Terpyridine and Quaterpyridine Complexes as Sensitizers for Photovoltaic Applications
Abstract
:1. Introduction
2. Synthesis
2.1. Terpyridine Core
2.2. Functionalization of Terpyridines
2.3. Quaterpyridine Synthesis and Complex Formation
3. Modifications of Black Dye and Structure-Properties Relationships on Devices
3.1. Terpyridine modification
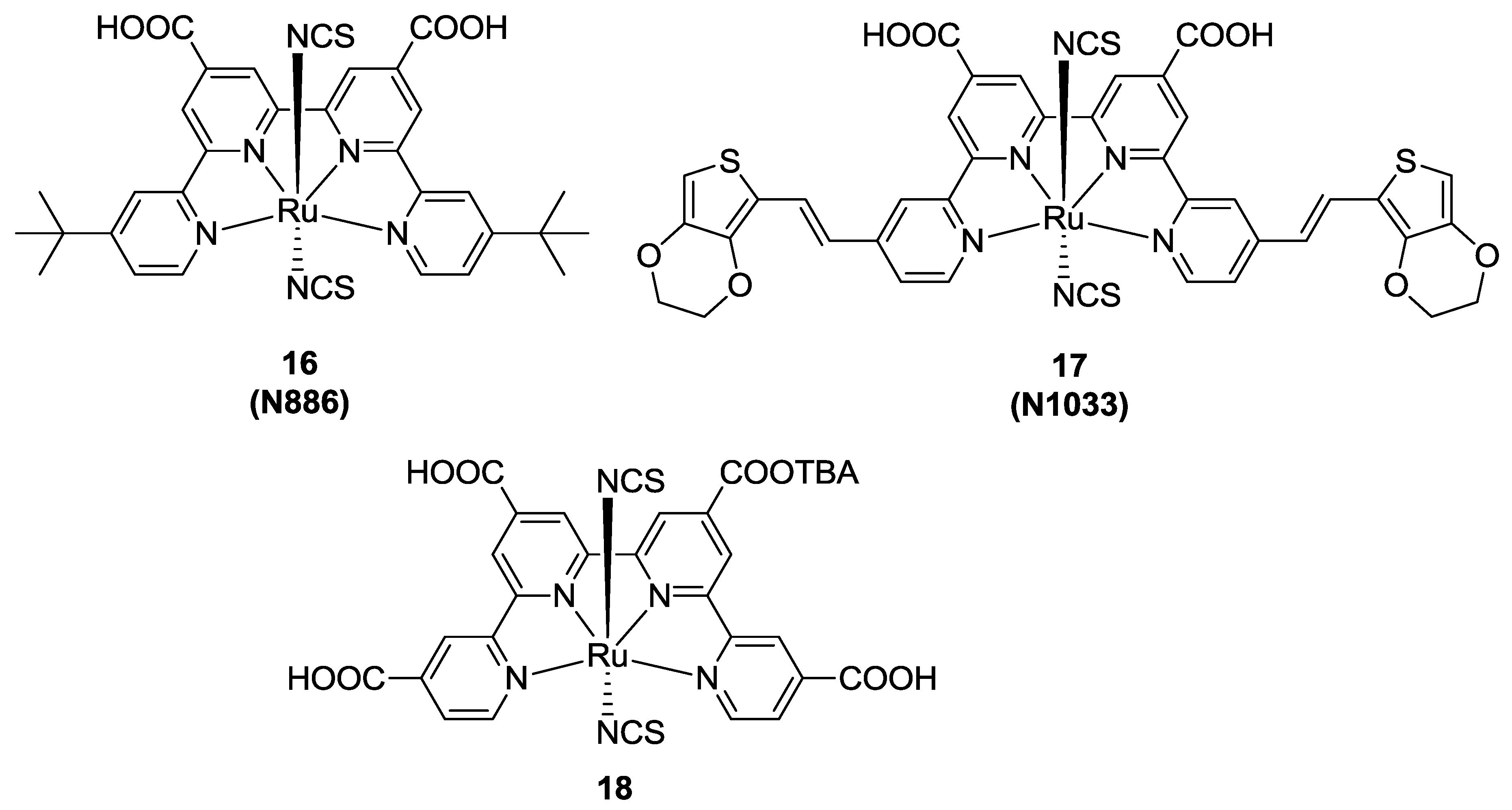
Quaterpyridine Ligand
3.2. Substitution of Ancillary Ligands: Heteroleptic and Cyclometalated Complexes
3.2.1. Bipyridines
3.2.2. Bis-Terpyridine
3.2.3. Phenylpyridine and Pyrimidine
3.2.4. β Diketonate Ligands
3.2.5. Pyrazolyl Ligands
3.2.6. Phenyl Bipyridines
3.2.7. Dipyrazinyl-Pyridine
3.2.8. Triazolate
3.2.9. Other Ligands
3.3. Exchange of Metal Center
4. p-Type
5. Co-Sensitization
6. Summary and Outlook
Acknowledgments
Author Contributions
Conflicts of Interest
Abbreviations
| BD or N479 | Black dye | 
| [bmim][I] | 1-butyl-3-methyl imidazolium iodide | 
| CDCA | Chenodeoxycholic acid | 
| DSCs | Dye sensitized Solar Cells | 
| DCA | Deoxycholic acid | 
| DMPII | 1,2-dimethyl-3-propylimidazolium iodide | 
| EDOT | 3,4-ethylenedioxythiophene | 
| EIS | Impedance spectroscopy | 
| FRET | Förster Resonance Energy Transfer | 
| GuNCS | guanidinium thiocyanate | 
| IPCE | Incident photon to current efficiency | 
| Jsc | Short circuit current | 
| LEC | Light-emitting Electrochemical Cell | 
| MLCT | Metal to ligand charge transfer | 
| NDI | Naphthalenediimide  | 
| OCVD | Open Circuit Voltage Decay | 
| OLED | Organic Light Emitting Diode  | 
| PEDOT | Poly(3,4-ethylenedioxythiophene) | 
| qtpy | 2,2':6',2":6",2"'-Quaterpyridine | 
| SCN | Thiocyanate | 
| TBA | Tetrabutylammonium | 
| t-bupy | (t-butylpyridine) | 
| tctpy | 4,4’,4’’-Tricarboxyl-2,2’:6’,2’’-terpyridine | 
| TEA | Tetraethylammonium | 
| tpy | 2,2’:6’,2’’Terpyridine | 
| Voc | Open circuit voltage  | 
References
- O'Regan, B.; Grätzel, M. A low-cost, high-efficiency solar cell based on dye-sensitized colloidal TiO2 films. Nature 1991, 353, 737–740. [Google Scholar] [CrossRef]
- Hagfeldt, A.; Boschloo, G.; Sun, L.; Kloo, L.; Pettersson, H.; Kalyanasundaram, K. Dye-Sensitized Solar Cells. Chem. Rev. 2010, 110, 6595–6663. [Google Scholar] [CrossRef] [PubMed]
- Park, J.; Viscardi, G.; Barolo, C.; Barbero, N. Near-infrared sensitization in dye-sensitized solar cells. Chimia 2013, 67, 129–135. [Google Scholar] [CrossRef] [PubMed]
- Barbero, N.; Sauvage, F. Low Cost Electricity Production From Sunlight: Third-Generation Photovoltaics and the Dye-Sensitized Solar Cell. In Materials for Sustainable Energy Applications: Conversion, Storage, Transmission and Consumption; Moya, X., Munoz-Rojas, D., Eds.; CRC Press: Boca Raton, FL, USA, 2016; pp. 87–147. [Google Scholar]
- Higashino, T.; Imahori, H. Porphyrins as excellent dyes for dye-sensitized solar cells: recent developments and insights. Dalton Trans. 2015, 44, 448–463. [Google Scholar] [CrossRef] [PubMed]
- Mishra, A.; Fischer, M.K.R.; Bäuerle, P. Metal-free organic dyes for dye-sensitized solar cells: from structure: property relationships to design rules. Angew. Chem. Int. Ed. Engl. 2009, 48, 2474–2499. [Google Scholar] [CrossRef] [PubMed]
- Abbotto, A.; Barolo, C.; Bellotto, L.; De Angelis, F.; Grätzel, M.; Manfredi, N.; Marinzi, C.; Fantacci, S.; Yum, J.-H.; Nazeeruddin, M.K. Electron-rich heteroaromatic conjugated bipyridine based ruthenium sensitizer for efficient dye-sensitized solar cells. Chem. Commun. 2008, 42, 5318–5320. [Google Scholar] [CrossRef] [PubMed]
- Saccone, D.; Galliano, S.; Barbero, N.; Viscardi, G.; Barolo, C. Polymethine dyes in hybrid photovoltaics: structure-properties relationships. Eur. J. Org. Chem. 2015, in press. [Google Scholar] [CrossRef]
- Park, J.; Barolo, C.; Sauvage, F.; Barbero, N.; Benzi, C.; Quagliotto, P.; Coluccia, S.; Di Censo, D.; Grätzel, M.; Nazeeruddin, M.K.; et al. Symmetric vs. asymmetric squaraines as photosensitisers in mesoscopic injection solar cells: A structure–property relationship study. Chem. Commun. 2012, 48, 2782–2784. [Google Scholar] [CrossRef] [PubMed]
- Park, J.; Barbero, N.; Yoon, J.; Dell’Orto, E.; Galliano, S.; Borrelli, R.; Yum, J.-H.; Di Censo, D.; Grätzel, M.; Nazeeruddin, M.K.; et al. Panchromatic symmetrical squaraines: a step forward in the molecular engineering of low cost blue-greenish sensitizers for dye-sensitized solar cells. Phys. Chem. Chem. Phys. 2014, 16, 24173–24177. [Google Scholar] [CrossRef] [PubMed]
- Magistris, C.; Martiniani, S.; Barbero, N.; Park, J.; Benzi, C.; Anderson, A.; Law, C.; Barolo, C.; O’Regan, B. Near-infrared absorbing squaraine dye with extended π conjugation for dye-sensitized solar cells. Renew. Energy 2013, 60, 672–678. [Google Scholar] [CrossRef]
- Ono, T.; Yamaguchi, T.; Arakawa, H. Study on dye-sensitized solar cell using novel infrared dye. Sol. Energy Mater. Sol. Cells 2009, 93, 831–835. [Google Scholar] [CrossRef]
- Pydzińska, K.; Ziółek, M. Solar cells sensitized with near-infrared absorbing dye: Problems with sunlight conversion efficiency revealed in ultrafast laser spectroscopy studies. Dyes Pigm. 2015, 122, 272–279. [Google Scholar] [CrossRef]
- Nazeeruddin, M.K.; Pechy, P.; Grätzel, M. Efficient panchromatic sensitization of nanocrystalline TiO2 films by a black dye based on a trithiocyanato-ruthenium complex. Chem. Commun. 1997, 18, 1705–1706. [Google Scholar] [CrossRef]
- Scifinder, 2016; Chemical Abstracts Service: Columbus, OH, USA, 2016. Available online: http://www.cas.org/products/scifinder (accessed on 15 January 2016).
- Islam, A.; Sugihara, H.; Arakawa, H. Molecular design of ruthenium(II) polypyridyl photosensitizers for efficient nanocrystalline TiO2 solar cells. J. Photochem. Photobiol. A 2003, 158, 131–138. [Google Scholar] [CrossRef]
