Storage and Climatic Controlling Factors of Litter Standing Crop Carbon in the Shrublands of the Tibetan Plateau
Abstract
1. Introduction
2. Materials and Methods
2.1. Study Area
2.2. Field Investigation and Laboratory Measurements
2.3. Climate Data
2.4. Data Analysis
3. Results
3.1. Size and Storage of Litter Standing Crop in Tibetan Plateau Shrublands
3.2. Conversion Coefficient, Storage, and Distribution of Litter Standing Crop Carbon
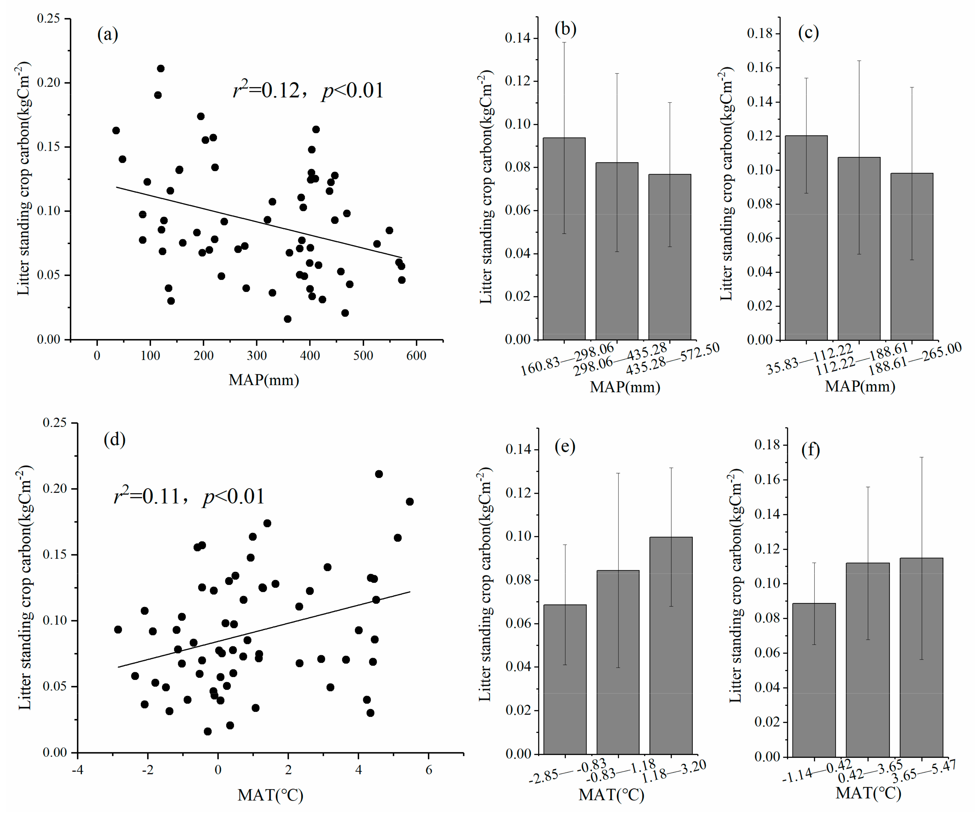
3.3. Effects of MAP and MAT on Litter Standing Crop Carbon
3.4. Effects of Aboveground Biomass and Climatic Factors on Litter Standing Crop Carbon
4. Discussion
4.1. Size of Litter Standing Crop
4.2. Controlling Factors of Litter Standing Crop Carbon
4.3. Distribution and Conversion Coefficient of Litter Standing Crop to Litter Standing Crop Carbon
5. Conclusions
Supplementary Materials
Author Contributions
Acknowledgments
Conflicts of Interest
References
- Descheemaeker, K.; Muys, B.; Nyssen, J.; Poesen, J.; Raes, D.; Haile, M.; Deckers, J. Litter production and organic matter accumulation in exclosures of the Tigray highlands, Ethiopia. For. Ecol. Manag. 2006, 233, 21–35. [Google Scholar] [CrossRef]
- Peng, S.; Liu, Q. The dynamicis of forest litter and its responses to global warming. Acta Ecol. Sin. 2002, 9, 1534–1544. [Google Scholar]
- Bojko, O.; Kabała, C. Loss-on-ignition as an estimate of total organic carbon in the mountain soils. Pol. J. Soil Sci. 2014, 47, 71–79. [Google Scholar]
- Pan, Y.; Birdsey, R.A.; Fang, J.; Houghton, R.; Kauppi, P.E.; Kurz, W.A.; Phillips, O.L.; Shvidenko, A.; Lewis, S.L.; Canadell, J.G. A large and persistent carbon sink in the world’s forests. Science 2011, 333, 988–993. [Google Scholar] [CrossRef] [PubMed]
- Wen, D.; He, N. Spatial patterns of litter density and their controlling factors in forests and grasslands of China. Acta Ecol. Sin. 2016, 36, 2876–2884. [Google Scholar]
- Marty, C.; Houle, D.; Gagnon, C. Variation in stocks and distribution of organic C in soils across 21 eastern Canadian temperate and boreal forests. Forest Ecol. Manag. 2015, 345, 29–38. [Google Scholar] [CrossRef]
- Domke, G.M.; Perry, C.H.; Walters, B.F.; Woodall, C.W.; Russell, M.B.; Smith, J.E. Estimating litter carbon stocks on forest land in the United States. Sci. Total Environ. 2016, 557, 469–478. [Google Scholar] [CrossRef]
- Liu, L.; Shen, G.; Chen, F.; Luo, L.; Xie, Z.; Yu, J. Dynamic characteristics of litterfall and nutrient return of four typical forests along the altitude gradients in Mt. Shennongjia, China. Acta Ecol. Sin. 2012, 32, 2142–2149. [Google Scholar] [CrossRef]
- McLaren, J.R.; Buckeridge, K.M.; Weg, M.J.; Shaver, G.R.; Schimel, J.P.; Gough, L. Shrub encroachment in Arctic tundra: Betula nana effects on above-and belowground litter decomposition. Ecology 2017, 98, 1361–1376. [Google Scholar] [CrossRef]
- Yang, Y. Ecological processes in alpine ecosystems under changing environment. Chin. J. Plant Ecol. 2018, 42, 1–5. [Google Scholar]
- Taylor, P.G.; Cleveland, C.C.; Wieder, W.R.; Sullivan, B.W.; Doughty, C.E.; Dobrowski, S.Z.; Townsend, A.R. Temperature and rainfall interact to control carbon cycling in tropical forests. Ecol. Lett. 2017, 20, 779–788. [Google Scholar] [CrossRef] [PubMed]
