Next Article in Journal
Allometric Models for Estimation of Forest Biomass in North East India
Previous Article in Journal
Diversity and Genetic Structure Inferred with Microsatellites in Natural Populations of Pseudotsuga menziesii (Mirb.) Franco (Pinaceae) in the Central Region of Mexico
 
 
Due to scheduled maintenance work on our servers, there may be short service disruptions on this website between 11:00 and 12:00 CEST on March 28th.
Font Type:
Arial Georgia Verdana
Font Size:
Aa Aa Aa
Line Spacing:
Column Width:
Background:
Article

Effects of Sucrose, Boric Acid, pH, and Incubation Time on in Vitro Germination of Pollen and Tube Growth of Chinese fir (Cunnighamial lanceolata L.)

by
Seif Aldin Dawina Abdallah Fragallah
1,2,
Sizu Lin
1,3,4,
Nuo Li
1,4,
Elly Josephat Ligate
5 and
Yu Chen
1,3,4,*
1
College of Forestry, Fujian Agriculture and Forestry University, Fuzhou 350002, China
2
Faculty of Natural Resources and Environmental Studies, University of Kordofan, El-Obeid 160, Sudan
3
State Forestry Administration Engineering Research Center of Chinese Fir, Fuzhou 350002, China
4
Key Laboratory for Forest Adversity, Physiological Ecology and Molecular Biology, Fuzhou 350002, China
5
Department of Bio-sciences, Sokoine University of Agriculture, Morogoro 3038, Tanzania
*
Author to whom correspondence should be addressed.
Forests 2019, 10(2), 102; https://doi.org/10.3390/f10020102
Submission received: 23 December 2018 / Revised: 10 January 2019 / Accepted: 18 January 2019 / Published: 28 January 2019
(This article belongs to the Section Forest Ecophysiology and Biology)

Abstract

In vitro pollen germination provides a novel approach and strategy to accelerate genetic improvement of tree breeding. Studies about pollen germination and tube growth of Chinese fir are limited. Therefore, this study aimed to investigate the effects of sucrose, boric acid, pH, and time of incubation on pollen germination and tube growth. Pollen from 9 clones were selected. In vitro germination was performed in basic media as control, and in different concentrations of sucrose (0, 10 and 15%), boric acid (0.01, 0.1 and 0.2%), and pH levels (4.5, 5 and 7). Pollen germination rates and tube growth were recorded periodically at 1, 12, 24, and 48 h. The results showed that sucrose imposes significant effects on pollen germination and tube growth. The effects are most obvious at concentration of 15%. Boric acid significantly promoted germination and tube growth. The promotion was most notable in lower concentration of 0.01%. The media adjusted to pH 7.0 boosted the germination and pollen tube growth. The optimum time of incubation was 24 and 48 h for pollen germination and tube growth, respectively. Sucrose, pH, and time of incubation were positively correlated, whereas boric acid negatively correlated with pollen germination and tube growth. This study provided experimental evidences for selecting viable pollens for Chinese fir breeding.

1. Introduction

Chinese fir (Cunninghamia lanceolata (Lamb) Hook) is one of the major commercial conifer species in China [1,2]. It is a typical subtropical coniferous tree in Southern China [3,4]. Chinese fir is the most important valued timber species due to its fast growth, high yield, and excellent wood quality (i.e., straight and decay resistant) as well as having significant cultural and historical values to the people [3]. The plantations of Chinese fir are the most important forests in Southern China, covering an area of over 12 million ha or about 6.5% of the world’s plantation forests [2]. The plantations area of Chinese fir has been enlarged because of the increasing demand for timber and economic development [2]. Across China, the plantations of Chinese fir have been utilized for more than one thousand years [3,5]. During the last decade, the focus of Chinese fir plantations management has shifted from timber production to ecological functions [6]. Since the 1980s, decreasing production of Chinese fir plantations has been reported, primarily due to soil degradation [7,8]. Currently, the sustainability of Chinese fir plantations is threatened by biodiversity reduction, production loss, soil degradation, and a lack of self-regeneration [4,9]. Therefore, understanding the factors that control regeneration, systematic breeding and selection of the best potential trees for future breeding programs are a major research priority for this tree.
Chinese fir has received considerable breeding effort over the past 50 years [10]. The systematic breeding programs started in 1960s and remarkable successes were achieved [11]. However, some biological characteristics inherent to genetic breeding program, such as long generation time, highly genetic load, and inbreeding depression have effects on the breeding interventions [11,12]. Such effects call for an understanding of pollen grains as these structures are sexual reproductive units and the carriers of male genetic material in Chinese fir. Because of their biological functions, pollen grains play a vital role in the breeding programs of Chinese fir like any other tree species [13]. In a genetic breeding program, knowledge on pollen viability is an essential factor for artificial hybridization [14]. Understanding the viability and capacity of pollen germination and pollen tube growth are fundamental for studies of reproductive biology and genetics breeding of plants [15,16]. Pollen germination potential has been defined as the ability of viable pollen to germinate under suitable conditions [17]. Pollen germination and pollen tube growth are important materials for morphological, physiological, biotechnological, ecological, evolutional, biochemical, and molecular biological studies [15]. Therefore, determination of pollen viability is crucial in tree breeding. The determination involves investigating chemical changes during germination of pollen and growth of pollen tubes through the use of direct methods such as the induction of in vitro germination [18].
In vitro pollen germination provides a novel approach and strategy to accelerate the genetic improvement of tree breeding. It is a very convenient and effective technique for studying many basic and applied aspects of pollen biology [19]. This technique is the best option for selecting viable and potential pollen that can be used for cross-pollination [20]. The conditions required for in vitro pollen germination vary across species. It has been reported that pollen germination and pollen tube growth can be influenced by many internal and external factors [21,22]. The extrinsic factors which affect the germination of pollen include incubation time, optimal temperature, and medium composition [23]. Organic and inorganic substances such as sucrose, boric acid, calcium nitrate, potassium nitrate, and magnesium sulfate exert an effect on the in vitro pollen germination [24,25,26]. In addition, pH has influences on in vitro pollen germination [16,27,28]. Indeed, the quality of pollen, the optimum concentrations of the media and environmental conditions have effects on germination of pollen and tube growth [20].
Various methods and media with different components have been suggested by many plant biologists and researchers [19,23,29,30,31]. Recently, there are a growing number of studies carried out in Chinese fir. The majority of these studies have focused on flowering characteristics and genetic variation [4,10,32,33,34,35]. On the other hand, Shen et al. [36], investigated the effect of sucrose, boric acid, and calcium ions on pollen germination. Yanfang et al. [37], studied pollen germination and preservation characteristics under different storage conditions. Fragallah et al. [38], studied metabolomic analysis during pollen germination and tube growth. Despite these examples, a more detailed study about the influence of sucrose, boric acid concentrations, pH, and optimal incubation time is not yet reported. Therefore, this study aimed to investigate the effect of sucrose, boric acid, pH, and time of incubation on germination and pollen tube growth of Chinese fir pollen grains. This study is valuable for providing information about pollen germination requirements to support further improvement of artificial pollination and breeding programs of Chinese fir.

2. Materials and Methods

2.1. Description of the Study Area

The study was carried out in a third-generation clonal seed orchard of Chinese fir belonging to state-owned forest farm established in 2008 at YouXi County in Fujian province, China (latitude 25°50′–26°26′ N, longitude 117°48′–118°39′ E). The total area of the orchard is 188 acres divided into 13 districts. The trees population consists of 70 clones originating from superior plus-trees (breeding parents). The grafts were collected from Yangkou forest farm germplasm resources to produce high genetic quality seeds. Grafts were planted at a spacing of 4 m × 4 m, in the different districts of the orchard. The climate of the area is a subtropical monsoon. The annual temperature ranges from 15.8–19.6 °C. The annual rainfall ranges from 1400–1488 mm; the relative humidity is 83%, annual solar radiation 95–102 Kcal/cm2, annual sunshine hours are 1764.6 TJ. The wind is southeast in summer and northwest in winter; wind speed is 1.1–1.7 m/s.