- Vougioukalakis, G.C.; Philippopoulos, A.I.; Stergiopoulos, T.; Falaras, P. Contributions to the development of ruthenium-based sensitizers for dye-sensitized solar cells. Coord. Chem. Rev. 2011, 255, 2602–2621. [Google Scholar] [CrossRef]
- Adeloye, A.O.; Ajibade, P.A. Towards the development of functionalized polypyridine ligands for Ru(II) complexes as photosensitizers in dye-sensitized solar cells (DSSCs). Molecules 2014, 19, 12421–12460. [Google Scholar] [CrossRef] [PubMed]
- Bignozzi, C.A.; Argazzi, R.; Boaretto, R.; Busatto, E.; Carli, S.; Ronconi, F.; Caramori, S. The role of transition metal complexes in dye sensitized solar devices. Coord. Chem. Rev. 2013, 257, 1472–1492. [Google Scholar] [CrossRef]
- Fantacci, S.; Lobello, M.G.; De Angelis, F. Everything you always wanted to know about black dye (but were afraid to ask): A DFT/TDDFT investigation. Chimia 2013, 67, 121–128. [Google Scholar] [CrossRef] [PubMed]
- Nazeeruddin, M.K.; Péchy, P.; Renouard, T.; Zakeeruddin, S.M.; Humphry-Baker, R.; Comte, P.; Liska, P.; Cevey, L.; Costa, E.; Shklover, V.; et al. Engineering of efficient panchromatic sensitizers for nanocrystalline TiO2-based solar cells. J. Am. Chem. Soc. 2001, 123, 1613–1624. [Google Scholar] [CrossRef] [PubMed]
- Wang, S.-W.; Chou, C.-C.; Hu, F.-C.; Wu, K.-L.; Chi, Y.; Clifford, J.N.; Palomares, E.; Liu, S.-H.; Chou, P.-T.; Wei, T.-C.; et al. Panchromatic Ru(II) sensitizers bearing single thiocyanate for high efficiency dye sensitized solar cells. J. Mater. Chem. A 2014, 2, 17618–17627. [Google Scholar] [CrossRef]
- Nazeeruddin, M.K.; De Angelis, F.; Fantacci, S.; Selloni, A.; Viscardi, G.; Liska, P.; Ito, S.; Takeru, B.; Grätzel, M. Combined experimental and DFT-TDDFT computational study of photoelectrochemical cell ruthenium sensitizers. J. Am. Chem. Soc. 2005, 127, 16835–16847. [Google Scholar] [CrossRef] [PubMed]
- Sauvage, F.; Decoppet, J.-D.; Zhang, M.; Zakeeruddin, S.M.; Comte, P.; Nazeeruddin, M.; Wang, P.; Grätzel, M. Effect of sensitizer adsorption temperature on the performance of dye-sensitized solar cells. J. Am. Chem. Soc. 2011, 133, 9304–9310. [Google Scholar] [CrossRef] [PubMed]
- Zakeeruddin, S.M.; Nazeeruddin, M.K.; Pechy, P.; Rotzinger, F.P.; Humphry-Baker, R.; Kalyanasundaram, K.; Grätzel, M.; Shklover, V.; Haibach, T. Molecular engineering of photosensitizers for nanocrystalline solar cells: Synthesis and characterization of Ru dyes based on phosphonated terpyridines. Inorg. Chem. 1997, 36, 5937–5946. [Google Scholar] [CrossRef] [PubMed]
- Gianotti, V.; Favaro, G.; Bonandini, L.; Palin, L.; Croce, G.; Boccaleri, E.; Artuso, E.; van Beek, W.; Barolo, C.; Milanesio, M. Rationalization of dye uptake on titania slides for dye-sensitized solar cells by a combined chemometric and structural approach. Chem. Sus. Chem. 2014, 7, 3039–3052. [Google Scholar] [CrossRef] [PubMed]
- Morgan, G.T.; Burstall, F.H. 3. Dehydrogenation of pyridine by anhydrous ferric chloride. J. Chem. Soc. 1932, 20–30. [Google Scholar] [CrossRef]
- Heller, M.; Schubert, U.S. Syntheses of functionalized 2,2′:6′,2′′-terpyridines. Eur. J. Org. Chem. 2003, 2003, 947–961. [Google Scholar] [CrossRef]
- Fallahpour, R.A. Synthesis of 4’-substituted-2,2':6', 2 -terpyridines. Synthesis 2003, 35, 155–184. [Google Scholar] [CrossRef]
- Cargill Thompson, A.M.W. The synthesis of 2,2′:6′,2″-terpyridine ligands — versatile building blocks for supramolecular chemistry. Coord. Chem. Rev. 1997, 160, 1–52. [Google Scholar] [CrossRef]
- Hayami, S.; Komatsu, Y.; Shimizu, T.; Kamihata, H.; Lee, Y.H. Spin-crossover in cobalt(II) compounds containing terpyridine and its derivatives. Coord. Chem. Rev. 2011, 255, 1981–1990. [Google Scholar] [CrossRef]
- Arrigo, A.; Santoro, A.; Puntoriero, F.; Lainé, P.P.; Campagna, S. Photoinduced electron transfer in donor–bridge–acceptor assemblies: The case of Os(II)-bis(terpyridine)-(bi)pyridinium dyads. Coord. Chem. Rev. 2015, 304-305, 109–116. [Google Scholar] [CrossRef]
- Sauvage, J.P.; Collin, J.P.; Chambron, J.C.; Guillerez, S.; Coudret, C.; Balzani, V.; Barigelletti, F.; De Cola, L.; Flamigni, L. Ruthenium(II) and Osmium(II) Bis(terpyridine) Complexes in Covalently-Linked Multicomponent Systems: Synthesis, Electrochemical Behavior, Absorption Spectra, and Photochemical and Photophysical Properties. Chem. Rev. 1994, 94, 993–1019. [Google Scholar] [CrossRef]
- Flamigni, L.; Collin, J.P.; Sauvage, J.P. Iridium terpyridine complexes as functional assembling units in arrays for the conversion of light energy. Acc. Chem. Res. 2008, 41, 857–871. [Google Scholar] [CrossRef] [PubMed]
- Baranoff, E.; Collin, J.P.; Flamigni, L.; Sauvage, J.P. From ruthenium(II) to iridium(III): 15 years of triads based on bis-terpyridine complexes. Chem. Soc. Rev. 2004, 33, 147–155. [Google Scholar] [CrossRef] [PubMed]
- Eryazici, I.; Moorefield, C.N.; Newkome, G.R. Square-planar Pd(II), Pt(II), and Au(III) terpyridine complexes: their syntheses, physical properties, supramolecular constructs, and biomedical activities. Chem. Rev. 2008, 108, 1834–1895. [Google Scholar] [CrossRef] [PubMed]
- Hofmeier, H.; Schubert, U.S. Recent developments in the supramolecular chemistry of terpyridine-metal complexes. Chem. Soc. Rev. 2004, 33, 373–399. [Google Scholar] [CrossRef] [PubMed]
- Schubert, U.S.; Hofmeier, H.; Newkome, G.R. Modern Terpyridine Chemistry; John Wiley & Sons, Inc.: Hoboken, NJ, USA, 2006. [Google Scholar]
- Gao, Y.; Rajwar, D.; Grimsdale, A.C. Self-Assembly of Conjugated Units Using Metal-Terpyridine Coordination. Macromol. Rapid Commun. 2014, 35, 1727–1740. [Google Scholar] [CrossRef] [PubMed]
- Constable, E.C. 2,2′:6′,2″-Terpyridines: From chemical obscurity to common supramolecular motifs. Chem. Soc. Rev. 2007, 36, 246–253. [Google Scholar] [CrossRef] [PubMed]
- Sakamoto, R.; Wu, K.-H.; Matsuoka, R.; Maeda, H.; Nishihara, H. π-Conjugated bis(terpyridine)metal complex molecular wires. Chem. Soc. Rev. 2015, 44, 7698–7714. [Google Scholar] [CrossRef] [PubMed]
