Controlled Defects of Zinc Oxide Nanorods for Efficient Visible Light Photocatalytic Degradation of Phenol
Abstract
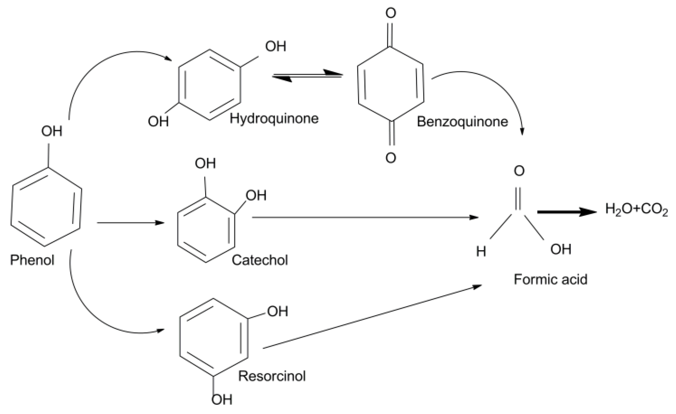
:1. Introduction
2. Results and Discussion
3. Materials and Methods
3.1. Preparation of Zinc Oxide Nanorods
3.2. Characterization
3.3. Photocatalytic Activity Test
3.4. Analytical Method of Degradation Assay
4. Conclusions
Acknowledgments
Author Contributions
Conflicts of Interest
References
- Choquette-Labbé, M.; Shewa, W.A.; Lalman, J.A.; Shanmugam, S.R. Photocatalytic degradation of phenol and phenol derivatives using a nano-TiO2 catalyst: Integrating quantitative and qualitative factors using response surface methodology. Water 2014, 6, 1785–1806. [Google Scholar] [CrossRef]
- Ahmed, A.B.; Jibril, B.; Danwittayakul, S.; Dutta, J. Microwave-enhanced degradation of phenol over Ni-loaded ZnO nanorods catalyst. Appl. Catal. B 2014, 156, 456–465. [Google Scholar] [CrossRef]
- Abdelouahab, N.; Ainmelk, Y.; Takser, L. Polybrominated diphenyl ethers and sperm quality. Reprod. Toxicol. 2011, 31, 546–550. [Google Scholar] [CrossRef] [PubMed]
- Niedan, V.; Pavasars, I.; Öberg, G. Chloroperoxidase-mediated chlorination of aromatic groups in fulvic acid. Chemosphere 2000, 41, 779–785. [Google Scholar] [CrossRef]
- Fries, E.; Püttmann, W. Occurrence and behavior of 4-nonylphenol in river water of Germany. J. Environ. Monit. 2003, 5, 598–603. [Google Scholar] [CrossRef] [PubMed]
- Berryman, D.; Houde, F.; DeBlois, C.; O’Shea, M. Nonylphenolic compounds in drinking and surface waters downstream of treated textile and pulp and paper effluents: A survey and preliminary assessment of their potential effects on public health and aquatic life. Chemosphere 2004, 56, 247–255. [Google Scholar] [CrossRef] [PubMed]
- Pocurull, E.; Marcé, R.M.; Borrull, F. Determination of phenolic compounds in natural waters by liquid chromatography with ultraviolet and electrochemical detection after on-line trace enrichment. J. Chromatogr. A 1996, 738, 1–9. [Google Scholar] [CrossRef]
- Bruce, R.M.; Santodonato, J.; Neal, M.W. Summary review of the health effects associated with phenol. Toxicol. Ind. Health 1987, 3, 535–568. [Google Scholar] [PubMed]
- Fulekar, M.H.; Pathak, B.; Kale, R.K. Nanotechnology: Perspective for environmental sustainability. In Environment and Sustainable Development, 1st ed.; Fulekar, M.H., Pathak, B., Kale, R.K., Eds.; Springer India: New Delhi, India, 2014; pp. 87–114. [Google Scholar]
- Tao, Y.; Cheng, Z.L.; Ting, K.E.; Yin, X.J. Photocatalytic degradation of phenol using a nanocatalyst: The mechanism and kinetics. J. Catal. 2013, 2013, 1–6. [Google Scholar] [CrossRef]
- Yoon, T.P.; Ischay, M.A.; Du, J. Visible light photocatalysis as a greener approach to photochemical synthesis. Nat. Chem. 2010, 2, 527–532. [Google Scholar] [CrossRef] [PubMed]
