Hardwood Species Show Wide Variability in Response to Silviculture during Reclamation of Coal Mine Sites
Abstract
1. Introduction
2. Materials and Methods
2.1. Site Description
2.2. Plant Materials
2.3. Experimental Design and Treatments
2.4. Measurement Variables
2.5. Data Analysis
3. Results
3.1. Initial Stocktype Morphology and Soils
3.2. Field Survival and Browse
3.3. Height and Diameter Growth
3.4. Absolute Height and Diameter
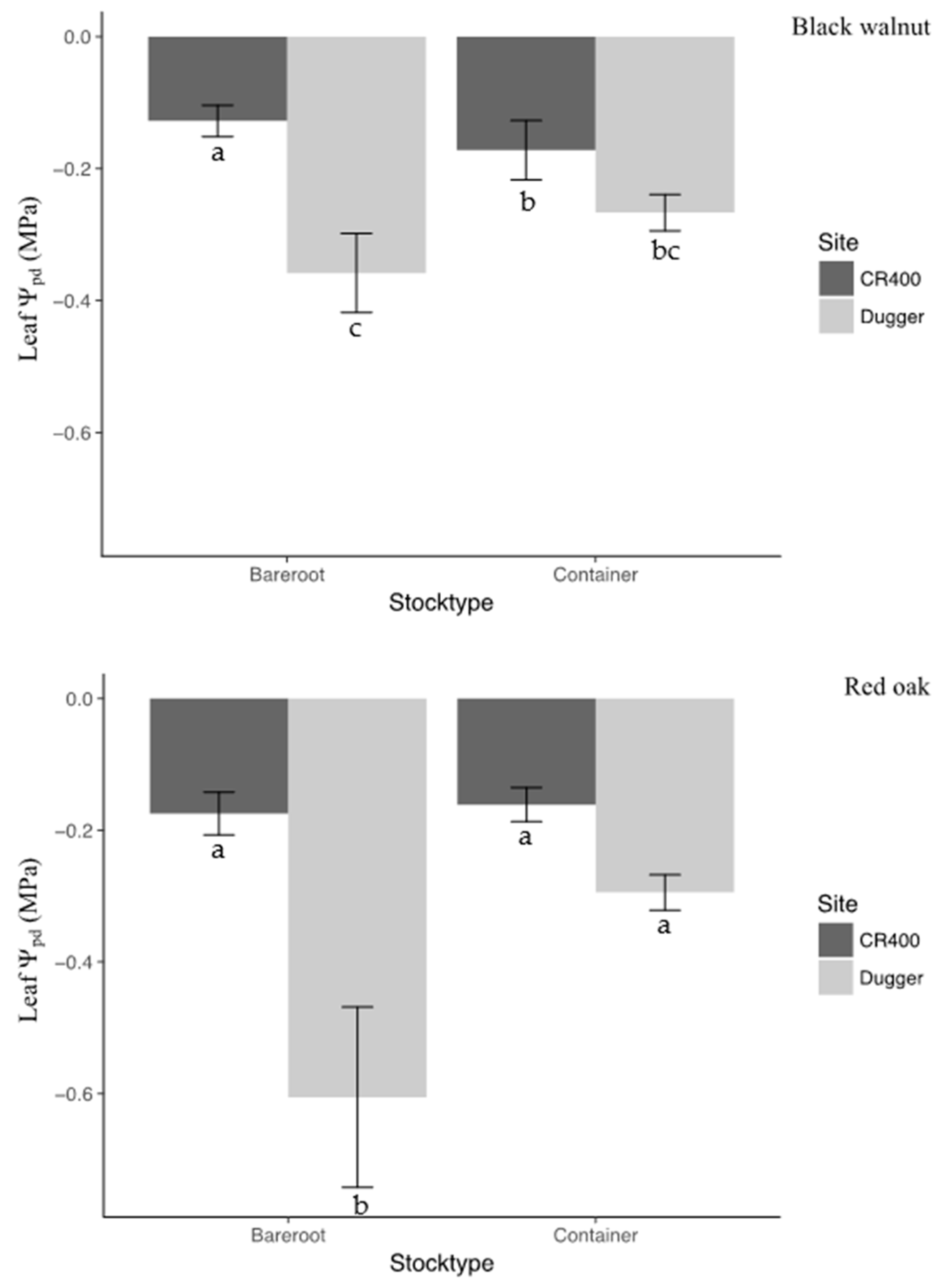
3.5. Leaf Water Potential
4. Discussion
4.1. Survival
4.2. Growth
5. Conclusions
Author Contributions
Funding
Acknowledgments
Conflicts of Interest
Appendix A
| Deer | Rabbit | Vole | ||||
|---|---|---|---|---|---|---|
| Site | Species | Stocktype | Shelter | |||
| CR400 | BW | Bareroot | No | 0 | 0 | 0 |
| Yes | 0 | 0 | 4 | |||
| Container | No | 0 | 0 | 0 | ||
| Yes | 0 | 0 | 0 | |||
| RO | Bareroot | No | 7 | 0 | 1 | |
| Yes | 7 | 0 | 0 | |||
| Container | No | 5 | 0 | 0 | ||
| Yes | 6 | 0 | 1 | |||
| SWO | Bareroot | No | 1 | 0 | 1 | |
| Yes | 0 | 0 | 0 | |||
| Container | No | 2 | 0 | 0 | ||
| Yes | 1 | 0 | 0 | |||
| Dugger | BW | Bareroot | No | 0 | 0 | 1 |
| Yes | 0 | 0 | 0 | |||
| Container | No | 0 | 1 | 1 | ||
| Yes | 0 | 0 | 0 | |||
| RO | Bareroot | No | 9 | 6 | 2 | |
| Yes | 1 | 0 | 0 | |||
| Container | No | 0 | 7 | 0 | ||
| Yes | 1 | 0 | 0 | |||
| SWO | Bareroot | No | 4 | 2 | 0 | |
| Yes | 0 | 1 | 0 | |||
| Container | No | 3 | 2 | 1 | ||
| Yes | 3 | 0 | 0 | |||
| Total | 50 | 19 | 12 |
References
- Energy Information Administration. Annual Coal Report 2015; Energy Information Administration: Washington, DC, USA, 2016.
- National Research Council. Coal: Research and Development to Support National Energy Policy; National Academies Press: Washington, DC, USA, 2007; ISBN 978-0-309-11022-8. [Google Scholar]
- US Congress. Surface Mining Control and Reclamation Act of 1977; US Congress: Washington, DC, USA, 1977.
- Torbert, J.; Burger, J. Forest land reclamation. In Reclamation of Drastically Disturbed Lands, Agronomy Monograph 41; Barnhisel, R., Darmody, R., Daniels, W., Eds.; ASA, CSSA, SSSA: Madison, WI, USA, 2000; pp. 371–398. [Google Scholar]
- Bussler, B.; Byrnes, W.; Pope, P.; Chaney, W. Properties of minesoil reclaimed for forest land use. Soil Sci. Soc. Am. J. 1984, 48, 178. [Google Scholar] [CrossRef]
- Andersen, C.; Bussler, B.; Chaney, W.; Pope, P.; Byrnes, W. Concurrent establishment of groundcover and hardwood trees on reclaimed mineland and unmined reference sites. For. Ecol. Manag. 1989, 28, 81–99. [Google Scholar] [CrossRef]
- Bateman, J.C.; Chanasyk, D.S. Effects of deep ripping and organic matter amendments on Ap horizons of soil reconstructed after coal strip-mining. Can. J. Soil Sci. 2001, 81, 113–120. [Google Scholar] [CrossRef]
