The Impact of Climate Change on the High Water Levels of a Small River in Central Europe Based on 50-Year Measurements
Abstract
1. Introduction
2. Materials and Methods
2.1. Study Area
2.2. Meteorological Conditions
2.3. Water States of the Stream
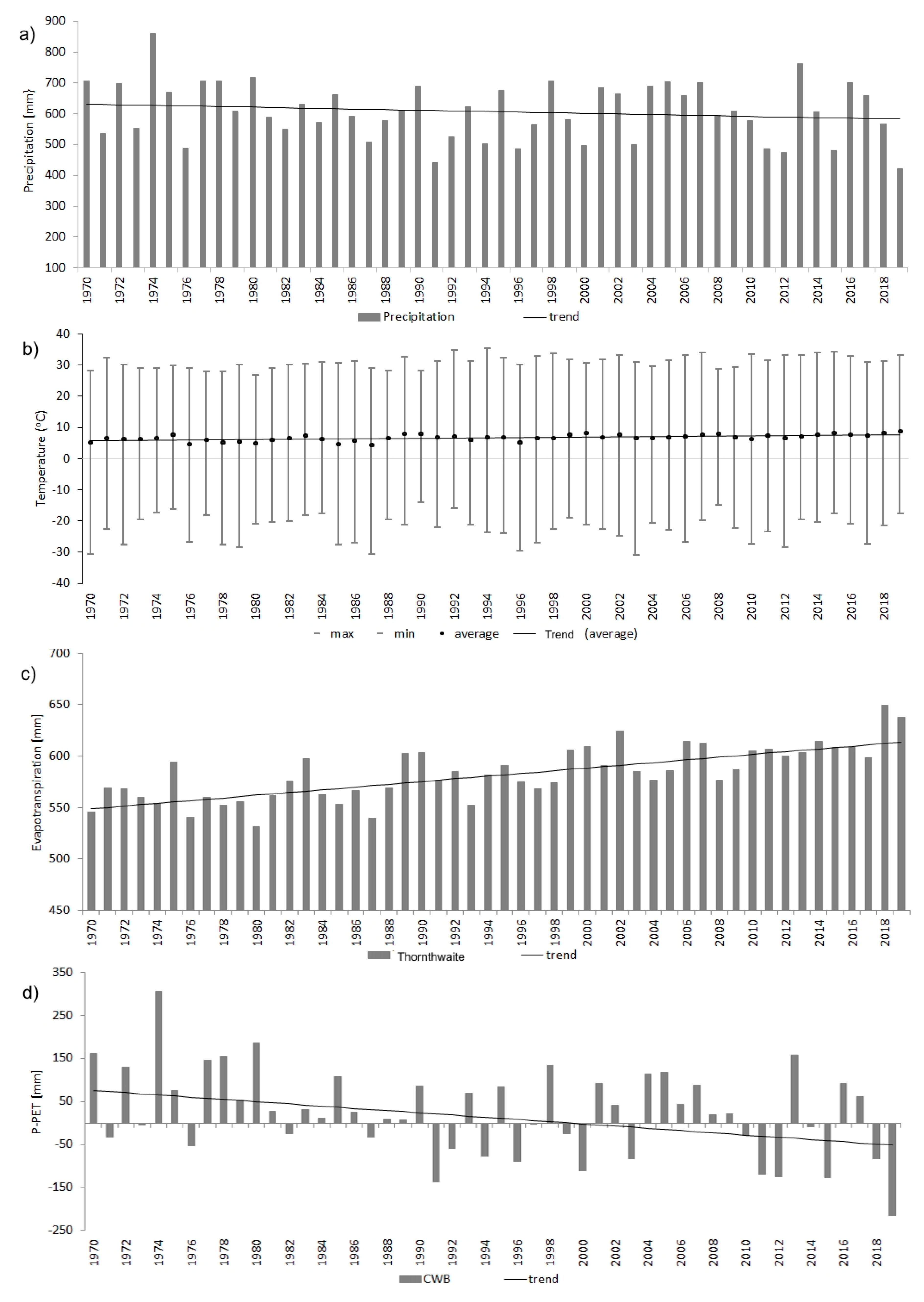
3. Results
3.1. Meteorological Conditions
3.1.1. Precipitation (P)
3.1.2. Air Temperature (T)
3.1.3. Potential Evapotranspiration (PET)
3.2. Climatic Water Balance (CWB)
3.3. Water Level
3.4. Runoff
4. Discussion
5. Conclusions
Author Contributions
Funding
Acknowledgments
Conflicts of Interest
References
- Cerici, N.; Weissteiner, C.J.; Paracchini, M.L.; Strobl, P. Riparian Zones: Where Green and Blue Networks Meet, Pan-European Zonation Modelling Based on Remote Sensing and GIS; JRC Scientific and Technical Report; JRC EUR 24774 EN 2011; Office for Official Publication of the European Communities: Luxembourg, 2011; ISBN 978-92-79-19799-4. [Google Scholar]
- Kondolf, G.M.; Piégay, H.; Landon, N. Changes in the riparian zone of the lower Eygues River, France, since 1830. Landsc. Ecol. 2007, 22, 367–384. [Google Scholar] [CrossRef]
- Naiman, R.J.; Decamps, H.; Pollock, M. The role of riparian corridors in maintaining regional biodiversity. Ecol. Appl. 1993, 3, 209–212. [Google Scholar] [CrossRef] [PubMed]
- Webb, R.H.; Leake, S.A. Ground-water surface-water interactions and long-term change in riverine riparian vegetation in the southwestern United States. J. Hydrol. 2006, 320, 302–323. [Google Scholar] [CrossRef]
- Stromberg, J.C.; Tiller, R.; Richter, B. Effects of groundwater decline on riparian vegetation of semiarid regions: The San Pedro, Arizona. Ecol. Appl. 1996, 6, 113–131. [Google Scholar] [CrossRef]
- Eamus, D.; Froend, R.; Loomes, R.; Hose, G.; Murray, B. A functional methodology for determining the groundwater regime needed to maintain the health of groundwater-dependent vegetation. Aust. J. Bot. 2006, 54, 97–114. [Google Scholar] [CrossRef]
- Karrenberg, S.; Edwards, P.J.; Kollmann, J. The life history of Salicaceae living in the active zone of floodplains. Freshw. Biol. 2002, 47, 733–748. [Google Scholar] [CrossRef]
- Politti, E.; Egger, G.; Angermann, K. Evaluating climate change impacts on Alpine floodplain vegetation. Hydrobiologia 2014, 737, 225–243. [Google Scholar] [CrossRef]
- Salmi, T.; Määttä, A.; Anttila, P.; Ruoho-Airola, T.; Amnell, T. Detecting Trends of Annual Values of Atmospheric Pollutants by the Mann-Kendall Test and Sen’s Slope Estimates—The Excel Template Application MAKESENS; Publications on Air Quality. No. 31; Finnish Meteorological Institute: Helsinki, Finland, 2002.
- Sen, P.K. Estimates of the regression coefficient based on Kendall’s tau. J. Am. Stat. Assoc. 1968, 63, 1379–1389. [Google Scholar] [CrossRef]
- Białkiewicz, F. Development of a Pre-Melioration Study of the Forested Parts of the Lebiedzianka and Jastrzębianka River Catchments; Forest Research Institute: Warsaw, Poland, 1971. (In Polish) [Google Scholar]
