Response to Temperature and Virulence Assessment of Fusarium circinatum Isolates in the Context of Climate Change
Abstract
1. Introduction
2. Materials and Methods
2.1. Fusarium circinatum Isolates
2.2. Temperature Growth Experiments
2.3. Inoculation Experiments
2.4. Statistical Analyses
3. Results
3.1. Isolates Showed Differential Responses to Temperature
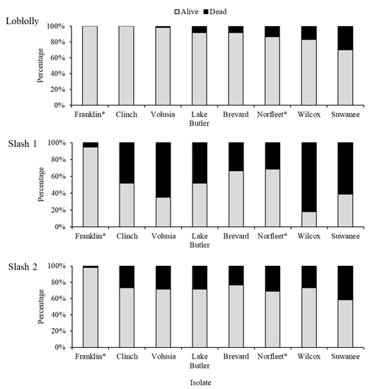
3.2. USDA Resistance Screening Tests Showed Differences in Virulence among Isolates
4. Discussion and Conclusions
Author Contributions
Funding
Acknowledgments
Conflicts of Interest
References
- Dwinell, L.D.; Barrow-Broaddus, J.B.; Kuhlman, E.G. Pitch canker: A disease complex of southern pines. Plant Dis. 1985, 69, 270–276. [Google Scholar] [CrossRef]
- Blakesley, G.M.; Dwinell, L.D.; Anderson, R.L. Pitch Canker of Southern Pines: Identification and Management Considerations; USDA Forest Service: Washington, DC, USA, 1980. [Google Scholar]
- Wingfield, M.J.; Hammerbacher, A.; Ganley, R.J.; Steenkamp, E.T.; Gordon, T.R.; Wingfield, B.D.; Coutinho, T.A. Pitch canker caused by Fusarium circinatum—A growing threat to pine plantations and forests worldwide. Australas. Plant Pathol. 2008, 37, 319–334. [Google Scholar] [CrossRef]
- Gordon, T.R.; Kirkpatrick, S.C.; Aegerter, B.J.; Wood, D.L.; Storer, A.J. Susceptibility of Douglas fir (Pseudotsuga menziesii) to pitch canker, caused by Gibberella circinata (anamorph = Fusarium circinatum). Plant Pathol. 2006, 55, 231–237. [Google Scholar] [CrossRef]
- Gordon, T.R. Pitch canker disease of pines. Phytopathology 2006, 96, 657–659. [Google Scholar] [CrossRef] [PubMed]
- Hepting, G.H.; Roth, E.R. Pitch canker, a new disease of some southern pines. J. For. 1946, 44, 742–744. [Google Scholar]
- Hepting, G.H.; Roth, E.R. Host relations and spread of the pine pitch canker disease. Phytopathology 1953, 43, 475. [Google Scholar]
- Pérez-Sierra, A.; Landeras, E.; León, M.; Berbegal, M.; García-Jiménez, J.; Armengol, J. Characterization of Fusarium circinatum from Pinus spp. in northern Spain. Mycol. Res. 2007, 111, 832–839. [Google Scholar] [CrossRef] [PubMed]
- Wingfield, M.J.; Jacobs, A.; Coutinho, T.A.; Ahumada, R.; Wingfield, B.D. First report of the pitch canker fungus, Fusarium circinatum, on pines in Chile. Plant Pathol. 2002, 51, 397. [Google Scholar] [CrossRef]
- Jacobs, A.; Coutinho, T.A.; Wingfield, M.J.; Ahumada, R.; Wingfield, B.D. Characterization of the pitch canker fungus, Fusarium circinatum, from Chile. S. Afr. J. Sci. 2007, 103, 253–257. [Google Scholar]
- Coutinho, T.A.; Steenkamp, E.T.; Mongwaketsi, K.; Wilmot, M.; Wingfield, M.J. First outbreak of pitch canker in a South African pine plantation. Australas. Plant Pathol. 2007, 36, 256–261. [Google Scholar] [CrossRef]
- Kobayashi, T.; Muramoto, M. Pitch canker of Pinus luchuensis, a new disease in Japanese forests. For. Pests 1989, 38, 169–173. [Google Scholar]
- Dick, M.A. Pine pitch canker—The threat to New Zealand. N. Z. For. 1998, 42, 30–34. [Google Scholar]
- Carlucci, A.; Colatruglio, L.; Frisullo, S. First Report of Pitch Canker Caused by Fusarium circinatum on Pinus halepensis and P. pinea in Apulia (Southern Italy). Plant Dis. 2007, 91, 1683. [Google Scholar] [CrossRef]
- McCain, A.H.; Koehler, C.S.; SA, T. Pitch canker threatens California pines. Calif. Agric. 1987, 41, 22–23. [Google Scholar]