- Lavand, A.B.; Malghe, Y.S. Synthesis, characterization and visible light photocatalytic activity of nitrogen-doped zinc oxide nanospheres. J. Asian Ceram. Soc. 2015, 3, 305–310. [Google Scholar] [CrossRef]
- Hu, Y.; Chen, G.; Li, C.; Yu, Y.; Sun, J.; Dong, H. Improved light absorption and photocatalytic activity of Zn, N-TiO2−x rich in oxygen vacancies synthesized by nitridation and hydrogenation. New J. Chem. 2015, 39, 2417–2420. [Google Scholar] [CrossRef]
- Devi, V.; Joshi, B.C.; Kumar, M.; Choudhary, R.J. Structural and optical properties of Cd and Mg doped zinc oxide thin films deposited by pulsed laser deposition. J. Phys. 2014, 534, 012047. [Google Scholar] [CrossRef]
- Zhen, Z.; Ji-ling, S.; Jia-hong, Z.; Jian-she, L. Optical properties and photocatalytic activity of Nd-doped ZnO powders. Trans. Nonferrous Met. Soc. 2014, 24, 1434–1439. [Google Scholar]
- Georgekutty, R.; Seery, M.K.; Pillai, S.C. A highly efficient Ag-ZnO photocatalyst: Synthesis, properties, and mechanism. J. Phys. Chem. C 2008, 112, 13563–13570. [Google Scholar] [CrossRef]
- Rahimi, R.; Shokrayian, J.; Rabbani, M. Photocatalytic removing of methylene blue by using of Cu-doped ZnO, Ag-doped ZnO and Cu, Ag-codoped ZnO nanostructures. In Proceedings of the 17th International Electronic Conference on Synthetic Organic Chemistry, Lugo, Spain, 1–30 November 2013.
- Ruiz Peralta, M.D.L.; Pal, U.; Zeferino, R.S. Photoluminescence (PL) quenching and enhanced photocatalytic activity of Au-decorated ZnO nanorods fabricated through microwave-assisted chemical synthesis. ACS Appl. Mater. Interfaces 2012, 4, 4807–4816. [Google Scholar] [CrossRef] [PubMed]
- Zhang, Y.; Xu, J.; Xu, P.; Zhu, Y.; Chen, X.; Yu, W. Decoration of ZnO nanowires with Pt nanoparticles and their improved gas sensing and photocatalytic performance. Nanotechnology 2010, 21, 285501. [Google Scholar] [CrossRef] [PubMed]
- Bora, T.; Kyaw, H.H.; Sarkar, S.; Pal, S.K.; Dutta, J. Highly efficient ZnO/Au Schottky barrier dye-sensitized solar cells: Role of gold nanoparticles on the charge-transfer process. Beilstein J. Nanotechnol. 2011, 2, 681–690. [Google Scholar] [CrossRef] [PubMed]
- Saoud, K.; Alsoubaihi, R.; Bensalah, N.; Bora, T.; Bertino, M.; Dutta, J. Synthesis of supported silver nano-spheres on zinc oxide nanorods for visible light photocatalytic applications. Mater. Res. Bull. 2015, 63, 134–140. [Google Scholar] [CrossRef]
- Khan, M.N.; Al-Hinai, M.; Al-Hinai, A.; Dutta, J. Visible light photocatalysis of mixed phase zinc stannate/zinc oxide nanostructures precipitated at room temperature in aqueous media. Ceram. Int. 2014, 40, 8743–8752. [Google Scholar] [CrossRef]
- Zhang, Y.; Gan, H.; Zhang, G. A novel mixed-phase TiO2/kaolinite composites and their photocatalytic activity for degradation of organic contaminants. Chem. Eng. J. 2011, 172, 936–943. [Google Scholar] [CrossRef]
