Scientific Forest Management Practice in Nepal: Critical Reflections from Stakeholders’ Perspectives
Abstract
1. Introduction
2. Methodology
2.1. Identification of Stakeholders and Category of Respondents
2.2. Data Collection and Analysis Methods
3. Results
3.1. Engagement of Stakeholders in SciFM Policies and Processes
3.2. Conceptualisation/Understanding of SciFM among Stakeholders
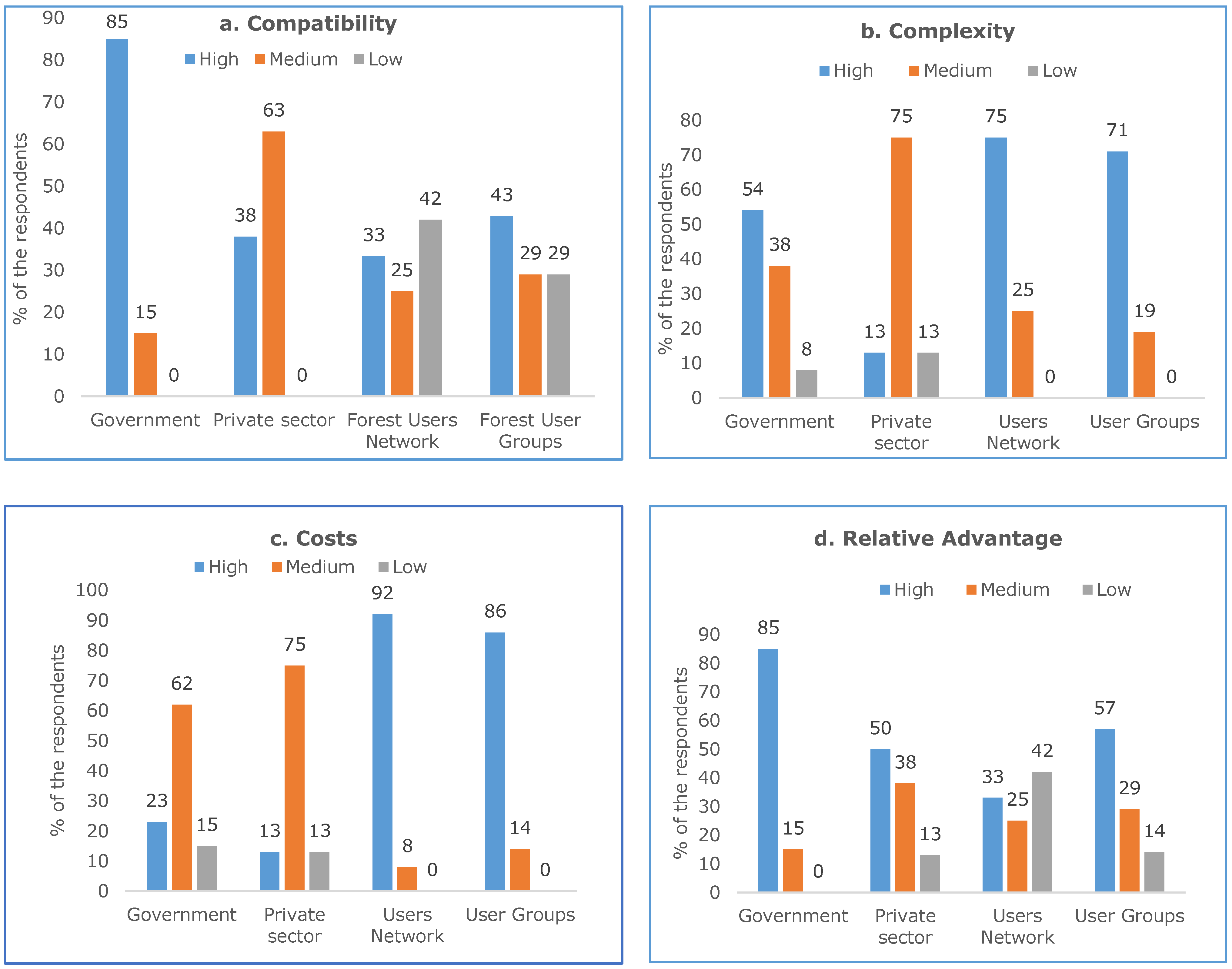
3.3. Relevance of SciFM
3.4. Effectiveness of SciFM
3.5. Opportunities and Challenges of SciFM Implementation
4. Discussion
4.1. Potential Reasons and Implications of Differences in Conceptual Understandings of SciFM among Stakeholders
4.2. Relevance and Effectiveness of SciFM
4.3. Possible Strategies: Optimising Opportunities and Minimising Risks of SciFM
5. Conclusions
- Despite the converging perspectives of stakeholders on the need for active forest management, stakeholders exhibit differences in understanding/conceptualisation and interpretation of SciFM. The primary reasons for such divergence were highlighted as the implementation modality and nomenclature of SciFM in the outer layer, whereas the political economy of the stakeholder institutions and historically engrained scepticisms towards each other potentially played key roles beneath the surface.
