Effect of Thermal Treatment on Fracture Properties and Adsorption Properties of Spruce Wood
Abstract
:1. Introduction
2. Materials and Methods
2.1. Thermal Treatment
2.2. Fracture Test

2.2. Moisture Adsorption Isotherm
3. Results and Discussion
3.1. Fracture Properties
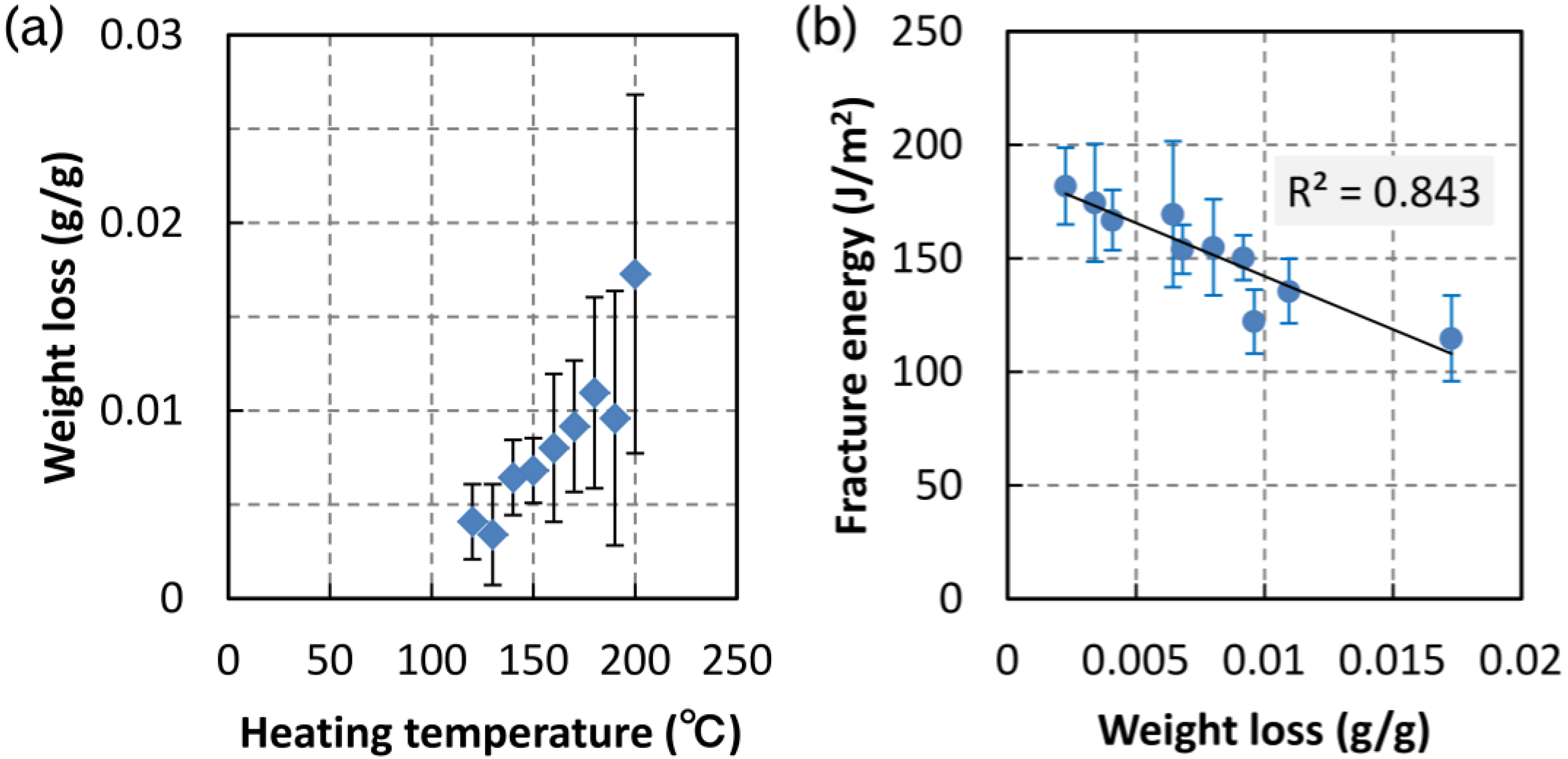
3.1.1. Fracture Energy and Weight Loss on Thermal Treatment
| Specimen | Density * | Non-heated | 130 °C | 150 °C | 170 °C | 200 °C |
|---|---|---|---|---|---|---|
| RL system | 390 kg/m3 | 251 | 293 | 214 | 270 | 255 |
| TL system | 470 kg/m3 | 182 | 175 | 154 | 150 | 115 |


