Biological Durability of Sapling-Wood Products Used for Gardening and Outdoor Decoration
Abstract
1. Introduction
2. Materials and Methods
2.1. Wood Specimens
2.2. Durability Test with Basidiomycete Monocultures
2.3. Field Durability Tests
3. Results and Discussion
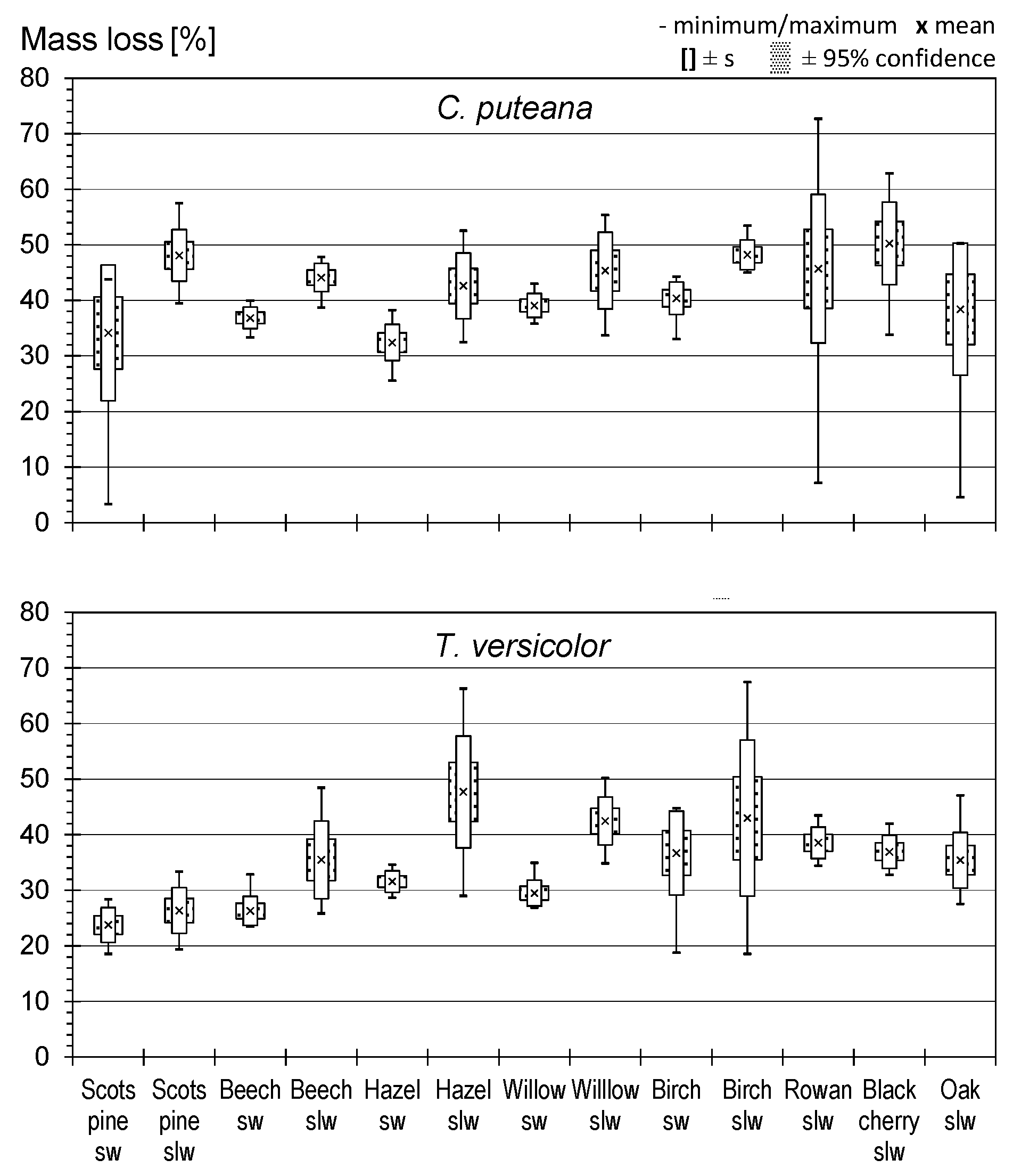
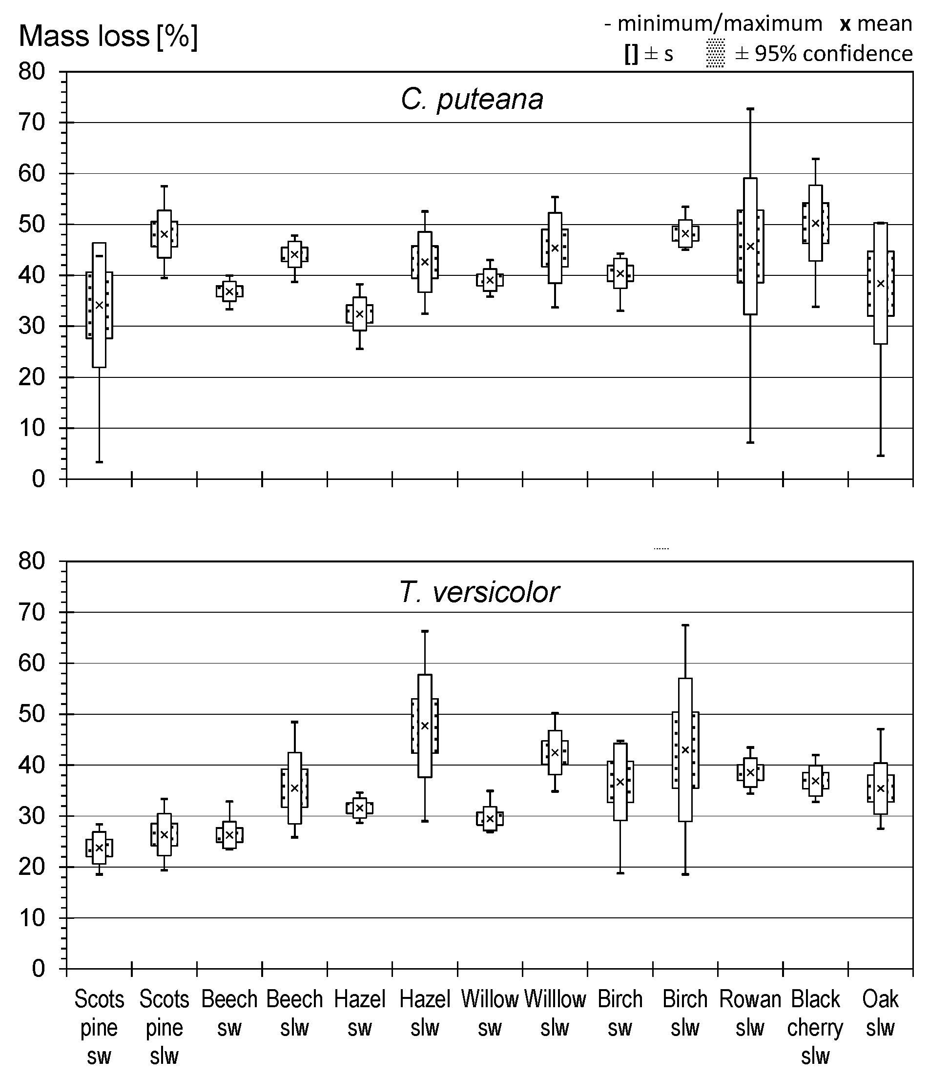
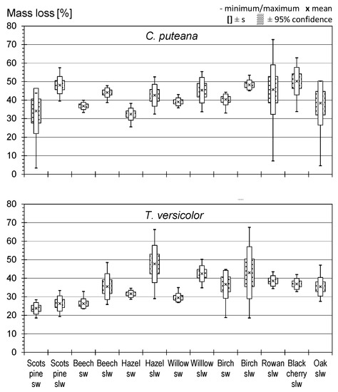
3.1. Durability against Basidiomycetes
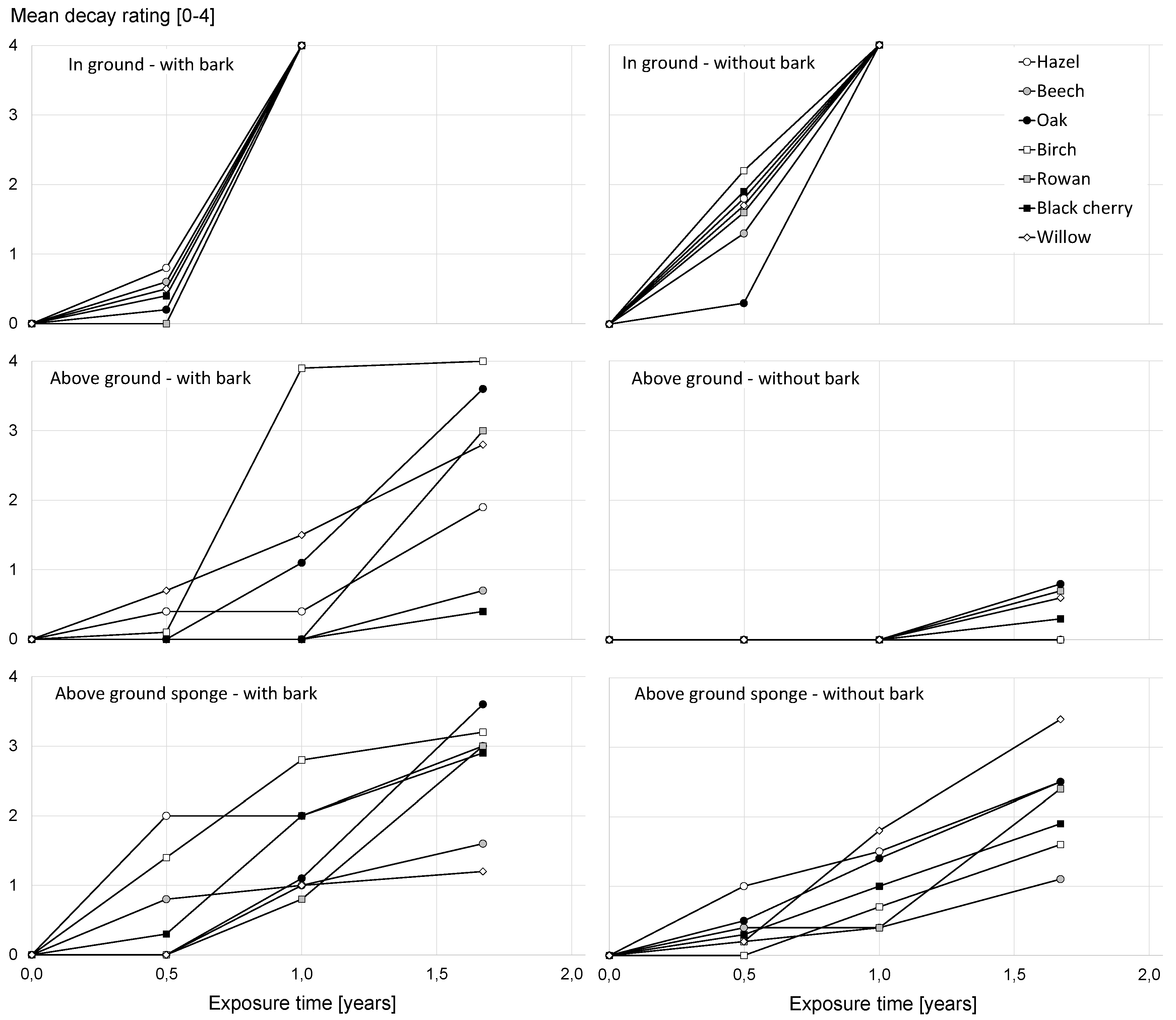
3.2. Durability against Fungal Decay in Field Tests
4. Conclusions
Author Contributions
Funding
Acknowledgments
Conflicts of Interest
References
- prEN 460. Durability of Wood and Wood-Based Products—Natural Durability of Solid Wood—Guide to the Durability Requirements for Wood to Be Used in Hazard Classes; European Committee for Standardization: Brussels, Belgium, 2018. [Google Scholar]
- Uglow, J. A Little History of British Gardening; Random House: Munich, Germany, 2012. [Google Scholar]
- Larkcom, J. Creative Vegetable Gardening; Hachette UK: London, UK, 2017. [Google Scholar]
- Buch, C.; Kasielke, T.; Mörtl, B. Corylus avellana—Gewöhnliche Hasel, Haselstrauch (Betulaceae). Jahrb. Boch. Bot. Ver. 2016, 7, 197–211. [Google Scholar]
- EN 350. Durability of Wood and Wood-Based Products—Testing and Classification of the Durability to Biological Agents of Wood and Wood-Based Materials; European Committee for Standardization: Brussels, Belgium, 2016. [Google Scholar]
- Meyer-Veltrup, L.; Brischke, C.; Alfredsen, G.; Humar, M.; Flæte, P.O.; Isaksson, T.; Larsson Brelid, P.; Westin, M.; Jermer, J. The combined effect of wetting ability and durability on outdoor performance of wood: Development and verification of a new prediction approach. Wood Sci. Technol. 2017, 51, 615–637. [Google Scholar] [CrossRef]
