Impact of Water Holding Capacity and Moisture Content of Soil Substrates on the Moisture Content of Wood in Terrestrial Microcosms
Abstract
:1. Introduction
- pH 6–8
- no added agrochemical
- water holding capacity (WHC): 25–60%
- natural soils: peat or top 50 mm removed and not taken from a depth below 200 mm
- soil collected in moist conditions
- soil passed through a sieve of nominal aperture size 12.5 mm
- storage of soil prior to use only in closed moisture proof containers
- thorough mixing of soil before use
- horticultural soil which was sterilized during its preparation needs to be replenished with 20% natural soil
- soil not used before
2. Materials and Methods
2.1. Soil Substrates
2.2. Determination of the soil Moisture Content (MCsoil)
2.3. Determination of the Water Holding Capacity (WHC) of Soil
2.3.1. “Droplet Counting Method”
2.3.2. “Cylinder Sand Bath Method”
2.4. Preparation of Mixed Soil Substrates
2.5. Terrestrial Microcosms (TMCs)
2.6. Preparation and Exposure of Wood Specimens
2.7. Determination of the Wood Moisture Content (MCwood)
2.8. Statistical Analysis
3. Results and Discussion
3.1. Water Holding Capacity (WHC) of Soil Mixtures
- Less time consumption: 7 min/sample compared to more than 60 min/sample using the “droplet counting method”.
- Consistency of the test setup: Time for counting droplets varied between 6 and 60 min/sample. Intervals between single droplets