2.2. Collection of Pollen Samples

Male cones were collected during the pollination period from the end of February to mid-March 2017. The pollen grains were collected from mature male cones after ripening. The male cones were hung upside down in open plastic bags, labeled separately. In addition, samples were taken from clones (CL-4, 7, 10, 11, 17, 25, 35, 44, and 51). After the collection of the pollen for all clones, the pollen samples were placed in plastic bags. Then, fresh pollen grains were shed, poured into 1.5 mL centrifuge tubes, and sealed with parafilm. The tubes were put into silica gel and kept at 4 °C until use.

2.3. In Vitro Pollen Germination

In preliminary experiments, in vitro pollen germination tests were performed on pollen of 30 different clones in a basic media. Briefly, the basic media consisted of 5% sucrose, 0.5% agar, 100 mL distilled water, and pH adjusted to 5.8 by using a digital pH-meter after adjusting the solution using HCl and NaOH. All media components were dissolved in boiling water and poured into petri dishes. Then, pollen grains were distributed on the surface of the cooling media. For the germination test, the petri dishes were inoculated in a growth chamber for 12 h in light and 12 h in dark cycles. The relative humidity and temperature conditions set for inoculation were 70% and 25 °C, respectively, as previously described by Fragallah et al. [38].
After establishing the basic media for the 30 clones, 9 clones (CL-4, 7, 10, 11, 17, 25, 35, 44, and 51) were chosen based on their pollen germination ability. Clones (CL-4, 17, and 25) had germination rates above 80%. Clones (CL-11, 44, and 35) had germination rates above 65 and less than 80%. Clones (CL-7, 10, and 51) had germination rates less than 65% (non-published data). Furthermore, the basic media was considered a control and coded as (A) type media. Then, a total of 9 different culture media with different concentrations of sucrose (0, 10 and 15%) coded as (B, C, and D type media), boric acid (0.01, 0.1, and 0.2%) coded as (E, F, and G type media), and levels of pH (4.5, 5, and 7) coded as (H, I, and J type media) were prepared to study the effects of the media concentrations on pollen germination and tube growth (Table 1).
The experiment was carried out in a completely randomized design with four replications, each represented by one petri dish at each time intervals at 1, 12, 24, and 48 h. Then, the petri dishes were placed under light microscope and photographed with Nikon, SMZ 127 (version 4.50) under 8× magnifications. A pollen grain was considered germinated when the pollen tube length was at least equal to or greater than the grain diameter [39]. All pollen grains in each photo were counted to calculate germination percentages. Germinated and non-germinated pollen was counted from each petri dish after 1, 12, 24, and 48 h of incubation. Pollen germination was determined and the percentages were recorded by dividing the number of germinated pollen grains per field of view by the total number of pollen per field of view and expressed as percentages, as previously described by Kakani et al. [39].

2.4. Pollen Tube Growth Measurements

The pollen tube growth was measured by using Image Pro-Plus 6.0 imaging software system for analysis and processing photos. The mean of pollen tube growth (µm) was calculated as the average lengths of 20 pollen tubes randomly measured from each photo at 1, 12, 24, and 48 h intervals.

2.5. Statistical Analysis

The data of pollen germination and pollen tube growth were input into Co-Stat software. Then, the replicated average values of pollen germination and tube growth data were subjected to analysis of variance (ANOVA) to determine the significance of measured parameters. Duncan multiple range (DMR) test was used for mean separation. Furthermore, simple linear regression analysis model was developed. A linear regression model attempted to explain the relationship between two or more variables using a straight line. The dependent variable was referred to as the response. The slope and the intercept of the line are called regression coefficients. The equation used was Y = a + bx; Where (Y) is the dependent variable, (X) is the independent variable (i.e., it is plotted on the X axis), (b) is the slope of the line, and (a) is the y-intercept.

3. Results

3.1. Effects of Sucrose Concentrations on Pollen Germination and Tube Growth

Table 2 and Table 3 show mean values (± standard error (SE)) of the effect of sucrose concentration on pollen germination and tube growth after 48 h of incubation. The effect was significant and most obvious at sucrose concentrations of 10 and 15%. Sucrose concentrations of 0.0 and 5% (control media) had a fewer effects on pollen germination rates and tube growth.
The maximum pollen germination rate was obtained from CL-17 (90.29%), followed by CL-4 (89.56%) in D type media for 15% sucrose, while CL-51 recorded the minimum germination rate (58.50%). In C type media for sucrose concentration 10%, the germination rate was maximum in CL-17 (90.16%) followed by CL-25 (87.57). The minimum (61.48%) was recorded in CL-51. In B type media for sucrose concentration 0%, the germination rate was higher in CL-4 (81.49%) followed by CL-17 (80.82%). The minimum germination rate was (44.16%) for CL-51. In A type media for 5% sucrose, CL-4 showed the maximum rate of pollen germination (84.89%) followed by CL-17 (84.09%), while CL-10 (52.92%) and CL-7 (51.42%) provided the minimum germination rates.
The maximum average of pollen tube growth after 48 h of incubation was obtained by CL-17 (0.78 µm) followed by CL-4 (0.76 µm) in D type media for sucrose 15%. The minimum rate was observed in CL-51 (0.41 µm). In C type media for sucrose concentration 10% the maximum growth was 0.73 µm by CL-17 followed by CL-4 (0.66 µm). In B type media for 0%, the maximum pollen tube growth was observed in CL-4 (0.45 µm) followed by CL-17 (0.44 µm), while the minimum tube growth recorded by CL-7 (0.32 µm). In A type media for 5% sucrose, the maximum tube growth was observed for CL-4 (0.53 µm) followed by CL-17 (0.52 µm), while CL-7 recorded the minimum tube length of 0.34 µm.

3.2. Effects of Boric Acid Concentration on Pollen Germination and Tube Growth

Table 4 and Table 5 show mean values (± SE) of the effect of boric acid concentrations on pollen germination and tube growth after 48 h of incubation. Boric acid significantly promoted the germination of pollen and tube growth. Promotion of germination was most notable at boric acid concentration of 0.01%. Pollen germination rate and tube growth increased significantly compared with that in the boric acid-deficient media (control media). Boric acid completely inhibited pollen germination and tube growth at 0.2%.
The maximum pollen germination rate was recorded in CL-17 (92.97%) followed with CL-4 (83.34%) in E type media for 0.01% boric concentration. The minimum rate was found in CL-51 (64.48%). In F type media with 0.1% boric concentration, CL-4 gave the highest germination rate of 85.70%, followed by CL-17 (85.16%) and the lowest was recorded by CL-7 (50.34%). In G type media with 0.2% boric acid concentration, the highest germination rate of 83.31% reported by CL-4 followed by CL-17 (83.31%) while the lowest germination rate was obtained from CL-7 (35.91%). In boric acid-deficient A type media, CL-4 showed the maximum rate of pollen germination of 84.89% followed by CL-17 (84.09%), while CL-10 (52.92%) and CL-7 (51.42%) had the lowest germination rates.
In E type medium with 0.01% boric acid, the maximum average pollen tube growth was recorded by CL-17 (0.91 µm), followed by CL-4 (0.69 µm) while the minimum tube growth was recorded in CL-51 (0.45 µm). In F type medium with 0.1% boric acid, the maximum pollen tube growth was obtained from CL-17 (0.59 µm) followed by CL-4 (0.47 µm), and the minimum was recorded in CL-7 (0.34 µm). In G type medium with 0.2% boric acid, the maximum pollen tube growth was obtained from CL-4 (0.47 µm) followed by CL-17 (0.40 µm), and the minimum was recorded CL-51 (0.32 µm). In boric acid-deficient A type media, the maximum tube growth was reported by CL-4 (0.53 µm) followed by CL-17 (0.52 µm), while CL-7 recorded the minimum tube length of 0.34 µm.