- Neale, D.B.; Wegrzyn, J.L.; Stevens, K.A.; Zimin, A.V.; Puiu, D.; Crepeau, M.W.; Cardeno, C.; Koriabine, M.; Holtz-Morris, A.E.; Liechty, J.D.; et al. Decoding the massive genome of loblolly pine using haploid DNA and novel assembly strategies. Genome Biol. 2014, 15, R59. [Google Scholar] [CrossRef] [PubMed]
- Zimin, A.; Stevens, K.A.; Crepeau, M.W.; Holtz-Morris, A.; Koriabine, M.; Marçais, G.; Puiu, D.; Roberts, M.; Wegrzyn, J.L.; de Jong, P.J.; et al. Sequencing and assembly of the 22-gb loblolly pine genome. Genetics 2014, 196, 875–890. [Google Scholar] [CrossRef] [PubMed]
- Wingfield, B.D.; Steenkamp, E.T.; Santana, Q.C.; Coetzee, M.P.A.; Bam, S.; Barnes, I.; Beukes, C.W.; Chan, W.Y.; De Vos, L.; Fourie, G.; et al. First fungal genome sequence from Africa: A preliminary analysis. S. Afr. J. Sci. 2012, 108, 1–9. [Google Scholar] [CrossRef]
- Kayihan, G.C.; Huber, D.A.; Morse, A.M.; White, T.L.; Davis, J.M. Genetic dissection of fusiform rust and pitch canker disease traits in loblolly pine. Theor. Appl. Genet. 2005, 110, 948–958. [Google Scholar] [CrossRef]
- Quesada, T.; Gopal, V.; Cumbie, W.P.; Eckert, A.J.; Wegrzyn, J.L.; Neale, D.B.; Goldfarb, B.; Huber, D.A.; Casella, G.; Davis, J.M. Association Mapping of Quantitative Disease Resistance in a Natural Population of Loblolly Pine (Pinus taeda L.). Genetics 2010, 186, 677–686. [Google Scholar] [CrossRef]
- Easterling, D.R. Maximum and Minimum Temperature Trends for the Globe. Science 1997, 277, 364–367. [Google Scholar] [CrossRef]
- Marcott, S.A.; Shakun, J.D.; Clark, P.U.; Mix, A.C. A reconstruction of regional and global temperature for the past 11,300 years. Science 2013, 339, 1198–1201. [Google Scholar] [CrossRef] [PubMed]
- Wigley, T.M.; Raper, S.C. Interpretation of high projections for global-mean warming. Science 2001, 293, 451–454. [Google Scholar] [CrossRef]
- Karl, T.R.; Melillo, J.; Peterson, T.C. Global Climate Change Impacts in the United States; Cambridge University Press: Cambridge, UK, 2009; p. 196. [Google Scholar]
- Schiermeier, Q. Climate and weather: Extreme measures. Nature 2011, 477, 148–149. [Google Scholar] [CrossRef] [PubMed]
- Tilman, D.; Lehman, C. Human-caused environmental change: Impacts on plant diversity and evolution. Proc. Natl. Acad. Sci. USA 2001, 98, 5433–5440. [Google Scholar] [CrossRef] [PubMed]
- Beaumont, L.J.; Pitman, A.; Perkins, S.; Zimmermann, N.E.; Yoccoz, N.G.; Thuiller, W. Impacts of climate change on the world’s most exceptional ecoregions. Proc. Natl. Acad. Sci. USA 2011, 108, 2306–2311. [Google Scholar] [CrossRef] [PubMed]
- Kunkel, K.E.; Stevens, L.E.; Stevens, S.E.; Sun, L.; Jansen, E.; Wuebbles, D.; Konrad, C.E.; Fuhrman, C.M.; Keim, B.D.; Kruk, M.C.; et al. Regional Climate Trends and Scenarios for the U.S. National Climate Assessment. Part 2 Climate of the Southeast U.S.; National Oceanic and Atmospheric Administration: Washington, DC, USA, 2013; Volume 3, pp. 142–143. [Google Scholar]
- Dale, V.H.; Joyce, L.A.; McNulty, S.; Neilson, R.P.; Ayres, M.P.; Flannigan, M.D.; Hanson, P.J.; Irland, L.C.; Lugo, A.E.; Peterson, C.J.; et al. Climate change and forest disturbances. BioScience 2001, 51, 723–734. [Google Scholar] [CrossRef]
- Ayres, P. The Interaction Between Environmental Stress Injury and Biotic Disease Physiology. Annu. Rev. Phytopathol. 1984, 22, 53–75. [Google Scholar] [CrossRef]
- Coakley, S.M.; Scherm, H.; Chakraborty, S. Climate change and plant disease management. Annu. Rev. Phytopathol. 1999, 37, 399–426. [Google Scholar] [CrossRef]
