Searching via Nonlinear Quantum Walk on the 2D-Grid
Abstract
1. Introduction
2. Model
2.1. The Linear Algorithm
| Algorithm 1: Searching algorithm for the -grid |
![]() |
2.2. Adding a Nonlinearity
| Algorithm 2: Searching with a nonlinear algorithm for the -grid |
![]() |
3. Numerical Results
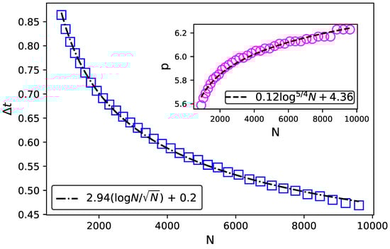
4. Scale Analysis
- A strictly linear regime, when , which appears periodically with a period
- A nonlinear regime, when is maximum. In this case, and consequently the period is constant:
5. Discussion
Author Contributions
Funding
Acknowledgments
Conflicts of Interest
References
- Grover, L.K. A Fast Quantum Mechanical Algorithm for Database Search. In Proceedings of the Twenty-Eighth Annual ACM Symposium on Theory of Computing, Philadelphia, PA, USA, 22–24 May 1996; pp. 212–219. [Google Scholar]
- Childs, A.M.; Goldstone, J. Spatial search by quantum walk. Phys. Rev. A 2004, 70, 022314. [Google Scholar]
- Venegas-Andraca, S.E. Quantum walks: A comprehensive review. Quantum Inf. Process. 2012, 11, 1015–1106. [Google Scholar]
- Di Molfetta, G.; Arrighi, P. A quantum walk with both a continuous-time limit and a continuous-spacetime limit. Quantum Inf. Process. 2020, 19, 47. [Google Scholar]
- Manighalam, M.; Di Molfetta, G. Continuous Time Limit of the DTQW in 2D+ 1 and Plasticity. arXiv 2020, arXiv:2007.01425. [Google Scholar]
- Ambainis, A. Quantum walk algorithm for element distinctness. SIAM J. Comput. 2007, 37, 210–239. [Google Scholar]
- Childs, A.M.; Cleve, R.; Deotto, E.; Farhi, E.; Gutmann, S.; Spielman, D.A. Exponential algorithmic speedup by a quantum walk. In Proceedings of the Thirty-Fifth Annual ACM Symposium on Theory of Computing, San Diego, CA, USA, 9–11 June 2003; pp. 59–68. [Google Scholar]
- Childs, A.M. Universal computation by quantum walk. Phys. Rev. Lett. 2009, 102, 180501. [Google Scholar]
- Hatifi, M.; Di Molfetta, G.; Debbasch, F.; Brachet, M. Quantum walk hydrodynamics. Sci. Rep. 2019, 9, 1–7. [Google Scholar]
- Di Molfetta, G.; Pérez, A. Quantum walks as simulators of neutrino oscillations in a vacuum and matter. New J. Phys. 2016, 18, 103038. [Google Scholar]
- Di Molfetta, G.; Brachet, M.; Debbasch, F. Quantum walks as massless Dirac fermions in curved space-time. Phys. Rev. A 2013, 88, 042301. [Google Scholar]
- Arrighi, P.; Di Molfetta, G.; Márquez-Martín, I.; Pérez, A. Dirac equation as a quantum walk over the honeycomb and triangular lattices. Phys. Rev. A 2018, 97, 062111. [Google Scholar]
- Roget, M.; Guillet, S.; Arrighi, P.; Di Molfetta, G. Grover Search as a Naturally Occurring Phenomenon. Phys. Rev. Lett. 2020, 124, 180501. [Google Scholar]
- Childs, A.M.; Gosset, D.; Webb, Z. Universal computation by multiparticle quantum walk. Science 2013, 339, 791–794. [Google Scholar] [PubMed]
- Ebrahimi Kahou, M.; Feder, D.L. Quantum search with interacting Bose-Einstein condensates. Phys. Rev. A 2013, 88, 032310. [Google Scholar] [CrossRef]
- Kevrekidis, P.G.; Frantzeskakis, D.J.; Carretero-González, R. Emergent Nonlinear Phenomena in Bose-Einstein Condensates: Theory and Experiment; Springer Science & Business Media: Berlin/Heidelberg, Germany, 2007; Volume 45. [Google Scholar]
- Alberti, A.; Wimberger, S. Quantum walk of a Bose-Einstein condensate in the Brillouin zone. Phys. Rev. A 2017, 96, 023620. [Google Scholar]
- Abrams, D.S.; Lloyd, S. Nonlinear Quantum Mechanics Implies Polynomial-Time Solution forNP-Complete and PProblems. Phys. Rev. Lett. 1998, 81, 3992–3995. [Google Scholar] [CrossRef]
- Di Molfetta, G.; Debbasch, F.; Brachet, M. Nonlinear Optical Galton Board: Thermalization and continuous limit. Phys. Rev. E 2015, 92, 042923. [Google Scholar]
- Navarrete-Benlloch, C.; Pérez, A.; Roldán, E. Nonlinear optical Galton board. Phys. Rev. A 2007, 75. [Google Scholar] [CrossRef]