varied partly drastically, especially when testing substrates of high WHC. In contrast, up to several hundred cylinders can be used in parallel and the duration of test was always constant.
- Clear description of setup: Simple, less expensive, and well described setup. In contrast, the description of the “droplet counting method” suffers from some vagueness: size of Buchner funnel, applied vacuum, and type of filter paper are not specified, but likely affect the test results.
- Independency from sample size and volume: In contrast, the given sample thickness according to the “droplet counting method” led to strongly varying mass of the soil sample in the Buchner funnel and affected the WHC, as shown for peat in Figure 2. With increasing sample size (= sample mass) the WHC increased.
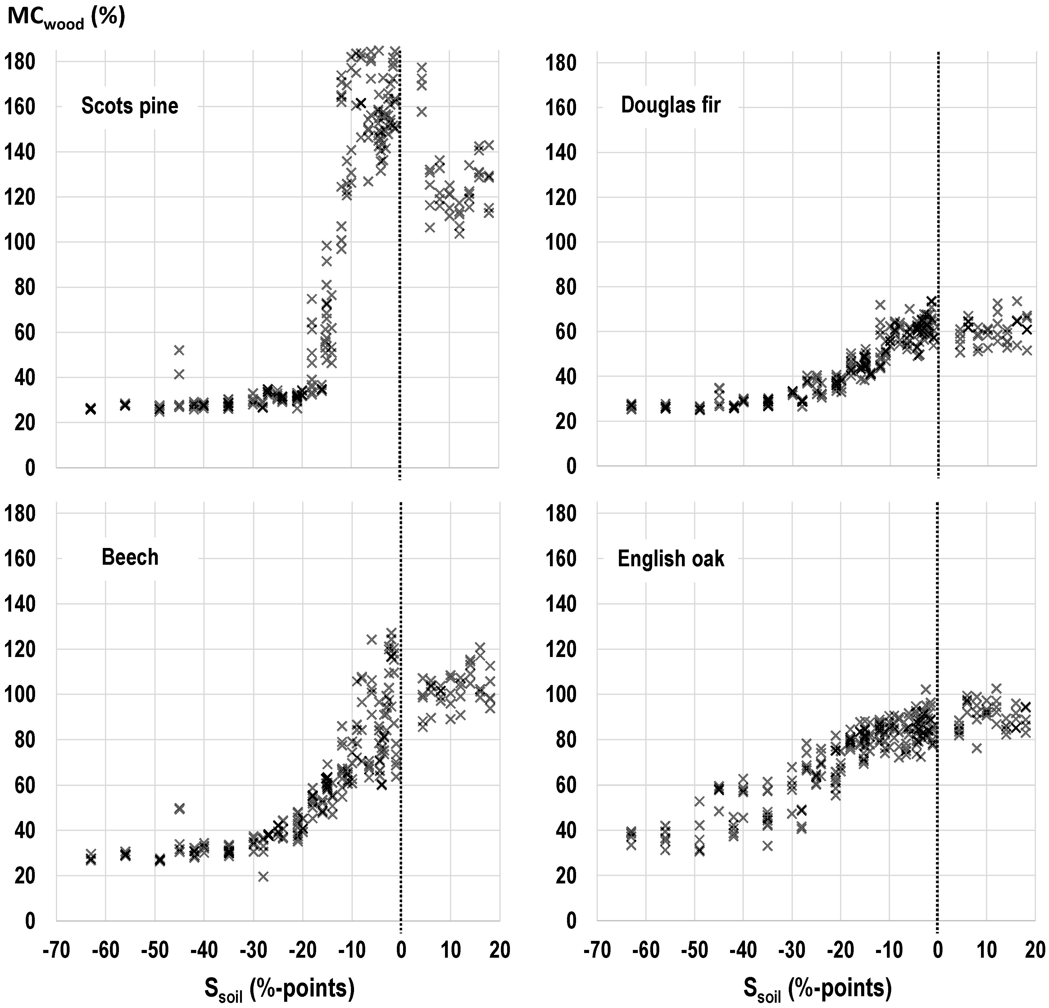
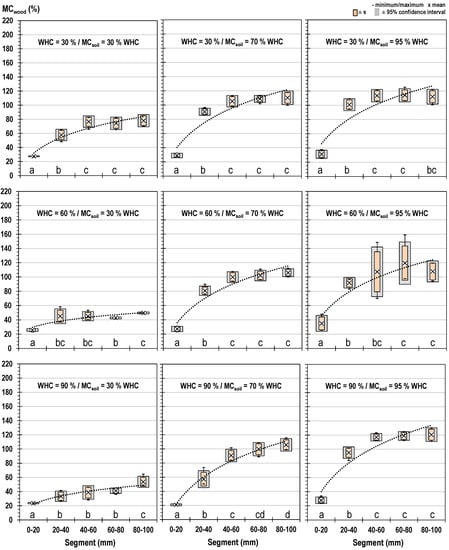
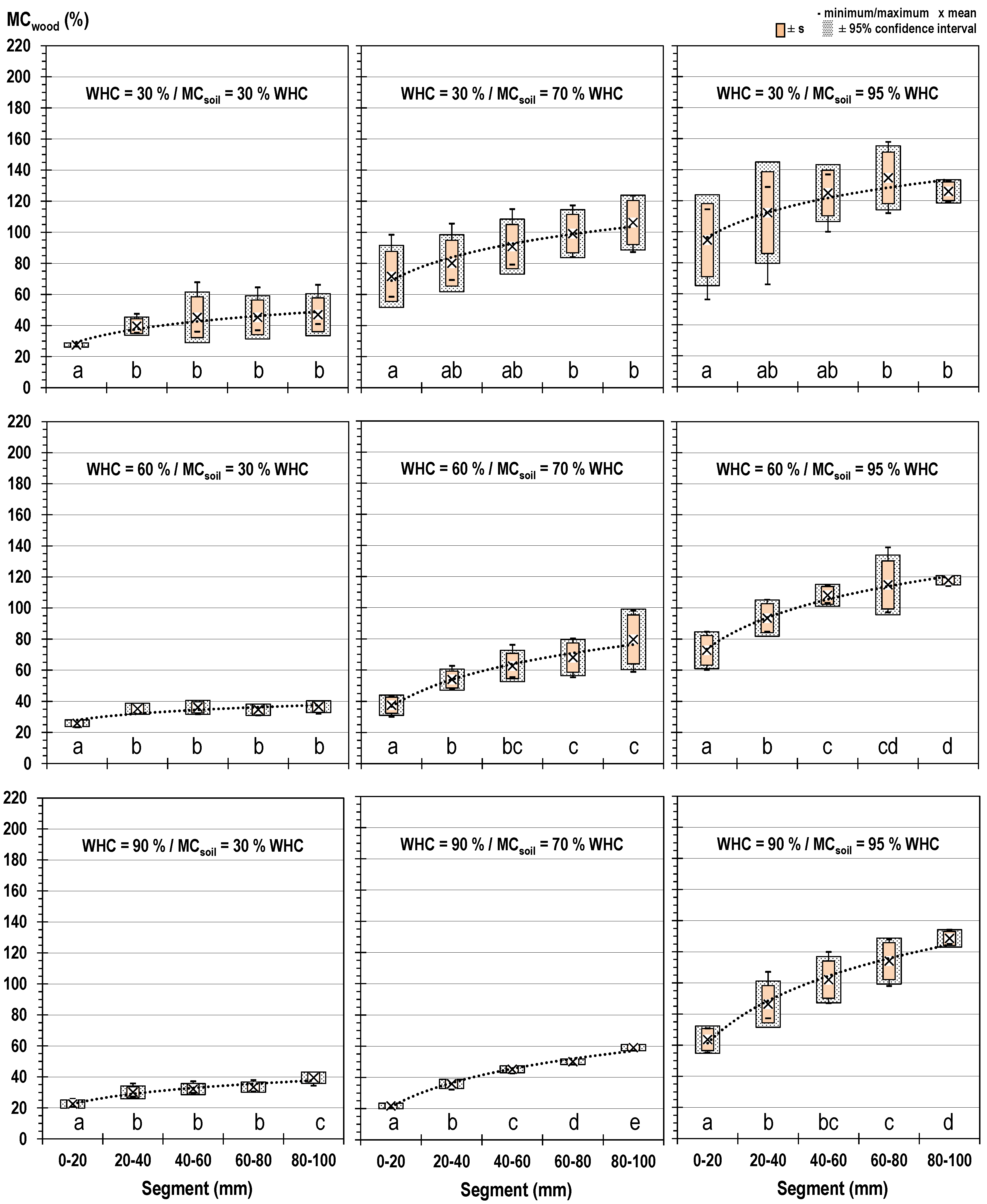
3.2. Impact of WHC and MCsoil on the Moisture Content of Wood (MCwood) Exposed in TMCs
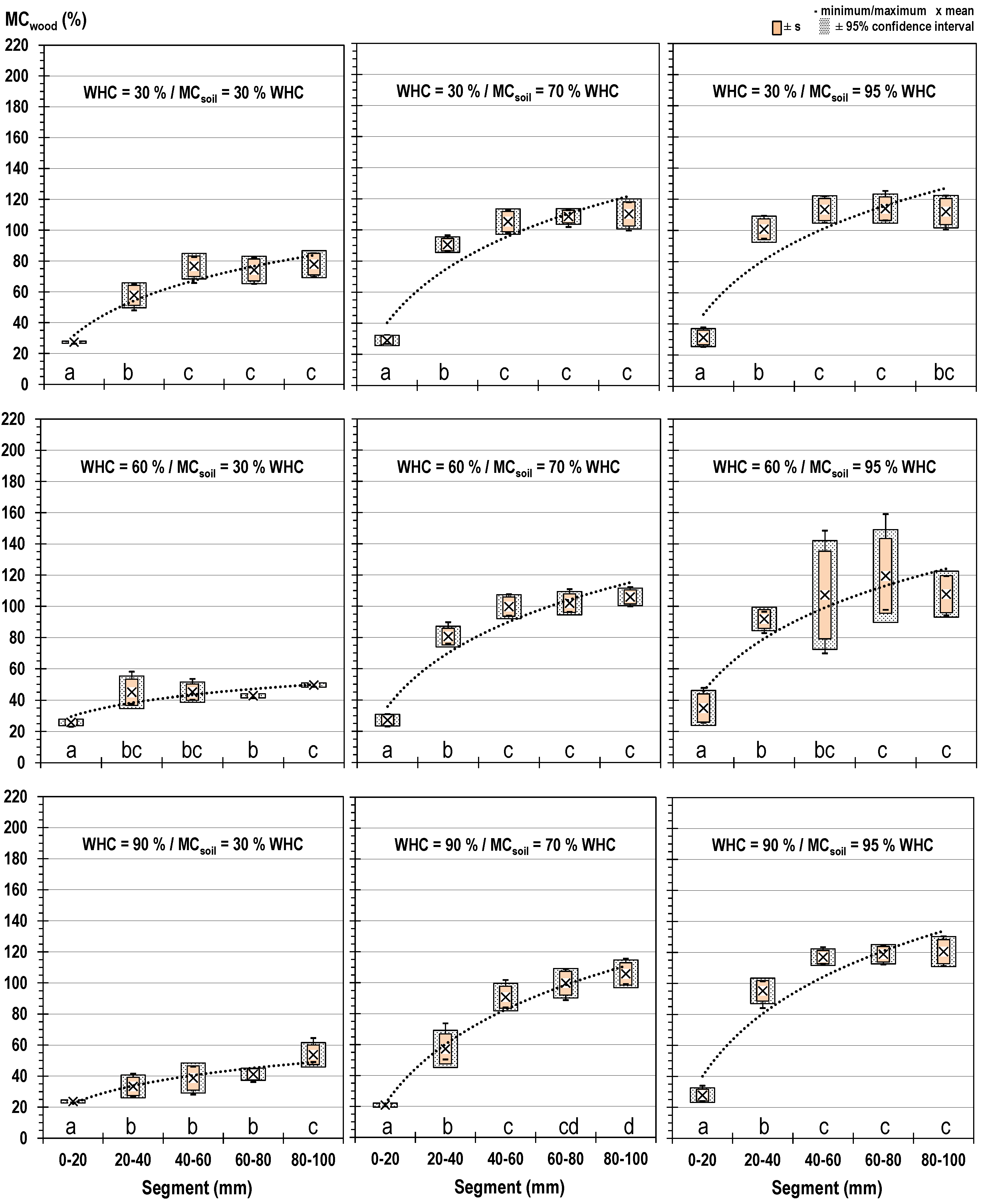
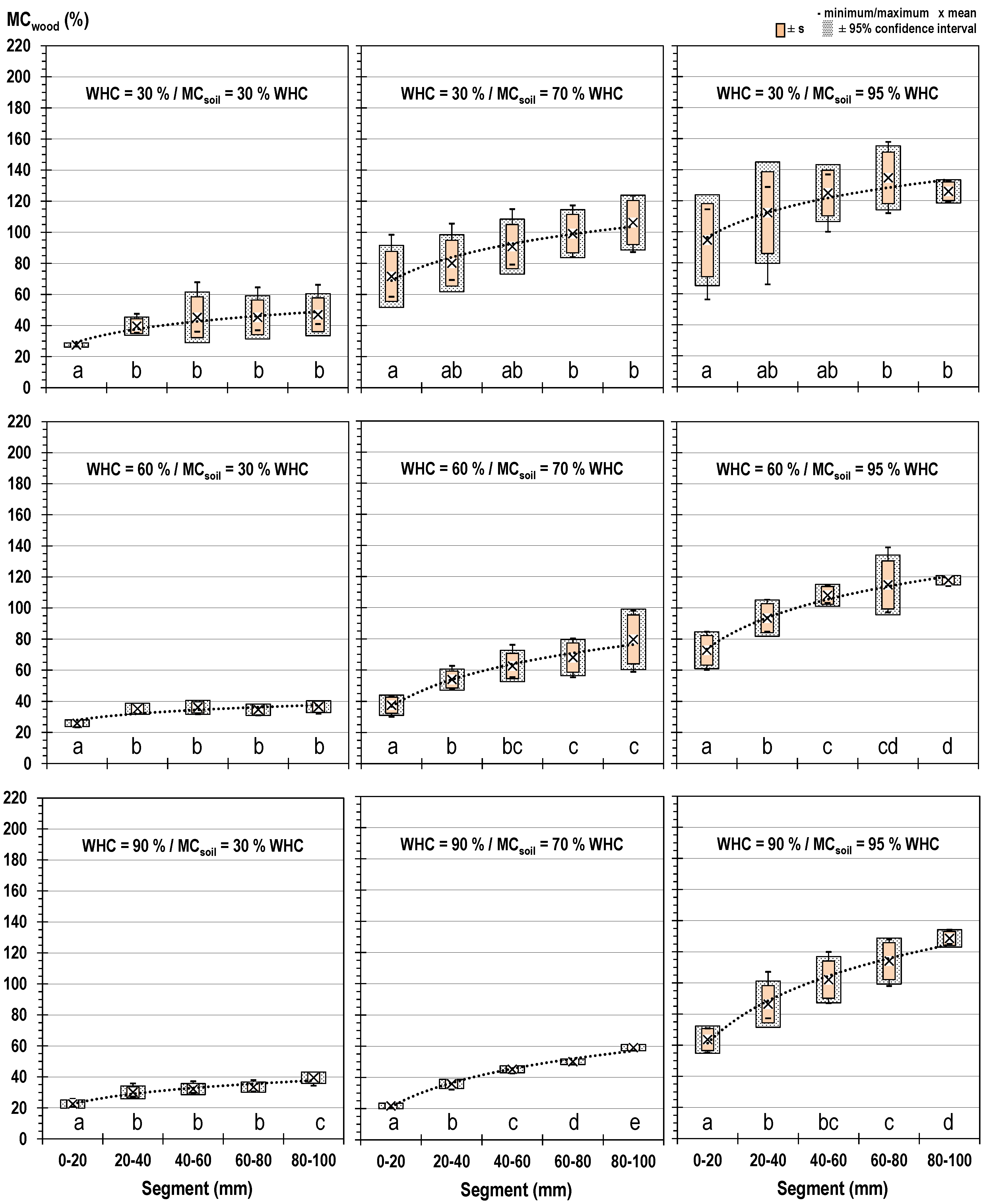
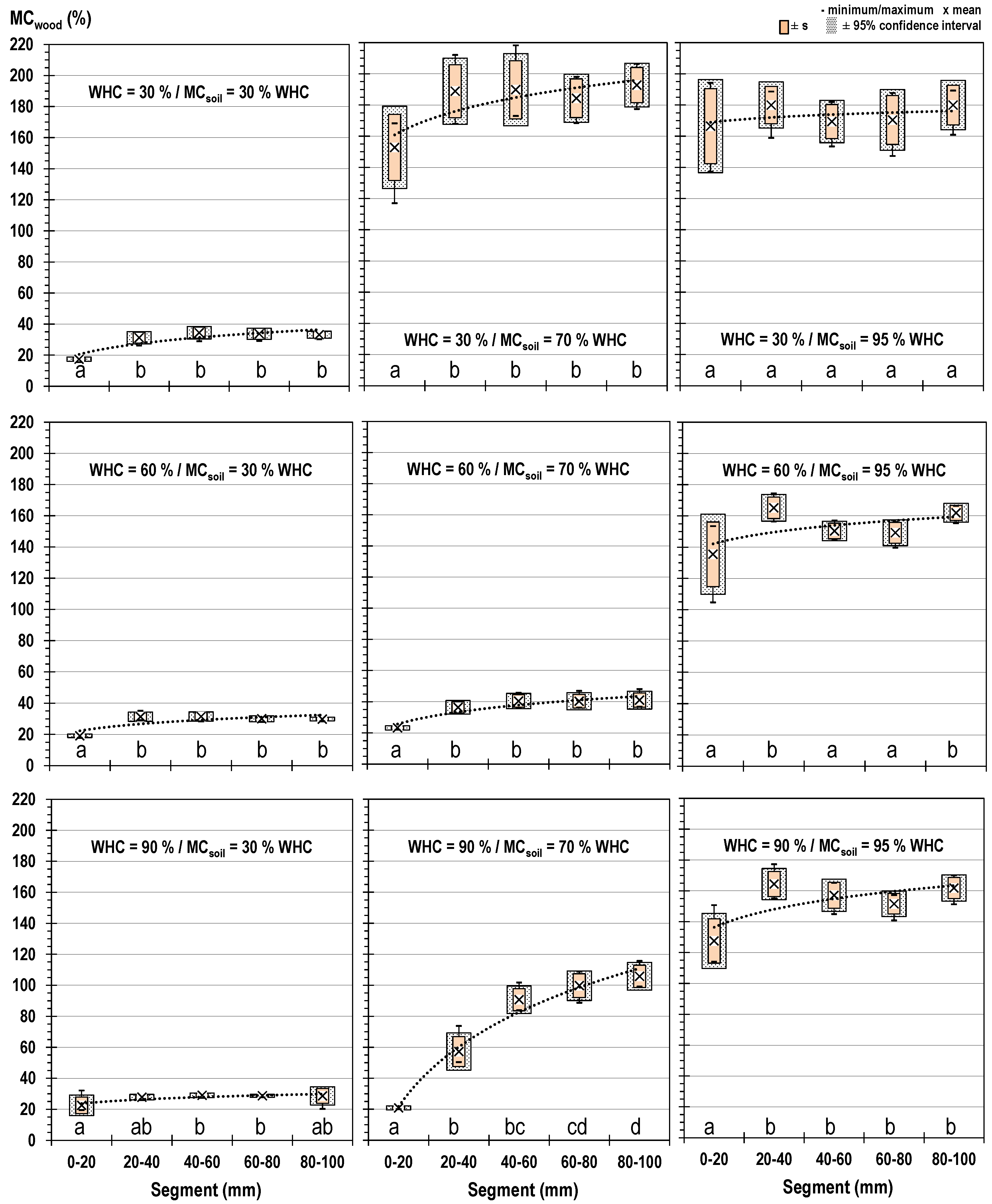
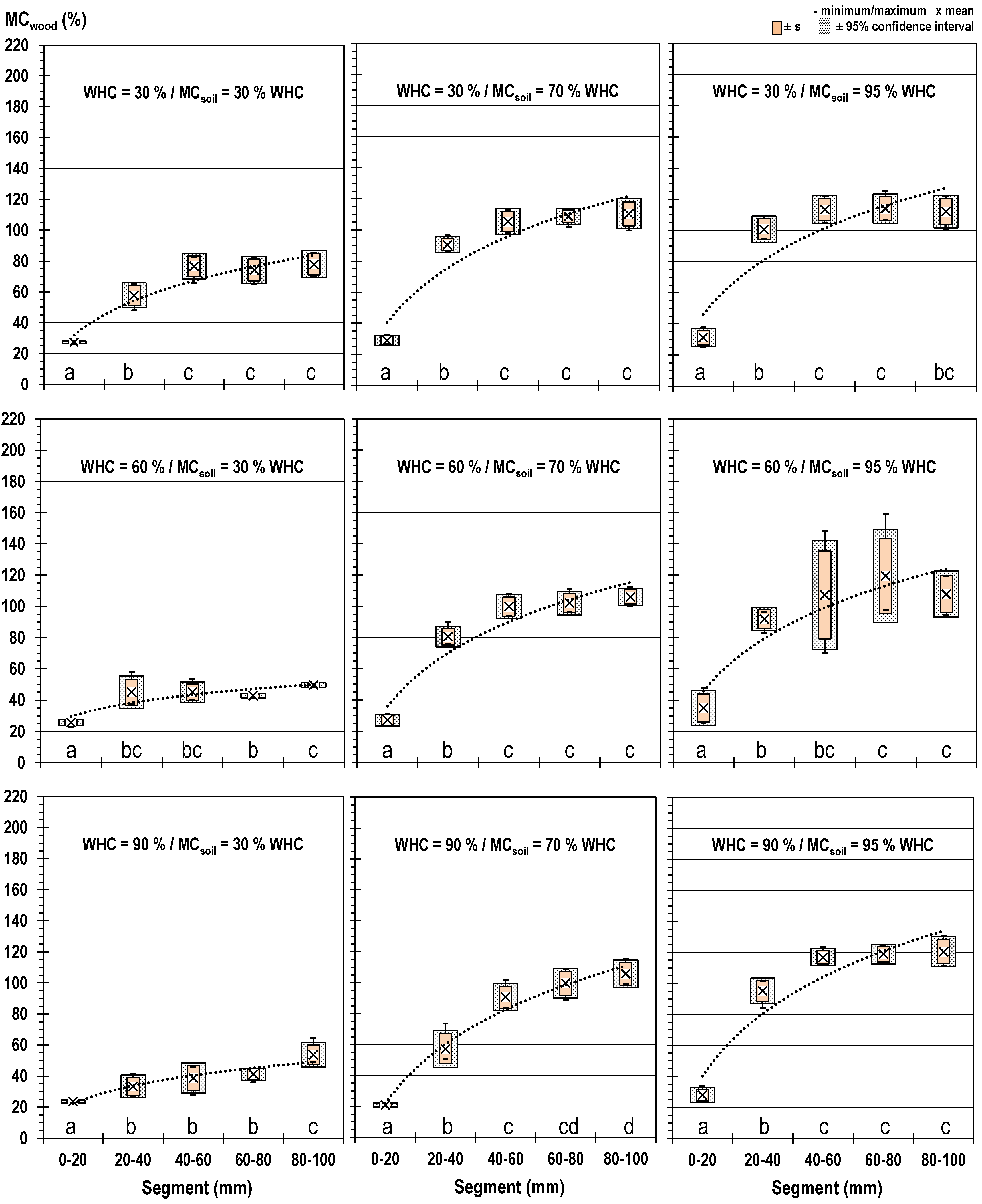
3.3. Moisture Content Gradients in Buried Wood Specimens
4. Conclusions
- The more advantageous “Cylinder sand bath method” should consequently be seen as an adequate alternative for the “Droplet counting method”, which turned out disadvantageous regarding practical applicability, reproducibility, and reliability.
- Water holding capacityvalues obtained from both test methods applied seemed to be easily transferable to each other. It is, therefore, recommended to replace the “droplet counting method” with the “cylinder sand bath method”.
- The average MCwood of specimens buried in TMCs increased with rising MCsoil, but WHC was often negatively correlated with MCwood.
- The distance to water saturation Ssoil appeared as a more predictive measure for MCwood.
- With increasing Ssoil the MCwood increased but followed wood species-specific curves with differently steep increase and a plateau at Ssoil = 0%.
- The distance to water saturation Ssoil from which MCwood increased most intensively was found to be wood-species specific and might, therefore, require further consideration in soil-bed durability testing. Thus, Ssoil can likely be used to establish moisture conditions which are favorable for a specific decay type, i.e., brown, white or soft rot.
- The segment-wise determination of MCwood revealed that a combination of low MCsoil and high WHC of the soil can easily lead to moisture conditions which are not favorable, neither for fungal decay in general, nor for soft rot decay in particular. They should, therefore, be avoided in durability testing, but might be of interest for the service life prediction of wood exposed to soil.