- Such divergences will lead to negative implications for the future of forests and communities if the stakeholders cannot instigate steps towards regular and fruitful deliberations on the most suitable modality of forest management. Despite the fact that the Ministry of Forest and Environment, as a lead policy driver, and FECOFUN, as a responsible umbrella institution as well as a representative of more than 22,000 CFUGs, need to initiate discussions proactively, the role of other stakeholders is equally important to reach a satisfactory solution.
- Considering the positive results on compatibility and the relative advantages of SciFM, this kind of active forest management intervention could be the right choice to increase timber supply, contribute to local and national economy and improve forest health [77]. However, at the same time, lengthy bureaucratic procedures, complex rules and regulations and dominance of forestry technicians have increased distrust among the stakeholders. This has created dilemmas at the implementation level and increased the reluctance of forest users and networks to collaborate in SciFM. Bureaucratic dominance in the process has made the stakeholders (particularly FECOFUN) suspicious about the possibility of recentralisation of community rights and ownership in forest management. Therefore, ensuring genuine participatory forest governance could help SciFM to gain expected momentum.
- Conventional thinking of key forestry actors and scepticism towards each other based on their past forest management behaviours and actions needs to change within the broader goals of benefitting communities, the nation and the environment. To be specific, the common government perception of forestry networks as problem makers and the network’s observation of government as the promoter of technocratic solutions need to be reconsidered in order to build trust. Capacity development of the stakeholders, including forest officials, and the design of participatory and transparent forest assessment tools may support the reduction of scepticism, thereby enhancing effectiveness in SciFM adoption.
- As SciFM has already been in place for the last 7 years, broader implications of SciFM for forest product supply, the local and the national economy and the area of potential changes to modality based on learning and existing knowledge could be further areas of research to manage production forests of Nepal in a sustainable way. Likewise, periodic assessment of management capacity and institutional governance of forest user groups is essential.
Author Contributions
Funding
Acknowledgments
Conflicts of Interest
References
- Gual, M.A.; Norgaard, R.B. Bridging ecological and social systems coevolution: A review and proposal. Ecol. Econ. 2010, 69, 707–717. [Google Scholar] [CrossRef]
- Kallis, G.; Norgaard, R.B. Coevolutionary ecological economics. Ecol. Econ. 2010, 69, 690–699. [Google Scholar] [CrossRef]
- Ostrom, E. A general framework for analyzing sustainability of social-ecological systems. Science 2009, 325, 419–422. [Google Scholar] [CrossRef] [PubMed]
- Krott, M.; Bader, A.; Schusser, C.; Devkota, R.; Maryudi, A.; Giessen, L.; Aurenhammer, H. Actor-centred power: The driving force in decentralised community based forest governance. For. Policy Econ. 2014, 49, 34–42. [Google Scholar] [CrossRef]
- Schmithüsen, F. Three hundred years of applied sustainability in forestry. Unasylva 2013, 64, 3–11. [Google Scholar]
- Wiersum, K.F. 200 years of sustainability in forestry: Lessons from history. Environ. Manag. 1995, 19, 321–329. [Google Scholar] [CrossRef]
