Tests of Hexazinone and Tebuthiuron for Control of Exotic Plants in Kauai, Hawaii
Abstract
1. Introduction
2. Materials and Methods
2.1. Study Sites
2.2. Application of Herbicides and Analysis of Defoliation
2.3. Analysis of Herbicides in Soils
2.4. Effect of Residual Herbicides on Transplanted Native Endangered Species
2.5. Efficacy of Hexazinone and Tebuthiuron on the Other Major Invasive Forest Weeds
3. Results and Discussion
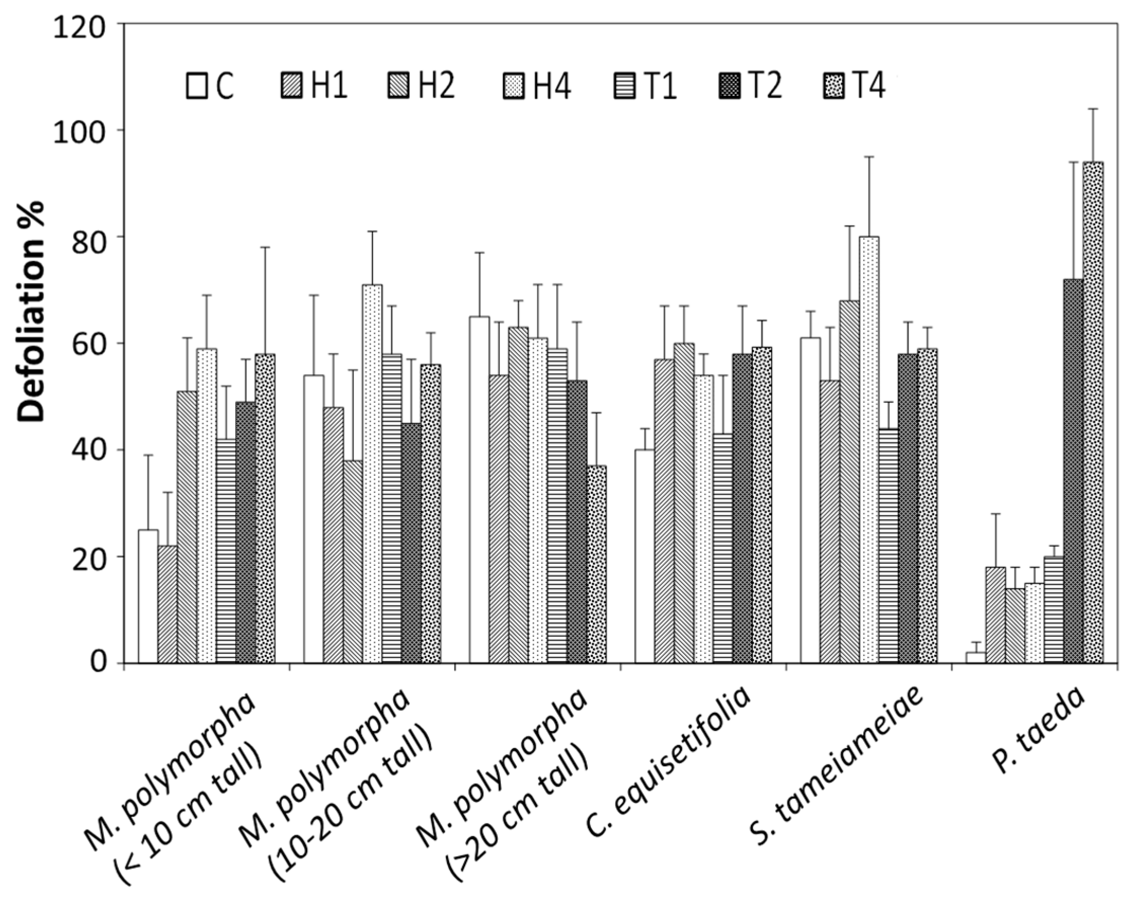
3.1. Defoliation of Plant Species by Herbicides
3.2. Environmental Fate of Tebuthiuron and Hexazinone
3.3. Effect of Residual Herbicides on Transplanted Natives
3.4. Efficacy Trials of Hexazinone and Tebuthiuron on the Other Major Invasive Forest Weeds
4. Conclusions
Author Contributions
Funding
Conflicts of Interest
References
- Hanley, M.E. Seedling defoliation, plant growth and flowering potential in native- and invasive-range Plantago lanceolata populations. Weed Res. 2012, 52, 252–259. [Google Scholar] [CrossRef]
- Vitousek, P.M.; DAntonio, C.M.; Loope, L.L.; Rejmanek, M.; Westbrooks, R. Introduced species: A significant component of human-caused global change. New Zeal. J. Ecol. 1997, 21, 1–16. [Google Scholar]
- Protopopova, V.; Shevera, M.; Mosyakin, S. Deliberate and unintentional introduction of invasive weeds: A case study of the alien flora of Ukraine. Euphytica 2006, 148, 17–33. [Google Scholar] [CrossRef]
- Nasim, G.; Shabbir, A. Invasive Weed Species—A Threat to Sustainable Agriculture. In Crop Production for Agricultural Improvement; Ashraf, M., Öztürk, M., Ahmad, M.S.A., Aksoy, A., Eds.; Springer: Dordrecht, The Netherlands, 2012; pp. 523–556. [Google Scholar]
- DiTomaso, J.M. Invasive weeds in rangelands: Species, impacts, and management. Weed Sci. 2000, 48, 255–265. [Google Scholar] [CrossRef]
- Simmons, M.T.; Windhager, S.; Power, P.; Lott, J.; Lyons, R.K.; Schwope, C. Selective and non-selective control of invasive plants: The short-term effects of growing-season prescribed fire, herbicide, and mowing in two Texas prairies. Restor. Ecol. 2007, 15, 662–669. [Google Scholar] [CrossRef]
- Lesica, P.; Martin, B. Effects of prescribed fire and season of burn on recruitment of the invasive exotic plant, Potentilla recta, in a semiarid grassland. Restor. Ecol. 2003, 11, 516–523. [Google Scholar] [CrossRef]
- Wilson, S.D.; Partel, M. Extirpation or coexistence? Management of a persistent introduced grass in a prairie restoration. Restor. Ecol. 2003, 11, 410–416. [Google Scholar] [CrossRef]
