Rubber Tree (Hevea brasiliensis) Biomass, Nutrient Content, and Heating Values in Southern Thailand
Abstract
1. Introduction
2. Materials and Methods
2.1. Study Area
2.2. Laboratory Analyses
2.3. Statistical Analysis
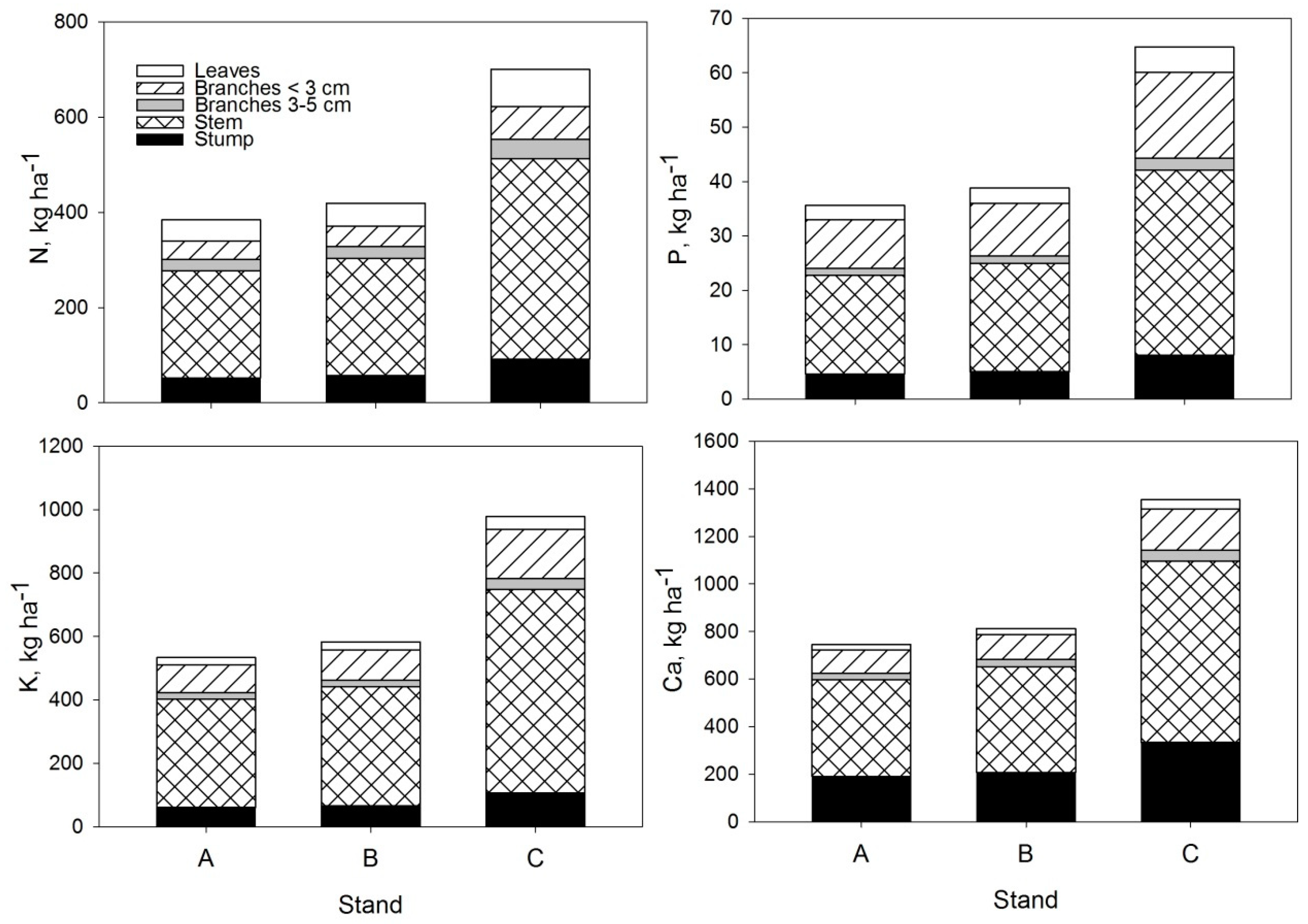
3. Results
3.1. The Biomass of Rubberwood Compartments
3.2. Ash, Carbon, Hydrogen, and Nutrient Concentrations
3.3. Nutrients and Carbon Bound in Stands and the Unit Amount of Biomass
3.4. The Heating Value of Rubberwood Compartments and Stands
4. Discussion
5. Conclusions
Author Contributions
Acknowledgments
Conflicts of Interest
References
- FAO. Global forest resources assessment. FAO Forestry Paper, 2010; Volume 163, p. 329. Available online: http://www.fao.org/3/a-i1757e.pdf (accessed on 20 June 2019).