- Andres, P.R.; Schubert, U.S. New Functional Polymers and Materials Based on 2,2′:6′,2″-Terpyridine Metal Complexes. Adv. Mater. 2004, 16, 1043–1068. [Google Scholar] [CrossRef]
- Winter, A.; Hoeppener, S.; Newkome, G.R.; Schubert, U.S. Terpyridine-functionalized surfaces: redox-active, switchable, and electroactive nanoarchitectures. Adv. Mater. 2011, 23, 3484–3498. [Google Scholar] [CrossRef]
- Breivogel, A.; Kreitner, C.; Heinze, K. Redox and Photochemistry of Bis(terpyridine)ruthenium(II) Amino Acids and Their Amide Conjugates - from Understanding to Applications. Eur. J. Inorg. Chem. 2014, 2014, 5468–5490. [Google Scholar] [CrossRef]
- Winter, A.; Gottschaldt, M.; Newkome, G.R.; Schubert, U.S. Terpyridines and their Complexes with First Row Transition Metal Ions: Cytotoxicity, Nuclease Activity and Self-Assembly of Biomacromolecules. Curr. Top. Med. Chem. 2012, 12, 158–175. [Google Scholar] [CrossRef] [PubMed]
- Winter, A.; Hager, M.D.; Newkome, G.R.; Schubert, U.S. The marriage of terpyridines and inorganic nanoparticles: synthetic aspects, characterization techniques, and potential applications. Adv. Mater. 2011, 23, 5728–5748. [Google Scholar] [CrossRef] [PubMed]
- Wild, A.; Winter, A.; Schlütter, F.; Schubert, U.S. Advances in the field of π-conjugated 2,2’:6',2"-terpyridines. Chem. Soc. Rev. 2011, 40, 1459–1511. [Google Scholar] [CrossRef] [PubMed]
- Chelucci, G.; Thummel, R.P. Chiral 2,2‘-Bipyridines, 1,10-Phenanthrolines, and 2,2‘:6‘,2‘‘-Terpyridines: Syntheses and Applications in Asymmetric Homogeneous Catalysis. Chem. Rev. 2002, 102, 3129–3170. [Google Scholar] [CrossRef] [PubMed]
- Winter, A.; Newkome, G.R.; Schubert, U.S. Catalytic Applications of Terpyridines and their Transition Metal Complexes. ChemCatChem 2011, 3, 1384–1406. [Google Scholar] [CrossRef]
- Kröhnke, F. The Specific Synthesis of Pyridines and Oligopyridines. Synthesis 1976, 1, 1–24. [Google Scholar] [CrossRef]
- Cave, G.W.V.; Raston, C.L. Efficient synthesis of pyridines via a sequential solventless aldol condensation and Michael addition. J. Chem. Soc. Perkin Trans. 1 2001, 3258–3264. [Google Scholar]
- Suzuki, A. Cross-coupling reactions of organoboranes: an easy way to construct C-C bonds (Nobel Lecture). Angew. Chem. Int. Ed. Engl. 2011, 50, 6722–6737. [Google Scholar] [CrossRef] [PubMed]
- Cordovilla, C.; Bartolomé, C.; Martínez-Ilarduya, J.M.; Espinet, P. The Stille Reaction, 38 Years Later. ACS Catal. 2015, 5, 3040–3053. [Google Scholar] [CrossRef]
- Nazeeruddin, M.K.; Pechy, P.; Renouard, T.; Zakeeruddin, S.M.; Humphry-Baker, R.; Comte, P.; Liska, P.; Cevey, L.; Costa, E.; Shklover, V.; Spiccia, L.; Deacon, G.B.; Bignozzi, C.A.; Grätzel, M. Engineering of Efficient Panchromatic Sensitizers for Nanocrystalline TiO2-Based Solar Cells. J. Am. Chem. Soc 2001, 123, 1613–1624. [Google Scholar] [CrossRef] [PubMed]
- Dehaudt, J.; Husson, J.; Guyard, L. A more efficient synthesis of 4,4′,4′′-tricarboxy-2,2′:6′,2′′-terpyridine. Green Chem. 2011, 13, 3337–3340. [Google Scholar] [CrossRef]
- Husson, J.; Knorr, M. 2,2′:6′,2″-Terpyridines Functionalized with Thienyl Substituents: Synthesis and Applications. J. Heterocycl. Chem. 2012, 49, 453–478. [Google Scholar] [CrossRef]
- Kisserwan, H.; Kamar, A.; Shoker, T.; Ghaddar, T.H. Photophysical properties of new cyclometalated ruthenium complexes and their use in dye sensitized solar cells. Dalton Trans. 2012, 41, 10643–10651. [Google Scholar] [CrossRef] [PubMed]
- Raboin, J.-C.; Kirsch, G.; Beley, M. On the way to unsymmetrical terpyridines carrying carboxylic acids. J. Heterocycl. Chem. 2000, 37, 1077–1080. [Google Scholar] [CrossRef]
- Husson, J.; Beley, M.; Kirsch, G. A novel pathway for the synthesis of a carboxylic acid-functionalised Ru(II) terpyridine complex. Tetrahedron Lett. 2003, 44, 1767–1770. [Google Scholar] [CrossRef]
- Husson, J.; Dehaudt, J.; Guyard, L. Preparation of carboxylate derivatives of terpyridine via the furan pathway. Nat. Protoc. 2014, 9, 21–26. [Google Scholar] [CrossRef] [PubMed]
- Hobert, S.E.; Carney, J.T.; Cummings, S.D. Synthesis and luminescence properties of platinum(II) complexes of 4′-chloro-2,2′:6′,2″-terpyridine and 4,4′,4″-trichloro-2,2′:6′,2″-terpyridine. Inorganica Chim. Acta 2001, 318, 89–96. [Google Scholar] [CrossRef]
- Duncan, T.V.; Ishizuka, T.; Therien, M.J. Molecular engineering of intensely near-infrared absorbing excited states in highly conjugated oligo(porphinato)zinc-(polypyridyl)metal(II) supermolecules. J. Am. Chem. Soc. 2007, 129, 9691–9703. [Google Scholar] [CrossRef] [PubMed]
- Potts, K.T.; Konwar, D. Synthesis of 4’-Vinyl-2,2':6',2''-terpyridine. J. Org. Chem. 1991, 56, 4815–4816. [Google Scholar] [CrossRef]
- Husson, J.; Knorr, M. Syntheses and applications of furanyl-functionalised 2,2’:6',2''-Terpyridines. Beilstein J. Org. Chem. 2012, 8, 379–389. [Google Scholar] [CrossRef] [PubMed]
- Woodward, C.P.; Coghlan, C.J.; Rüther, T.; Jones, T.W.; Hebting, Y.; Cordiner, R.L.; Dawson, R.E.; Robinson, D.E.J.E.; Wilson, G.J. Oligopyridine ligands possessing multiple or mixed anchoring functionality for dye-sensitized solar cells. Tetrahedron 2015, 71, 5238–5247. [Google Scholar] [CrossRef]
- Dick, G.R.; Woerly, E.M.; Burke, M.D. A general solution for the 2-pyridyl problem. Angew. Chem. Int. Ed. Engl. 2012, 51, 2667–2672. [Google Scholar] [CrossRef] [PubMed]
- Coluccini, C.; Manfredi, N.; Salamone, M.M.; Ruffo, R.; Lobello, M.G.; De Angelis, F.; Abbotto, A. Quaterpyridine ligands for panchromatic Ru(II) dye sensitizers. J. Org. Chem. 2012, 77, 7945–7956. [Google Scholar] [CrossRef] [PubMed]
- Barolo, C.; Yum, J.-H.; Artuso, E.; Barbero, N.; Di Censo, D.; Lobello, M.G.; Fantacci, S.; De Angelis, F.; Grätzel, M.; Nazeeruddin, M.K.; Viscardi, G. A simple synthetic route to obtain pure trans-ruthenium(II) complexes for dye-sensitized solar cell applications. ChemSusChem 2013, 6, 2170–2180. [Google Scholar] [CrossRef] [PubMed]