- Lin, X.; Xing, J.; Wang, W.; Shan, Z.; Xu, F.; Huang, F. Photocatalytic activities of heterojunction semiconductors Bi2O3/BaTiO3: A strategy for the design of efficient combined photocatalysts. J. Phys. Chem. C 2007, 111, 18288–18293. [Google Scholar] [CrossRef]
- Thompson, T.L.; Yates, J.T., Jr. TiO2-based photocatalysis: Surface defects, oxygen and charge transfer. Top. Catal. 2005, 35, 197–210. [Google Scholar] [CrossRef]
- Liu, S.; Li, C.; Yu, J.; Xiang, Q. Improved visible-light photocatalytic activity of porous carbon self-doped ZnO nanosheet-assembled flowers. CrystEngComm 2011, 13, 2533–2541. [Google Scholar] [CrossRef]
- Zhang, X.; Qin, J.; Xue, Y.; Yu, P.; Zhang, B.; Wang, L.; Liu, R. Effect of aspect ratio and surface defects on the photocatalytic activity of ZnO nanorods. Sci. Rep. 2014, 4, 4596. [Google Scholar] [CrossRef] [PubMed]
- Chen, D.; Wang, Z.; Ren, T.; Ding, H.; Yao, W.; Zong, R.; Zhu, Y. Influence of defects on the photocatalytic activity of ZnO. J. Phys. Chem. C 2014, 118, 15300–15307. [Google Scholar] [CrossRef]
- Fang, J.; Fan, H.; Ma, Y.; Wang, Z.; Chang, Q. Surface defects control for ZnO nanorods synthesized by quenching and their anti-recombination in photocatalysis. Appl. Surf. Sci. 2015, 332, 47–54. [Google Scholar] [CrossRef]
- Desai, U.V.; Xu, C.; Wu, J.; Gao, D. Solid-state dye-sensitized solar cells based on ordered ZnO nanowire arrays. Nanotechnology 2012, 23, 205401. [Google Scholar] [CrossRef] [PubMed]
- Kang, D.; Liu, A.; Bian, J.; Sang, Y. Optoelectronic characteristics of zinc oxide nanorods/P3HT hybrid junctions investigated using surface photovoltage method. Solid State Lett. 2012, 1, 15–17. [Google Scholar] [CrossRef]
- Janotti, A.; Van de Walle, C.G. Native point defects in ZnO. Phys. Rev. B 2007, 76, 165202. [Google Scholar] [CrossRef]
- Ye, J.D.; Gu, S.L.; Qin, F.; Zhu, S.M.; Liu, S.M.; Zhou, X.; Liu, W.; Hu, L.Q.; Zhang, R.; Shi, Y.; et al. Correlation between green luminescence and morphology evolution of ZnO films. Appl. Phys. A 2005, 81, 759–762. [Google Scholar] [CrossRef]
- Erhart, P.; Albe, K. First-principles study of migration mechanisms and diffusion of oxygen in zinc oxide. Phys. Rev. B 2006, 73, 115207. [Google Scholar] [CrossRef]
- Chen, M.; Wang, X.; Yu, Y.H.; Pei, Z.L.; Bai, X.D.; Sun, C.; Huang, R.F.; Wen, L.S. X-ray photoelectron spectroscopy and auger electron spectroscopy studies of Al-doped ZnO films. Appl. Surf. Sci. 2000, 158, 134–140. [Google Scholar] [CrossRef]
- Major, S.; Kumar, S.; Bhatnagar, M.; Chopra, K.L. Effect of hydrogen plasma treatment on transparent conducting oxides. Appl. Phys. Lett. 1986, 49, 394–396. [Google Scholar] [CrossRef]
- Hsieh, P.T.; Chen, Y.C.; Kao, K.S.; Wang, C.M. Luminescence mechanism of ZnO thin film investigated by XPS measurement. Appl. Phys. A 2008, 90, 317–321. [Google Scholar] [CrossRef]