- Grilz, P.L.; Romo, J.T. Management considerations for controlling smooth brome on fescue prairie. Nat. Areas J. 1995, 15, 148–156. [Google Scholar]
- Sanderson, M.A.; Schnabel, R.R.; Curran, W.S.; Stout, W.L.; Genito, D.; Tracy, B.F. Switchgrass and big bluestem hay, biomass, and seed yield response to fire and glyphosate treatment. Agron. J. 2004, 96, 1688–1692. [Google Scholar] [CrossRef]
- Hoss, N.E.; Al-Khatib, K.; Peterson, D.E.; Loughin, T.M. Efficacy of glyphosate, glufosinate, and imazethapyr on selected weed species. Weed Sci. 2003, 51, 110–117. [Google Scholar] [CrossRef]
- Sileshi, G.; Tessema, T. Weed Suppression in Legume Crops for Stress Management. In Climate Change and Management of Cool Season Grain Legume Crops; Yadav, S.S., Redden, R., Eds.; Springer: Dordrecht, The Netherlands, 2010; pp. 243–281. [Google Scholar]
- Dixon, F.L.; Clay, D.V.; Willoughby, I. The efficacy of pre-emergence herbicides on problem weeds in woodland regeneration. Crop Protection 2006, 25, 259–268. [Google Scholar] [CrossRef]
- Cai, X.; Sheng, G.; Liu, W. Degradation and detoxification of acetochlor in soils treated by organic and thiosulfate amendments. Chemosphere 2007, 66, 286–292. [Google Scholar] [CrossRef] [PubMed]
- Mamy, L.; Vrignaud, P.; Cheviron, N.; Perreau, F.; Belkacem, M.; Brault, A.; Breuil, S.; Delarue, G.; Pétraud, J.-P.; Touton, I.; et al. No evidence for effect of soil compaction on the degradation and impact of isoproturon. Environ. Chem. Lett. 2011, 9, 145–150. [Google Scholar] [CrossRef]
- Lin, C.H.; Lerch, R.N.; Garrett, H.E.; George, M.F. Bioremediation of atrazine-contaminated soil by forage grasses: Transformation, uptake, and detoxification. J. Environ. Qual. 2008, 37, 196–206. [Google Scholar] [CrossRef] [PubMed]
- Sellers, B.A.; Ferrell, J.A.; MacDonald, G.E. Influence of hexazinone on Pensacola bahiagrass growth and crude protein content. Agron. J. 2008, 100, 808–812. [Google Scholar] [CrossRef]
- Wilder, B.; Ferrell, J.A.; Sellers, B.A.; MacDonald, G.E. Influence of hexazinone on 'Tifton 85' bermudagrass growth and forage quality. Weed Technol. 2008, 22, 499–501. [Google Scholar] [CrossRef]
- Cutts, G.S.; Webster, T.M.; Grey, T.L.; Vencill, W.K.; Lee, R.D.; Tubbs, R.S.; Anderson, W.F. Herbicide Effect on Napiergrass (Pennisetum purpureum) Control. Weed Sci. 2011, 59, 255–262. [Google Scholar] [CrossRef]
- Borrel, J.A.; Brown, R.L.; Slater, K. Chemical control of invasive Psidium guajava in Swaziland: A preliminary assessment of costs and efficacy. Afr. J. Agr. Res. 2011, 6, 3291–3297. [Google Scholar]