- Siiskonen, H. The conflict between traditional and scientific forest management in 20th century Finland. For. Ecol. Manag. 2007, 249, 125–133. [Google Scholar] [CrossRef]
- Food and Agriculture Organisation of the United Nations. Global Forest Resources Assessment 2015: How Are the World’s Forests Changing? Food and Agriculture Organisation of the United Nations (FAO): Rome, Italy, 2016. [Google Scholar]
- Sarre, A.; Sabogal, C. Is SFM an impossible dream? Unasylva 2013, 64, 240. [Google Scholar]
- Wijewardana, D. Sustainable Forest Management: What Does It Mean in Practice? UN Forum on Forests Secretariat: New York, NY, USA, 2007; pp. 5–7. [Google Scholar]
- Gustafsson, L.; Baker, S.C.; Bauhus, J.; Beese, W.J.; Brodie, A.; Kouki, J.; Lindenmayer, D.B.; Lõhmus, A.; Pastur, G.M.; Messier, C. Retention forestry to maintain multifunctional forests: A world perspective. BioScience 2012, 62, 633–645. [Google Scholar] [CrossRef]
- Mendoza, G.A.; Prabhu, R. Combining participatory modeling and multi-criteria analysis for community-based forest management. For. Ecol. Manag. 2005, 207, 145–156. [Google Scholar] [CrossRef]
- Kearney, A.R.; Bradley, G.; Kaplan, R.; Kaplan, S. Stakeholder perspectives on appropriate forest management in the pacific northwest. For. Sci. 1999, 45, 62–73. [Google Scholar] [CrossRef]
- Julijanti, J.; Nugroho, B.; Kartodihardjo, H.; Nurrochmat, D.R. Policy adoption of forest management unit: A knowledge diffusion analysis. J. Manaj. Hutan Trop. 2014, 20, 94–102. [Google Scholar] [CrossRef]
- Bhattarai, B.P.; Poudyal, B.H.; Acharya, R.P.; Maraseni, T. Policy and governance issues in timber harvesting: A case study of collaborative forest in Nepal. In Wild Harvests, Governance, and Livelihoods in Asia, Proceedings of the International Conference, Kathmandu, Nepal, 30 November–2 December 2017; Ministry of Population and Environment (MOPE): Kathmandu, Nepal, 2017; p. 186. [Google Scholar]
- Poudel, K.C. Silviculture for forest management in Nepal. Banko Janakari 2018, 27, 15–20. [Google Scholar] [CrossRef]
- Baral, S.R.; Dhakal, S.R. Nepalma Baigyanik Ban Byabasthapan: Bartaman Abastha, Samasya ra Sujhab; Babarmahal: Kathmandu, Nepal, 2018. [Google Scholar]
- Ministry of Forests and Soil Conservation. Scientifc Forest Management Guideline; Ministry of Forests and Soil Conservation, Singhadarbar: Kathmandu, Nepal, 2014.
- Koirala, P.N.; Acharya, K. Sivicultural evolution: A retrospective review to uncover appropriate lessons for forestry advance in Nepal. In Proceedings of the Silviculture for Forest Management Kathmandu, Kathmandu, Nepal, 19–21 February 2017; p. 540. [Google Scholar]
- Subedi, B.P.; Ghimire, P.L.; Koontz, A.; Khanal, S.C.; Katwal, P.; Sthapit, K.R.; Mishra, S.K. Private Sector Involvement and Investment in Nepal’s Forestry: Status, Prospects and Ways Forward; Multi Stakeholder Forestry Programme (MSFP): Kathmandu, Nepal, 2014. [Google Scholar]
- Department of Forest Research and Survey. State of Nepal’s Forests; Forest Resource Assessment (FRA) Nepal, Department of Forest Research and Survey (DFRS): Kathmandu, Nepal, 2015.
- Jayasawal, D.; Bishwokarma, D. Scientific Forest Management Initiatives in Nepal: MSFP Experiences and Lessons Learnt; Multi Stakeholder Forestry Programme: Kathmandu, Nepal, 2016. [Google Scholar]
- Department of Customs. Foreign Trade Statistics FY 2075/76 (2018/19), Government of Nepal, Kathmandu. Available online: https://www.customs.gov.np/en/monthlystatstics.html (accessed on 18 September 2019).