- Szörényi, T.; Laude, L.D.; Bertoti, I.; Kantor, Z.; Geretovszky, Z. Excimer laser processing of indium-tin-oxide films: An optical investigation. J. Appl. Phys. 1995, 78, 6211–6219. [Google Scholar] [CrossRef]
- Wei, S.; Lian, J.; Wu, H. Annealing effect on the photoluminescence properties of ZnO nanorod array prepared by a PLD-assistant wet chemical method. Mater. Charact. 2010, 61, 1239–1244. [Google Scholar] [CrossRef]
- Wei, X.Q.; Zhang, Z.G.; Liu, M.; Chen, C.S.; Sun, G.; Xue, C.S.; Zhuang, H.Z.; Man, B.Y. Annealing effect on the microstructure and photoluminescence of ZnO thin films. Mater. Chem. Phys. 2007, 101, 285–290. [Google Scholar] [CrossRef]
- Baruah, S.; Sinha, S.S.; Ghosh, B.; Pal, S.K.; Raychaudhuri, A.K.; Dutta, J. Photoreactivity of ZnO nanoparticles in visible light: Effect of surface states on electron transfer reaction. J. Appl. Phys. 2009, 105, 074308. [Google Scholar] [CrossRef]
- Kavitha, M.K.; Jinesh, K.B.; Philip, R.; Gopinath, P.; John, H. Defect engineering in ZnO nanocones for visible photoconductivity and nonlinear absorption. Phys. Chem. Chem. Phys. 2014, 16, 25093–25100. [Google Scholar] [CrossRef] [PubMed]
- Al-Hamdi, A.M.; Sillanpää, M.; Dutta, J. Intermediate formation during photodegradation of phenol using lanthanum doped tin dioxide nanoparticles. Res. Chem. Intermed. 2016, 42, 3055–3069. [Google Scholar] [CrossRef]
- Baruah, S.; Mahmood, M.A.; Myint, M.T.Z.; Bora, T.; Dutta, J. Enhanced visible light photocatalysis through fast crystallization of zinc oxide nanorods. Beilstein J. Nanotechnol. 2010, 1, 14–20. [Google Scholar] [CrossRef] [PubMed]
- Baruah, S.; Dutta, J. Hydrothermal growth of ZnO nanostructures. Sci. Technol. Adv. Mater. 2009, 10, 013001. [Google Scholar] [CrossRef]






© 2016 by the authors; licensee MDPI, Basel, Switzerland. This article is an open access article distributed under the terms and conditions of the Creative Commons by Attribution (CC-BY) license (http://creativecommons.org/licenses/by/4.0/).
Share and Cite
Al-Sabahi, J.; Bora, T.; Al-Abri, M.; Dutta, J. Controlled Defects of Zinc Oxide Nanorods for Efficient Visible Light Photocatalytic Degradation of Phenol. Materials 2016, 9, 238. https://doi.org/10.3390/ma9040238
Al-Sabahi J, Bora T, Al-Abri M, Dutta J. Controlled Defects of Zinc Oxide Nanorods for Efficient Visible Light Photocatalytic Degradation of Phenol. Materials. 2016; 9(4):238. https://doi.org/10.3390/ma9040238
Chicago/Turabian StyleAl-Sabahi, Jamal, Tanujjal Bora, Mohammed Al-Abri, and Joydeep Dutta. 2016. "Controlled Defects of Zinc Oxide Nanorods for Efficient Visible Light Photocatalytic Degradation of Phenol" Materials 9, no. 4: 238. https://doi.org/10.3390/ma9040238
APA StyleAl-Sabahi, J., Bora, T., Al-Abri, M., & Dutta, J. (2016). Controlled Defects of Zinc Oxide Nanorods for Efficient Visible Light Photocatalytic Degradation of Phenol. Materials, 9(4), 238. https://doi.org/10.3390/ma9040238