- Laroche, F.B. Managing melaleuca (Melaleuca quinquenervia) in the Everglades. Weed Technol. 1998, 12, 726–732. [Google Scholar] [CrossRef]
- Mislevy, P.; Shilling, D.G.; Martin, F.G.; Hatch, S.L. Smutgrass (Sporobolus indicus) control in bahiagrass (Paspalum notatum) pastures. Weed Technol. 1999, 13, 571–575. [Google Scholar] [CrossRef]
- Motooka, P.; Ching, L.; Nagai, G. Herbicidal Weed Control Methods for Pastures and Natural Areas of Hawaii; University of Hawaii: Honolulu, HI, USA, 2002; p. 36. [Google Scholar]
- Nakamura, S. Soil Survey of Kalalau Rim Endangered Plant Exclosure and Outplanting Site; USDA Natural Resources Conservation Service: Honolulu, HI, USA, 1998. [Google Scholar]
- Zhu, Y.; Yanagihara, K.; Guo, F.; Li, Q.X. Pressurized fluid extraction for quantitative recovery of chloroacetanilide and nitrogen heterocyclic herbicides in soil. J. Agric. Food Chem. 2000, 48, 4097–4102. [Google Scholar] [CrossRef] [PubMed]
- Zhu, Y.; Li, Q.X. Movement of bromacil and hexazinone in soils of Hawaiian pineapple fields. Chemosphere 2002, 49, 669–674. [Google Scholar] [CrossRef]
- Uprety, Y.; Asselin, H.; Bergeron, Y.; Doyon, F.; Boucher, J.-F. Contribution of traditional knowledge to ecological restoration: Practices and applications. Ecoscience 2012, 19, 225–237. [Google Scholar] [CrossRef]
- Choi, Y.D.; Temperton, V.M.; Allen, E.B.; Grootjans, A.P.; Halassy, M.; Hobbs, R.J.; Naeth, M.A.; Torok, K. Ecological restoration for future sustainability in a changing environment. Ecoscience 2008, 15, 53–64. [Google Scholar] [CrossRef]
- Paquin, D.; Campbell, S.; Li, Q.X. Phytoremediation in sub-tropical Hawaii—A review of over 100 plant species. Remediation 2004, 14, 127–139. [Google Scholar] [CrossRef]
- Minden, V.; Jacobi, J.D.; Porembski, S.; Boehmer, H.J. Effects of invasive alien kahili ginger (Hedychium gardnerianum) on native plant species regeneration in a Hawaiian rainforest. Appl. Vegetat. Sci. 2010, 13, 5–14. [Google Scholar] [CrossRef]
- Scifres, C.J. Woody plant control in the Post Oak Savannah of Texas with hexazinone. J. Range Manag. 1982, 35, 401–404. [Google Scholar] [CrossRef]
- Pritchard, G.H. Spot-gun application of hexazinone for the control of tree of heaven. Proc. 6th Australian Weeds Conf. 1981, 1, 113–114. [Google Scholar]
- Meeklah, F.A.; Mitchell, R.B. Evaluation of the spot gun technique for control of sweet briar. Proc. 6th Australian Weeds Conf. 1981, 1, 99–103. [Google Scholar]