- Wohl, E.; Barros, A.; Brunsell, N.; Chappell, N.A.; Coe, M.; Giambelluca, T.; Goldsmith, S.; Harmon, R.; Hendrickx, J.M.; Juvik, J. The hydrology of the humid tropics. Nat. Clim. Chang. 2012, 2, 655. [Google Scholar] [CrossRef]
- Jia, B.; Zhou, G.; Liu, Y.; Jiang, Y. Spatial pattern and environment controls of annual litterfall production in natural forest ecosystems in China. Sci. Sin. Vitae 2016, 11, 1304–1311. [Google Scholar]
- Zhao, Y.; Wang, X.; Zhang, Y. Relationship between litterfall production and meteorological factors in evergreen broad-leaved forest in Tiantong national forest park. J. Beijing Univ. Agric. 2017, 32, 73–77. [Google Scholar]
- Zhang, X.; Wang, X.; Zhu, B.; Zong, Z.; Peng, C.; Fang, J. Litter fall production in relation to environmental factions in northeast China’s forests. Chin. J. Plant Ecol. 2008, 32, 1031–1040. [Google Scholar]
- Ge, J.; Xiong, G.; Li, J.; Xu, W.; Zhao, C.; Lu, Z.; Li, Y.; Xie, Z. 2017 Litter standing crop of shrubland ecosytem in southern China. Chin. J. Plant Ecol. 2017, 41, 5–13. [Google Scholar]
- Hu, H.; Wang, Z.; Liu, G.; Fu, B. Vegetation carbon storage of Major shrublands in China. Chin. J. Plant Ecol. 2006, 30, 539–544. [Google Scholar]
- Chen, S.; Liu, H.; Guo, D. Litter stocks and chemical quality of natural birch forests along temperature and precipitatioan gradients in eastern Inner Mongolia China. Chin. J. Plant Ecol. 2010, 34, 1007–1015. [Google Scholar]
- Nie, X.; Yang, Y.; Yang, L.; Zhou, G. Above- and Belowground Biomass Allocation in Shrub Biomes across the Northeast Tibetan Plateau. PLoS ONE 2016, 11, e0154251. [Google Scholar] [CrossRef]
- Nie, X.; Peng, Y.; Li, F.; Yang, L.; Xiong, F.; Li, C.; Zhou, G. Distribution and controlling factors of soil organic carbon storage in the northeast Tibetan shrublands. J. Soils Sediments 2019, 19, 322–331. [Google Scholar] [CrossRef]
- Nie, X.; Yang, L.; Li, F.; Xiong, F.; Li, C.; Zhou, G. Storage, patterns and controls of soil organic carbon in the alpine shrubland in the Three Rivers Source Region on the Qinghai-Tibetan Plateau. Catena 2019, 178, 154–162. [Google Scholar] [CrossRef]
- Yang, Y.; Fang, J.; Tang, Y.; Ji, C.; Zheng, C.; He, J.; Zhu, B. Storage, patterns and controls of soil organic carbon in the Tibetan grasslands. Glob. Chang. Biol. 2008, 14, 1592–1599. [Google Scholar] [CrossRef]
- Zhou, X.; Wang, Z.B.; Du, Q. Vegetation of Qinghai Province; Qinghai People’s Publishing House: Xining, China, 1987; pp. 53–72. [Google Scholar]
- Wu, Z. Vegetation of China; Science Press: Beijing, China, 1980; p. 430. [Google Scholar]
- Zhang, Z. Geography of Qinghai Plateau; Science Press: Beijing, China, 2009; pp. 25–26. [Google Scholar]
- Chinese Academy of Science. Vegetation Altas of China; Science Press: Beijing, China, 2001. [Google Scholar]
- Technical Manual Writing Group of Ecosystem Carbon Sequestration Project. Observation and Investigation for Carbon Sequestration in Terrestrial Ecosystems; Science Press: Beijing, China, 2015; pp. 153–155. [Google Scholar]
- Yang, X.; Tang, Z.; Ji, C.; Liu, H.; Ma, W.; Mohhamot, A.; Shi, Z.; Sun, W.; Wang, T.; Wang, X.; et al. Scaling of nitrogen and phosphorus across plant organs in shrubland biomes across Northern China. Sci. Rep. 2014, 4, 5448. [Google Scholar] [CrossRef] [PubMed]