- Fox, J.; Castella, J.C. Expansion of rubber (Hevea brasiliensis) in mainland Southeast Asia: What are the prospects for smallholders? J. Peasant Stud. 2013, 40, 155–170. [Google Scholar] [CrossRef]
- Ratnasingam, J.; Ramasamy, G.; Wai, L.T.; Senin, A.L.; Muttiah, N. The prospects of rubberwood biomass energy production in Malaysia. BioResources 2015, 10, 2526–2548. [Google Scholar] [CrossRef][Green Version]
- Krukanont, P.; Prasertsan, S. Geographical distribution of biomass and potential sites of rubber wood fired power plants in Southern Thailand. Biomass Bioenerg. 2004, 26, 47–59. [Google Scholar] [CrossRef]
- Jawjit, W.; Kroeze, C.; Rattanapan, S. Greenhouse gas emissions from rubber industry in Thailand. J. Clean. Prod. 2010, 18, 403–411. [Google Scholar] [CrossRef]
- Chantuma, A.; Kunarasiri, A.; Chantuma, P. Rubber new planting in Thailand: Towards the world affected climate change. Rubber Thai. J. 2012, 1, 10–47. [Google Scholar]
- Petsri, S.; Chidthaisong, A.; Pumijumnong, N.; Wachirnat, C. Greenhouse gas emissions and carbon stock changes in rubber tree plantations in Thailand from 1990–2004. J. Clean. Prod. 2013, 52, 61–70. [Google Scholar] [CrossRef]
- Chantuma, P.; Lacote, R.; Leconte, A.; Gohet, E. An innovative tapping system, the double cut alternative, to improve the yield of Hevea brasiliensis in Thai rubber plantations. Field Crop. Res. 2011, 121, 416–422. [Google Scholar] [CrossRef]
- Nurmi, J. Measurement and evaluation of wood fuel. Biomass Bioenerg. 1992, 2, 157–171. [Google Scholar] [CrossRef]
- Nurmi, J. Characteristics and storage of whole-tree biomass for energy. The Finnish Forest Research Institute, Research Papers. Available online: http://urn.fi/URN:ISBN:951-40-1715-3 (accessed on 20 June 2019).
- Gendek, A.; Malaťák, J.; Velebil, J. Effect of harvest method and composition of wood chips on their caloric value and ash content. Sylwan 2018, 162, 248–257. [Google Scholar]
- Niu, Y.; Tan, H.; Hui, S. Ash-related issues during biomass combustion: Alkali-induced slagging, silicate melt-induced slagging (ash fusion), agglomeration, corrosion, ash utilization, and related countermeasures. Prog. Energy Combust. Sci. 2016, 52, 1–61. [Google Scholar] [CrossRef]
- Chen, T.; Liao, Y.; Wu, S.; Ma, X.; Song, J. Study of alkali metal corrosion on heating surfaces and bed material agglomerate in biomass-fired fluidized bed boiler. Energy Power Eng. 2013, 5, 6–14. [Google Scholar] [CrossRef]
- Yamada, T.; Toma, T.; Hiratsuka, M.; Morikawa, Y. Biomass and potential nutrient removal by harvesting in short-rotation plantations. In Site Management and Productivity in Tropical Plantation Forests, Proceedings of Workshops in Congo July 2001 and China February 2003; Nambiar, E.K.S., Ranger, J., Tiarks, A., Toma, T., Eds.; CIFOR: Bogor, Indonesia, 2004; pp. 213–218. [Google Scholar]
- Damrongrak, I.; Onthong, J.; Nilnond, C. Effect of fertilizer and dolomite applications on growth and yield of tapping rubber trees. Songklanakarin J. Sci. Technol. 2015, 37, 643–650. [Google Scholar]
- Chambon, B.; Dao, X.; Tongkaemkaew, U.; Gay, F. What determine smallholders’ fertilization practices during the mature period of rubber plantations in Thailand? Exp. Agric. 2018, 54, 824–841. [Google Scholar] [CrossRef]
- Tiva, L.K.; Lacote, R.; Chan, C.; Sopheaveasna, M.; Gohet, E. Effect of fertilization on latex yield potential and physiological parameters of clone PB 217 in Cambodia. In Proceedings of the CRRI & IRRDB International Rubber Conference 2016, Siem Reap, Cambodge, 21–25 November 2016; CRRI-IRRDB: Siem Reap, Cambodia, 2016; pp. 409–414. [Google Scholar]