- Ashby, W.; Vogel, W. Tree Planting on Mined Lands in the Midwest: A Handbook; Coal Research Center, Southern Illinois University: Carbondale, IL, USA, 1993. [Google Scholar]
- Skousen, J.; Gorman, J.; Pena-Yewtukhiw, E.; King, J.; Stewart, J.; Emerson, P.; Delong, C. Hardwood tree survival in heavy ground cover on reclaimed land in West Virginia: Mowing and ripping effects. J. Environ. Qual. 2009, 38, 1400–1409. [Google Scholar] [CrossRef]
- Fields-Johnson, C.; Burger, J.; Evans, D.; Zipper, C. Ripping improves tree survival and growth on unused reclaimed mined lands. Environ. Manag. 2014, 53, 1059–1065. [Google Scholar] [CrossRef]
- Ashby, W. Soil ripping and herbicides enhance tree and shrub restoration on stripmines. Restor. Ecol. 1997, 5, 169–177. [Google Scholar] [CrossRef]
- Casselman, C.; Fox, T.; Burger, J.; Jones, A.; Galbraith, J. Effects of silvicultural treatments on survival and growth of trees planted on reclaimed mine lands in the Appalachians. For. Ecol. Manag. 2006, 223, 403–414. [Google Scholar] [CrossRef]
- Franklin, J.; Zipper, C.; Burger, J.; Skousen, J.; Jacobs, D. Influence of herbaceous ground cover on forest restoration of eastern US coal surface mines. New For. 2012, 43, 905–924. [Google Scholar] [CrossRef]
- Stange, E.; Shea, K. Effects of deer browsing, fabric mats, and tree shelters on Quercus rubra seedlings. Restor. Ecol. 1998, 6, 29–34. [Google Scholar]
- Tripler, C.; Canham, C.; Inouye, R.; Schnurr, J. Soil nitrogen availability, plant luxury consumption, and herbivory by white-tailed deer. Oecologia 2002, 133, 517–524. [Google Scholar] [CrossRef]
- Burney, O.; Jacobs, D. Species selection—A fundamental silvicultural tool to promote forest regeneration under high animal browsing pressure. For. Ecol. Manag. 2018, 408, 67–74. [Google Scholar] [CrossRef]
- Hackworth, Z.J.; Springer, M.T. First-year vitality of reforestation plantings in response to herbivore exclusion on reclaimed Appalachian surface-mined land. Forests 2018, 9, 222. [Google Scholar] [CrossRef]
- Probert, T. Forest productivity of reclaimed mined land: A landowner’s perspective. In Proceedings of the American Society of Mining and Reclamation, Duluth, MN, USA, 14–18 June 1992; pp. 756–762. [Google Scholar]
- Burger, J.; Mitchem, D.; Zipper, C.; Williams, R. Herbaceous ground cover effects on native hardwoods planted on mined land. In Proceedings of the 2005 National Meeting of the America Society of Mining and Reclamation (ASMR), Breckenridge, CO, USA, 19–23 June 2005; pp. 136–146. [Google Scholar]
- Groninger, J.; Fillmore, S.; Rathfon, R. Stand characteristics and productivity potential of Indiana surface mines reclaimed under SMCRA. North. J. Appl. For. 2006, 23, 94–99. [Google Scholar] [CrossRef]