3.3. Effects of Different pH Levels on Pollen Germination and Tube Growth

Table 6 and Table 7 show mean values (±SE) of the effects of pH levels on pollen germination rates and tube growth after 48 h of incubation. The effect of pH level on pollen germination and tube growth was significant. The culture media with a level of pH 7.0 and 5.0 presented better effects on pollen germination and tube growth than culture media of pH 4.5 and 5.8 pH.
The maximum pollen germination rate was reported by CL-4 (88.89%) followed with CL-4 (88.56%) in J type media for the level of pH 7.0. The minimum rate was 57.31% reported in CL-51. In I type media at pH 5.0, CL-4 gave the highest germination rate of 87.64% followed by CL-17 (88.56%) and the lowest was recorded by CL-51 (55.04%). In H type media at pH 4.5, the highest germination rate was 80.82% reported by CL-4 followed by CL-17 (79.82%), while the lowest germination rate was obtained from CL-44 (40.51%). In A type media at pH 5.8, CL-4 showed the maximum rate of pollen germination (84.89%) followed by CL-17 (84.09%), while CL-10 (52.92%) and CL-7 (51.42%) provided the minimum germination rates.
CL-4 recorded the maximum average of tube growth at 0.78 µm in J type media at pH 7.0 followed by CL-17 (0.74 µm), while the minimum was recorded in CL-51 and CL-44 (0.40 µm). In I type media at pH 5.0, the maximum pollen tube growth was obtained from CL-17 (0.72 µm) followed by CL-4 (0.61 µm). The minimum tube growth was observed in CL-44 (0.40 µm). In H type media at pH 4.5, the maximum pollen tube growth was obtained from CL-17 and CL-4 (0.46 µm), while the minimum was recorded by CL-44 (0.36 µm). In A type media at pH 5.8, the maximum tube growth was reported by CL-4 (0.53 µm) followed by CL-17 (0.52 µm), while CL-7 recorded the minimum tube length (0.34 µm).

3.4. The Overall Effect of Media Types on Pollen Germination and Tube Growth

Table 8 means (±SE) and Figure 1 show the effects of different media types on pollen germination and tube growth. On the overall basis, the C and D type media containing 10% and 15% sucrose performed a bit well regarding germination and pollen tube growth as compared to A and B type media for sucrose concentrations 5 and 0%.
For boric acid media concentrations, E type media for 0.01% was the best among other concentrations. The G type media for the 0.2% concentration performed poorly regarding the germination and tube growth. For media of different pH, it was quite remarkable that J type media at pH 7.0 was best among the culture media. On the contrary, H type media at pH 4.5 had poor performance.

3.5. Relationships between Sucrose, Boric Acid, and pH and Pollen Germination and Tube Growth

The results in Figure 2 show the relationships between sucrose, boric acid, and pH and pollen germination and tube growth: Sucrose concentrations, pollen germination, and tube growth showed strong and positive relationship (A,B), boric acid concentrations, pollen germination, and tube growth, showed strong and negative relationship (C,D), strong and positive relationship between pH levels and pollen germination and tube growth was observed (E,F).

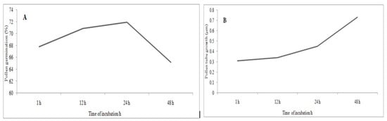
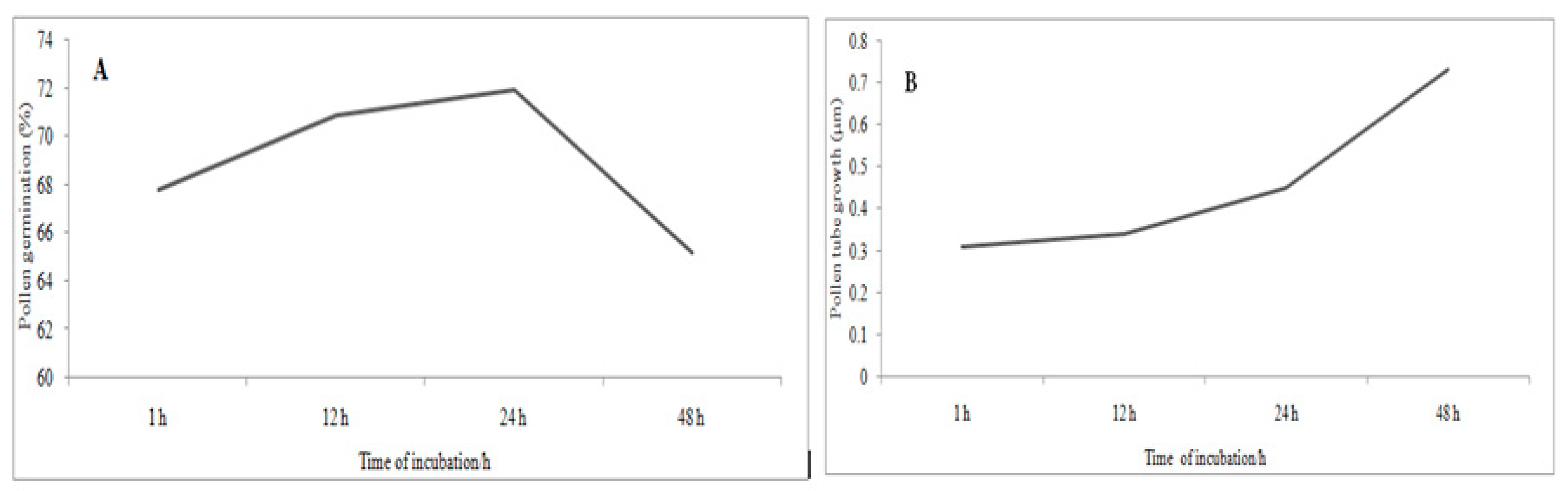
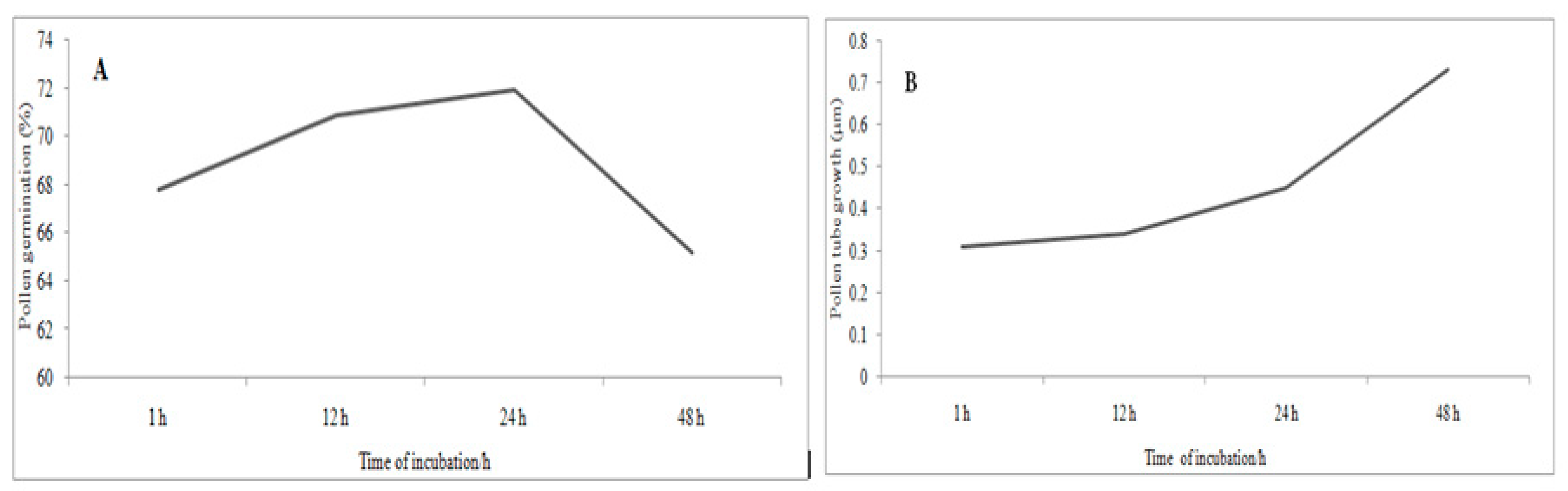
3.6. The status of Pollen Germination and Tube Growth at Different Time of Incubation

Figure 3 shows the status of pollen germination and tube growth at different times of incubation. Pollen grains began to germinate immediately after being placed in the media. After 1 h, germination rates increased and reached the maximum at 24 h, with a significant decrease at 48 h. On the other hand, pollen tube growth starts to elongate at 24 h and dramatically increased over time and reached the maximum growth at 48 h of incubation.