- Hytönen, J.; Kaakkurivaara, N.; Kaakkurivaara, T.; Nurmi, J. Biomass equations of rubber tree (Hevea brasiliensis) compartments for southern Thailand. J. Trop. For. Sci. 2018, 30, 588–596. [Google Scholar]
- Nurmi, J. Heating values of the above ground biomass of small-sized trees. Acta For. Fenn. 1993, 236, 1–30. [Google Scholar] [CrossRef][Green Version]
- Nurmi, J. Heating values of mature trees. Acta For. Fenn. 1997, 256, 1–28. [Google Scholar] [CrossRef]
- Saengruksawong, C.; Khamyong, S.; Anongrak, N.; Piththong, P. Growths and carbon stock of Para rubber plantations on Phonpisai soil series in Northeastern Thailand. Rubber Thai. J. 2012, 1, 1–18. [Google Scholar]
- Sone, K.; Watanabne, N.; Takase, M.; Hosaka, T.; Gyokusen, K. Carbon sequestration, tree biomass growth and rubber yield of PB260 clone of rubber tree (Hevea brasilisensis) in North Sumatra. J. Rubber Res. 2014, 17, 115–127. [Google Scholar]
- Wauters, J.B.; Coudert, S.; Grallien, E.; Jonard, M.; Ponette, Q. Carbon stock in rubber tree plantations in Western Ghana and Mato Grosso (Brazil). For. Ecol. Manag. 2008, 255, 2347–2361. [Google Scholar] [CrossRef]
- Penman, J.; Gytarski, M.; Hiraishi, T.; Krug, T.; Kruger, D.; Pipatti, R.; Buendia, L.; Miwa, K.; Ngara, T.; Tanabe, K.; et al. Good practice guidance for land use, land-use change and forestry. In Intergovernmental Panel on Climate Change; National Greenhouse Gas Inventories Programme (IPCC-NGGIP), Institute for Global Environmental Strategies (IGES): Hayama, Japan, 2003; p. 590. [Google Scholar]
- Maggiatto, S.R.; de Oliveira, D.; Marur, C.J.; Stivari, S.M.S.; Leclerc, M.; Wagner-Riddle, C. Potential carbon sequestration in rubber tree plantations in the northwestern region of the Paraná State, Brazil. Acta Scientarum Agron. 2014, 36, 239–245. [Google Scholar] [CrossRef]
- Munasinghe, E.S.; Rodrigo, V.H.L.; Gunawardena, U.A.D.P. Modus operandi in assessing biomass and carbon in rubber plantations under varying climate conditions. Exp. Agric. 2014, 50, 40–58. [Google Scholar] [CrossRef]
- Cheng, C.M.; Wang, R.S.; Jiang, J.S. Variation of soil fertility and carbon sequestration by planting Hevea brasiliensis in Hainan Island, China. J. Environ. Sci. (China) 2007, 19, 348–352. [Google Scholar] [CrossRef]
- Blagodatsky, S.; Xu, J.; Cadisch, G. Carbon balance of rubber (Hevea brasiliensis) plantations: A review of uncertainties at plot, landscape and production level. Agric. Ecosyst. Environ. 2016, 221, 8–19. [Google Scholar] [CrossRef]
- Hytönen, J.; Nurmi, J. Heating value and ash content of intensively managed stands. Wood Res. 2013, 60, 71–82. [Google Scholar]
- Voipio, R.; Laakso, T. Pienikokoisten puiden maanpäällisen biomassan kemiallinen koostumus. Summary: Chemical composition of the above ground biomass of small-sized trees. Folia For. 1992, 79, 1–22. [Google Scholar]
- Murbach, M.R.; Boaretto, A.E.; Muruoka, T.; Caxambu, E.; de Souza, A. Nutrient cycling in a RRIM 600 clone rubber plantation. Sci. Agric. 2003, 60, 353–357. [Google Scholar] [CrossRef][Green Version]
- Njukeng, J.N.; Ehabe, E.E.; Nkeng, G.E.; Schik, J.; Kratz, S.; Schnug, E. Investigations on the nutritional status of Hevea brasiliensis plantations in the humid forest zone of Cameroon. Part 2: Establishment of macro nutrient norms. J. Kult. 2013, 65, 376–383. [Google Scholar] [CrossRef]
- Wijaya, T.; Ardika, R.; Saputra, J. The effect of omission fertilizer application on rubber yield of PB 260. Curr. Agric. Res. J. 2014, 2, 68–72. [Google Scholar] [CrossRef]