3.1.2. Maximum Load and Strain-Softening Index


3.2. Adsorption Properties

| Adsorption property | Fracture energy | Maximum load | Strain-softening index |
|---|---|---|---|
| Fiber saturation point | 0.943 | 0.670 | 0.914 |
| Modified adsorption coefficient | 0.718 | 0.769 | 0.542 |
| Number of adsorption site | 0.855 | 0.834 | 0.885 |
3.2.1. Fiber Saturation Point

3.2.2. Langmuir’s Modified Adsorption Coefficient

3.2.3. Adsorption Site Estimated by Hailwood–Horrobin Adsorption Equation

4. Conclusions
Conflicts of Interest
References
- Kajita, S.; Yamada, T.; Suzuki, M.; Komatsu, K. Studies on rheological properties of wood. II. Effect of heat-treating condition on the hygroscopicity and dynamic young’s modulus of wood. Mokuzai Gakkaishi 1961, 7, 34–38. (in Japanese). [Google Scholar]
- Hirai, N.; Sobue, N.; Asano, I. Studies on piezoelectric effect of wood. IV. Effects of heat treatment on cellulose crystallites and piezoelectric effect of wood. Mokuzai Gakkaishi 1972, 18, 535–542. [Google Scholar]
- Shiga, M.; Nakano, T. Effects of heating at lower temperature on water adsorption behavior for wood. J. Soc. Mater. Sci. Jpn. 2009, 58, 175–179. (in Japanese). [Google Scholar] [CrossRef]
- Phuong, L.X.; Shida, S.; Saito, Y. Effects of heat treatment on brittleness of Styrax tonkinensis wood. J. Wood Sci. 2007, 53, 181–186. [Google Scholar] [CrossRef]
- Dinwoodie, J.M. Timber: Its Nature and Behaviour, 2nd ed.; E&FN SPON: London, UK, 1999; pp. 160–167. [Google Scholar]
- Hill, C.A.S.; Ramsay, J.; Keating, B.; Laine, K.; Rautkari, L.; Hughes, M.; Constant, B. The water vapour sorption properties for thermally modified and densified wood. J. Mater. Sci. 2012, 47, 3191–3197. [Google Scholar] [CrossRef]
- Langumuir, I. The adsorption of gases on plane surfaces of glass, mica, and platinum. J. Am. Chem. Soc. 1918, 40, 1361–1403. [Google Scholar] [CrossRef]
- Hailwood, A.J.; Horrobin, S. Absorption of water by polymers: Analysis in terms of a simple model. Trans. Faraday Soc. 1946, 42, B084–B092. [Google Scholar] [CrossRef]
- Murata, K.; Watanabe, Y.; Nakano, T. Effect of thermal treatment of veneer on formaldehyde emission of poplar plywood. Materials 2013, 6, 410–420. [Google Scholar] [CrossRef]
- Jakob, H.F.; Tschegg, S.E.; Fratzl, P. Hydration dependence of the wood-cell wall structure in Picea abies. A small-angle X-ray scattering study. Macromolecules 1996, 29, 8435–8440. [Google Scholar] [CrossRef]
- Hill, C.A.S. The reduction in the fibre saturation point of wood due to chemical modification using anhydride reagents: A reappraisal. Holzforschung 2008, 62, 423–428. [Google Scholar] [CrossRef]
- Gustafsson, P.J. Fracture perpendicular to grain—structural applications. In Timber Engineering, 1st ed.; Thelandersson, S., Larsen, H.J., Eds.; John Wiley and Sons: Chichester, UK, 2003; pp. 114–115. [Google Scholar]
- Nakano, T. Analysis of the temperature dependence of water sorption for wood on the basis of dual mode theory. J. Wood Sci. 2006, 52, 490–495. [Google Scholar] [CrossRef]
- Stamm, A.J. Review of nine methods for determining the fiber saturation points of wood and wood products. Wood Sci. 1971, 4, 114–128. [Google Scholar]