3.7. Effect of Incubation Time on Pollen Germination and Tube Growth

Table 9 show the effect of incubation time on in vitro pollen germination and tube growth. Based on overall mean of all nine clones, pollen germination in the first hour of incubation was 67.79%, and this growth increased to 70.83% when the incubation time increased to 12 h. Thereafter, up to 24 h, the germination rates slightly increased to 71.88%, and then severely decreased to 65.15% at 48 h. A similar trend was noticed, as the incubation time increased the growth of pollen tubes increased. The pollen tube growth at 1 h of incubation was 0.31 µm, and then rose to 0.34 µm when the time increased to 12 h. At 24 h, the pollen tube growth increased to 0.45 µm. The maximum tube growth 0.73 µm was achieved at the end of 48 h of incubation (Figure 4).

3.8. Relationships between the Time of Incubation, Pollen Germination, and Tube Growth

Figure 5 shows the relationships between the time of incubation, pollen germination, and tube growth. The time of incubation and pollen germination showed negative relationship A, while the time of incubation and pollen germination showed strong and positive relationship B.

4. Discussion

Understanding the requirements for pollen germination and tube growth is of great importance for cross-pollination. The requirements of pollen germination vary appreciably from pollen grains of one species to another. In general, each pollen grain has its own requirements and might need different media. Various germination media tests and culture conditions may affect the pollen germination of a given species. The media preparations for in vitro germination play a vital role in pollen germination and tube growth [15]. In general, the media preparation for pollen germination varies according to the plant species and many internal and external factors [15]. Thus, there are a number of factors which have been reported to influence in vitro germination of pollen grains. For example, humidity, temperature, genotypic differences, vigor and physiological stage of the plant and the age of the flower and ingredients of the substrate used for germination have an effect on pollen germination [40]. Sahar and Spiegel-Roy, [41] reported that some nutrients (e.g., calcium, magnesium sulphate, potassium nitrate, and boric acid) influenced pollen germination. In this study, various combinations of culture media were tested for the provision of optimum germination conditions required by the pollen of Chinese fir. However, to study the effects of different medium concentrations on pollen germination and tube growth, in vitro pollen germination was performed in different concentrations of sucrose separately and in combination with varying boric acid concentration and pH. Based on the results obtained from the basic media, the germination percentages varied across the studied clones. There were significant differences on germination percentage and pollen tube growth at p < 0.05 level. The reason for such differences might be attributed to the variation in the genetic background of the studied clones.

4.1. Effects of Sucrose Concentration on Pollen Germination and Tube Growth

The supplementation of sucrose in culture media is vital because it serves as the main nutrient for the germination and formation of pollen tubes [23]. Sucrose at an appropriate concentration plays a dominant role in both pollen germination and pollen tube growth. A suitable concentration of sucrose can favor both germination and pollen tube development, whereas high concentrations of sucrose in a media can inhibit both processes [23]. The optimum sugar concentration for pollen germination differs considerably among different plants and species [31]. The differences in pollen germination within the same culture media might be attributed to an imbalanced osmotic pressure of the culture media [42]. The results of this study revealed that there are significant differences in pollen germination and tube growth among sucrose concentrations. In general, pollen germination and tube growth increased with an increase of the sucrose concentration. The maximum germination and tube growth of pollen were obtained in media of 15 and 10% sucrose concentrations (Table 2 and Table 3). Furthermore, strong positive relationships were found between sucrose concentrations and pollen germination and tube growth. This relationship indicates that with increase in sucrose concentrations, the pollen germination and tube growth increase as well (Figure 2). The possible reason for the positive relationships may be related to the supply of metabolic energy and the biosynthesis of organic compounds necessary for cell growth, agreeing with [27,43,44]. On the other hand, these results disagree with [36,45], probably because of the differences on the concentrations and genetic variation of clones used.

4.2. Effects of Boric Acid Concentrations on Pollen Germination and Tube Growth

Boric acid is believed to promote pollen germination and tube growth [29]. Boric acid is essential to germination and tube growth of pollen [44]. An absence of boric acid normally affects pollen germination, and this has been confirmed in many plant species [46]. In this study, the results showed that boric acid promoted pollen germination and tube growth. Boric acid in a concentration of 0.01% significantly increased pollen germination rates and tube growth compared with that in the boric acid-deficient media. Pollen germination and tube growth were severely and completely inhibited by 0.2% boric acid (Table 4 and Table 5). In addition, strong negative relationships were found between boric acid concentration and pollen germination and tube growth. This implies that the germination and growth of pollen considerably improved through the addition of boric acid at appropriate concentrations. If the optimal concentration of boric acid is not used or if higher concentrations are added, pollen germination and tube growth would be hindered (Figure 2). This could be the reason for the significant increase in germination rate and tube growth of pollen in lower concentrations. Another explanation for these relationships could be related to the formation of the ionisable sugar–borate complex, which reacts with the plasma membrane, promoting greater growth of the pollen tube. These findings agree with those confirmed by [29,36,47,48], who noted that only low concentrations of boric acid stimulated pollen germination and pollen tube growth, whereas higher concentrations inhibited germination and tube growth.

4.3. Effects of Different pH Levels on Pollen Germination and Tube Growth

The pH of the media for in vitro germination is an important factor controlling pollen germination and pollen tube development in different plant species. The importance of determination of the ideal pH in the physiological processes that involve pollen grains is linked to the resulting higher germination percentage [16]. Ramos et al. [49], stated that there is an increase in the germination of pollen with an increase in the pH of the culture media. Boavida & McCormick, [27] reported that pH has a significant effect on pollen germination and tube growth. Burke et al. [50] tested the effect of pH on in vitro pollen germination and elongation of the pollen tube, and stated no differences between the tested pH values. Fan et al. [51], tested several components and reported pH as an important factor contributing to pollen germination success and for pollen tube growth. In our study, the tested pH levels (4.5, 5.0, 5.8, and 7.0) had positive effects on pollen germination and tube growth. Indeed, we found that pollen germination and tube growth improved drastically when the pH levels were increased to pH 7.0 (Table 6 and Table 7). The interpretation of this positive relationship is that, as the pH level increases, the germination and pollen tube growth increased, agreeing with the results of [27,28,49].

4.4. Effect of Incubation Time on Pollen Germination and Tube Growth

Optimum time of incubation is one of the basic requirements of pollen germination and tube growth [43]. A prolonged incubation period is necessary to overcome dormancy. Many researchers have studied the effect of incubation time on in vitro pollen germination and tube growth [23,38,43]. Lin et al. [23], reported that incubation time played a vital role in pollen germination and pollen tube growth of oil palm. In this study, our results revealed that pollen germination rate and elongation of pollen tube increased with increase of incubation time (Figure 4). The increase suggests that a certain degree of dormancy may be present in some viable pollen. The other possible assumption is that some of the pollen may have reached physiological maturity and a longer incubation period is not required for the pollen to germinate, and the prolonged time of incubation is only required for pollen tube elongation. Our data confirm the results reported by [23,38,51,52], who proved that there is an increase in germination percentages of pollen grains during the time of incubation.

5. Conclusions

In the present study, results showed that clones, media combinations and incubation time had highly significant effects on pollen germination potential. There were significant differences among clones both for germination percentage and pollen tube growth. The overall effects of media on pollen germination and tube growth were found to be very important among the media combinations. We observed that sucrose imposes significant effects on pollen germination and tube growth. The effect is most obvious at 15%. However, we demonstrated that the use of a media containing 15% sucrose was better than that containing 10, 5, and 0%. Although the sucrose individually showed good results, sucrose in combination with boric acid promoted pollen germination and tube growth as well. Boric acid significantly promoted the germination of pollen and tube growth and this was notable at the lower concentration of 0.01%. This concentration is suitable and optimal for pollen germination and tube growth compared to other concentrations. pH 7.0 presents better effects than the other levels. This pH has the ability to induce germination and tube growth. In addition, significant differences among incubation times on pollen germination and tube growth were observed. The optimum time for pollen germination was 24 h, while for pollen tube growth, the appropriate time was 48 h. We conclude that further research should be undertaken to understand the optimum concentrations of sucrose, boric acid, and pH in Chinese fir development programs.