- Zipper, C.; Burger, J.; McGrath, J.; Rodrigue, J.; Holtzman, G. Forest restoration potentials of coal-mined lands in the eastern United States. J. Environ. Qual. 2011, 40, 1567–1577. [Google Scholar] [CrossRef]
- Burger, J.; Mitchem, D.; Scott, D. Field assessment of mine site quality for establishing hardwoods in the Appalachians. In Proceedings of the American Society of Mining and Reclamation (ASMR), Lexington, KY, USA, 9–13 June 2002; pp. 226–240. [Google Scholar]
- Rodrigue, J.; Burger, J. Forest soil productivity of mined land in the Midwestern and Eastern coalfield regions. Soil Sci. Soc. Am. J. 2004, 68, 833. [Google Scholar] [CrossRef]
- Dey, D.; Jacobs, D.; McNabb, K.; Miller, G.; Baldwin, V.; Foster, G. Artificial regeneration of major oak (Quercus) species in the eastern United States—A review of the literature. For. Sci. 2008, 54, 77–106. [Google Scholar]
- Struve, D.; Joly, R. Transplanted red oak seedlings mediate transplant shock by reducing leaf surface area and altering carbon allocation. Can. J. For. Res. 1992, 22, 1441–1448. [Google Scholar] [CrossRef]
- Jacobs, D.; Salifu, K.; Davis, A. Drought susceptibility and recovery of transplanted Quercus rubra seedlings in relation to root system morphology. Ann. For. Sci. 2009, 66, 504. [Google Scholar] [CrossRef]
- Johnson, P.; Novinger, S.; Mares, W. Root, shoot, and leaf area growth potentials of northern red oak planting stock. For. Sci. 1984, 30, 1017–1026. [Google Scholar]
- Wilson, E.; Vitols, K.; Park, A. Root characteristics and growth potential of container and bare-root seedlings of red oak (Quercus rubra L.) in Ontario, Canada. New For. 2007, 34, 163–176. [Google Scholar] [CrossRef]
- Woolery, P.; Jacobs, D. Planting stock type and seasonality of simulated browsing affect regeneration establishment of Quercus rubra. Can. J. For. Res. 2014, 44, 732–739. [Google Scholar] [CrossRef]
- McKay, H. A review of the effect of stresses between lifting and planting on nursery stock quality and performance. New For. 1997, 13, 369–399. [Google Scholar] [CrossRef]
- Grossnickle, S. Importance of root growth in overcoming planting stress. New For. 2005, 30, 273–294. [Google Scholar] [CrossRef]
- Grossnickle, S.; El-Kassaby, Y. Bareroot versus container stocktypes: A performance comparison. New For. 2016, 47, 1–51. [Google Scholar] [CrossRef]
- Zaczek, J.; Steiner, K.; Bowersox, T. Northern red oak planting stock: 6-year results. New For. 1997, 13, 177–191. [Google Scholar] [CrossRef]
- Davis, A.; Jacobs, D. First-year survival of nothern red oak seedlings planted on former surface coal mines in Indiana. In Proceedings of the American Society of Mining and Reclamation (ASMR), Morgantown, WV, USA, 18–22 April 2004; pp. 480–502. [Google Scholar]