- Subedi, V.R.; Poudel, I.; Bhattarai, P. Application of silviculture system, yield regulation and thinning in natural forests. In Proceedings of the Silviculture for Forest Management Nepal, Kathmandu, Nepal, 19–21 February 2017; p. 540. [Google Scholar]
- Banjade, M.R.; Paudel, N.S.; Karki, R.; Sunam, R.; Paudyal, B.R. Putting Timber in the Hot Seat: Discourse, Policy and Contestations over Timber in Nepal; ForestAction Discussion Paper Series 11: 2; ForestAction: Kathmandu, Nepal, 2011. [Google Scholar]
- Paudel, N.; Paudel, G.; Karki, R.; Khatri, D. Revenue and Employment Opportunities from Timber Management in Nepal’s Community Forests; Policy Brief; ForestAction: Kathmandu, Nepal, 2014. [Google Scholar]
- Basnyat, B.; Treue, T.; Pokharel, R. Silvicultural madness: A case from the “Scientific Forestry” initiative in the community forests of Nepal. Banko Janakari 2018, 27, 54–64. [Google Scholar] [CrossRef]
- Baral, S.; Meilby, H.; Khanal Chettri, B.B.; Basnyat, B.; Rayamajhi, S.; Awale, S. Politics of getting the numbers right: Community forest inventory of Nepal. For. Policy Econ. 2018, 91, 19–26. [Google Scholar] [CrossRef]
- Basnyat, B.; Treue, T.; Pokharel, R.K.; Lamsal, L.N.; Rayamajhi, S. Legal-sounding bureaucratic re-centralisation of community forestry in Nepal. For. Policy Econ. 2018, 91, 5–18. [Google Scholar] [CrossRef]
- Rutt, R.L.; Chhetri, B.B.K.; Pokharel, R.; Rayamajhi, S.; Tiwari, K.; Treue, T. The scientific framing of forestry decentralization in Nepal. For. Policy Econ. 2015, 60, 50–61. [Google Scholar] [CrossRef]
- Joshi, O.; Parajuli, R.; Kharel, G.; Poudyal, N.C.; Taylor, E. Stakeholder opinions on scientific forest management policy implementation in Nepal. PLoS ONE 2018, 13, e0203106. [Google Scholar] [CrossRef]
- Subedi, V.; Bhatta, K.; Poudel, I.; Bhattarai, P. Application of silvicultural system, yield regulation and thinning practices in natural forests: Case study from western Terai. Banko Janakari 2018, 92–97. [Google Scholar] [CrossRef]
- Cedamon, E.; Paudel, G.; Basyal, M.; Nuberg, I.; Shrestha, K. Applications of single-tree selection guideline following a DBq approach on Nepal’s community forests. Banko Janakari 2018, 104–112. [Google Scholar] [CrossRef]
- Gilmour, D. Forty Years of Community-Based Forestry: A Review of Its Extent and Effectiveness; Food and Agriculture Organisation of the United Nations: Rome, Italy, 2016. [Google Scholar]
- Maraseni, T.N.; Bhattarai, N.; Karky, B.S.; Cadman, T.; Timalsina, N.; Bhandari, T.S.; Apan, A.; Ma, H.O.; Rawat, R.; Verma, N. An assessment of governance quality for community-based forest management systems in Asia: Prioritisation of governance indicators at various scales. Land Use Policy 2019, 81, 750–761. [Google Scholar] [CrossRef]
- Williams, B.K. Adaptive management of natural resources—Framework and issues. J. Environ. Manag. 2011, 92, 1346–1353. [Google Scholar] [CrossRef] [PubMed]
- Pokharel, B.K.; Branney, P.; Nurse, M.; Malla, Y.B. Community forestry: Conserving forests, sustaining livelihoods and strengthening democracy. J. For. Livelihood 2007, 6, 8–19. [Google Scholar]
- Maraseni, T.N.; Dargusch, P. Expanding woodland regeneration on marginal southern Queensland pastures using market-based instruments: A landowners’ perspective. Australas. J. Environ. Manag. 2008, 15, 104–112. [Google Scholar] [CrossRef]
- Krott, M. Forest Policy Analysis; Springer Science & Business Media: New York, NY, USA, 2005. [Google Scholar]
- Rahman, M.S.; Giessen, L. Mapping international forest-related issues and main actors’ positions in Bangladesh. Int. For. Rev. 2014, 16, 586–601. [Google Scholar] [CrossRef]
- Raum, S. A framework for integrating systematic stakeholder analysis in ecosystem services research: Stakeholder mapping for forest ecosystem services in the UK. Ecosyst. Serv. 2018, 29, 170–184. [Google Scholar] [CrossRef]