- Rohrs-Richey, J.K.; Mulder, C.P.H.; Winton, L.M.; Stanosz, G. Physiological performance of an Alaskan shrub (Alnus fruticosa) in response to disease (Valsa melanodiscus) and water stress. New Phytol. 2011, 189, 295–307. [Google Scholar] [CrossRef]
- Roos, J.; Hopkins, R.; Kvarnheden, A.; Dixelius, C. The impact of global warming on plant diseases and insect vectors in Sweden. Eur. J. Plant Pathol. 2011, 129, 9–19. [Google Scholar] [CrossRef]
- McNew, G.L. Plant Pathology: An Advanced Treatise; Horsfall, J.G., Dimond, A.E., Eds.; Academic Press: New York, NY, USA; London, UK, 1960; Volume 2. [Google Scholar]
- Garrett, K.A.; Jumpponen, A.; Toomajian, C.; Gomez-Montano, L. Climate change and plant health: Designing research spillover from plant genomics for understanding the role of microbial communities. Can. J. Plant Pathol. 2012, 34, 349–361. [Google Scholar] [CrossRef]
- Cowling, E.; Young, C. Narrative history of the resistance screening center: It’s origins, leadership and partial list of public benefits and scientific contributions. Forests 2013, 4, 666–692. [Google Scholar] [CrossRef]
- Young, C.H.; Minton, B.S.; Bronson, J.J. Resistance Screening Center Procedures Manual: A Guide Used in the Operational Screening of Pines for Resistance to Pitch Canker Disease; United States Department of Agriculture Forest Service Southern: Asheville, NC, USA, 2006; p. 25. [Google Scholar]
- Pinkard, E.A.; Battaglia, M.; Roxburgh, S.; O’Grady, A.P. Estimating forest net primary production under changing climate: Adding pests into the equation. Tree Physiol. 2011, 31, 686–699. [Google Scholar] [CrossRef] [PubMed]
- Storer, A.J.; Gordon, T.R.; Wood, D.L.; Bonello, P. Pitch canker disease of pines—Current and future impacts. J. For. 1997, 95, 21–26. [Google Scholar]
- Davydenko, K.; Nowakowska, J.; Kaluski, T.; Gawlak, M.; Sadowska, K.; García, J.; Diez, J.; Okorski, A.; Oszako, T. A Comparative Study of the Pathogenicity of Fusarium circinatum and other Fusarium Species in Polish Provenances of P. sylvestris L. Forests 2018, 9, 560. [Google Scholar] [CrossRef]
- Martín-García, J.; Lukačevičová, A.; Flores-Pacheco, J.; Diez, J.; Dvořák, M. Evaluation of the Susceptibility of Several Czech Conifer Provenances to Fusarium circinatum. Forests 2018, 9, 72. [Google Scholar] [CrossRef]
- Martín-García, J.; Paraschiv, M.; Flores-Pacheco, J.; Chira, D.; Diez, J.; Fernández, M. Susceptibility of Several Northeastern Conifers to Fusarium circinatum and Strategies for Biocontrol. Forests 2017, 8, 318. [Google Scholar] [CrossRef]
- De Vos, L.; van der Nest, M.A.; van der Merwe, N.A.; Myburg, A.A.; Wingfield, M.J.; Wingfield, B.D. Genetic analysis of growth, morphology and pathogenicity in the F(1) progeny of an interspecific cross between Fusarium circinatum and Fusarium subglutinans. Fungal Biol. 2011, 115, 902–908. [Google Scholar] [CrossRef]
- Schneider, C.A.; Rasband, W.S.; Eliceiri, K.W. NIH Image to ImageJ: 25 years of image analysis. Nat. Methods 2012, 9, 671–675. [Google Scholar] [CrossRef]
- Battisti, A.; Stastny, M.; Netherer, S.; Robinet, C.; Schopf, A.; Roques, A.; Larsson, S. Expansion of geographic range in the pine processionary moth caused by increased winter temperatures. Ecol. Appl. 2005, 15, 2084–2096. [Google Scholar] [CrossRef]
- Ramsfield, T.D.; Bentz, B.J.; Faccoli, M.; Jactel, H.; Brockerhoff, E.G. Forest health in a changing world: Effects of globalization and climate change on forest insect and pathogen impacts. Forestry 2016, 89, 245–252. [Google Scholar] [CrossRef]