- Pallardy, S.; Pereira, J.; Parker, W. Measuring the state of water in tree systems. In Techniques and Approaches in Forest Tree Ecophysiology; Lassioe, J., Hinckley, T., Eds.; CRC Press: Boca Raton, FL, USA, 1991; pp. 28–76. [Google Scholar]
- Bates, D.; Mächler, M.; Bolker, B.; Walker, S. Fitting Linear Mixed-Effects Models Using lme4. J. Stat. Softw. arXiv 2015, arXiv:1406.5823. [Google Scholar] [CrossRef]
- Lenth, R.; Singman, H.; Love, J.; Buerkner, P.; Herve, M. Emmeans. R Packag. 2018. Available online: https://cran.r-project.org/web/packages/emmeans/index.html (accessed on 14 August 2019).
- Jacobs, D.; Ross-Davis, A.; Davis, A. Establishment success of conservation tree plantations in relation to silvicultural practices in Indiana, USA. New For. 2004, 28, 23–36. [Google Scholar] [CrossRef]
- Chaney, W.; Pope, P.; Byrnes, W. Tree survival and growth on land reclaimed in accord with Public Law 95–87. J. Environ. Qual. 1995, 24, 630. [Google Scholar] [CrossRef]
- Sweeney, B.; Czapka, S.; Yerkes, T. Riparian forest restoration: Increasing success by reducing plant competition and herbivory. Restor. Ecol. 2002, 10, 392–400. [Google Scholar] [CrossRef]
- Grossnickle, S. Why seedlings survive: Influence of plant attributes. New For. 2012, 43, 711–738. [Google Scholar] [CrossRef]
- Ponder, F. Ten-year results of tree shelters on survival and growth of planted hardwoods. North. J. Appl. For. 2003, 20, 104–108. [Google Scholar] [CrossRef]
- Walter, W.; Godsey, L.; Garrett, H.; Dwyer, J.; Van Sambeek, J.; Ellersieck, M. Survival and 14-year growth of black, white, and swamp white oaks established as bareroot and RPM (R)-containerized planting stock. North. J. Appl. For. 2013, 30, 43–46. [Google Scholar] [CrossRef]
- Mariotti, B.; Maltoni, A.; Jacobs, D.; Tani, A. Tree shelters affect shoot and root system growth and structure in Quercus robur during regeneration establishment. Eur. J. For. Res. 2015, 134, 641–652. [Google Scholar] [CrossRef]
- Pallardy, S.; Kozlowski, T. Absorption of Water. In Physiology of Woody Plants; Elsevier: Boston, MA, USA, 2008; pp. 287–323. [Google Scholar]
- Grossnickle, S.C.; MacDonald, J.E. Why seedlings grow: Influence of plant attributes. New For. 2018, 49, 1–34. [Google Scholar] [CrossRef]
- Torbert, J.; Burger, J.; Probert, T. Evaluation of techniques to improve white pine establishment on an Appalachian minesoil. J. Environ. Qual. 1995, 24, 869–873. [Google Scholar] [CrossRef]
- Dubois, M.; Chappelka, A.; Robbins, E.; Somers, G.; Baker, K. Tree shelters and weed control: Effects on protection, survival and growth of cherrybark oak seedlings planted on a cutover site. New For. 2000, 20, 105–118. [Google Scholar] [CrossRef]