- Database of the State Forests, National Forest Holding. Available online: www.bdl.lasy.gov.pl (accessed on 21 November 2020).
- Thornthwaite, C.W. An Approach toward a Rational Classification of Climate. Geogr. Rev. 1948, 38, 55–94. [Google Scholar] [CrossRef]
- Palmer, M.A.; Lettenmaier, D.P.; Poff, N.L.; Postel, S.L.; Richter, B.; Warner, R. Climate Change and River Ecosystems: Protection and Adaptation Options. Environ. Manag. 2009, 44, 1053–1068. [Google Scholar] [CrossRef]
- Kundzewicz, W.Z.; Ulbrich, U.; Brücher, T.; Graczyk, D.; Krüger, A.; Leckebusch, G.C.; Menzel, L.; Pińskwar, I.; Radziejewski, M.; Szwed, M. Summer Floods in Central Europe—Climate Change Track? Nat. Hazards 2005, 36, 165–189. [Google Scholar] [CrossRef]
- Smith, D.M.; Finch, D.M. Riparian trees and aridland streams of the southwestern United States: An assessment of the past, present, and future. J. Arid Environ. 2016, 135, 120–131. [Google Scholar] [CrossRef]
- Kundzwicz, Z.W.; Matczak, P. Climate change regional review: Poland. WIREs Clim. Chang. 2012, 3, 297–311. [Google Scholar] [CrossRef]
- Piniewski, M.; Marcinkowski, P.; Kundzewicz, Z.W. Trend detection in river flow indices in Poland. Acta Geophys. 2018, 66, 347–360. [Google Scholar] [CrossRef]
- Walega, A.; Młyński, D.; Bogdał, A.; Kowalik, T. Stages in Selected Catchments of the Upper Vistula Basin in the South of Poland. Water 2016, 8, 394. [Google Scholar] [CrossRef]
- Krajewski, A.; Sikorska-Senoner, A.E.; Ranzi, R.; Banasik, K. Long-Term Changes of Hydrological Variables in a Small Lowland Watershed in Central Poland. Water 2019, 11, 564. [Google Scholar] [CrossRef]
- Masson-Delmotte, V.; Zhai, P.; Pörtner, H.-O.; Roberts Skea, J.; Shukla, P.R.; Pirani, A.; Moufouma-Okia, W.; Péan, C.; Pidcock, R.; Connors, S.; et al. (Eds.) Global Warming of 1.5 °C; An IPCC Special Report on the Impacts of Global Warming of 1.5 °C above Pre-Industrial Levels and Related Global Greenhouse Gas Emission Pathways, in the Context of Strengthening the Global Response to the Threat of Climate Change, Sustainable Development, and Efforts to Eradicate Poverty; World Meteorological Organization: Geneva, Switzerland, 2018. [Google Scholar]
- Nilsson Ch Jansson, R.; Kuglerova, L.; Lind, L.; Ström, L. Boreal riparian vegetation under climate change. Ecosystems 2013, 16, 401–410. [Google Scholar] [CrossRef]
- Andrèasson, J.; Bergström, S.; Carlsson, B.; Graham, P.; Lindström, G. Hydrological change: Climate change impact simulations for Sweden. Ambio 2004, 33, 228–234. [Google Scholar] [CrossRef]
- Falloon, P.D.; Betts, R.A. The impact of climate change on global river flow in HadGEM1 simulations. Atmos. Sci. Lett. 2006, 7, 62–68. [Google Scholar] [CrossRef]
- Dong, C.; Menzel, L. Recent snow cover changes over central European low mountain ranges. Hydrol. Process. 2020, 34, 321–338. [Google Scholar] [CrossRef]