- Mullett, M.; Pérez-Sierra, A.; Armengol, J.; Berbegal, M. Phenotypical and Molecular Characterisation of Fusarium circinatum: Correlation with Virulence and Fungicide Sensitivity. Forests 2017, 8, 458. [Google Scholar] [CrossRef]
- Serrano, Y.; Iturritxa, E.; Elvira-Recuenco, M.; Raposo, R. Survival of Fusarium circinatum in soil and Pinus radiata needle and branch segments. Plant Pathol. 2017, 66, 934–940. [Google Scholar] [CrossRef]
- Dahmen, H.; Staub, T.; Schwinn, F.J. Technique for Long-Term Preservation of Phytopathogenic Fungi in Liquid Nitrogen. Phytopathology 1983, 73, 241–246. [Google Scholar] [CrossRef]
- Storer, A.J.; Bonello, P.; Gordon, T.R.; Wood, D.L. Evidence of resistance to the pitch canker pathogen (Fusarium circinatum) in native stands of monterey pine (Pinus radiata). For. Sci. 1999, 45, 500–505. [Google Scholar]
- Storer, A.J.; Wood, D.L.; Gordon, T.R. The epidemiology of pitch canker of Monterey pine in California. For. Sci. 2002, 48, 694–700. [Google Scholar]
- Schmale, D.G.; Gordon, T.R. Variation in susceptibility to pitch canker disease, caused by Fusarium circinatum, in native stands of Pinus muricata. Plant Pathol. 2003, 52, 720–725. [Google Scholar] [CrossRef]
- Britz, H.; Coutinho, T.A.; Wingfield, B.D.; Marasas, W.F.O.; Wingfield, M.J. Diversity and differentiation in two populations of Gibberella circinata in South Africa. Plant Pathol. 2005, 54, 46–52. [Google Scholar] [CrossRef]
- Britz, H.; Couhnho, T.A.; Gordon, T.R.; Wingfield, M.J. Characterisation of the pitch canker fungus, Fusarium circinatum, from Mexico. S. Afr. J. Bot. 2001, 67, 609–614. [Google Scholar] [CrossRef]







| Effect | Mean Mycelium Diameter | Mean Microconidia/μL | Mean Germinated Microconidia/μL |
|---|---|---|---|
| Incubator | 0.4328 | 0.0763 | 0.0552 |
| Temp | <0.0001 | <0.0001 | 0.0097 |
| Isolate | <0.0001 | <0.0001 | 0.0002 |
| Temp × Isolate | <0.0001 | 0.0171 | 0.0115 |
| Source | DF | Sum of Squares | F Ratio | Prob > F |
|---|---|---|---|---|
| Rep | 2 | 3072.86 | 1.578 | 0.2069 |
| Isolate | 7 | 507,144.2 | 74.4112 | <0.0001 |
| Family | 2 | 535,146.29 | 274.8194 | <0.0001 |
| Isolate × Family | 14 | 81,026.98 | 5.9444 | <0.0001 |
© 2019 by the authors. Licensee MDPI, Basel, Switzerland. This article is an open access article distributed under the terms and conditions of the Creative Commons Attribution (CC BY) license (http://creativecommons.org/licenses/by/4.0/).
Share and Cite
Quesada, T.; Lucas, S.; Smith, K.; Smith, J. Response to Temperature and Virulence Assessment of Fusarium circinatum Isolates in the Context of Climate Change. Forests 2019, 10, 40. https://doi.org/10.3390/f10010040
Quesada T, Lucas S, Smith K, Smith J. Response to Temperature and Virulence Assessment of Fusarium circinatum Isolates in the Context of Climate Change. Forests. 2019; 10(1):40. https://doi.org/10.3390/f10010040
Chicago/Turabian StyleQuesada, Tania, Sunny Lucas, Katherine Smith, and Jason Smith. 2019. "Response to Temperature and Virulence Assessment of Fusarium circinatum Isolates in the Context of Climate Change" Forests 10, no. 1: 40. https://doi.org/10.3390/f10010040
APA StyleQuesada, T., Lucas, S., Smith, K., & Smith, J. (2019). Response to Temperature and Virulence Assessment of Fusarium circinatum Isolates in the Context of Climate Change. Forests, 10(1), 40. https://doi.org/10.3390/f10010040