- Waser, M.; Siebenhaar, C.; Zampese, J.; Grundler, G.; Constable, E.; Height, M.; Pieles, U. Novel grafting procedure of ruthenium 2,2’:6',2''-terpyridine complexes with phosphonate ligands to titania for water splitting applications. Chimia 2010, 64, 328–329. [Google Scholar]
- Anthonysamy, A.; Balasubramanian, S.; Muthuraaman, B.; Maruthamuthu, P. 4’-functionalized 2,2':6',2'' terpyridine ruthenium (II) complex: a nanocrystalline TiO2 based solar cell sensitizer. Nanotechnology 2007, 18, 095701/1–095701/5. [Google Scholar] [CrossRef]
- Wang, Z.-S.; Huang, C.-H.; Huang, Y.-Y.; Zhang, B.-W.; Xie, P.-H.; Hou, Y.-J.; Ibrahim, K.; Qian, H.-J.; Liu, F.-Q. Photoelectric behavior of nanocrystalline TiO2 electrode with a novel terpyridyl ruthenium complex. Sol. Energy Mater. Sol. Cells 2002, 71, 261–271. [Google Scholar] [CrossRef]
- Funaki, T.; Yanagida, M.; Onozawa-Komatsuzaki, N.; Kawanishi, Y.; Kasuga, K.; Sugihara, H. Ruthenium (II) complexes with π expanded ligand having phenylene–ethynylene moiety as sensitizers for dye-sensitized solar cells. Sol. Energy Mater. Sol. Cells 2009, 93, 729–732. [Google Scholar] [CrossRef]
- McNamara, W.R.; Snoeberger III, R.C.; Li, G.; Richter, C.; Allen, L.J.; Milot, R.L.; Schmuttenmaer, C.A.; Crabtree, R.H.; Brudvig, G.W.; Batista, V.S. Hydroxamate anchors for water-stable attachment to TiO2 nanoparticles. Energy Environ. Sci. 2009, 2, 1173–1175. [Google Scholar] [CrossRef]
- Vougioukalakis, G.C.; Stergiopoulos, T.; Kantonis, G.; Kontos, A.G.; Papadopoulos, K.; Stublla, A.; Potvin, P.G.; Falaras, P. Terpyridine- and 2,6-dipyrazinylpyridine-coordinated ruthenium(II) complexes: Synthesis, characterization and application in TiO2-based dye-sensitized solar cells. J. Photochem. Photobiol., A 2010, 214, 22–32. [Google Scholar] [CrossRef]
- Manríquez, J.; Hwang, S.-H.; Cho, T.J.; Moorefield, C.N.; Newkome, G.R.; Godínez, L.A. Sensitized Solar Cells based on Hexagonal Dyes of Terpyridine-Ruthenium(II): Effect of the Electropolymerization of Dyes during their Performance in Solar Cells. ECS Trans. 2006, 3, 1–5. [Google Scholar]
- Kanniyambatti Lourdusamy, V.J.; Anthonysamy, A.; Easwaramoorthi, R.; Shinde, D.V.; Ganapathy, V.; Karthikeyan, S.; Lee, J.; Park, T.; Rhee, S.-W.; Kim, K.S.; Kim, J.K. Cyanoacetic acid tethered thiophene for well-matched LUMO level in Ru(II)-terpyridine dye sensitized solar cells. Dyes Pigm. 2016, 126, 270–278. [Google Scholar]
- Numata, Y.; Singh, S.P.; Islam, A.; Iwamura, M.; Imai, A.; Nozaki, K.; Han, L. Enhanced Light-Harvesting Capability of a Panchromatic Ru(II) Sensitizer Based on π-Extended Terpyridine with a 4-Methylstylryl Group for Dye-Sensitized Solar Cells. Adv. Funct. Mater. 2013, 23, 1817–1823. [Google Scholar] [CrossRef]
- Yang, S.-H.; Wu, K.-L.; Chi, Y.; Cheng, Y.-M.; Chou, P.-T. Tris(thiocyanate) ruthenium(II) sensitizers with functionalized dicarboxyterpyridine for dye-sensitized solar cells. Angew. Chem. Int. Ed. Engl. 2011, 50, 8270–8274. [Google Scholar] [CrossRef] [PubMed]
- Kimura, M.; Masuo, J.; Tohata, Y.; Obuchi, K.; Masaki, N.; Murakami, T.N.; Koumura, N.; Hara, K.; Fukui, A.; Yamanaka, R.; Mori, S. Improvement of TiO2/dye/electrolyte interface conditions by positional change of alkyl chains in modified panchromatic Ru complex dyes. Chem. - Eur. J. 2013, 19, 1028–1034. [Google Scholar] [CrossRef] [PubMed]
- Dehaudt, J.; Husson, J.; Guyard, L.; Oswald, F.; Martineau, D. A simple access to “Black-Dye” analogs with good efficiencies in dye-sensitized solar cells. Renew. Energy 2014, 66, 588–595. [Google Scholar] [CrossRef]
- Koyyada, G.; Botla, V.; Thogiti, S.; Wu, G.; Li, J.; Fang, X.; Kong, F.; Dai, S.; Surukonti, N.; Kotamarthi, B.; Malapaka, C. Novel 4’-functionalized 4,4''-dicarboxyterpyridine ligands for ruthenium complexes: near-IR sensitization in dye sensitized solar cells. Dalton Trans. 2014, 43, 14992–15003. [Google Scholar] [CrossRef] [PubMed]
- Ozawa, H.; Fukushima, K.; Sugiura, T.; Urayama, A.; Arakawa, H. Ruthenium sensitizers having an ortho-dicarboxyl group as an anchoring unit for dye-sensitized solar cells: synthesis, photo- and electrochemical properties, and adsorption behavior to the TiO2 surface. Dalton Trans. 2014, 43, 13208–13218. [Google Scholar] [CrossRef] [PubMed]
- Ozawa, H.; Sugiura, T.; Shimizu, R.; Arakawa, H. Novel ruthenium sensitizers having different numbers of carboxyl groups for dye-sensitized solar cells: effects of the adsorption manner at the TiO2 surface on the solar cell performance. Inorg. Chem. 2014, 53, 9375–9384. [Google Scholar] [CrossRef] [PubMed]
- Ozawa, H.; Yamamoto, Y.; Kawaguchi, H.; Shimizu, R.; Arakawa, H. Ruthenium sensitizers with a hexylthiophene-modified terpyridine ligand for dye-sensitized solar cells: synthesis, photo- and electrochemical properties, and adsorption behavior to the TiO2 surface. ACS Appl. Mater. Interfaces 2015, 7, 3152–3161. [Google Scholar] [CrossRef] [PubMed]
- Ozawa, H.; Fukushima, K.; Urayama, A.; Arakawa, H. Efficient ruthenium sensitizer with an extended π-conjugated terpyridine ligand for dye-sensitized solar cells. Inorg. Chem. 2015, 54, 8887–8889. [Google Scholar] [CrossRef] [PubMed]
- Ozawa, H.; Yamamoto, Y.; Fukushima, K.; Yamashita, S.; Arakawa, H. Synthesis and Characterization of a Novel Ruthenium Sensitizer with a Hexylthiophene-functionalized Terpyridine Ligand for Dye-sensitized Solar Cells. Chem. Lett. 2013, 42, 897–899. [Google Scholar] [CrossRef]
- Ozawa, H.; Kuroda, T.; Harada, S.; Arakawa, H. Efficient Ruthenium Sensitizer with a Terpyridine Ligand Having a Hexylthiophene Unit for Dye-Sensitized Solar Cells: Effects of the Substituent Position on the Solar Cell Performance. Eur. J. Inorg. Chem. 2014, 2014, 4734–4739. [Google Scholar] [CrossRef]