Author Contributions

S.A.D.A.F. designed and carried out all experiments, prepared the manuscript, Y.C. helped in performing the experiments and contributed equally to the writing of the manuscript, N.L. helped in performing the experiments, E.J.L. helped in statistical analysis and edited the English version of the manuscript, and S.L. revised and finalized the manuscript.

Funding

This research was funded by Chinese Fir Engineering Technology Research Center of the State Forestry Administration (ptjh130002) and FAFU scholarship program, provided by the Fujian Agriculture and Forestry University Fujian Province, China are gratefully acknowledged.

Conflicts of Interest

The authors declare no conflict of interest.

References

  1. Shi, H.; Chertow, M.; Song, Y. Developing country experience with eco-industrial parks: A case study of the Tianjin Economic-Technological Development Area in China. J. Clean. Prod. 2010, 18, 191–199. [Google Scholar] [CrossRef]
  2. Zheng, H.; Hu, D.; Wang, R.; Wei, R.; Yan, S. Assessing 62 Chinese Fir (Cunninghamia lanceolata) breeding parents in a 12-year grafted clone test. Forests 2015, 6, 3799–3808. [Google Scholar] [CrossRef]
  3. Lu, Y.; Coops, N.C.; Wang, T.; Wang, G. A process-based approach to estimate Chinese fir (Cunninghamia lanceolata) distribution and productivity in southern China under climate change. Forests 2015, 6, 360–379. [Google Scholar] [CrossRef]
  4. Chen, Y.; Peng, Z.; Wu, C.; Ma, Z.; Ding, G.; Cao, G.; Ruan, S.; Lin, S. Genetic diversity and variation of Chinese fir from Fujian province and Taiwan, China, based on ISSR markers. PloS One 2017, 12, e0175571. [Google Scholar] [CrossRef] [PubMed]
  5. Tian, D.; Xiang, W.; Chen, X.; Yan, W.; Fang, X.; Kang, W.; Dan, X.; Peng, C.; Peng, Y. A long-term evaluation of biomass production in first and second rotations of Chinese fir plantations at the same site. Forestry 2011, 84, 411–418. [Google Scholar] [CrossRef]
  6. Yang, Z.; Liu, Y.N.; Lv, B. Rapid Assessment of Surface Color of Chinese Fir and Eucalyptus Wood by near Infrared Spectroscopy. In Proceedings of Applied Mechanics and Materials; Trans Tec publications: Beijing, China, 2012; pp. 304–307. [Google Scholar]
  7. Ma, X.; Fan, S.; Chen, S.; Lin, S. Study on biomass productivity of Chinese fir plantations after successive planting. Scientia. Silvae. Sinicae. 2003, 39, 78–83. [Google Scholar]
  8. Yang, C.; Tian, D.; Hu, Y.; Yan, W.; Fang, X.; Liang, X. Dynamics of understory vegetation biomass in successive rotations of Chinese fir (Cunninghamia lanceolata) plantations. Acta. Ecolog. Sinica. 2011, 31, 2737–2747. [Google Scholar]
  9. Liu, B.; Daryanto, S.; Wang, L.; Li, Y.; Liu, Q.; Zhao, C.; Wang, Z. Excessive Accumulation of Chinese Fir Litter Inhibits Its Own Seedling Emergence and Early Growth—A Greenhouse Perspective. Forests 2017, 8, 341. [Google Scholar] [CrossRef]
  10. Zheng, H.; Duan, H.; Hu, D.; Li, Y.; Hao, Y. Genotypic variation of Cunninghamia lanceolata revealed by phenotypic traits and SRAP markers. Dendrobiology 2015, 74, 83–92. [Google Scholar] [CrossRef]
  11. Huang, H.-H.; Xu, L.-L.; Tong, Z.-K.; Lin, E.-P.; Liu, Q.-P.; Cheng, L.-J.; Zhu, M.-Y. De novo characterization of the Chinese fir (Cunninghamia lanceolata) transcriptome and analysis of candidate genes involved in cellulose and lignin biosynthesis. BMC genomics 2012, 13, 648. [Google Scholar] [CrossRef]
  12. Li, S.; Zhang, X.; Wang, Y.; Yin, T. Content and characteristics of microsatellites detected in expressed sequence tag sequences in Eucalyptus. Chin. Bulle. Bot. 2010, 45, 363–371. [Google Scholar]
  13. Mondal, S.; Ghanta, R. Studies on in vitro pollen germination of Lawsonia inermis Linn. Adv. Biores. 2012, 3, 63–66. [Google Scholar]
  14. Soares, T.L.; Silva, S.; Costa, M.; Santos-Serejo, J.; Souza, A.d.S.; Lino, L.S.M.; Souza, E.; Jesus, O. In vitro germination and viability of pollen grains of banana diploids. Crop. Breed. Appl. Biot. 2008, 8, 111–118. [Google Scholar] [CrossRef]
  15. Dane, F.; Olgun, G.; Dalgiç, Ö. In vitro pollen germination of some plant species in basic culture medium. J. Cell Mol. Biol. 2004, 3, 71–76. [Google Scholar]
  16. Salles, L.A.; Ramos, J.D.; Pasqual, M.; Junqueira, K.P.; Silva, A.D. Sucrose and pH in the in vitro germination of citrus pollen grains. Ciência. Agrotecnologia. 2006, 30, 170–174. [Google Scholar] [CrossRef]
  17. Fortescue, J.; Turner, D. Pollen fertility in Musa: Viability in cultivars grown in Southern Australia. Australian. J. Agric. Res. 2004, 55, 1085–1091. [Google Scholar] [CrossRef]
  18. Sorkheh, K.; Azimkhani, R.; Mehri, N.; Chaleshtori, M.H.; Halász, J.; Ercisli, S.; Koubouris, G.C. Interactive effects of temperature and genotype on almond (Prunus dulcis L.) pollen germination and tube length. Sci. Hort. 2018, 227, 162–168. [Google Scholar] [CrossRef]
  19. Shekari, A.; Nazeri, V.; Shokrpour, M. Influence of boric acid, sucrose and temperature on the germination of Leonurus cardiaca L., pollen. Int. J. Farm. Allied Sci. 2016, 5, 363–366. [Google Scholar]
  20. Sakhanokho, H.F.; Rajasekaran, K. Pollen biology of ornamental ginger (Hedychium spp. J. Koenig). Sci. Hort. 2010, 125, 129–135. [Google Scholar] [CrossRef]
  21. Schueler, S.; Schlünzen, K.H.; Scholz, F. Viability and sunlight sensitivity of oak pollen and its implications for pollen-mediated gene flow. Trees 2005, 19, 154–161. [Google Scholar] [CrossRef]
  22. Kremer, D.; Jemrić, T. Pollen germination and pollen tube growth in Fraxinus pennsylvanica. Biologia 2006, 61, 79–83. [Google Scholar] [CrossRef]
  23. Lin, Y.; Wang, Y.; Iqbal, A.; Shi, P.; Li, J.; Yang, Y.; Lei, X. Optimization of culture medium and temperature for the in vitro germination of oil palm pollen. Sci. Hortic. 2017, 220, 134–138. [Google Scholar] [CrossRef]
  24. Parton, E.; Vervaeke, I.; Delen, R.; Vandenbussche, B.; Deroose, R.; de Proft, M. Viability and storage of bromeliad pollen. Euphytica 2002, 125, 155–161. [Google Scholar] [CrossRef]
  25. Kopp, R.F.; Maynard, C.A.; Rocha de Niella, P.; Smart, L.B.; Abrahamson, L.P. Collection and storage of pollen from Salix (Salicaceae). Am. J. Bot. 2002, 89, 248–252. [Google Scholar] [CrossRef] [PubMed]
  26. Moutinho, A.; Camacho, L.; Haley, A.; Pais, M.S.; Trewavas, A.; Malhó, R. Antisense perturbation of protein function in living pollen tubes. Sex. Plant. Reprod. 2001, 14, 101–104. [Google Scholar] [CrossRef]
  27. Boavida, L.C.; McCormick, S. Technical advance: Temperature as a determinant factor for increased and reproducible in vitro pollen germination in Arabidopsis thaliana. Plant. J. 2007, 52, 570–582. [Google Scholar] [CrossRef] [PubMed]
  28. Rodriguez-Enriquez, M.; Mehdi, S.; Dickinson, H.; Grant-Downton, R. A novel method for efficient in vitro germination and tube growth of Arabidopsis thaliana pollen. New Phytologist 2013, 197, 668–679. [Google Scholar] [CrossRef]
  29. Wang, Q.; Lu, L.; Wu, X.; Li, Y.; Lin, J. Boron influences pollen germination and pollen tube growth in Picea meyeri. Tree physiol. 2003, 23, 345–351. [Google Scholar] [CrossRef]
  30. Ahmad, S.; Rana, A.; Sharma, R.; Agnihotri, R.K. Effect of different media and boric acid on pollen germination and tube growth of Tribulus terrestris—A traditional medicinal plant. Inter. J. Pharm. Sci. Rev. Res. 2012, 13, 77–79. [Google Scholar]
  31. Liu, L.; Huang, L.; Li, Y. Influence of boric acid and sucrose on the germination and growth of areca pollen. Am. J. Plant. Sci. 2013, 4, 1669. [Google Scholar] [CrossRef]
