamba grass) invasion increases fire-mediated nitrogen losses in the tropical savannas of northern Australia. Ecosystems 2008, 11, 77–88. [Google Scholar] [CrossRef]
- Augustine, D.J.; Brewer, P.; Blumenthal, D.M.; Derner, J.D.; von Fischer, J.C. Prescribed fire, soil inorganic nitrogen dynamics, and plant responses in a semiarid grassland. J. Arid Environ. 2014, 104, 59–66. [Google Scholar] [CrossRef]
- Hanan, E.J.; D’Antonio, C.M.; Roberts, D.A.; Schimel, J.P. Factors regulating nitrogen retention during the early stages of recovery from fire in coastal chaparral ecosystems. Ecosystems 2016, 19, 910–926. [Google Scholar] [CrossRef]
- Homyak, P.M.; Sickman, J.O.; Miller, A.E.; Melack, J.M.; Meixner, T.; Schimel, J.P. Assessing nitrogen-saturation in a seasonally dry chaparral watershed: Limitations of traditional indicators of N-saturation. Ecosystems 2014, 17, 1286–1305. [Google Scholar] [CrossRef]
- Jensen, M.; Michelsen, A.; Gashaw, M. Responses in plant, soil inorganic and microbial nutrient pools to experimental fire, ash and biomass addition in a woodland savanna. Oecologia 2001, 128, 85–93. [Google Scholar] [CrossRef]
- Goberna, M.; García, C.; Insam, H.; Hernández, M.T.; Verdú, M. Burning fire-prone Mediterranean shrublands: Immediate changes in soil microbial community structure and ecosystem functions. Microb. Ecol. 2012, 64, 242–255. [Google Scholar] [CrossRef]
- Fultz, L.M.; Moore-Kucera, J.; Dathe, J.; Davinic, M.; Perry, G.; Wester, D.; Schwilk, D.W.; Rideout-Hanzak, S. Forest wildfire and grassland prescribed fire effects on soil biogeochemical processes and microbial communities: Two case studies in the semi-arid Southwest. Appl. Soil. Ecol. 2016, 99, 118–128. [Google Scholar] [CrossRef]
- Huang, W.; Xu, Z.; Chen, C.; Zhou, G.; Liu, J.; Abdullah, K.M.; Reverchon, F.; Liu, X. Short-term effects of prescribed burning on phosphorus availability in a suburban native forest of subtropical Australia. J. Soil Sediment. 2013, 13, 869–876. [Google Scholar] [CrossRef]
- Ando, K.; Shinjo, H.; Noro, Y.; Takenaka, S.; Miura, R.; Sokotela, S.B.; Funakawa, S. Short-term effects of fire intensity on soil organic matter and nutrient release after slash-and-burn in Eastern Province, Zambia. Soil Sci. Plant Nutr. 2014, 60, 173–182. [Google Scholar] [CrossRef]
- Shenoy, A.; Johnstone, J.F.; Kasischke, E.S.; Kielland, K. Persistent effects of fire severity on early successional forests in interior Alaska. For. Ecol. Manag. 2011, 261, 381–390. [Google Scholar] [CrossRef]
- Kukavskaya, E.A.; Ivanova, G.A.; Conard, S.G.; McRae, D.J.; Ivanov, V.A. Biomass dynamics of central Siberian Scots pine forests following surface fires of varying severity. J. Wildland Fire 2014, 23, 872–886. [Google Scholar] [CrossRef]
- Bradford, J.B.; Fraver, S.; Milo, A.M.; D’Amato, A.W.; Palik, B.; Shinneman, D.J. Effects of multiple interacting disturbances and salvage logging on forest carbon stocks. For. Ecol. Manag. 2012, 267, 209–214. [Google Scholar] [CrossRef]
- Mackensen, J.; Bauhus, J.; Webber, E. Decomposition rates of coarse woody debris-a review with particular emphasis on Australian tree species. Aust. J. Bot. 2003, 51, 27–37. [Google Scholar] [CrossRef]
- DeLuca, T.H.; Aplet, G.H. Charcoal and carbon storage in forest soils of the Rocky Mountain West. Front. Ecol. Environ. 2008, 6, 18–24. [Google Scholar] [CrossRef]
- Fernandes, P.M.; Vega, J.A.; Jimenez, E.; Rigolot, E. Fire resistance of European pines. For. Ecol. Manag. 2008, 256, 246–255. [Google Scholar] [CrossRef]
- Grayson, L.M.; Progar, R.A.; Hood, S.M. Predicting post-fire tree mortality for 14 conifers in the Pacific Northwest, USA: Model evaluation, development, and thresholds. For. Ecol. Manag. 2017, 399, 213–226. [Google Scholar] [CrossRef]
- Dey, D.; Schweitzer, C. A review on the dynamics of prescribed fire, tree mortality, and injury in managing oak natural communities to minimize economic loss in North America. Forests 2018, 9, 461. [Google Scholar] [CrossRef]
- Engber, E.A.; Varner, J.M. Predicting Douglas-fir sapling mortality following prescribed fire in an encroached grassland. Restor. Ecol. 2012, 20, 665–668. [Google Scholar] [CrossRef]
- Catry, F.X.; Rego, F.; Moreira, F.; Fernandes, P.M.; Pausas, J.G. Post-fire tree mortality in mixed forests of central Portugal. For. Ecol. Manag. 2010, 260, 1184–1192. [Google Scholar] [CrossRef]