- Nazeeruddin, M.K.; Zakeeruddin, S.M.; Humphry-Baker, R.; Gorelsky, S.I.; Lever, A.B.P.; Grätzel, M. Synthesis, spectroscopic and a ZINDO study of cis- and trans-(X2)bis(4,4′-dicarboxylic acid-2,2′-bipyridine)ruthenium(II) complexes (X=Cl−, H2O, NCS−). Coord. Chem. Rev. 2000, 208, 213–225. [Google Scholar] [CrossRef]
- Renouard, T.; Grätzel, M. Functionalized tetradentate ligands for Ru-sensitized solar cells. Tetrahedron 2001, 57, 8145–8150. [Google Scholar] [CrossRef]
- Renouard, T.; Fallahpour, R.-A.; Nazeeruddin, M.K.; Humphry-Baker, R.; Gorelsky, S.I.; Lever, A.B.P.; Grätzel, M. Novel Ruthenium Sensitizers Containing Functionalized Hybrid Tetradentate Ligands: Synthesis, Characterization, and INDO/S Analysis. Inorg. Chem. 2002, 41, 367–378. [Google Scholar] [CrossRef] [PubMed]
- Barolo, C.; Nazeeruddin, M.K.; Fantacci, S.; Di Censo, D.; Comte, P.; Liska, P.; Viscardi, G.; Quagliotto, P.; De Angelis, F.; Ito, S.; Grätzel, M. Synthesis, characterization, and DFT-TDDFT computational study of a ruthenium complex containing a functionalized tetradentate ligand. Inorg. Chem. 2006, 45, 4642–4653. [Google Scholar] [CrossRef] [PubMed]
- Abbotto, A.; Sauvage, F.; Barolo, C.; De Angelis, F.; Fantacci, S.; Grätzel, M.; Manfredi, N.; Marinzi, C.; Nazeeruddin, M.K. Panchromatic ruthenium sensitizer based on electron-rich heteroarylvinylene π-conjugated quaterpyridine for dye-sensitized solar cells. Dalton Trans. 2011, 40, 234–242. [Google Scholar] [CrossRef] [PubMed]
- Dye-sensitized Solar Cells; Kalyanasundaram, K. (Ed.) CRC Press: Boca Raton, Florida, US, 2010.
- Nazeeruddin, M.K.; Grätzel, M. Separation of linkage isomers of trithiocyanato (4,4′,4″-tricarboxy-2,2′,6,2″-terpyridine)ruthenium(II) by pH-titration method and their application in nanocrystalline TiO2-based solar cells. J. Photochem. Photobiol., A 2001, 145, 79–86. [Google Scholar] [CrossRef]
- Pal, A.K.; Hanan, G.S. Design, synthesis and excited-state properties of mononuclear Ru(II) complexes of tridentate heterocyclic ligands. Chem. Soc. Rev. 2014, 43, 6184–6197. [Google Scholar] [CrossRef] [PubMed]
- Medlycott, E.A.; Hanan, G.S. Designing tridentate ligands for ruthenium(II) complexes with prolonged room temperature luminescence lifetimes. Chem. Soc. Rev. 2005, 34, 133–142. [Google Scholar] [CrossRef] [PubMed]
- Hammarström, L.; Johansson, O. Expanded bite angles in tridentate ligands. Improving the photophysical properties in bistridentate Ru (II) polypyridine complexes. Coord. Chem. Rev. 2010, 254, 2546–2559. [Google Scholar] [CrossRef]
- Chandrasekharam, M.; Rajkumar, G.; Rao, C.S.; Suresh, T.; Soujanya, Y.; Reddy, P.Y. High molar extinction coefficient Ru(II)-mixed ligand polypyridyl complexes for dye sensitized solar cell application. Adv. Optoelectron. 2011, 2011, 1–12. [Google Scholar] [CrossRef]
- Giribabu, L.; Singh, V.K.; Srinivasu, M.; Kumar, C.V.; Reddy, V.G.; Soujnya, Y.; Reddy, P.Y. Synthesis and photoelectrochemical characterization of a high molar extinction coefficient heteroleptic ruthenium(II) complex. J. Chem. Sci. 2011, 123, 371–378. [Google Scholar] [CrossRef]
- Koyyada, G.; Pavan Kumar, CH.; Salvatori, P.; Marotta, G.; Lobello, M.G.; Bizzarri, O.; De Angelis, F.; Malapaka, C. New terpyridine-based ruthenium complexes for dye sensitized solar cells applications. Inorganica Chim. Acta 2016, 442, 158–166. [Google Scholar] [CrossRef]
- Pavan Kumar, C.H.; Anusha, V.; Narayanaswamy, K.; Bhanuprakash, K.; Islam, A.; Han, L.; Singh, S.P.; Chandrasekharam, M. New ruthenium complexes (Ru[3+2+1]) bearing π-extended 4-methylstyryl terpyridine and unsymmetrical bipyridine ligands for DSSC applications. Inorganica Chim. Acta 2015, 435, 46–52. [Google Scholar]
- Giribabu, L.; Bessho, T.; Srinivasu, M.; Vijaykumar, C.; Soujanya, Y.; Reddy, V.G.; Reddy, P.Y.; Yum, J.-H.; Grätzel, M.; Nazeeruddin, M.K. A new family of heteroleptic ruthenium(II) polypyridyl complexes for sensitization of nanocrystalline TiO2 films. Dalton Trans. 2011, 40, 4497–4504. [Google Scholar] [CrossRef] [PubMed]
- Mosurkal, R.; Kim, Y.; Kumar, J.; Li, L.; Walker, J.; Samuelson, L.A. Mono- and Dinuclear Ruthenium Complexes for Nanocrystalline TiO2 Based Dye-Sensitized Photovoltaics. J. Macromol. Sci. Part A 2003, 40, 1317–1325. [Google Scholar] [CrossRef]
- Erten-Ela, S.; Sogut, S.; Ocakoglu, K. Synthesis of novel ruthenium II phenanthroline complex and its application to TiO2 and ZnO nanoparticles on the electrode of dye sensitized solar cells. Mater. Sci. Semicond. Process. 2014, 23, 159–166. [Google Scholar] [CrossRef]
- Mongal, B.N.; Pal, A.; Mandal, T.K.; Datta, J.; Naskar, S. Synthesis, characterisation, electrochemical study and photovoltaic measurements of a new terpyridine and pyridine-quinoline based mixed chelate ruthenium dye. Polyhedron 2015, 102, 615–626. [Google Scholar] [CrossRef]
- Stergiopoulos, T.; Arabatzis, I.M.; Kalbac, M.; Lukes, I.; Falaras, P. Incorporation of innovative compounds in nanostructured photoelectrochemical cells. J. Mater. Process. Technol. 2005, 161, 107–112. [Google Scholar] [CrossRef]
- Houarner, C.; Blart, E.; Buvat, P.; Odobel, F. Ruthenium bis-terpyridine complexes connected to an oligothiophene unit for dry dye-sensitised solar cells. Photochem. Photobiol. Sci. 2005, 4, 200–204. [Google Scholar] [CrossRef] [PubMed]
- Houarner-Rassin, C.; Blart, E.; Buvat, P.; Odobel, F. Improved efficiency of a thiophene linked ruthenium polypyridine complex for dry dye-sensitized solar cells. J. Photochem. Photobiol., A 2007, 186, 135–142. [Google Scholar] [CrossRef]
- Houarner-Rassin, C.; Chaignon, F.; She, C.; Stockwell, D.; Blart, E.; Buvat, P.; Lian, T.; Odobel, F. Synthesis and photoelectrochemical properties of ruthenium bisterpyridine sensitizers functionalized with a thienyl phosphonic acid moiety. J. Photochem. Photobiol., A 2007, 192, 56–65. [Google Scholar] [CrossRef]
- Duprez, V.; Biancardo, M.; Krebs, F.C. Characterisation and application of new carboxylic acid-functionalised ruthenium complexes as dye-sensitisers for solar cells. Sol. Energy Mater. Sol. Cells 2007, 91, 230–237. [Google Scholar] [CrossRef]