  32. Zhang, H.; Hu, D.; Wang, R.; Wei, R.; Yan, S.; Zhu, H.; Liang, R.; Lai, X. Plus tree resource survey and genebank construction for Cunninghamia lanceolata. J. Southwest. For. Univ. 2013, 1, 1–6. [Google Scholar]
  33. Hao, B.; Zou, F.; Hu, S.; Xu, G. Genetic diversity of Chinese fir provenances using ISSR markers. Guangxi For. Sci. 2014, 1, 1–4. [Google Scholar]
  34. Ouyang, L.; Chen, J.; Zheng, R.; Xu, Y.; Lin, Y.; Huang, J.; Ye, D.; Fang, Y.; Shi, J. Genetic diversity among the germplasm collections of the Chinese fir in 1st breeding population upon SSR markers. J. Nanjing For. Univ (Nat. Sci Edn) 2014, 38, 21–26. [Google Scholar]
  35. Ziegler, J.; Schmidt, S.; Chutia, R.; Müller, J.; Böttcher, C.; Strehmel, N.; Scheel, D.; Abel, S. Non-targeted profiling of semi-polar metabolites in Arabidopsis root exudates uncovers a role for coumarin secretion and lignification during the local response to phosphate limitation. J. Exp. Bot. 2016, 67, 1421–1432. [Google Scholar] [CrossRef]
  36. Shen, J.; Zhu, C.C.; Jin, X.U. Effects of mineral elements on pollen germination and pollen tube growth of Cunninghamia lanceolata (Lamb.) Hook. China For. Sci. Technol. 2010, 24, 57–60. [Google Scholar]
  37. Wu, Y.; LIU, J.; Xiao, F.; Li, Y.; Zhu, X.; Xu, H.; Huang, B. Study on Pollen germination and Preservation Characteristic of Cunninghamia lanceolata. Jiangxi For. Sci. Technol. 2012, 4, 1–4. [Google Scholar]
  38. Fragallah, S.A.D.A.; Wang, P.; Li, N.; Chen, Y.; Lin, S. Metabolomic Analysis of Pollen Grains with Different Germination Abilities from Two Clones of Chinese Fir (Cunninghamia lanceolata (Lamb) Hook). Molecules 2018, 23, 3162. [Google Scholar] [CrossRef] [PubMed]
  39. Kakani, V.; Reddy, K.; Koti, S.; Wallace, T.; Prasad, P.; Reddy, V.; Zhao, D. Differences in in vitro pollen germination and pollen tube growth of cotton cultivars in response to high temperature. Ann. Bot. 2005, 96, 59–67. [Google Scholar] [CrossRef] [PubMed]
  40. Shivanna, K.R.; Johri, B.M. The Angiosperm Pollen: Structure and Function; Wiley Eastern Ltd.: New Delhi, India, 1985. [Google Scholar]
  41. Sahar, N.; Spiegel-Roy, P. In vitro germination of avocado pollen. Hort. Sci. 1984, 19, 886–888. [Google Scholar]
  42. Youmbi, E.; Tabi, K.; Ebongue, N.; Frank, G.; Tonfack, L.B.; Ntsomboh, G. Oil palm (Elaeis guineensis Jacq.) improvement: Pollen assessment for better conservation and germination. J. Oil Palm. Res. 2015, 27, 212–219. [Google Scholar]
  43. Chagas, E.A.; Pio, R.; Chagas, P.C.; Pasqual, M.; Bettiol Neto, J.E. Composição do meio de cultura e condições ambientais para germinação de grãos de pólen de porta-enxertos de pereira. Ciênc. Rural 2010, 40, 231–236. [Google Scholar] [CrossRef]
  44. De Figueiredo, M.A.; Pio, R.; Silva, T.C.; Silva, K.N. Características florais e carpométricas e germinação in vitro de grãos de pólen de cultivares de amoreira-preta. Pesqui. Agropecu. Bras. 2013, 48, 731–740. [Google Scholar] [CrossRef]
  45. Souza-Lang, V.; Pinto, J., Jr. Influência do meio de cultura na germinação do pólen de três espécies de Eucalypus. Bol. De Pesqui. Florest. 1997, 34, 45–54. [Google Scholar]
  46. Báez, P.; Riveros, M.; Lehnebach, C. Viability and longevity of pollen of Nothofagus species in south Chile. New Zeal. J. Bot. 2002, 40, 671–678. [Google Scholar] [CrossRef]
  47. Dantas, A.d.M.; Peixoto, M.L.; Nodari, R.O.; Guerra, M.P. Viabilidade do pólen e desenvolvimento do tubo polínico em macieira (Malus spp.). Rev. Bras. De Frutic. 2005, 27, 356–359. [Google Scholar] [CrossRef]
  48. Acar, I.; Ak, B.E.; Sarpkaya, K. Effects of boron and gibberellic acid on in vitro pollen germination of pistachio (Pistacia vera L.). Afr. J. Biotechnol. 2010, 9, 5126–5130. [Google Scholar]
  49. Ramos, J.D.; Pasqual, M.; Salles, L.A.; Alves Chagas, E.; Pio, R. Receptividade do estigma e ajuste de protocolo para germinação in vitro de grãos de pólen de citros. Interciência 2008, 33, 51–55. [Google Scholar]
  50. Burke, J.J.; Velten, J.; Oliver, M.J. In vitro analysis of cotton pollen germination. Agron. J. 2004, 96, 359–368. [Google Scholar] [CrossRef]
  51. Fan, L.M.; Wang, Y.F.; Wang, H.; Wu, W.H. In vitro Arabidopsis pollen germination and characterization of the inward potassium currents in Arabidopsis pollen grain protoplasts. J. Exp. Bot. 2001, 52, 1603–1614. [Google Scholar] [CrossRef]
  52. Gaaliche, B.; Majdoub, A.; Trad, M.; Mars, M. Assessment of pollen viability, germination, and tube growth in eight tunisian caprifig (Ficus carica L.) cultivars. ISRN Agron. 2013, 20, 1–4. [Google Scholar] [CrossRef]
Figure 1. The effect of media types of sucrose, boric acid, and pH on pollen germination and tube growth (A,B). Media type A (control), B (sucrose 0%), C (sucrose 10%), D (sucrose 15%), E (boric acid 0.01%), F (boric acid 0.1%), G (boric acid 0.2%), H (pH level 4.5), I (pH level 5.0), and J (pH level 7.0).
Figure 1. The effect of media types of sucrose, boric acid, and pH on pollen germination and tube growth (A,B). Media type A (control), B (sucrose 0%), C (sucrose 10%), D (sucrose 15%), E (boric acid 0.01%), F (boric acid 0.1%), G (boric acid 0.2%), H (pH level 4.5), I (pH level 5.0), and J (pH level 7.0).
Forests 10 00102 g001
Figure 2. The relationships between sucrose, boric acid, and pH and pollen germination and tube growth: (A,B) Showed strong positive relationship between sucrose concentrations, pollen germination, and tube growth, (C,D) showed strong negative relationship between boric acid concentrations, (E,F) had strong positive relationship between pH levels and pollen germination and tube growth.
Figure 2. The relationships between sucrose, boric acid, and pH and pollen germination and tube growth: (A,B) Showed strong positive relationship between sucrose concentrations, pollen germination, and tube growth, (C,D) showed strong negative relationship between boric acid concentrations, (E,F) had strong positive relationship between pH levels and pollen germination and tube growth.
Forests 10 00102 g002
Figure 3. In vitro germination of the pollen and tube growth at different time of incubation. The four different photos show the pollen germination and pollen tube growth status at different time of incubation (A) 1 h, (B) 12 h, (C) 24 h, and (D) 48 h. It was quite clear that pollen germination starts at 1 h of incubation. However, at 1 and 12 h, no pollen tube growth was observed. At 24 h, pollen tubes were elongated and reached the maximum length at 48 h.
Figure 3. In vitro germination of the pollen and tube growth at different time of incubation. The four different photos show the pollen germination and pollen tube growth status at different time of incubation (A) 1 h, (B) 12 h, (C) 24 h, and (D) 48 h. It was quite clear that pollen germination starts at 1 h of incubation. However, at 1 and 12 h, no pollen tube growth was observed. At 24 h, pollen tubes were elongated and reached the maximum length at 48 h.
Forests 10 00102 g003
Figure 4. Effect of incubation time on pollen germination and tube growth. (A) The effect of incubation time on pollen germination and (B) The effect of incubation time on pollen tube growth.
Figure 4. Effect of incubation time on pollen germination and tube growth. (A) The effect of incubation time on pollen germination and (B) The effect of incubation time on pollen tube growth.
Forests 10 00102 g004
Figure 5. Relationships between the time of incubation, pollen germination, and tube growth. (A) Negative relationship between time of incubation and pollen germination, (B) Strong positive relationship between the time of incubation and pollen tube growth.