- Sandström, C.; Carlsson-Kanyama, A.; Lindahl, K.B.; Sonnek, K.M.; Mossing, A.; Nordin, A.; Nordström, E.-M.; Räty, R. Understanding consistencies and gaps between desired forest futures: An analysis of visions from stakeholder groups in Sweden. Ambio 2016, 45, 100–108. [Google Scholar] [CrossRef]
- Sténs, A.; Bjärstig, T.; Nordström, E.-M.; Sandström, C.; Fries, C.; Johansson, J. In the eye of the stakeholder: The challenges of governing social forest values. Ambio 2016, 45, 87–99. [Google Scholar] [CrossRef]
- Lintangah, W.; Weber, N. Implementation of sustainable forest management: An application of the triple perspective typology of stakeholder theory in a case study in Sabah, Malaysia. J. For. Landsc. Res. 2015, 1, 1–11. [Google Scholar]
- Steurer, R. Mapping stakeholder theory anew: From the ‘stakeholder theory of the firm’ to three perspectives on business–society relations. Bus. Strategy Environ. 2006, 15, 55–69. [Google Scholar] [CrossRef]
- Dyllick, T.; Hockerts, K. Beyond the business case for corporate sustainability. Bus. Strategy Environ. 2002, 11, 130–141. [Google Scholar] [CrossRef]
- Reed, M.S.; Graves, A.; Dandy, N.; Posthumus, H.; Hubacek, K.; Morris, J.; Prell, C.; Quinn, C.H.; Stringer, L.C. Who’s in and why? A typology of stakeholder analysis methods for natural resource management. J. Environ. Manag. 2009, 90, 1933–1949. [Google Scholar] [CrossRef] [PubMed]
- Yin, R.K. Qualitative Research from Start to Finish; Guilford Publications: New York, NY, USA, 2015. [Google Scholar]
- Babbie, E.R. The Practice of Social Research; Nelson Education: Toronto, ON, Canada, 2015. [Google Scholar]
- Timberlake, T.J.; Schultz, C.A. Policy, practice, and partnerships for climate change adaptation on US national forests. Clim. Chang. 2017. [Google Scholar] [CrossRef]
- Neuman, L.W. Social Research Methods: Qualitative and Quantitative Approaches; SAGE: Southend Oaks, CA, USA, 2002. [Google Scholar]
- Rogers, E.M.; Shoemaker, F.F. Communication of Innovations; A Cross-Cultural Approach; The Free Press: New York, NY, USA, 1971. [Google Scholar]
- Tornatzky, L.G.; Klein, K.J. Innovation characteristics and innovation adoption-implementation: A meta-analysis of findings. IEEE Trans. Eng. Manag. 1982, EM-29, 28–45. [Google Scholar] [CrossRef]
- Poudyal, B.H.; Paudel, G.; Luintel, H. Enhancing REDD+ outcomes through improved governance of community forest user groups. J. For. Livelihood 2013, 11, 14–26. [Google Scholar] [CrossRef]
- Maraseni, T.N.; Cockfield, G.; Apan, A. Community based forest management systems in developing countries and eligibility for clean development mechanism. J. For. Livelihood 2005, 4, 31–42. [Google Scholar]
- Cadman, T.; Maraseni, T.; Breakey, H.; Loópez-Casero, F.; Ma, H. Governance values in the climate change regime: Stakeholder perceptions of REDD+ legitimacy at the national level. Forests 2016, 7, 212. [Google Scholar] [CrossRef]
- Gilmour, D. Silviculture and community forestry: Looking backwards, looking forwards. In Proceedings of the 1st National Silviculture Workshop, Kathmandu, Nepal, 20 August 2017; pp. 27–50. [Google Scholar]
- Sapkota, L.; Dhungana, H.; Poudyal, B.; Chapagain, B.; Gritten, D. Understanding the barriers to community forestry delivering on its potential: An illustration from two heterogeneous districts in Nepal. Environ. Manag. 2019, in press. [Google Scholar]
- Rydin, Y.; Pennington, M. Public Participation and Local Environmental Planning: The collective action problem and the potential of social capital. Local Environ. 2000, 5, 153–169. [Google Scholar] [CrossRef]
- Head, B.W.; Alford, J. Wicked problems: Implications for public policy and management. Adm. Soc. 2015, 47, 711–739. [Google Scholar] [CrossRef]
- Shindler, B.A.; Brunson, M.; Stankey, G.H. Social Acceptability of Forest Conditions and Management Practices: A Problem Analysis; General Technical Report; United States Department of Agriculture: Washington, DC, USA, 2002.