- Mechergui, T.; Pardos, M.; Boussaidi, N.; Hasnaoui, B.; Jacobs, D. Development of cork oak (Quercus suber L.) seedlings in response to tree shelters and mulching in northwestern Tunisia. J. For. Res. 2013, 24, 193–204. [Google Scholar] [CrossRef]
- Landis, T. The target plant concept—A history and brief overview. In Proceedings of the National Proceedings: Forest and Conservation Nursery Associations—2010, Little Rock, AR, USA, 26–29 July 2011; Riley, L.E., Haase, D.L., Pinto, J.R., Eds.; USDA Forest Service, Rocky Mountain Research Station: Fort Collins, CO, USA, 2011; pp. 61–66. [Google Scholar]






| Species | Stocktype | Height (cm) | Diameter (mm) | Root Dry Mass (g) | Shoot Dry Mass (g) | R:S Ratio |
|---|---|---|---|---|---|---|
| BW | Bareroot | 70.8 ± 4.8 a | 13.7 ± 1.8 a | 19.8 ± 3.0 a | 14.3 ± 1.8 a | 1.4 ± 0.14 b |
| Container | 27.7 ± 2.1 b | 8.9 ± 0.3 b | 3.6 ± 0.9 b | 1.5 ± 0.2 b | 2.2 ± 0.28 a | |
| RO | Bareroot | 63.6 ± 3.8 a | 10.6 ± 0.6 a | 17.1 ± 2.0 a | 10.8 ± 1.4 a | 1.7 ± 0.15 a |
| Container | 28.7 ± 0.7 b | 7.5 ± 0.3 b | 2.9 ± 0.4 b | 1.9 ± 0.2 b | 1.5 ± 0.13 a | |
| SWO | Bareroot | 50.8 ± 4.8 a | 7.9 ± 0.4 a | 7.5 ± 1.4 a | 5.0 ± 1.0 a | 1.6 ± 0.13 a |
| Container | 27.5 ± 1.2 b | 8.4 ± 0.4 a | 3.9 ± 0.5 b | 2.6 ± 0.3 b | 1.5 ± 0.06 a |
| CR400 | Dugger | |
|---|---|---|
| Organic matter (%) | 3.20 ± 0.01 a | 2.8 ± 0.01 b |
| Soil pH | 6.01 ± 0.24 a | 6.16 ± 0.14 a |
| Cation exchange capacity (meq/100 g) | 20.83 ± 1.28 a | 11.21 ± 0.45 b |
| Bulk density (g/cm3) | 1.30 ± 0.01 a | 1.26 ± 0.01 a |
| Phosphorous (ppm) | 7.00 ± 0.97 a | 3.08 ± 0.50 b |
| Potassium (ppm) | 102.83 ± 4.19 a | 107.08 ± 5.84 a |
| Magnesium (ppm) | 280.42 ± 28.47 a | 308.33 ± 9.07 a |
| Calcium (ppm) | 2779.17 ± 149.17 a | 1250 ± 62.46 b |
| Carbon:nitrogen | 26.22 ± 0.87 a | 14.67 ± 1.25 b |
| Texture | Clay Loam | Silty Clay Loam |
| Parameters | Site (S) | Stocktype (St) | Shelter (Sh) | Herbicide (H) | S × St | S × Sh | S × H | St × Sh | St × H | Sh × H | S × St × Sh | S × St × H | S × Sh × H | St × Sh × H |
|---|---|---|---|---|---|---|---|---|---|---|---|---|---|---|
| Survival | ||||||||||||||
| BW | 0.9706 | 0.885 | 0.004 | <0.0001 | 0.653 | 0.4104 | <0.0001 | 0.0011 | 0.0511 | 0.7996 | ||||
| RO | 0.2116 | 0.0302 | 0.056 | 0.816 | 0.0009 | 0.5184 | 0.6775 | 0.0179 | 0.9481 | 0.8737 | ||||
| SWO | 0.7456 | 0.5591 | 0.6589 | 0.1991 | 0.2862 | 0.044 | 0.4064 | 0.8843 | 0.009 | 0.5454 | ||||
| Rel. Ht | ||||||||||||||
| BW | <0.0001 | <0.0001 | 0.0008 | 0.0002 | 0.0106 | 0.0182 | 0.014 | 0.0001 | 0.0227 | <0.0001 | 0.2555 | 0.2555 | 0.7952 | 0.0004 |
| RO | <0.0001 | <0.0001 | <0.0001 | 0.0913 | <0.0001 | 0.0004 | 0.0217 | 0.0034 | 0.3748 | 0.79 | 0.0612 | 0.6504 | 0.4369 | 0.0564 |
| SWO | <0.0001 | <0.0001 | 0.0023 | 0.0092 | <0.0001 | 0.1419 | 0.1801 | 0.0201 | 0.2024 | 0.0062 | 0.9399 | 0.2936 | 0.0995 | 0.6721 |