- Nie, X.; Xiong, F.; Yang, L.; Li, C.; Zhou, G. Soil nitrogen storage, distribution, and associated controlling factors in the northeast Tibetan Plateau shrublands. Forests 2017, 8, 416. [Google Scholar] [CrossRef]
- He, H. Modeling Forest NPP Patterns on the Tibetan Plateau and Its Responses to Cliamte Change; Chinese Academy of Forestry: Beijing, China, 2008. [Google Scholar]
- Yang, Y. Carbon and Nitrogen in Alpine Grasslands on the Tibetan Plateau. Ph.D. Thesis, Peking University, Beijing, China, 2008. [Google Scholar]
- Li, J. Biodiversity and Its Relationship to Ecosystem Production in Shrubland across Subtropical Region in China. Ph.D. Thesis, Institute of Botany, Chinese Academy of Sciences, Beijing, China, 2015. [Google Scholar]
- Zhou, X.; Talley, M.; Luo, Y. Biomass, litter, and soil respiration along a precipitation gradient in southern Great Plains, USA. Ecosystems 2009, 12, 1369–1380. [Google Scholar] [CrossRef]
- Chave, J.; Navarrete, D.; Almeida, S.; Alvarez, E.; Aragão, L.E.; Bonal, D.; Châtelet, P.; Silva-Espejo, J.; Goret, J.Y.; Hildebrand, P. Regional and seasonal patterns of litterfall in tropical South America. Biogeosciences 2010, 1, 43–55. [Google Scholar] [CrossRef]
- Wynn, J.G.; Bird, M.I.; Vellen, L.; Grand-Clement, E.; Carter, J.; Berry, S.L. Continental-scale measurement of the soil organic carbon pool with climatic, edaphic, and biotic controls. Glob. Biogeochem. Cycles 2006, 20, GB1007. [Google Scholar] [CrossRef]
- Wieder, W.R.; Cleveland, C.C.; Townsend, A.R. Controls over leaf litter decomposition in wet tropical forests. Ecology 2009, 90, 3333–3341. [Google Scholar] [CrossRef]
- Hilli, S.; Stark, S.; Derome, J. Litter decomposition rates in relation to litter stocks in boreal coniferous forests along climatic and soil fertility gradients. Appl. Soil Ecol. 2010, 46, 200–208. [Google Scholar] [CrossRef]
- Hobbie, S.E. Temperature and plant species control over litter decomposition in Alaskan tundra. Ecol. Monogr. 1996, 66, 503–522. [Google Scholar] [CrossRef]
- Fierer, N.; Craine, J.M.; McLauchlan, K.; Schimel, J.P. Litter quality and the temprtature sensitivity of decomposition. Ecology 2005, 86, 320–326. [Google Scholar] [CrossRef]
- Nie, X.; Yang, L.; Xiong, F.; Li, C.; Fan, L.; Zhou, G. Aboveground biomass of the alpine shrub ecosystems in Three-River Source Region of the Tibetan Plateau. J. Mt. Sci. 2018, 15, 357–363. [Google Scholar] [CrossRef]
- Duan, K.; Yao, T.; Wang, K.; Tian, L.; Xu, B. The Difference in precipitation variabil ity between the north and south Tibetan Plateaus. J. Glaciol. Geocryol. 2008, 30, 726–732. [Google Scholar]
- Ding, J.; Li, F.; Yang, G.; Chen, L.; Zhang, B.; Liu, L.; Fang, K.; Qin, S.; Chen, Y.; Peng, Y.; et al. The permafrost carbon inventory on the Tibetan Plateau: A new evaluation using deep sediment cores. Glob. Chang. Biol. 2016, 22, 2688–2701. [Google Scholar] [CrossRef] [PubMed]
- Cleveland, C.C.; Wieder, W.R.; Reed, S.C.; Townsend, A.R. Experimental drought in a tropical rain forest increases soil carbon dioxide losses to the atmosphere. Ecology 2010, 91, 2313–2323. [Google Scholar] [CrossRef] [PubMed]