- Ojha, H.R.; Banjade, M.R.; Sunam, R.K.; Bhattarai, B.; Jana, S.; Goutam, K.R.; Dhungana, S. Can authority change through deliberative politics? Lessons from the four decades of participatory forest policy reform in Nepal. For. Policy Econ. 2014, 46, 1–9. [Google Scholar] [CrossRef]
- Sunam, R.; Paudel, G. Democratising Nepal’s forest sector policy process: The role of resistance by community federation. J. For. Livelihood 2012, 10, 28–41. [Google Scholar] [CrossRef]
- Sunam, R.K.; Paudel, N.S.; Paudel, G. Community forestry and the threat of recentralization in Nepal: Contesting the bureaucratic hegemony in policy process. Soc. Nat. Resour. 2013, 26, 1407–1421. [Google Scholar] [CrossRef]
- Satyal Pravat, P.; Humphreys, D. Using a multilevel approach to analyse the case of forest conflicts in the Terai, Nepal. For. Policy Econ. 2013, 33, 47–55. [Google Scholar] [CrossRef]
- Dhungana, S.P.; Satyal, P.; Yadav, N.P.; Bhattarai, B. Collaborative forest management in Nepal: Tenure, governance and contestations. J. For. Livelihood 2017, 15, 27–42. [Google Scholar] [CrossRef]
- Bampton, J.F.; Ebregt, A.; Banjade, M.R. Collaborative forest management in Nepal’s Terai: Policy, practice and contestation. J. For. Livelihood 2007, 6, 30–43. [Google Scholar]
- Ribot, J.C.; Agrawal, A.; Larson, A.M. Recentralizing while decentralizing: How national governments reappropriate forest resources. World Dev. 2006, 34, 1864–1886. [Google Scholar] [CrossRef]
- Poudyal, B.H.; Maraseni, T.; Cockfield, G. Impacts of forest management on tree species richness and composition: Assessment of forest management regimes in Tarai landscape Nepal. Appl. Geogr. 2019, 111, 102078. [Google Scholar] [CrossRef]
- Poudyal, B.; Maraseni, T.; Cockfield, G. An assessment of the policies and practices of selective logging and timber utilisation: A case study from natural forests of Tarai Nepal and Queensland Australia. Land Use Policy 2019, 91, 104422. [Google Scholar] [CrossRef]
- Gritten, D.; Greijmans, M.; Lewis, S.R.; Sokchea, T.; Atkinson, J.; Quang, T.N.; Poudyal, B.; Chapagain, B.; Sapkota, L.M.; Mohns, B. An uneven playing field: Regulatory barriers to communities making a living from the timber from their forests–examples from Cambodia, Nepal and Vietnam. Forests 2015, 6, 3433–3451. [Google Scholar] [CrossRef]
- Goutam, K.R. Corruption in Timber Production and Trade: An Analysis Based on Case Studies in the Tarai of Nepal. Ph.D. Thesis, Australian National University, Canberra, Australia, 2017. [Google Scholar]
- Cadman, T.; Maraseni, T.; Ma, H.O.; Lopez-Casero, F. Five years of REDD plus governance: The use of market mechanisms as a response to anthropogenic climate change. For. Policy Econ. 2017, 79, 8–16. [Google Scholar] [CrossRef]
- Maraseni, T.N.; Shivakoti, G.P.; Cockfield, G.; Apan, A. Nepalese non-timber forest products: An analysis of the equitability of profit distribution across a supply chain to India. Small Scale For. Econ. Manag. Policy 2006, 5, 191–206. [Google Scholar] [CrossRef]
- Pannell, D.J.; Marshall, G.R.; Barr, N.; Curtis, A.; Vanclay, F.; Wilkinson, R. Understanding and promoting adoption of conservation practices by rural landholders. Aust. J. Exp. Agric. 2006, 46, 1407–1424. [Google Scholar] [CrossRef]
- Poudyal, B.H.; Maraseni, T.; Cockfield, G. Evolutionary dynamics of selective logging in the tropics: A systematic review of impact studies and their effectiveness in sustainable forest management. For. Ecol. Manag. 2018, 430, 166–175. [Google Scholar] [CrossRef]
- Poudyal, B.H.; Maraseni, T.N.; Cockfield, G. Implications of selective harvesting of natural forests for forest product recovery and forest carbon emissions: Cases from Tarai Nepal and Queensland Australia. Forests 2019, 10, 693. [Google Scholar] [CrossRef]
- Sakurai, T.; Rayamajhi, S.; Pokharel, R.K.; Otsuka, K. Efficiency of timber production in community and private forestry in Nepal. Environ. Dev. Econ. 2004, 9, 539–561. [Google Scholar] [CrossRef]


| Stakeholder Group (Total Respondents) | Key Stakeholders | Central/District/Local | Roles/Interests and Influence in Sustainable Forest Management (SFM) | Respondents |
|---|---|---|---|---|
| Government (13) | Ministry of Forest and Environment (MoFE) | Central | Promulgating forest policy and plans, overall coordination and regulation of forest management activities. | 1 |
| Department of Forests (DoF) | Central | Drafting forest policy proposals, negotiation with stakeholders, coordinating all the district forest offices, implementation of policies, plans and oversight of nationwide forest management activities. | 4 | |