- Keuneche, D.; Stanzl-Tschegg, S.; Niemz, P. Fracture characterization of yew (Taxus baccata L.) and spruce (Picea abies [L.] Karst.) in the radial-tangential and tangential-radial crack propagation system by a micro wedge splitting test. Holzforschung 2007, 61, 582–588. [Google Scholar]
- Obataya, E.; Tanaka, F.; Norimoto, M.; Tomita, B. Hygroscopicity of heat-treated wood. I. Effects of after-treatments on the hygroscopicity of heat-treated wood. Mokuzai Gakkaishi 2000, 46, 77–87. (in Japanese). [Google Scholar]
- Smith, I.; Landis, E.; Gong, M. Fracture and Fatigue in Wood, 1st ed.; John Wiley and Sons: Chichester, UK, 2003; pp. 111–116. [Google Scholar]
- Rautkari, L.; Hill, C.A.S.; Curling, S.; Jalaludin, Z.; Ormondroyd, G. What is the role of the accessibility of wood hydroxyl groups in controlling moisture content? J. Mater. Sci. 2013, 48, 6352–6356. [Google Scholar] [CrossRef]
- Nakano, T. Effects of cell structure on water sorption for wood. Holzforschung 2003, 57, 213–218. [Google Scholar]
- Rouquerol, F.; Rouquerol, J.; Sing, K. Adsorption by Powders and Porous Solids: Principles, Methodology and Application; Academic Press: London, UK, 1999; pp. 97–98. [Google Scholar]
- Furuta, Y.; Kojiro, K.; Miki, T.; Kanayama, K. The behaviors of endothermic and exothermic of wood and wood components between 100 °C and 200 °C. J. Soc. Mater. Sci. Jpn. 2012, 61, 323–328. (in Japanese). [Google Scholar] [CrossRef]
- Meier, H. The distribution of polysaccharides in wood fibers. J. Polym. Sci. 1961, 51, 11–18. [Google Scholar] [CrossRef]
- ThermoWood® Handbook; Finnish ThermoWood association: Helsink, Finland, 2003.
- Aicher, S. Process zone length and fracture energy of spruce wood in mode-I from size effect. Wood Fiber Sci. 2010, 42, 237–247. [Google Scholar]
- Murata, K.; Nagai, H.; Nakano, T. Estimation of width of fracture process zone in spruce wood by radial tensile test. Mech. Mater. 2011, 43, 389–396. [Google Scholar] [CrossRef]
- Vasic, S.; Smith, I.; Landis, E. Fracture zone characterization—Micro-mechanical study. Wood. Fiber Sci. 2002, 34, 42–56. [Google Scholar]
© 2013 by the authors; licensee MDPI, Basel, Switzerland. This article is an open access article distributed under the terms and conditions of the Creative Commons Attribution license (http://creativecommons.org/licenses/by/3.0/).
Share and Cite
Murata, K.; Watanabe, Y.; Nakano, T. Effect of Thermal Treatment on Fracture Properties and Adsorption Properties of Spruce Wood. Materials 2013, 6, 4186-4197. https://doi.org/10.3390/ma6094186
Murata K, Watanabe Y, Nakano T. Effect of Thermal Treatment on Fracture Properties and Adsorption Properties of Spruce Wood. Materials. 2013; 6(9):4186-4197. https://doi.org/10.3390/ma6094186
Chicago/Turabian StyleMurata, Koji, Yasuhiro Watanabe, and Takato Nakano. 2013. "Effect of Thermal Treatment on Fracture Properties and Adsorption Properties of Spruce Wood" Materials 6, no. 9: 4186-4197. https://doi.org/10.3390/ma6094186
APA StyleMurata, K., Watanabe, Y., & Nakano, T. (2013). Effect of Thermal Treatment on Fracture Properties and Adsorption Properties of Spruce Wood. Materials, 6(9), 4186-4197. https://doi.org/10.3390/ma6094186