| Abs. Ht | ||||||||||||||
| BW | 0.5459 | <0.0001 | 0.3529 | <0.0001 | 0.7245 | 0.3067 | 0.0004 | 0.0062 | 0.6706 | <0.0001 | 0.7732 | 0.0707 | 0.0417 | 0.1684 |
| RO | 0.0025 | <0.0001 | <0.0001 | 0.0005 | 0.0126 | 0.0017 | 0.7832 | 0.7742 | 0.0489 | 0.0015 | 0.1496 | 0.3222 | 0.5813 | 0.0023 |
| SWO | 0.0041 | <0.0001 | <0.0001 | 0.1213 | 0.0964 | 0.0226 | 0.482 | 0.0019 | 0.9164 | 0.0991 | 0.0322 | 0.4099 | 0.9148 | 0.3399 |
| Abs. Diam | ||||||||||||||
| BW | 0.5377 | <0.0001 | 0.0372 | <0.0001 | 0.2942 | 0.5884 | 0.0566 | 0.0252 | <0.0001 | 0.0677 | 0.0582 | 0.0926 | 0.6337 | 0.806 |
| RO | <0.0001 | <0.0001 | 0.3374 | 0.0063 | 0.311 | 0.1836 | <0.0001 | 0.6842 | 0.0023 | 0.8449 | 0.0082 | 0.1513 | 0.7684 | 0.072 |
| SWO | <0.0001 | <0.0001 | 0.1081 | <0.0001 | 0.0236 | 0.003 | <0.0001 | 0.0305 | <0.0001 | <0.0001 | 0.9727 | 0.0057 | <0.0001 | 0.6874 |
| Tot. Diam | ||||||||||||||
| BW | 0.3781 | <0.0001 | 0.0035 | <0.0001 | 0.5961 | 0.886 | 0.0027 | 0.189 | <0.0001 | 0.3661 | 0.1748 | 0.9196 | 0.2481 | 0.0223 |
| RO | 0.0128 | <0.0001 | 0.977 | 0.0075 | 0.0591 | 0.0004 | 0.0024 | 0.1367 | 0.3825 | 0.6964 | 0.4437 | 0.4057 | 0.7513 | 0.2239 |
| SWO | 0.0013 | 0.0004 | 0.023 | <0.0001 | 0.8843 | 0.0002 | <0.0001 | 0.0062 | 0.0282 | 0.0154 | 0.0345 | 0.3005 | <0.0001 | 0.4983 |
| Parameter | Site (S) | Stocktype (St) | Herbicide (H) | S × St | S × H | St × H | S × St × H |
|---|---|---|---|---|---|---|---|
| Leaf Ψpd | |||||||
| BW | 0.0219 | 0.3395 | 0.4401 | 0.6853 | 0.7181 | 0.0728 | 0.0804 |
| RO | 0.0016 | 0.9283 | 0.7008 | 0.1618 | 0.3144 | 0.8428 | 0.7475 |
| SWO | <0.0001 | 0.7925 | 0.7613 | 0.2643 | 0.0062 | 1.0000 | 0.4476 |
© 2020 by the authors. Licensee MDPI, Basel, Switzerland. This article is an open access article distributed under the terms and conditions of the Creative Commons Attribution (CC BY) license (http://creativecommons.org/licenses/by/4.0/).
Share and Cite
Schempf, W.M.; Jacobs, D.F. Hardwood Species Show Wide Variability in Response to Silviculture during Reclamation of Coal Mine Sites. Forests 2020, 11, 72. https://doi.org/10.3390/f11010072
Schempf WM, Jacobs DF. Hardwood Species Show Wide Variability in Response to Silviculture during Reclamation of Coal Mine Sites. Forests. 2020; 11(1):72. https://doi.org/10.3390/f11010072
Chicago/Turabian StyleSchempf, Weston M., and Douglass F. Jacobs. 2020. "Hardwood Species Show Wide Variability in Response to Silviculture during Reclamation of Coal Mine Sites" Forests 11, no. 1: 72. https://doi.org/10.3390/f11010072
APA StyleSchempf, W. M., & Jacobs, D. F. (2020). Hardwood Species Show Wide Variability in Response to Silviculture during Reclamation of Coal Mine Sites. Forests, 11(1), 72. https://doi.org/10.3390/f11010072