| District Forest Office (DFO) | District | Implementing all forest management activities in the district. Balancing protection and production, facilitating user groups, entrepreneurs and contractors to balance demand and supply. | 6 | |
| Timber Corporation of Nepal (TCN) | Central | Harvesting, collection and sales of timber and fuelwood. | 1 | |
| TCN owned Sawmill at Danda, Nawalparasi | District | Processing of logs and production of value-added products such as ready to sell poles, frames. | 1 | |
| Federation/networks of forest users (12) | Federation of Community Forest Users Nepal (FECOFUN) | Central | Ensuring community rights in forest policies, action plans and regulations through active engagement in policy processes and advocacy. Facilitating community forest users to utilize their rights and building capacity of users | 4 |
| District/area level FECOFUN | District | Coordinating at district level with forest office, management plan implementation | 4 | |
| Community-based Forestry Supporter’s Network (COFSUN) Nepal | Central | Building capacity of forest user groups and facilitating policy process. | 1 | |
| Association of Collaborative Forest Users Nepal (ACOFUN) | Central | Advocating users’ rights in policies and plans. Facilitating implementation of Collaborative Forest Management (CFM) activities. | 2 | |
| Himalayan Grassroots Women’s Natural Resource Management Association of Nepal (HIMAWANTI) | Central | Empowering women in forest management, policy advocacy, capacity development of Community Forest User Groups (CFUGs). | 1 | |
| Private Sector (8) | Federation of Forest Based Industry and Trade, Nepal (FENFIT) Nepal | Central | Advocating for enabling environment to the forest products industries, sustainable supply of timber products | 3 |
| Saw mills | Central plus Local | Collecting forest products at local level and sustainable supply of timber and local furniture. | 3 (1 + 2) | |
| Local timber contractors | Local | Collecting forest products and supply in other places. | 2 | |
| Forest user groups (7) | Community forestry user groups | Community | Conservation and management of forest areas handed over to them. | 5 |
| Collaborative forest management committee/users | Community | Interested in sustainable supply of the forest products for their subsistence needs. Influence on local forest management decisions/regulations through their networks. | 2 | |
| Total | 40 |
| Stakeholders | Conceptualisation/Understanding of Scifm | No. of Respondents |
|---|---|---|
| Government | Active form of science- based management of production forest for sustainable supply of timber and fuelwood, thereby minimising timber imports. | 13 (100%) |
| a. Current modality is perfect, at least in natural forest of terai. | 8 (62%) | |
| b. It is just piloting and need to rethink context specific approach. | 3 (23%) | |
| c. We could have simplified and facilitated the earlier form of harvesting by just improving the governance. | 2 (15%) | |
| Forest Network and Federations | A management initiative where forest is seen for only the timber and money rather considering biodiversity, traditional knowledge and social aspect of forests. this is the form where technicians increase their role and have imposed scifm through policy and incentive for the short term, aiming to recentralise cfug rights. | 5 (42%) |
| A form of active forest management of natural forests of terai that has addressed the timber and fuelwood needs of distant users as well as supply at national level. ongoing management modality and procedure is fine. | 3 (25%) | |
| Although the current modality is more beneficial for forest and community, this demands more capable local forest user groups. therefore, this can be piloted in cfugs that are better in terms of governance and group management. system should be flexible for different management regime. | 2 (17%) | |
| Scifm is the government- led programme imposed on all the cfugs. regular harvesting as per the inventory of growing stock best fits cfugs. | 2 (17%) | |
| Private Sector | Scifm is an active forest management modality to increase timber supply, to reduce timber price in the market and replace current imports. this will maintain sustainability of forest product supply and help to improve forest governance. | 8 (100%) |
| a. The current modality is fine for the moment. however, it would be good if the government managed to sell the standing trees through tender rather than going for separate bidding and contracting process. | 5 (62.5%) | |
| b. The current form of harvesting and sales requires stringent rules to control irregularities and the influence of local contractors/groups. | 3 (37.5%) | |