- Gierlinger, N.; Jacques, D.; Grabner, M.; Wimmer, R.; Schwanninger, M.; Pâques, L.E. Colour of larch heartwood and relationships to extractives and brown-rot decay resistance. Trees 2004, 18, 102–108. [Google Scholar] [CrossRef]
- Bhat, K.M.; Thulasidas, P.K.; Florence, E.M.; Jayaraman, K. Wood durability of home-garden teak against brown-rot and white-rot fungi. Trees 2005, 19, 654–660. [Google Scholar] [CrossRef]
- Dünisch, O.; Richter, H.G.; Koch, G. Wood properties of juvenile and mature heartwood in Robinia pseudoacacia L. Wood Sci. Technol. 2010, 44, 301–313. [Google Scholar] [CrossRef]
- Latorraca, J.V.; Dünisch, O.; Koch, G. Chemical composition and natural durability of juvenile and mature heartwood of Robinia pseudoacacia L. An. Acad. Bras. Cienc. 2011, 83, 1059–1068. [Google Scholar] [CrossRef] [PubMed]
- Blohm, J.H. Holzqualität und Eigenschaften des juvenilen und adulten Holzes der Douglasie (Pseudotsuga menziesii (Mirb.) Franco) aus Süddeutschen Anbaugebieten. Ph.D. Thesis, University of Hamburg, Hamburg, Germany, 2015. [Google Scholar]
- Doi, S.; Kurimoto, Y. Durability of sugi (Cryptomeria japonica D. Don) bark against wood decay fungi and a subterranean termite. Eur. J. Wood Wood Prod. 1998, 56, 178. [Google Scholar] [CrossRef]
- Nemli, G.; Gezer, E.D.; Yıldız, S.; Temiz, A.; Aydın, A. Evaluation of the mechanical, physical properties and decay resistance of particleboard made from particles impregnated with Pinus brutia bark extractives. Bioresour. Technol. 2006, 97, 2059–2064. [Google Scholar] [CrossRef] [PubMed]
- Harun, J.; Labosky, P. Antitermitic and antifungal properties of selected bark extractives. Wood Fiber Sci. 2007, 17, 327–335. [Google Scholar]
- Tascioglu, C.; Yalcin, M.; de Troya, T.; Sivrikaya, H. Termiticidal properties of some wood and bark extracts used as wood preservatives. BioResources 2012, 7, 2960–2969. [Google Scholar]