- Shikano, Y.; Wada, T.; Horikawa, J. Discrete-time quantum walk with feed-forward quantum coin. Sci. Rep. 2014, 4, 4427. [Google Scholar]
- Meyer, D.A.; Wong, T.G. Nonlinear quantum search using the Gross–Pitaevskii equation. New J. Phys. 2013, 15, 063014. [Google Scholar] [CrossRef]
- Childs, A.M.; Goldstone, J. Spatial search and the Dirac equation. Phys. Rev. A 2004, 70, 042312. [Google Scholar]
- Ambainis, A.; Kempe, J.; Rivosh, A. Coins Make Quantum Walks Faster. arXiv 2004, arXiv:0402107. [Google Scholar]
- Foulger, I.; Gnutzmann, S.; Tanner, G. Quantum search on graphene lattices. Phys. Rev. Lett. 2014, 112, 070504. [Google Scholar] [PubMed]
- Childs, A.M.; Ge, Y. Spatial search by continuous-time quantum walks on crystal lattices. Phys. Rev. A 2014, 89. [Google Scholar] [CrossRef]
- Susskind, L. Lattice fermions. Phys. Rev. D 1977, 16, 3031. [Google Scholar]
- Chakraborty, S.; Novo, L.; Roland, J. Finding a marked node on any graph via continuous-time quantum walks. Phys. Rev. A 2020, 102, 022227. [Google Scholar] [CrossRef]
- Kohl, R.; Biswas, A.; Milovic, D.; Zerrad, E. Optical soliton perturbation in a non-Kerr law media. Opt. Laser Technol. 2008, 40, 647–662. [Google Scholar]
- Zhang, Z.y.; Liu, Z.h.; Miao, X.j.; Chen, Y.z. New exact solutions to the perturbed nonlinear Schrödinger’s equation with Kerr law nonlinearity. Appl. Math. Comput. 2010, 216, 3064–3072. [Google Scholar]
- Einstein, A. Quantentheorie des einatomigen idealen Gases. SB Preuss. Akad. Wiss. Phys. Math. Klasse 1925, 8, 3–14. [Google Scholar]
- Bose, S.N. Plancks gesetz und lichtquantenhypothese. Z. Physik 1924, 26, 178–181. [Google Scholar]
- Erdos, L.; Schlein, B.; Yau, H.T. Derivation of the Gross-Pitaevskii equation for the dynamics of Bose-Einstein condensate. Commun. Pure Appl. Math. 2006, 59, 12–1659. [Google Scholar]
- Cornell, E.A.; Wieman, C.E. Nobel Lecture: Bose-Einstein condensation in a dilute gas, the first 70 years and some recent experiments. Rev. Mod. Phys. 2002, 74, 875. [Google Scholar]
- Nikuni, T.; Oshikawa, M.; Oosawa, A.; Tanaka, H. Bose-Einstein condensation of dilute magnons in TlCuCl 3. Phys. Rev. Lett. 2000, 84, 5868. [Google Scholar] [PubMed]
- O’Callaghan, J. Quantum clouds in orbit. New Sci. 2020, 246, 16. [Google Scholar]
- Xie, D.; Deng, T.S.; Xiao, T.; Gou, W.; Chen, T.; Yi, W.; Yan, B. Topological Quantum Walks in Momentum Space with a Bose-Einstein Condensate. Phys. Rev. Lett. 2020, 124, 050502. [Google Scholar] [CrossRef]
- Meyer, D.A.; Wong, T.G. Quantum search with general nonlinearities. Phys. Rev. A 2014, 89, 012312. [Google Scholar]
- Farhi, E.; Gutmann, S. Analog analogue of a digital quantum computation. Phys. Rev. A 1998, 57, 2403. [Google Scholar]
- Bollinger, J.J.; Itano, W.M.; Wineland, D.J.; Heinzen, D.J. Optimal frequency measurements with maximally correlated states. Phys. Rev. A 1996, 54, R4649–R4652. [Google Scholar] [CrossRef] [PubMed]







Publisher’s Note: MDPI stays neutral with regard to jurisdictional claims in published maps and institutional affiliations. |
© 2020 by the authors. Licensee MDPI, Basel, Switzerland. This article is an open access article distributed under the terms and conditions of the Creative Commons Attribution (CC BY) license (http://creativecommons.org/licenses/by/4.0/).
Share and Cite
Di Molfetta, G.; Herzog, B. Searching via Nonlinear Quantum Walk on the 2D-Grid. Algorithms 2020, 13, 305. https://doi.org/10.3390/a13110305
Di Molfetta G, Herzog B. Searching via Nonlinear Quantum Walk on the 2D-Grid. Algorithms. 2020; 13(11):305. https://doi.org/10.3390/a13110305
Chicago/Turabian StyleDi Molfetta, Giuseppe, and Basile Herzog. 2020. "Searching via Nonlinear Quantum Walk on the 2D-Grid" Algorithms 13, no. 11: 305. https://doi.org/10.3390/a13110305
APA StyleDi Molfetta, G., & Herzog, B. (2020). Searching via Nonlinear Quantum Walk on the 2D-Grid. Algorithms, 13(11), 305. https://doi.org/10.3390/a13110305