- Robinson, D.A. Northern Hemisphere continental snow cover extent [in Blunden, J; Arndt, D.S. State of the Climate in 2019]. Bull. Amer. Meteor. Soc. 2020, 101, S1–S429. [Google Scholar] [CrossRef]
- Szwed, M.; Pińskwar, I.; Kundzewicz, Z.W.; Graczyk, D.; Mezghani, A. Changes of snow cover in Poland. Acta Geophys. 2017, 65, 65–76. [Google Scholar] [CrossRef]
- Snow Cover Extent in Europe Based on Satellite Observation. Earth Observation Group at Space Research Centre of the Polish Academy of Sciences. Available online: http://zoz.cbk.waw.pl/snieg/en/#pl (accessed on 10 September 2020).
- Craft, C. Creating and Restoring Wetlands; From Theory to Practice; Elsevier: Amsterdam, The Netherlands, 2016; ISBN 978-0-12-407232-9. [Google Scholar]





| Time Series | First Year | Last Year | n | Z-Value | Significance of the Trend a | Linear Regression Equations Based on Sen’s Method |
|---|---|---|---|---|---|---|
| Precipitation (P) | 1970 | 2019 | 50 | −1.35 | n.s. | P(year) = −1 (year—1970) + 631.5 |
| Temperature (T) | 1970 | 2019 | 50 | 4.56 | *** | T(year) = 0.0428 (year—1970) + 5.699 |
| Evapotranspiration (PET) | 1970 | 2019 | 50 | 5.77 | *** | PET(year) = 1.324 (year—1970) + 548.58 |
| Climatic water balance (CWB) | 1970 | 2019 | 50 | −2.33 | * | CWB(year) = −2.591 (year—1970) + 75.894 |
| Maximum water level (Lmax) | 1970 | 2019 | 48 | −4.63 | *** | Lmax(year) = −0.935 (year—1970) + 326.206 |
| Number of days with high water (NHW) | 1970 | 2019 | 48 | −4.62 | *** | NHW(year) = −0.362 (year—1970) + 15.397 |
| Runoff (H) | 1970 | 2016 | 45 | −5.02 | *** | H(year) = −3.297 (year—1970) + 233.44 |
| HP−1 ratio | 1970 | 2016 | 45 | −5.15 | *** | HP−1(year) = −0.00489(year—1970) + 0.3713 |
Publisher’s Note: MDPI stays neutral with regard to jurisdictional claims in published maps and institutional affiliations. |
© 2020 by the authors. Licensee MDPI, Basel, Switzerland. This article is an open access article distributed under the terms and conditions of the Creative Commons Attribution (CC BY) license (http://creativecommons.org/licenses/by/4.0/).
Share and Cite
Boczoń, A.; Kowalska, A.; Stolarek, A. The Impact of Climate Change on the High Water Levels of a Small River in Central Europe Based on 50-Year Measurements. Forests 2020, 11, 1269. https://doi.org/10.3390/f11121269
Boczoń A, Kowalska A, Stolarek A. The Impact of Climate Change on the High Water Levels of a Small River in Central Europe Based on 50-Year Measurements. Forests. 2020; 11(12):1269. https://doi.org/10.3390/f11121269
Chicago/Turabian StyleBoczoń, Andrzej, Anna Kowalska, and Andrzej Stolarek. 2020. "The Impact of Climate Change on the High Water Levels of a Small River in Central Europe Based on 50-Year Measurements" Forests 11, no. 12: 1269. https://doi.org/10.3390/f11121269
APA StyleBoczoń, A., Kowalska, A., & Stolarek, A. (2020). The Impact of Climate Change on the High Water Levels of a Small River in Central Europe Based on 50-Year Measurements. Forests, 11(12), 1269. https://doi.org/10.3390/f11121269