Author Contributions
Funding
Acknowledgment
Conflicts of Interest
References
- Wälchli, O. Influence of the Content of Organic Matter of Soil on the Degradation of Wood by Soft Rot Fungi. In Proceedings of the IRG Annual Meeting, Nancy, France, 29–30 September 1970. IRG/WP 70–27, 7 pp. [Google Scholar]
- Edlund, M.-L.; Evans, F.G.; Henriksen, K.; Nilsson, T. Testing Durability of Treated Wood According to EN 252-Interpretation of Data from Nordic Test Fields. In Proceedings of the IRG Annual Meeting, Tromsø, Norway, 18–22 June 2006. IRG/WP 06–20341, 17 pp. [Google Scholar]
- Wakeling, R. Is Field Test Data from 20 × 20mm Stakes Reliable? Effects of Decay Hazard, Decay Type and Preservative Depletion Hazard. In Proceedings of the IRG Annual Meeting, Tromsø, Norway, 18–22 June 2006. IRG/WP 06–20327, 20 pp. [Google Scholar]
- Augusta, U. Untersuchung der natürlichen Dauerhaftigkeit wirtschaftlich bedeutender Holzarten bei Verschiedener Beanspruchung im Außenbereich. Ph.D. Thesis, University Hamburg, Hamburg, Germany, 2007. [Google Scholar]
- Brischke, C.; Olberding, S.; Meyer, L.; Bornemann, T.; Welzbacher, C.R. Intra-site variability of fungal decay on wood exposed in ground contact. Int. Wood Prod. J. 2013, 4, 37–45. [Google Scholar] [CrossRef]
- Edlund, M.-L.; Nilsson, T. Testing the durability of wood. Mat. Struct. 1998, 31, 641–647. [Google Scholar] [CrossRef]
- Westin, M.; Alfredsen, G. Durability of Modified Wood in UC3 and UC4-Results from Lab Natural Durability in soil-bed Assay. In Proceedings of the IRG Annual Meeting, Queenstown, New Zealand, 8–12 May 2011. IRG/WP 11–40562, 9 pp. [Google Scholar]
- Meyer, L.; Brischke, C.; Melcher, E.; Brandt, K.; Lenz, M.T.; Soetbeer, A. Durability of English oak (Quercus robur L.)—Comparison of decay progress and resistance under various laboratory and field conditions. Int. Biodeter. Biodegr. 2014, 86, 79–85. [Google Scholar] [CrossRef]
- EN 252. Wood Preservatives. Field Test Methods for Determining the Relative Protective Effectiveness in Ground Contact; European Committee for Standardisation: Brussels, Belgium, 2015. [Google Scholar]
- CEN/TS 15083-1. Durability of Wood and Wood-Based Products-Determination of the Natural Durability of Solid Wood against Wood-Destroying Fungi, Test Methods-Part 2: Soft Rotting Micro-Fungi; European Committee for Standardisation: Brussels, Belgium, 2005. [Google Scholar]
- Wälchli, O. Soft Rot–Soil Burial Tests–Influence of the Water Content of the Soil on Wood Decay. In Proceedings of the IRG Annual Meeting, West-Berlin, Germany, 26–28 October 1972. IRG/WP 72–212, 14 pp. [Google Scholar]
- Mieß, S. Einfluß des Wasserhaushaltes auf Abbau und Fäuletypen von Holz in Terrestrischen Mikrokosmen. Diploma thesis, University Hamburg, Hamburg, Germany, 1997. [Google Scholar]
- Gray, S.M. Effect of Soil Type and Moisture Content on Soft Rot Testing. In Proceedings of the IRG Annual Meeting, Avignon, France, 25–30 May 1986. IRG/WP 86–2270, 27 pp. [Google Scholar]
- Nilsson, T.; Daniel, G. Decay Types Observed in Small Stakes of Pine and Alstonia scholaris Inserted in Different Types of Unsterile Soil. In Proceedings of the IRG Annual Meeting, Rotorua, New Zealand, 13–19 May 1990. IRG/WP 90-1443, 8 pp. [Google Scholar]
- Edlund, M.-L.; Nilsson, T. Performance of copper and non-copper based wood preservatives in terrestrial microcosms. Holzforschung 1999, 53, 369–375. [Google Scholar] [CrossRef]
- Rayner, A.D.; Boddy, L. Fungal Decomposition of Wood. Its biology and ecology; John Wiley & Sons Ltd.: Bath, UK, 1988. [Google Scholar]
- Eaton, R.A.; Hale, M.D. Wood: Decay, Pests and Protection; Chapman and Hall Ltd.: London, UK, 1993. [Google Scholar]