Figure 5. Relationships between the time of incubation, pollen germination, and tube growth. (A) Negative relationship between time of incubation and pollen germination, (B) Strong positive relationship between the time of incubation and pollen tube growth.
Forests 10 00102 g005
Table 1. The media used for in vitro pollen germination and pollen tube growth.
Table 1. The media used for in vitro pollen germination and pollen tube growth.
Media TypeBasic MediaSucroseBoric AcidpH
CodeControl ABCDEFGHIJ
Sucrose5%0%10%15%
Boric acid0% 0.01%0.1%0.2%
pH5.8 4.557
Agar0.5%
Distilled water100 ml
Note: Media type A (control), B (sucrose 0%), C (sucrose 10%), D (sucrose 15%), E (boric acid 0.01%), F (boric acid 0.1%), G (boric acid 0.2%), H (pH level 4.5), I (pH level 5.0), and J (pH level 7.0).
Table 2. Effects of sucrose concentrations on pollen germination.
Table 2. Effects of sucrose concentrations on pollen germination.
Pollen Germination (%)
Media TypeControl A (Sucrose 5%)B (Sucrose 0%)C (Sucrose 10%)D (Sucrose 15%)
CL-484.89 ± 2.26 a81.49 ± 5.87 a87.15 ± 1.93 a89.56 ± 0.92 a
CL-751.42 ± 0.53 d47.80 ± 2.12 d61.48 ± 5.72 d60.36 ± 3.76 c
CL-1052.92 ± 2.88 d48.25 ± 1.85 d65.00 ± 3.20 d72.32 ± 7.65 b
CL-1175.43 ± 3.47 ab74.70 ± 4.37 b85.60 ± 2.78 b83.95 ± 3.53 ab
CL-1784.09 ± 4.51 a80.82 ± 2.56 a90.16 ± 1.49 a90.29 ± 1.54 a
CL-2581.97 ± 2.55 a78.44 ± 2.53 b87.57 ± 1.18 a86.82 ± 2.31 a
CL-3574.12 ± 2.42 b73.11 ± 3.25 c84.39 ± 1.72 b87.71 ± 0.79 a
CL-4478.42 ± 1.64 ab73.88 ± 2.43 c76.16 ± 2.59 c82.27 ± 1.38 ab
CL-5161.01 ± 3.64 c44.16 ± 5.14 e68.20 ± 1.68 cd58.50 ± 2.58 d
Overall Mean71.4766.9678.4279.09
Note: Means with the same lower-case letters within a column do not differ significantly at p < 0.05.
Table 3. Effects of sucrose concentration on pollen tube growth.
Table 3. Effects of sucrose concentration on pollen tube growth.
Pollen Tube Growth (μm)
Media TypeControl A (Sucrose 5%)B (Sucrose 0%)C (Sucrose 10%)D (Sucrose 15%)
CL-40.53 ± 0.15 a0.45 ± 0.10 a0.66 ± 0.18 b0.76 ± 0.19 a
CL-70.34 ± 0.05 d0.32 ± 0.03 d0.41 ± 0.07 d0.44 ± 0.11 cd
CL-100.41 ± 0.07 b0.39 ± 0.06 ab0.44 ± 0.08 cd0.44 ± 0.12 cd
CL-110.40 ± 0.04 b0.37 ± 0.04 ab0.46 ± 0.08 c0.48 ± 0.11 bc
CL-170.52 ± 0.14 a0.44 ± 0.09 a0.73 ± 0.29 a0.78 ± 0.30 a
CL-250.37 ± 0.05 c0.38 ± 0.04 ab0.45 ± 0.10 c0.52 ± 0.13 b
CL-350.45 ± 0.06 ab0.36 ± 0.05 c0.51 ± 0.13 bc0.48 ± 0.16 c
CL-440.44 ± 0.10 ab0.36 ± 0.07 c0.47 ± 0.10 c0.50 ± 0.14 bc
CL-510.36 ± 0.04 c0.33 ± 0.03 d0.41 ± 0.06 d0.41 ± 0.07 d
Overall Mean0.420.390.500.53
Note: Means with the same lower-case letters within a column do not differ significantly at p < 0.05.
Table 4. Effects of boric acid concentration on pollen germination.
Table 4. Effects of boric acid concentration on pollen germination.
Pollen Germination (%)
Media TypeControl A (Boric acid 0%)E (Boric acid 0.01%)F (Boric acid 0.1%)G (Boric acid 0.2%)
CL-484.89 ± 2.26 a88.34 ± 0.98 a85.70 ± 6.67 a83.81 ± 2.39 a
CL-751.42 ± 0.53 d71.83 ± 4.23 c50.34 ± 1.17 d35.91 ± 2.70 e
CL-1052.92 ± 2.88 d74.44 ± 7.41 bc52.26 ± 2.35 d38.82 ± 2.93 e
CL-1175.43 ± 3.47 ab86.09 ± 1.29 ab75.18 ± 3.95 b75.34 ± 1.60 c
CL-1784.09 ± 4.51 a92.79 ± 0.73 a85.16 ± 2.90 a83.31 ± 3.90 a
CL-2581.97 ± 2.55 a86.82 ± 1.94 ab84.39 ± 1.72 a81.51 ± 2.18 b
CL-3574.12 ± 2.42 b83.40 ± 2.72 b70.51 ± 2.85 c72.76 ± 2.84 cd
CL- 4478.42 ± 1.64 ab72.27 ± 3.88 c84.85 ± 2.04 a53.56 ± 1.29 d
CL-5161.01 ± 3.64 c64.48 ± 7.03 d57.81 ± 4.20 d47.89 ± 1.81 d
Overall Mean71.4780.0671.8063.66
Note: Means with the same lower-case letters within a column do not differ significantly at p < 0.05.
Table 5. Effects of boric acid concentration on pollen tube growth.
Table 5. Effects of boric acid concentration on pollen tube growth.
Pollen Tube Growth (μm)
Media TypeControl A (Boric acid 0%)E (Boric acid 0.01%)F (Boric acid 0.1%)G (Boric acid 0.2%)
CL-40.53 ± 0.15 a0.69 ± 0.26 b0.47 ± 0.12 b0.47 ± 0.02 a
CL-70.34 ± 0.05 d0.48 ± 0.10 c0.34 ± 0.03 d0.31 ± 0.01 d
CL-100.41 ± 0.07 b0.47 ± 0.12 c0.40 ± 0.05 c0.31 ± 0.01 d
CL-110.40 ± 0.04 b0.48 ± 0.10 c0.41 ± 0.07 c0.35 ± 0.01 c
CL-170.52 ± 0.14 a0.91 ± 0.33 a0.59 ± 0.14 a0.40 ± 0.03 b
CL-250.37 ± 0.05 c0.61 ± 0.18 bc0.45 ± 0.11 bc0.34 ± 0.02 c
CL-350.45 ± 0.06 ab0.58 ± 0.12 bc0.36 ± 0.05 d0.31 ± 0.01 d
CL-440.44 ± 0.10 ab0.47 ± 0.09 c0.44 ± 0.08 bc0.33 ± 0.02 c
CL-510.36 ± 0.04 c0.45 ± 0.08 d0.36 ± 0.04 d0.32 ± 0.01 c
Overall Mean0.420.580.430.34
Note: Means with the same lower-case letters within a column do not differ significantly at p < 0.05.
Table 6. Effects of pH level on pollen germination.
Table 6. Effects of pH level on pollen germination.
Pollen Germination (%)
Media TypeControl A (pH Level 5.8)H (pH Level 4.5)I (pH Level 5.0)J (pH Level 7.0)
CL-484.89 ± 2.26 a80.84 ± 1.85 a87.64 ± 1.48 a88.88 ± 0.53 a
CL-751.42 ± 0.53 d54.18 ± 5.29 c57.74 ± 1.83 c63.10 ± 3.25 c
CL-1052.92 ± 2.88 d53.66 ± 7.77 c55.31 ± 3.85 d64.24 ± 1.62 c
CL-1175.43 ± 3.47 ab79.64 ± 4.16 ab78.08 ± 1.79 b82.93 ± 2.88 ab
CL-1784.09 ± 4.51 a79.82 ± 3.87 a88.56 ± 1.92 a88.59 ± 0.38 a
CL-2581.97 ± 2.55 a67.14 ± 9.18 b85.91 ± 2.77 ab86.10 ± 1.11 a
CL-3574.12 ± 2.42 b69.53 ± 1.72 b82.65 ± 1.06 ab80.60 ± 1.13 b
CL-4478.42 ± 1.64 ab40.51 ± 4.56 d57.54 ± 3.83 c64.21 ± 4.79 c
CL-5161.01 ± 3.64 c44.09 ± 6.86 cd55.04 ± 4.78 d57.31 ± 3.84 d
Overall Mean71.4763.2772.0575.14
Note: Means with the same lower-case letters within a column do not differ significantly at p < 0.05.
Table 7. Effects of pH level on pollen tube growth.
Table 7. Effects of pH level on pollen tube growth.
Pollen Tube Growth (μm)
Media TypeControl A (pH Level 5.8)H (pH Level 4.5)I (pH Level 5.0)J (pH Level 7.0)
CL-40.53 ± 0.15 a0.46 ± 0.13 a0.61 ± 0.25 ab0.78 ± 0.23 a
CL-70.34 ± 0.05 d0.39 ± 0.04 b0.40 ± 0.08 d0.40 ± 0.07 d
CL-100.41 ± 0.07 b0.41 ± 0.04 b0.45 ± 0.10 c0.45 ± 0.08 c
CL-110.40 ± 0.04 b0.39 ± 0.06 b0.51 ± 0.12 b0.46 ± 0.06c
CL-170.52 ± 0.14 a0.46 ± 0.12 a0.72 ± 0.24 a0.74 ± 0.30 a
CL-250.37 ± 0.05 c0.38 ± 0.06 b0.43 ± 0.09 d0.52 ± 0.17 b
CL-350.45 ± 0.06 ab0.38 ± 0.05 b0.52 ± 0.16 b0.60 ± 0.22 ab
CL-440.44 ± 0.10 ab0.34 ± 0.05 c0.40 ± 0.07 d0.40 ± 0.07 d
CL-510.36 ± 0.04 c0.36 ± 0.03 c0.41 ± 0.09 d0.40 ± 0.06 d
Overall Mean0.420.410.500.53
Note: Means with the same lower-case letters within a column do not differ significantly at p < 0.05.
Table 8. The effect of different media types on pollen germination and tube growth.
Table 8. The effect of different media types on pollen germination and tube growth.
CodeMedia TypeOverall Mean of Germination (%)Overall Mean of Tube Length (μm)
AControl71.47 ± 4.33 b0.42 ± 0.02 b
BSucrose 0%66.96 ± 5.16 c0.39 ± 0.01 c
CSucrose 10%78.42 ± 9.18 a0.50 ± 0.03 a
DSucrose 15%79.09 ± 4.12 a0.53 ± 0.04 a
EBoric acid 0.01%80.06 ± 3.18 a0.58 ± 0.05 a
FBoric acid 0.1%71.80 ± 4.93 b0.43 ± 0.03 b
GBoric acid 0.2%63.66 ± 6.53 c0.34 ± 0.01 c
HpH 4.563.27 ± 5.22 c0.41 ± 0.01 b
IpH 5.072.05 ± 5.06 b0.50 ± 0.04 a
JpH 7.075.14 ± 4.09 b0.53 ± 0.05 a
Note: Means with the same lower-case letters within a column do not differ significantly at p < 0.05.
Table 9. Effect of incubation time on in vitro pollen germination and tube growth.
Table 9. Effect of incubation time on in vitro pollen germination and tube growth.
Incubation Time (h)Overall Means of Pollen Germination Rate (%)Overall Means of Pollen Tube Growth (μm)
1 h67.79 ± 0.80 b0.31 ± 0.01 c
12 h70.83 ± 0.87 a0.34 ± 0.01 c
24 h71.88 ± 0.77 a0.45 ± 0.01 b
48 h65.15 ± 1.30 c0.73 ± 0.03 a
Note: Means with the same lower-case letters within a column do not differ significantly at p < 0.05.