- Duprez, V.; Krebs, F.C. New carboxy-functionalized terpyridines as precursors for zwitterionic ruthenium complexes for polymer-based solar cells. Tetrahedron Lett. 2006, 47, 3785–3789. [Google Scholar] [CrossRef]
- Duprez, V.; Biancardo, M.; Spanggaard, H.; Krebs, F.C. Synthesis of Conjugated Polymers Containing Terpyridine−Ruthenium Complexes: Photovoltaic Applications. Macromolecules 2005, 38, 10436–10448. [Google Scholar] [CrossRef]
- Krebs, F.C.; Biancardo, M. Dye sensitized photovoltaic cells: Attaching conjugated polymers to zwitterionic ruthenium dyes. Sol. Energy Mater. Sol. Cells 2006, 90, 142–165. [Google Scholar] [CrossRef]
- Chan, H.T.; Mak, C.S.K.; Djurišić, A.B.; Chan, W.K. Synthesis of Ruthenium Complex Containing Conjugated Polymers and Their Applications in Dye-Sensitized Solar Cells. Macromol. Chem. Phys. 2011, 212, 774–784. [Google Scholar] [CrossRef]
- Caramori, S.; Husson, J.; Beley, M.; Bignozzi, C. A.; Argazzi, R.; Gros, P.C. Combination of cobalt and iron polypyridine complexes for improving the charge separation and collection in Ru(terpyridine)(2)-sensitised solar cells. Chem. - Eur. J. 2010, 16, 2611–2618. [Google Scholar] [CrossRef] [PubMed]
- Funaki, T.; Funakoshi, H.; Kitao, O.; Onozawa-Komatsuzaki, N.; Kasuga, K.; Sayama, K.; Sugihara, H. Cyclometalated ruthenium(II) complexes as near-IR sensitizers for high efficiency dye-sensitized solar cells. Angew. Chem. Int. Ed. Engl. 2012, 51, 7528–7531. [Google Scholar] [CrossRef] [PubMed]
- Kusama, H.; Funaki, T.; Sayama, K. Theoretical study of cyclometalated Ru(II) dyes: Implications on the open-circuit voltage of dye-sensitized solar cells. J. Photochem. Photobiol., A 2013, 272, 80–89. [Google Scholar] [CrossRef]
- Funaki, T.; Yanagida, M.; Onozawa-Komatsuzaki, N.; Kasuga, K.; Kawanishi, Y.; Kurashige, M.; Sayama, K.; Sugihara, H. Synthesis of a new class of cyclometallated ruthenium(II) complexes and their application in dye-sensitized solar cells. Inorg. Chem. Commun. 2009, 12, 842–845. [Google Scholar] [CrossRef]
- Islam, A.; Singh, S.P.; Han, L. Synthesis and application of new ruthenium complexes containing β-diketonato ligands as sensitizers for nanocrystalline TiO2 solar cells. Int. J. Photoenergy 2011, 2011, 204639. [Google Scholar] [CrossRef]
- Han, L.; Islam, A. High efficient dye-sensitized solar cells. MRS Online Proc. Libr. 2011, 1327. Symposium G - Complex Oxide Materials for Emerging Energy Technologies. [Google Scholar] [CrossRef]
- Islam, A.; Singh, S.P.; Han, L. Thiocyanate-free, panchromatic ruthenium (II) terpyridine sensitizer having a tridentate diethylenetriamine ligand for Near-IR sensitization of nanocrystaline TiO2. Funct. Mater. Lett. 2011, 04, 21–24. [Google Scholar] [CrossRef]
- Islam, A.; Singh, S.P.; Yanagida, M.; Karim, M.R.; Han, L. Amphiphilic ruthenium(II) terpyridine sensitizers with long alkyl chain substituted beta-diketonato ligands: An efficient coadsorbent-free dye-sensitized solar cells. Int. J. Photoenergy. 2011. [CrossRef]
- Islam, A.; Chowdhury, F.A.; Chiba, Y.; Komiya, R.; Fuke, N.; Ikeda, N.; Nozaki, K.; Han, L. Synthesis and Characterization of New Efficient Tricarboxyterpyridyl (β-diketonato) Ruthenium(II) Sensitizers and Their Applications in Dye-Sensitized Solar Cells. Chem. Mater. 2006, 18, 5178–5185. [Google Scholar] [CrossRef]
- Islam, A.; Chowdhury, F.A.; Chiba, Y.; Komiya, R.; Fuke, N.; Ikeda, N.; Han, L. Ruthenium(II) tricarboxyterpyridyl complex with a fluorine-substituted β-diketonato ligand for highly efficient dye-sensitized solar cells. Chem. Lett. 2005, 34, 344–345. [Google Scholar] [CrossRef]
- Islam, A.; Sugihara, H.; Yanagida, M.; Hara, K.; Fujihashi, G.; Tachibana, Y.; Katoh, R.; Murata, S.; Arakawa, H. Efficient panchromatic sensitization of nanocrystalline TiO2 films by beta-diketonato ruthenium polypyridyl complexes. New J. Chem. 2002, 26, 966–968. [Google Scholar] [CrossRef]
- Jiang, X.; Marinado, T.; Gabrielsson, E.; Hagberg, D.P.; Sun, L.; Hagfeldt, A. Structural Modification of Organic Dyes for Efficient Coadsorbent-Free Dye-Sensitized Solar Cells. J. Phys. Chem. C 2010, 114, 2799–2805. [Google Scholar] [CrossRef]
- Chen, B.-S.; Chen, K.; Hong, Y.-H.; Liu, W.-H.; Li, T.-H.; Lai, C.-H.; Chou, P.-T.; Chi, Y.; Lee, G.-H. Neutral, panchromatic Ru(II) terpyridine sensitizers bearing pyridine pyrazolate chelates with superior DSSC performance. Chem. Commun. 2009, 5844–5846. [Google Scholar] [CrossRef] [PubMed]
- Chou, C.-C.; Wu, K.-L.; Chi, Y.; Hu, W.-P.; Yu, S.J.; Lee, G.-H.; Lin, C.-L.; Chou, P.-T. Ruthenium(II) sensitizers with heteroleptic tridentate chelates for dye-sensitized solar cells. Angew. Chem. Int. Ed. Engl. 2011, 50, 2054–2058. [Google Scholar] [CrossRef] [PubMed]
- Wu, K.-L.; Li, C.-H.; Chi, Y.; Clifford, J.N.; Cabau, L.; Palomares, E.; Cheng, Y.-M.; Pan, H.-A.; Chou, P.-T. Dye molecular structure device open-circuit voltage correlation in Ru(II) sensitizers with heteroleptic tridentate chelates for dye-sensitized solar cells. J. Am. Chem. Soc 2012, 134, 7488–7496. [Google Scholar] [CrossRef] [PubMed]
- Chou, C.-C.; Hu, F.-C.; Yeh, H.-H.; Wu, H.-P.; Chi, Y.; Clifford, J. N.; Palomares, E.; Liu, S.-H.; Chou, P.-T.; Lee, G.-H. Highly efficient dye-sensitized solar cells based on panchromatic ruthenium sensitizers with quinolinylbipyridine anchors. Angew. Chem. Int. Ed. Engl. 2014, 53, 178–183. [Google Scholar] [CrossRef] [PubMed]
- Chang, T.-K.; Li, H.; Chen, K.-T.; Tsai, Y.-C.; Chi, Y.; Hsiao, T.-Y.; Kai, J.-J. Substituent effect of Ru(II)-based sensitizers bearing a terpyridine anchor and a pyridyl azolate ancillary for dye sensitized solar cells. J. Mater. Chem. A 2015, 3, 18422–18431. [Google Scholar] [CrossRef]