- Lines, R. Man’s use of birch—Past and present. Proc. R. Soc. Edinb. Sect. B Biol. Sci. 1984, 85, 203–213. [Google Scholar] [CrossRef]
- Gottesfeld, L.M.J. The importance of bark products in the aboriginal economies of northwestern British Columbia, Canada. Econ. Bot. 1992, 46, 148–157. [Google Scholar] [CrossRef]
- Gidmark, D. The Birchbark Canoe Makers of Lac Barriere; Algonquian Papers-Archive; 19th Algonquian Conference: Maniwaki, Quebec, 1988; Volume 19. [Google Scholar]
- Raffan, J.; Franks, C.E.S. Bark, skin & cedar: Exploring the canoe in Canadian experience. Am. Rev. Can. Stud. 2000, 30, 393. [Google Scholar]
- Skroch, W.A.; Powell, M.A.; Bilderback, T.E.; Henry, P.H. Mulches: Durability, aesthetic value, weed control, and temperature. J. Environ. Hortic. 1992, 10, 43–45. [Google Scholar]
- Herrick, F.W. Chemistry and utilization of western hemlock bark extractives. J. Agric. Food Chem. 1980, 28, 228–237. [Google Scholar] [CrossRef]
- CEN/TS 15083-1. Durability of Wood and Wood-Based Products—Determination of the Natural Durability of Solid Wood against Wood-Destroying Fungi, Test Methods—Part 1: Basidiomycetes; European Committee for Standardization: Brussels, Belgium, 2005. [Google Scholar]
- EN 252. Field Test Method for Determining the Relative Protective Effectiveness of a Wood Preservative in Ground Contact; European Committee for Standardization: Brussels, Belgium, 2015. [Google Scholar]
- Brunetti, M.; De Capua, E.L.; Macchioni, N.; Monachello, S. Natural durability, physical and mechanical properties of Atlas cedar (Cedrus atlantica Manetti) wood from Southern Italy. Ann. For. Sci. 2001, 58, 607–613. [Google Scholar] [CrossRef]