- van Mantgem, P.J.; Nesmith, J.C.; Keifer, M.; Brooks, M. Tree mortality patterns following prescribed fire for Pinus and Abies across the southwestern United States. For. Ecol. Manag. 2013, 289, 463–469. [Google Scholar] [CrossRef]
- Brando, P.M.; Nepstad, D.C.; Balch, J.K.; Bolker, B.; Christman, M.C.; Coe, M.; Putz, F.E. Fire-induced tree mortality in a neotropical forest: The roles of bark traits, tree size, wood density and fire behavior. Glob. Change Biol. 2012, 18, 630–641. [Google Scholar] [CrossRef]
- Calvo, L.; Tarrega, R.; Luis, E. Regeneration in Quercus pyrenaica ecosystems after surface fires. Int. J. Wildland Fire 1991, 1, 205–210. [Google Scholar] [CrossRef]
- Knapp, E.E.; Schwilk, D.W.; Kane, J.M.; Keeley, J.E. Role of burning season on initial understory vegetation response to prescribed fire in a mixed conifer forest. Can. J. For. Res. 2007, 37, 11–22. [Google Scholar] [CrossRef]
- Bell, D.T.; Koch, J.M. Post-fire succession in the northern jarrah forest of Western Australia. Aust. J. Ecol. 1980, 5, 9–14. [Google Scholar] [CrossRef]
- Schafer, J.L.; Mack, M.C. Short-term effects of fire on soil and plant nutrients in palmetto flatwoods. Plant Soil 2010, 334, 433–447. [Google Scholar] [CrossRef]
- Dewan, S.; Vander Mijnsbrugge, K.; De Frenne, P.; Steenackers, M.; Michiels, B.; Verheyen, K. Maternal temperature during seed maturation affects seed germination and timing of bud set in seedlings of European black poplar. For. Ecol. Manag. 2018, 410, 126–135. [Google Scholar] [CrossRef]
- Santana, V.M.; Bradstock, R.A.; Ooi, M.K.; Denham, A.J.; Auld, T.D.; Baeza, M.J. Effects of soil temperature regimes after fire on seed dormancy and germination in six Australian Fabaceae species. Aust. J. Bot. 2010, 58, 539–545. [Google Scholar] [CrossRef]








| Item | Unburned | Burned |
|---|---|---|
| Altitude (m) | 220–270 | 210–270 |
| Stand age (yr) | 47.1 ± 0.9 | 46.3 ± 1.5 |
| Slope gradient (°) | 5–26 | 7–31 |
| Stand density (stem ha−1) | 1964.4 ± 545.2 | 2021.7 ± 430.4 |
| Mean DBH (cm) | 8.97 ± 1.11 | 10.1 ± 0.82 |
| Pine DBH (cm) | 10.26 ± 1.46 | 11.0 ± 2.54 |
| Oak DBH (cm) | 5.75 ± 1.15 | 7.93 ± 0.46 |
| Tree height (m) | 6.98 ± 1.13 | 7.34 ± 1.66 |
| Pine (m) | 6.21 ± 1.10 | 7.14 ± 1.44 |
| Oak (m) | 7.43 ± 0.92 | 8.93 ± 1.02 |
| Species composition | ||
| Pine (%) | 54.9 ± 19.1 | 58.1 ± 16.4 |
| Oak (%) | 38.9 ± 18.9 | 38.4 ± 16.3 |
| Variable | Method | Instrument |
|---|---|---|
| SOC and TN | combustion analysis of air-dried soil [55] | Total organic carbon analyzer (Vario MACRO CUBE, Elementar Inc., Hanau, Germany) |
| pH | air-dried soil was shaken in a soil–water ratio of 1:2.5 | Glass electrode |
| NH4+-N and NO3−-N | 10 g fresh soil was extracted into 50 mL of 2 M KCl | Discrete Auto Analyzer (SmartChem 200, WestCo Scientific Instruments Inc., Brookfield, CT, USA) |
| MBC and MBN | Fumigation–extraction method [56] and calculated with a 0.45 correction factor [57] | Total organic carbon analyzer (Vario MACRO CUBE, Elementar Inc., Hanau, Germany) |
| Species | Allometric Equation | R2 | p Value |
|---|---|---|---|
| Lindera glauca | AGB = 73.19 × D2.5889 | 0.9424 | <0.001 |
| Vitex negundo | AGB = 16.41 × D1.8824 | 0.8136 | <0.001 |
| Rosa cymosa | AGB = 50.14 × D2.7133 | 0.8513 | <0.001 |
| Others | AGB = 62.68 × D2.5858 | 0.8994 | <0.001 |
© 2020 by the authors. Licensee MDPI, Basel, Switzerland. This article is an open access article distributed under the terms and conditions of the Creative Commons Attribution (CC BY) license (http://creativecommons.org/licenses/by/4.0/).
Share and Cite
Hu, M.; Liu, Y.; Wang, T.; Hao, Y.; Li, Z.; Wan, S. Fire Alters Soil Properties and Vegetation in a Coniferous–Broadleaf Mixed Forest in Central China. Forests 2020, 11, 164. https://doi.org/10.3390/f11020164
Hu M, Liu Y, Wang T, Hao Y, Li Z, Wan S. Fire Alters Soil Properties and Vegetation in a Coniferous–Broadleaf Mixed Forest in Central China. Forests. 2020; 11(2):164. https://doi.org/10.3390/f11020164
Chicago/Turabian StyleHu, Mengjun, Yanchun Liu, Tiantian Wang, Yuanfeng Hao, Zheng Li, and Shiqiang Wan. 2020. "Fire Alters Soil Properties and Vegetation in a Coniferous–Broadleaf Mixed Forest in Central China" Forests 11, no. 2: 164. https://doi.org/10.3390/f11020164
APA StyleHu, M., Liu, Y., Wang, T., Hao, Y., Li, Z., & Wan, S. (2020). Fire Alters Soil Properties and Vegetation in a Coniferous–Broadleaf Mixed Forest in Central China. Forests, 11(2), 164. https://doi.org/10.3390/f11020164