| Forest User groups | Scifm is an approach that encourages users to be active in forest management and increases timber and fuelwood supply, increases income of the forest user groups and employment of the local users. we can invest more in community development. current form of management is fine. | 3 (43%) |
| Scifm primarily focuses on the increased role of technicians and the local users. this also supports increased income and employment, but is challenging to the users to maintain post-harvest management, mainly in protecting forest fire/grazing. that is why cfug with low income, ineffective group management and the bad governance record/performance should not go for scifm. there are more risks associated with this approach. therefore, this modality needs further testing among capable cfugs and should focus more on capacity development of local users. | 3 (43%) | |
| Scifm is not good for cfugs. our use rights might be at risk due to technocratic dominance. | 1 (14%) | |
| Total | 40 |
| Opportunities | In the View of |
|---|---|
| Increase in forest product supply to replace imports of forest products | Government, Private sector, Forest user groups, ACOFUN, FECOFUN, COFSUN, HIMAWANTI |
| Development of institutional capacity of forest management agencies and forest user groups in silviculture-based forest management | Government, Private sector, Forest user groups, ACOFUN, FECOFUN, COFSUN, HIMAWANTI |
| Creation of more jobs and income for the local people and higher contribution to national economy | Government, Private sector, ACOFUN, Forest user groups, HIMAWANTI |
| Improvement in forest conditions | Government, Private Sector, ACOFUN, Forest user groups |
| Increase in motivation/participation of community members in forest management activity due to increased investment opportunities in community development and supporting poor households | Government, Private sector, ACOFUN, Forest user groups |
| Change in conservation-focused perspectives on forest management | Private sector, ACOFUN |
| Technological advancement in forest harvesting and value addition in timber products | Private sector |
| Improvement in forest governance | Private sector |
| Challenges | In the View of |
|---|---|
| Limited capacity of forestry staff to facilitate SciFM at local level due to multiple roles and lack of forest management skills | Government, FECOFUN, ACOFUN, COFSUN, HIMAWANTI, Private sector, Forest user groups |
| Lengthy bureaucratic procedures for harvesting and sales (tender call and approval) and lack of quick and efficient monitoring system (limited authority to District Forest Office (DFO) and multiple layers of monitoring) | FECOFUN, ACOFUN, COFSUN, Private sector, Forest user groups |
| Poor governance in wood production flow and lack of transparency in implementation procedures | FECOFUN, COFSUN, HIMAWANTI, Private sector, Forest user groups |
| Safety of forest workers | FECOFUN, ACOFUN, Forest user groups |
| Conservation-oriented mindset of stakeholders and the public | Government, ACOFUN, Private sector |
| Expensive start-up cost | FECOFUN, COFSUN, HIMAWANTI, Forest user groups |
| Different understanding and views of stakeholders/political leaders and relationship management/coordination with FECOFUN | Private sector, Forest user groups |
| High fiduciary risks in timber harvesting and sales (maintaining timber governance) | FECOFUN, COFSUN, Private sector |
| Lack of specific harvesting and thinning guidelines | Government |
| Sustainable investment in stand management and thinning, post-harvesting stand management | Government, ACOFUN, Private sector |
© 2019 by the authors. Licensee MDPI, Basel, Switzerland. This article is an open access article distributed under the terms and conditions of the Creative Commons Attribution (CC BY) license (http://creativecommons.org/licenses/by/4.0/).
Share and Cite
Poudyal, B.H.; Maraseni, T.; Cockfield, G. Scientific Forest Management Practice in Nepal: Critical Reflections from Stakeholders’ Perspectives. Forests 2020, 11, 27. https://doi.org/10.3390/f11010027
Poudyal BH, Maraseni T, Cockfield G. Scientific Forest Management Practice in Nepal: Critical Reflections from Stakeholders’ Perspectives. Forests. 2020; 11(1):27. https://doi.org/10.3390/f11010027
Chicago/Turabian StylePoudyal, Bishnu Hari, Tek Maraseni, and Geoff Cockfield. 2020. "Scientific Forest Management Practice in Nepal: Critical Reflections from Stakeholders’ Perspectives" Forests 11, no. 1: 27. https://doi.org/10.3390/f11010027
APA StylePoudyal, B. H., Maraseni, T., & Cockfield, G. (2020). Scientific Forest Management Practice in Nepal: Critical Reflections from Stakeholders’ Perspectives. Forests, 11(1), 27. https://doi.org/10.3390/f11010027