- Anagnost, S.E.; Smith, W.B. Comparative decay of heartwood and sapwood of Red maple. Wood Fiber Sci. 1997, 29, 189–194. [Google Scholar]
- Brischke, C.; Gellerich, A.; Homann, P. Impact of sapwood portions on the durability of adjacent heartwood of Pinus sylvestris, Pseudotsuga menziesii and Quercus robur: Part 1: Laboratory studies. In Proceedings of the IRG Annual Meeting, IRG/WP 18-10922, Johannesburg, South Africa, 29 April–3 May 2018; p. 15. [Google Scholar]
- Humphrey, C.J. Laboratory tests on the durability of American woods: I. Flask tests on conifers. Mycologia 1916, 8, 80–92. [Google Scholar] [CrossRef]
- Stirling, R.; Alfredsen, G.; Brischke, C.; De Windt, I.; Francis, L.P.; Frühwald Hansson, E.; Humar, M.; Jermer, J.; Klamer, M.; Kutnik, M.; et al. Global survey on durability variation—On the effect of the reference species. In Proceedings of the IRG Annual Meeting, IRG/WP 16-20573, Lisbon, Portugal, 15–19 May 2016; p. 26. [Google Scholar]
- Van Acker, J.; Stevens, M. Biological durability of wood in relation to end-use—Part 2: The use of an accelerated outdoor L-joint performance test. Holz Roh Werkst. 2003, 61, 125–132. [Google Scholar] [CrossRef]





| Wood Species | Botanical Name | Diameter (mm) | ||||||
|---|---|---|---|---|---|---|---|---|
| Lab Decay Test | In-Ground Field Test | Above-Ground Field Test | Above-Ground Sponge Field Test | |||||
| Without Bark | With Bark | Without Bark | With Bark | Without Bark | With Bark | Without Bark | ||
| English oak | Quercus robur | 17–22 | 20–38 | 20–29 | 18–36 | 12–32 | 18–33 | 15–37 |
| European beech | Fagus sylvatica | 16–18 | 20–37 | 23–38 | 18–35 | 11–36 | 20–40 | 18–39 |
| Common hazel | Corylus avellana | 17–21 | 21–33 | 17–35 | 17–37 | 18–36 | 15–39 | 18–37 |
| Black cherry | Prunus serotina | 17–22 | 17–33 | 17–34 | 14–37 | 14–37 | 14–28 | 15–40 |