Share and Cite

MDPI and ACS Style

Fragallah, S.A.D.A.; Lin, S.; Li, N.; Ligate, E.J.; Chen, Y. Effects of Sucrose, Boric Acid, pH, and Incubation Time on in Vitro Germination of Pollen and Tube Growth of Chinese fir (Cunnighamial lanceolata L.). Forests 2019, 10, 102. https://doi.org/10.3390/f10020102

AMA Style

Fragallah SADA, Lin S, Li N, Ligate EJ, Chen Y. Effects of Sucrose, Boric Acid, pH, and Incubation Time on in Vitro Germination of Pollen and Tube Growth of Chinese fir (Cunnighamial lanceolata L.). Forests. 2019; 10(2):102. https://doi.org/10.3390/f10020102

Chicago/Turabian Style

Fragallah, Seif Aldin Dawina Abdallah, Sizu Lin, Nuo Li, Elly Josephat Ligate, and Yu Chen. 2019. "Effects of Sucrose, Boric Acid, pH, and Incubation Time on in Vitro Germination of Pollen and Tube Growth of Chinese fir (Cunnighamial lanceolata L.)" Forests 10, no. 2: 102. https://doi.org/10.3390/f10020102

APA Style

Fragallah, S. A. D. A., Lin, S., Li, N., Ligate, E. J., & Chen, Y. (2019). Effects of Sucrose, Boric Acid, pH, and Incubation Time on in Vitro Germination of Pollen and Tube Growth of Chinese fir (Cunnighamial lanceolata L.). Forests, 10(2), 102. https://doi.org/10.3390/f10020102

Note that from the first issue of 2016, this journal uses article numbers instead of page numbers. See further details here.

Article Metrics

Back to TopTop