- Wadman, S.H.; Kroon, J.M.; Bakker, K.; Lutz, M.; Spek, A.L.; van Klink, G.P.M.; van Koten, G. Cyclometalated ruthenium complexes for sensitizing nanocrystalline TiO2 solar cells. Chem. Commun. 2007, 1907–1909. [Google Scholar] [CrossRef]
- Wadman, S.H.; Kroon, J.M.; Bakker, K.; Havenith, R.W.A.; van Klink, G.P.M.; van Koten, G. Cyclometalated Organoruthenium Complexes for Application in Dye-Sensitized Solar Cells. Organometallics 2010, 29, 1569–1579. [Google Scholar] [CrossRef]
- Wadman, S.H.; van Leeuwen, Y.M.; Havenith, R.W.A.; van Klink, G.P.M.; van Koten, G. A Redox Asymmetric, Cyclometalated Ruthenium Dimer: Toward Upconversion Dyes in Dye-Sensitized TiO2 Solar Cells. Organometallics 2010, 29, 5635–5645. [Google Scholar] [CrossRef]
- Kisserwan, H.; Ghaddar, T.H. Enhancement of photocurrent in dye sensitized solar cells incorporating a cyclometalated ruthenium complex with cuprous iodide as an electrolyte additive. Dalton Trans. 2011, 40, 3877–3884. [Google Scholar] [CrossRef] [PubMed]
- Robson, K.C.D.; Koivisto, B.D.; Yella, A.; Sporinova, B.; Nazeeruddin, M.K.; Baumgartner, T.; Grätzel, M.; Berlinguette, C.P. Design and development of functionalized cyclometalated ruthenium chromophores for light-harvesting applications. Inorg. Chem. 2011, 50, 5494–5508. [Google Scholar] [CrossRef] [PubMed]
- Al-mutlaq, F.A.; Potvin, P.G.; Philippopoulos, A.I.; Falaras, P. Catechol-Bearing Dipyrazinylpyridine Complexes of Ruthenium(II). Eur. J. Inorg. Chem. 2007, 2007, 2121–2128. [Google Scholar] [CrossRef]
- Sepehrifard, A.; Chen, S.; Stublla, A.; Potvin, P.G.; Morin, S. Effects of ligand LUMO levels, anchoring groups and spacers in Ru(II)-based terpyridine and dipyrazinylpyridine complexes on adsorption and photoconversion efficiency in DSSCs. Electrochim. Acta 2013, 87, 236–244. [Google Scholar] [CrossRef]
- Sepehrifard, A.; Stublla, A.; Haftchenary, S.; Chen, S.; Potvin, P.G.; Morin, S. Effects of carboxyl and ester anchoring groups on solar conversion efficiencies of TiO2 dye-sensitized solar cells. J. New. Mat. Electrochem. Syst. 2008, 11, 281–285. [Google Scholar]
- Schulze, B.; Brown, D.G.; Robson, K.C.D.; Friebe, C.; Jäger, M.; Birckner, E.; Berlinguette, C.P.; Schubert, U.S. Cyclometalated ruthenium(II) complexes featuring tridentate click-derived ligands for dye-sensitized solar cell applications. Chem. - Eur. J. 2013, 19, 14171–14180. [Google Scholar] [CrossRef] [PubMed]
- Sinn, S.; Schulze, B.; Friebe, C.; Brown, D.G.; Jäger, M.; Kübel, J.; Dietzek, B.; Berlinguette, C.P.; Schubert, U.S. A heteroleptic bis(tridentate) ruthenium(II) platform featuring an anionic 1,2,3-triazolate-based ligand for application in the dye-sensitized solar cell. Inorg. Chem. 2014, 53, 1637–1645. [Google Scholar] [CrossRef] [PubMed]
- Park, H.-J.; Kim, K.H.; Choi, S.Y.; Kim, H.-M.; Lee, W.I.; Kang, Y.K.; Chung, Y.K. Unsymmetric Ru(II) Complexes with N-Heterocyclic Carbene and/or Terpyridine Ligands: Synthesis, Characterization, Ground- and Excited-State Electronic Structures and Their Application for DSSC Sensitizers. Inorg. Chem. 2010, 49, 7340–7352. [Google Scholar] [CrossRef] [PubMed]
- Bonacin, J.A.; Toma, S.H.; Freitas, J.N.; Nogueira, A.F.; Toma, H.E. On the behavior of the carboxyphenylterpyridine(8-quinolinolate) thiocyanatoruthenium(II) complex as a new black dye in TiO2 solar cells modified with carboxymethyl-beta-cyclodextrin. Inorg. Chem. Commun. 2013, 36, 35–38. [Google Scholar] [CrossRef]
- Kinoshita, T.; Dy, J.T.; Uchida, S.; Kubo, T.; Segawa, H. Wideband dye-sensitized solar cells employing a phosphine-coordinated ruthenium sensitizer. Nat. Photonics 2013, 7, 535–539. [Google Scholar] [CrossRef]
- Kinoshita, T.; Nonomura, K.; Joong Jeon, N.; Giordano, F.; Abate, A.; Uchida, S.; Kubo, T.; Seok, S.I.; Nazeeruddin, M.K.; Hagfeldt, A.; et al. Spectral splitting photovoltaics using perovskite and wideband dye-sensitized solar cells. Nat. Commun. 2015, 6, 8834–8842. [Google Scholar] [CrossRef] [PubMed]
- Li, G.; Yella, A.; Brown, D.G.; Gorelsky, S.I.; Nazeeruddin, M.K.; Grätzel, M.; Berlinguette, C.P.; Shatruk, M. Near-IR photoresponse of ruthenium dipyrrinate terpyridine sensitizers in the dye-sensitized solar cells. Inorg. Chem. 2014, 53, 5417–5419. [Google Scholar] [CrossRef] [PubMed]
- Swetha, T.; Niveditha, S.; Bhanuprakash, K.; Islam, A.; Han, L.; Bedja, I.M.; Fallahpour, R.; Singh, S.P. New heteroleptic benzimidazole functionalized Ru-sensitizer showing the highest efficiency for dye-sensitized solar cells. Inorg. Chem. Commun. 2015, 51, 61–65. [Google Scholar] [CrossRef]
- Argazzi, R.; Larramona, G.; Contado, C.; Bignozzi, C.A. Preparation and photoelectrochemical characterization of a red sensitive osmium complex containing 4,4′,4′′-tricarboxy-2,2′:6′,2′′-terpyridine and cyanide ligands. J. Photochem. Photobiol., A 2004, 164, 15–21. [Google Scholar] [CrossRef]
- Argazzi, R.; Murakami Iha, N.Y.; Zabri, H.; Odobel, F.; Bignozzi, C.A. Design of molecular dyes for application in photoelectrochemical and electrochromic devices based on nanocrystalline metal oxide semiconductors. Coord. Chem. Rev. 2004, 248, 1299–1316. [Google Scholar] [CrossRef]
- Altobello, S.; Argazzi, R.; Caramori, S.; Contado, C.; Da Fré, S.; Rubino, P.; Choné, C.; Larramona, G.; Bignozzi, C.A. Sensitization of nanocrystalline TiO2 with black absorbers based on Os and Ru polypyridine complexes. J. Am. Chem. Soc 2005, 127, 15342–15343. [Google Scholar] [CrossRef] [PubMed]
- Lapides, A.M.; Ashford, D.L.; Hanson, K.; Torelli, D.A.; Templeton, J.L.; Meyer, T.J. Stabilization of a ruthenium(II) polypyridyl dye on nanocrystalline TiO2 by an electropolymerized overlayer. J. Am. Chem. Soc. 2013, 135, 15450–15458. [Google Scholar] [CrossRef] [PubMed]
- Duchanois, T.; Etienne, T.; Cebrián, C.; Liu, L.; Monari, A.; Beley, M.; Assfeld, X.; Haacke, S.; Gros, P.C. An Iron-Based Photosensitizer with Extended Excited-State Lifetime: Photophysical and Photovoltaic Properties. Eur. J. Inorg. Chem. 2015, 2015, 2469–2477. [Google Scholar] [CrossRef]