- ENV 807. Wood Preservatives-Determination of the Effectiveness against Soft Rotting Micro-Fungi and Other Soil Inhabiting Micro-Organisms; European Committee for Standardisation: Brussels, Belgium, 2001. [Google Scholar]
- ISO 11268-2. Soil Quality-Effects of Pollutants on Earthworms-Part 2: Determination of Effects on Reproduction of Eisenia fetida/Eisenia andrei; International Organization for Standardization (ISO): Geneve, Switzerland, 2012. [Google Scholar]
- Essington, M.E. Soil and Water Chemistry: An Integrative Approach; CRC press: Boca Raton, FL, USA, 2015. [Google Scholar]









| Percentage Compost (%) | 100 | 95 | 90 | 80 | 70 | 60 | 50 | 40 | 30 | 20 | 10 |
|---|---|---|---|---|---|---|---|---|---|---|---|
| Percentage silica sand/peat (%) | 0 | 5 | 10 | 20 | 30 | 40 | 50 | 60 | 70 | 80 | 90 |
| MCsoil (%WHC) 1 | WHC (%) 1 | |||||||
|---|---|---|---|---|---|---|---|---|
| 21.8 2 | 30.0 | 40.0 | 50.0 | 60.0 | 70.0 | 80.0 | 90.0 | |
| 30.0 | 6.5 | 9.0 | 12.0 | 15.0 | 18.0 | 21.0 | 24.0 | 27.0 |
| 50.0 | 10.9 | 15.0 | 20.0 | 25.0 | 30.0 | 35.0 | 40.0 | 45.0 |
| 70.0 | 15.3 | 21.0 | 28.0 | 35.0 | 42.0 | 49.0 | 56.0 | 63.0 |
| 80.0 | 17.4 | 24.0 | 32.0 | 40.0 | 48.0 | 56.0 | 64.0 | 72.0 |
| 95.0 | 20.7 | 28.5 | 38.0 | 47.5 | 57.0 | 66.5 | 76.0 | 85.5 |
| 120.0 | 26.2 | 36.0 | 48.0 | 60.0 | 72.0 | 84.0 | 96.0 | 108.0 |
| WHC (%) 1 | ||||||||
|---|---|---|---|---|---|---|---|---|
| 21.8 2 | 30.0 | 40.0 | 50.0 | 60.0 | 70.0 | 80.0 | 90.0 | |
| Percentage compost (%) | 0.0 | 13.2 | 30.3 | 47.4 | 64.5 | 81.6 | 98.6 | 98.6 |
| Percentage sand (%) | 100.0 | 86.8 | 69.7 | 52.6 | 35.5 | 18.5 | 1.4 | 0.0 |
| Percentage peat (%) | 0.0 | 0.0 | 0.0 | 0.0 | 0.0 | 0.0 | 0.0 | 1.4 |
| WHC (%) 1 | |||
|---|---|---|---|
| Silica Sand | Compost | Peat | |
| Droplet counting method | 6.7 (0.3) | 78.9 (1.3) | 296.6 (40.9) |
| Cylinder sand bath method | 21.8 (0.4) | 75.5 (1.1) | 318.3 (38.8) |
| MCsoil (%WHC) | English Oak | Beech | Scots Pine Sapwood | Douglas Fir |
|---|---|---|---|---|
| 120 | −0.20ln(x) + 91.20 | 6.81ln(x) + 75.78 | −16.06ln(x) + 220.01 | −21.77ln(x) + 214.39 |
| 95 | 1.56ln(x) + 80.56 | −8.52ln(x) + 125.38 | −21.77ln(x) + 214.39 | −3.25ln(x) + 74.33 |
| 80 | −0.65ln(x) + 84.98 | −26.67ln(x) + 173.92 | −99.34ln(x) + 502.65 | −14.01ln(x) + 106.82 |
| 70 | −8.17ln(x) + 110.07 | −30.11ln(x) + 175.84 | −116.8ln(x) + 543.26 | −19.14ln(x) + 121.88 |
| 50 | −20.27ln(x) + 144.18 | −22.67ln(x) + 131.58 | −66.53ln(x) + 310.55 | −15.69ln(x) + 97.79 |
| 30 | −25.01ln(x) + 144.87 | −20.20ln(x) + 113.81 | −14.83ln(x) + 89.25 | −13.02ln(x) + 81.44 |
© 2019 by the authors. Licensee MDPI, Basel, Switzerland. This article is an open access article distributed under the terms and conditions of the Creative Commons Attribution (CC BY) license (http://creativecommons.org/licenses/by/4.0/).
Share and Cite
Brischke, C.; Wegener, F.L. Impact of Water Holding Capacity and Moisture Content of Soil Substrates on the Moisture Content of Wood in Terrestrial Microcosms. Forests 2019, 10, 485. https://doi.org/10.3390/f10060485
Brischke C, Wegener FL. Impact of Water Holding Capacity and Moisture Content of Soil Substrates on the Moisture Content of Wood in Terrestrial Microcosms. Forests. 2019; 10(6):485. https://doi.org/10.3390/f10060485
Chicago/Turabian StyleBrischke, Christian, and Friedrich L. Wegener. 2019. "Impact of Water Holding Capacity and Moisture Content of Soil Substrates on the Moisture Content of Wood in Terrestrial Microcosms" Forests 10, no. 6: 485. https://doi.org/10.3390/f10060485
APA StyleBrischke, C., & Wegener, F. L. (2019). Impact of Water Holding Capacity and Moisture Content of Soil Substrates on the Moisture Content of Wood in Terrestrial Microcosms. Forests, 10(6), 485. https://doi.org/10.3390/f10060485