- Vergutz, L.; Manzoni, S.; Porporato, A.; Novais, R.F.; Jackson, R.B. Global resorption efficiencies and concentrations of carbon and nutrients in leaves of terrestrial plants. Ecol. Monogr. 2012, 82, 205–220. [Google Scholar] [CrossRef]
- Schreeg, L.A.; Mack, M.C.; Turner, B.L. Nutrient-specific solubility patterns of leaf litter across 41 lowland tropical woody species. Ecology 2013, 94, 94–105. [Google Scholar] [CrossRef]
- Sun, X.; Kang, H.; Chen, H.; Berg, B.; Bartels, S.F.; Liu, C. Biogeographic patterns of nutrient resorption from Quercus variabilis Blume leaves across China. Plant Biol. 2016, 18, 505–513. [Google Scholar] [CrossRef]
- Fang, J.; Chen, A.; Peng, C.; Zhao, S.; Ci, L. Changes in forest biomass carbon storage in China between 1949 and 1998. Science 2001, 292, 2320–2322. [Google Scholar] [CrossRef] [PubMed]
- Guo, Z.; Hu, H.; Li, P.; Li, N.; Fang, J. Spatio-temporal changes in biomass carbon sinks in China’s forests from 1977 to 2008. Sci. China Life Sci. 2013, 56, 661–671. [Google Scholar] [CrossRef]
- Piao, S.; Fang, J.; Zhou, L.; Tan, K.; Tao, S. Changes in biomass carbon stocks in China’s grasslands between 1982 and 1999. Glob. Biogeochem. Cycles 2007, 21, GB2002. [Google Scholar] [CrossRef]
- Ma, W.; Fang, J.; Yang, Y.; Mohammat, A. Biomass carbon stocks and their changes in northern China’s grasslands during 1982–2006. Sci. China Life Sci. 2010, 53, 841–850. [Google Scholar] [CrossRef] [PubMed]





| Shrubland Type | Area (104 km2) | Litter Standing Crop Density (kg m−2) | Litter Standing Crop Storage (Tg) | Litter Standing Crop Carbon Storage (Tg C) | ||||||
|---|---|---|---|---|---|---|---|---|---|---|
| Foliage | Branch | Litter | Foliage | Branch | Litter | Foliage | Branch | Litter | ||
| Desert shrublands | 6.69 | 0.03 | 0.22 | 0.25 | 2.11 | 14.63 | 16.74 | 0.82 | 6.58 | 7.40 |
| Alpine shrublands | 4.29 | 0.05 | 0.14 | 0.19 | 1.94 | 6.15 | 8.09 | 0.76 | 2.77 | 3.53 |
| Overall | 10.98 | 0.04 | 0.19 | 0.23 | 4.05 | 20.78 | 24.83 | 1.58 | 9.35 | 10.93 |
© 2019 by the authors. Licensee MDPI, Basel, Switzerland. This article is an open access article distributed under the terms and conditions of the Creative Commons Attribution (CC BY) license (http://creativecommons.org/licenses/by/4.0/).
Share and Cite
Nie, X.; Wang, D.; Yang, L.; Zhou, G. Storage and Climatic Controlling Factors of Litter Standing Crop Carbon in the Shrublands of the Tibetan Plateau. Forests 2019, 10, 987. https://doi.org/10.3390/f10110987
Nie X, Wang D, Yang L, Zhou G. Storage and Climatic Controlling Factors of Litter Standing Crop Carbon in the Shrublands of the Tibetan Plateau. Forests. 2019; 10(11):987. https://doi.org/10.3390/f10110987
Chicago/Turabian StyleNie, Xiuqing, Dong Wang, Lucun Yang, and Guoying Zhou. 2019. "Storage and Climatic Controlling Factors of Litter Standing Crop Carbon in the Shrublands of the Tibetan Plateau" Forests 10, no. 11: 987. https://doi.org/10.3390/f10110987
APA StyleNie, X., Wang, D., Yang, L., & Zhou, G. (2019). Storage and Climatic Controlling Factors of Litter Standing Crop Carbon in the Shrublands of the Tibetan Plateau. Forests, 10(11), 987. https://doi.org/10.3390/f10110987