- Kwok, E.C.-H.; Chan, M.-Y.; Wong, K.M.-C.; Lam, W.H.; Yam, V.W.-W. Functionalized alkynylplatinum(II) polypyridyl complexes for use as sensitizers in dye-sensitized solar cells. Chem. - Eur. J. 2010, 16, 12244–12254. [Google Scholar] [CrossRef] [PubMed]
- Shinpuku, Y.; Inui, F.; Nakai, M.; Nakabayashi, Y. Synthesis and characterization of novel cyclometalated iridium(III) complexes for nanocrystalline TiO2-based dye-sensitized solar cells. J. Photochem. Photobiol., A 2011, 222, 203–209. [Google Scholar] [CrossRef]
- Bozic-Weber, B.; Constable, E.C.; Hostettler, N.; Housecroft, C.E.; Schmitt, R.; Schönhofer, E. The d10 route to dye-sensitized solar cells: step-wise assembly of zinc(II) photosensitizers on TiO2 surfaces. Chem. Commun. 2012, 48, 5727–5729. [Google Scholar] [CrossRef] [PubMed]
- Hostettler, N.; Fürer, S.O.; Bozic-Weber, B.; Constable, E.C.; Housecroft, C.E. Alkyl chain-functionalized hole-transporting domains in zinc(II) dye-sensitized solar cells. Dyes Pigm. 2015, 116, 124–130. [Google Scholar] [CrossRef]
- Hostettler, N.; Wright, I.A.; Bozic-Weber, B.; Constable, E.C.; Housecroft, C.E. Dye-sensitized solar cells with hole-stabilizing surfaces: “inorganic” versus “organic” strategies. RSC Adv. 2015, 5, 37906–37915. [Google Scholar] [CrossRef]
- Housecroft, C.E.; Constable, E.C. The emergence of copper(I)-based dye sensitized solar cells. Chem. Soc. Rev. 2015, 44, 8386–8398. [Google Scholar] [CrossRef] [PubMed]
- Bozic-Weber, B.; Constable, E.C.; Housecroft, C.E. Light harvesting with Earth abundant d-block metals: Development of sensitizers in dye-sensitized solar cells (DSCs). Coord. Chem. Rev. 2013, 257, 3089–3106. [Google Scholar] [CrossRef]
- Odobel, F.; Pellegrin, Y. Recent Advances in the Sensitization of Wide-Band-Gap Nanostructured p-Type Semiconductors. Photovoltaic and Photocatalytic Applications. J. Phys. Chem. Lett. 2013, 4, 2551–2564. [Google Scholar] [CrossRef]
- Ji, Z.; Wu, Y. Photoinduced Electron Transfer Dynamics of Cyclometalated Ruthenium (II)–Naphthalenediimide Dyad at NiO Photocathode. J. Phys. Chem. C 2013, 117, 18315–18324. [Google Scholar] [CrossRef]
- Sariola-Leikas, E.; Ahmed, Z.; Vivo, P.; Ojanperä, A.; Lahtonen, K.; Saari, J.; Valden, M.; Lemmetyinen, H.; Efimov, A. Color Bricks: Building Highly Organized and Strongly Absorbing Multicomponent Arrays of Terpyridyl Perylenes on Metal Oxide Surfaces. Chem.-Eur. J. 2015, 22, 1501–1510. [Google Scholar] [CrossRef] [PubMed]
- Constable, E.C.; Housecroft, C.E.; Šmídková, M.; Zampese, J.A. Phosphonate-functionalized heteroleptic ruthenium(II) bis(2,2′:6′,2″-terpyridine) complexes. Can. J. Chem. 2014, 92, 724–730. [Google Scholar] [CrossRef]
- Wood, C.J.; Robson, K.C.D.; Elliott, P.I.P.; Berlinguette, C.P.; Gibson, E.A. Novel triphenylamine-modified ruthenium(II) terpyridine complexes for nickel oxide-based cathodic dye-sensitized solar cells. RSC Adv. 2014, 4, 5782–5791. [Google Scholar] [CrossRef]
- Ogura, R.Y.; Nakane, S.; Morooka, M.; Orihashi, M.; Suzuki, Y.; Noda, K. High-performance dye-sensitized solar cell with a multiple dye system. Appl. Phys. Lett. 2009, 94, 073308. [Google Scholar] [CrossRef]
- Ozawa, H.; Shimizu, R.; Arakawa, H. Significant improvement in the conversion efficiency of black-dye-based dye-sensitized solar cells by cosensitization with organic dye. RSC Adv. 2012, 2, 3198–3200. [Google Scholar] [CrossRef]
- Sharma, G.D.; Daphnomili, D.; Gupta, K.S.V.; Gayathri, T.; Singh, S.P.; Angaridis, P.A.; Kitsopoulos, T.N.; Tasis, D.; Coutsolelos, A.G. Enhancement of power conversion efficiency of dye-sensitized solar cells by co-sensitization of zinc-porphyrin and thiocyanate-free ruthenium(II)-terpyridine dyes and graphene modified TiO2 photoanode. RSC Adv. 2013, 3, 22412–22420. [Google Scholar] [CrossRef]
- Bahreman, A.; Cuello-Garibo, J.-A.; Bonnet, S. Yellow-light sensitization of a ligand photosubstitution reaction in a ruthenium polypyridyl complex covalently bound to a rhodamine dye. Dalton Trans. 2014, 43, 4494–4505. [Google Scholar] [CrossRef] [PubMed]
- Koussi-Daoud, S.; Schaming, D.; Fillaud, L.; Trippé-Allard, G.; Lafolet, F.; Polanski, E.; Nonomura, K.; Vlachopoulos, N.; Hagfeldt, A.; Lacroix, J.-C. 3,4-Ethylenedioxythiophene-based cobalt complex: an efficient co-mediator in dye-sensitized solar cells with poly(3,4-ethylenedioxythiophene) counter-electrode. Electrochim. Acta 2015, 179, 237–240. [Google Scholar] [CrossRef]





































© 2016 by the authors; licensee MDPI, Basel, Switzerland. This article is an open access article distributed under the terms and conditions of the Creative Commons by Attribution (CC-BY) license (http://creativecommons.org/licenses/by/4.0/).
Share and Cite
Saccone, D.; Magistris, C.; Barbero, N.; Quagliotto, P.; Barolo, C.; Viscardi, G. Terpyridine and Quaterpyridine Complexes as Sensitizers for Photovoltaic Applications. Materials 2016, 9, 137. https://doi.org/10.3390/ma9030137
Saccone D, Magistris C, Barbero N, Quagliotto P, Barolo C, Viscardi G. Terpyridine and Quaterpyridine Complexes as Sensitizers for Photovoltaic Applications. Materials. 2016; 9(3):137. https://doi.org/10.3390/ma9030137
Chicago/Turabian StyleSaccone, Davide, Claudio Magistris, Nadia Barbero, Pierluigi Quagliotto, Claudia Barolo, and Guido Viscardi. 2016. "Terpyridine and Quaterpyridine Complexes as Sensitizers for Photovoltaic Applications" Materials 9, no. 3: 137. https://doi.org/10.3390/ma9030137
APA StyleSaccone, D., Magistris, C., Barbero, N., Quagliotto, P., Barolo, C., & Viscardi, G. (2016). Terpyridine and Quaterpyridine Complexes as Sensitizers for Photovoltaic Applications. Materials, 9(3), 137. https://doi.org/10.3390/ma9030137
 
         
                                                




 
       
       
       
       
       
       
       
      