| Rowan | Sorbus aucuparia | 16–25 | 22–31 | 18–33 | 20–33 | 14–34 | 22–33 | 17–30 |
| White willow | Salix alba | 18–22 | 15–50 | 21–44 | 14–45 | 13–42 | 12–34 | 13–36 |
| Silver birch | Betula pendula | 16–20 | 20–50 | 22–39 | 22–43 | 21–33 | 17–35 | 19–37 |
| Scots pine | Pinus sylvestris | 18–22 | n.a. | n.a. | n.a. | n.a. | n.a. | n.a. |
| Rating | Description | sdecay | Aintact | Aintact |
|---|---|---|---|---|
| (mm) | (mm2) | (%) | ||
| 0 | No attack | 0 | 1250 | 100 |
| 1 | Slight attack | 1 | 1104 | 88 |
| 2 | Moderate attack | 3 | 836 | 67 |
| 3 | Severe attack | 5 | 600 | 48 |
| 4 | Failure | 50 | 0 | 0 |
© 2019 by the authors. Licensee MDPI, Basel, Switzerland. This article is an open access article distributed under the terms and conditions of the Creative Commons Attribution (CC BY) license (http://creativecommons.org/licenses/by/4.0/).
Share and Cite
Brischke, C.; Emmerich, L.; Nienaber, D.G.B.; Bollmus, S. Biological Durability of Sapling-Wood Products Used for Gardening and Outdoor Decoration. Forests 2019, 10, 1152. https://doi.org/10.3390/f10121152
Brischke C, Emmerich L, Nienaber DGB, Bollmus S. Biological Durability of Sapling-Wood Products Used for Gardening and Outdoor Decoration. Forests. 2019; 10(12):1152. https://doi.org/10.3390/f10121152
Chicago/Turabian StyleBrischke, Christian, Lukas Emmerich, Dirk G.B. Nienaber, and Susanne Bollmus. 2019. "Biological Durability of Sapling-Wood Products Used for Gardening and Outdoor Decoration" Forests 10, no. 12: 1152. https://doi.org/10.3390/f10121152
APA StyleBrischke, C., Emmerich, L., Nienaber, D. G. B., & Bollmus, S. (2019). Biological Durability of Sapling-Wood Products Used for Gardening and Outdoor Decoration. Forests, 10(12), 1152. https://doi.org/10.3390/f10121152