- Holm, L.G.; Plucknett, D.L.; Pancho, J.V.; Herberger, J.P. The World’s Worst Weeds: Distribution and Biology; East-West Center/University Press of Hawaii: Honolulu, HI, USA, 1977. [Google Scholar]
- Hutton, I.; Coenraads, R.; Auld, T.D.; Denham, A.J.; Ooi, M.K.; Brown, D. Herbicide impacts on exotic grasses and a population of the critically endangered herb Calystegia affinis (Convolvulaceae) on Lord Howe Island. Cunninghamia 2008, 10, 539–545. [Google Scholar]




| Herbicide | Rate/(kg ha−1) | Average Defoliation (%) | ||
|---|---|---|---|---|
| S. condensatus * | H. gardnerianum | A. confusa | ||
| Control | 0 | 48 | 10 | 13 | 
| Hexazinone | 1 | 38 | 3 | - | 
| Hexazinone | 2 | 42 | 8 | - | 
| Hexazinone | 4 | 43 | 30 | - | 
| Tebuthiuron | 1 | 27 | 17 | 22 | 
| Tebuthiuron | 2 | 55 | 42 | 10 | 
| Tebuthiuron | 4 | 8 | 10 | 17 | 
| Herbicide | Rate/(kg ha−1) | Average Defoliation/(%) | ||||
|---|---|---|---|---|---|---|
| C. laevigatus | O. europaeus | R. tomentosa | P. cattleyanum | P. clandestinum | ||
| Control | 0 | 0 | 20 | 0 | 0 | 3 | 
| Hexazinone | 1 | 0 | 13 | 0.3 | 28 | 8 | 
| Hexazinone | 2 | 28 | 13 | 10 | 17 | 27 | 
| Hexazinone | 4 | 0 | 20 | 60 | 43 | 40 | 
| Tebuthiuron | 1 | 0 | 3 | 1 | 23 | 17 | 
| Tebuthiuron | 2 | 3 | 13 | 2 | 53 | 7 | 
| Tebuthiuron | 4 | 8 | 13 | 5 | 27 | 18 | 
© 2019 by the authors. Licensee MDPI, Basel, Switzerland. This article is an open access article distributed under the terms and conditions of the Creative Commons Attribution (CC BY) license (http://creativecommons.org/licenses/by/4.0/).
Share and Cite
Wang, J.; Awaya, J.; Zhu, Y.; Motooka, P.S.; Nelson, D.A.; Li, Q.X. Tests of Hexazinone and Tebuthiuron for Control of Exotic Plants in Kauai, Hawaii. Forests 2019, 10, 576. https://doi.org/10.3390/f10070576
Wang J, Awaya J, Zhu Y, Motooka PS, Nelson DA, Li QX. Tests of Hexazinone and Tebuthiuron for Control of Exotic Plants in Kauai, Hawaii. Forests. 2019; 10(7):576. https://doi.org/10.3390/f10070576
Chicago/Turabian StyleWang, Jun, Jonathan Awaya, Ye Zhu, Philip S. Motooka, Duane A. Nelson, and Qing X. Li. 2019. "Tests of Hexazinone and Tebuthiuron for Control of Exotic Plants in Kauai, Hawaii" Forests 10, no. 7: 576. https://doi.org/10.3390/f10070576
APA StyleWang, J., Awaya, J., Zhu, Y., Motooka, P. S., Nelson, D. A., & Li, Q. X. (2019). Tests of Hexazinone and Tebuthiuron for Control of Exotic Plants in Kauai, Hawaii. Forests, 10(7), 576. https://doi.org/10.3390/f10070576
 
        


 
       