- Li, Y.; Lan, G.; Xia, Y. Rubber trees demonstrate a clear retranslocation under seasonal drought and cold stresses. Front. Plant Sci. 2016, 7, 11. [Google Scholar] [CrossRef]
- Thitithanakul, S.; Ma, N.; Sukkawong, S.; Jaikrajang, B. Determination of nitrogen and phosphorus requirements of the RRIM 600 and RRIT 251 young rubber trees. Walailak. J. Sci. Tech. (WJST) 2016, 14, 571–580. [Google Scholar]
- Mandal, D.; Datta, B.; Chaudhury, M.; Dey, S.K. Nutrient requirements for natural rubber. Better Crops. 2015, 99, 19–20. [Google Scholar]
- Nurmi, J. Hakkuutähteen ominaisuuksista. Metsäntutkimuslaitoksen Tiedonantoja 1999, 722, 1–32. [Google Scholar]




| Stand (Age) | Mean DBH, cm | Mean H, m | Biomass, Mg ha−1 | ||||||
|---|---|---|---|---|---|---|---|---|---|
| Leaves | Branches <3 cm | Branches 3–5 cm | Branches <5 cm | Stems | Stumps and Roots | Total | |||
| A (20) | 23.7 | 19.8 | 1.97 (1.3) | 8.92 (5.6) | 7.53 (4.8) | 16.45 (10.5) | 115.98 (73.8) | 22.72 (14.5) | 157.12 (100.0) |
| B (25) | 24.6 | 20.1 | 2.14 (1.2) | 9.70 (5.5) | 8.17 (4.8) | 17.87 (10.5) | 126.98 (74.0) | 24.67 (14.4) | 171.67 (100.0) |
| C (30) | 28.4 | 20.9 | 3.47 (1.2) | 15.82 (5.5) | 12.96 (4.5) | 28.78 (10.0) | 217.39 (75.1) | 39.72 (13.7) | 289.35 (100.0) |
| Compartment | F | p | |||||
|---|---|---|---|---|---|---|---|
| Leaves | Branches <3 cm | Branches 3–5 cm | Stem | Stump and Roots | |||
| Ash, % | 6.7 d | 3.0c | 2.2 b | 1.6 a | 3.3 c | 137.708 | <0.001 |
| H, % | 6.3 b | 5.9 a | 5.9 a | 5.9 a | 5.8 a | 60.083 | <0.001 |
| C, % | 52.3 c | 50.3 b | 50.2 b | 49.8 b | 48.9 a | 82.348 | <0.001 |
| N, g kg−1 | 22.6 d | 4.4 c | 2.1 b | 1.9 a | 2.3 ab | 2219.357 | <0.001 |
| P, g kg−1 | 1.3 b | 1.0 b | 0.2 a | 0.2 a | 0.2 a | 13.821 | <0.001 |
| K, g kg−1 | 11.6 b | 9.9 b | 2.6 a | 3.0 a | 2.7 a | 18.315 | <0.001 |
| Ca, g kg−1 | 12.4 b | 10.0 b | 3.6 a | 3.5 a | 8.4 b | 17.522 | <0.001 |
| Mg, g kg−1 | 3.5 c | 2.7 bc | 0.4 a | 0.5 a | 1.2 ab | 9.204 | 0.002 |
| Cd, mg kg−1 | 0.3 a | 0.4 a | 0.3 a | 0.3 a | 0.6 a | 2.252 | 0.136 |
| Cu, mg kg−1 | 11.7 b | 9.9 b | 2.6 a | 2.5 a | bdl | 15.984 | 0.001 |
| Mn, mg kg−1 | 743.3 b | 533.3 b | 74.3 a | 68.7 a | 84.0 a | 13.019 | 0.001 |
| S, mg kg−1 | 2510 b | 1983 b | 397 a | 373 a | 387 a | 14.647 | 0.001 |
| Zn, mg kg−1 | 35.0 c | 28.7 bc | 8.6 a | 10.1 a | 16.0 ab | 12.526 | 0.001 |
© 2019 by the authors. Licensee MDPI, Basel, Switzerland. This article is an open access article distributed under the terms and conditions of the Creative Commons Attribution (CC BY) license (http://creativecommons.org/licenses/by/4.0/).
Share and Cite
Hytönen, J.; Nurmi, J.; Kaakkurivaara, N.; Kaakkurivaara, T. Rubber Tree (Hevea brasiliensis) Biomass, Nutrient Content, and Heating Values in Southern Thailand. Forests 2019, 10, 638. https://doi.org/10.3390/f10080638
Hytönen J, Nurmi J, Kaakkurivaara N, Kaakkurivaara T. Rubber Tree (Hevea brasiliensis) Biomass, Nutrient Content, and Heating Values in Southern Thailand. Forests. 2019; 10(8):638. https://doi.org/10.3390/f10080638
Chicago/Turabian StyleHytönen, Jyrki, Juha Nurmi, Nopparat Kaakkurivaara, and Tomi Kaakkurivaara. 2019. "Rubber Tree (Hevea brasiliensis) Biomass, Nutrient Content, and Heating Values in Southern Thailand" Forests 10, no. 8: 638. https://doi.org/10.3390/f10080638
APA StyleHytönen, J., Nurmi, J., Kaakkurivaara, N., & Kaakkurivaara, T. (2019). Rubber Tree (Hevea brasiliensis) Biomass, Nutrient Content, and Heating Values in Southern Thailand. Forests, 10(8), 638. https://doi.org/10.3390/f10080638

