Preparation and Characterization of New Geopolymer-Epoxy Resin Hybrid Mortars
Abstract
:1. Introduction
2. Results and Discussion
2.1. Preparation Method
2.2. Characterization
2.2.1. Microstructural Analysis


2.2.2. Thermal Analysis (TGA/DSC)

2.2.3. Water Absorption
| Mixtures | WAC (%) | Decrease |
|---|---|---|
| G66 | 2.45 | 1 |
| L66 | 1.34 | 0.45 |
| E66 | 1.05 | 0.22 |
2.2.4. Pore Structure Characterization


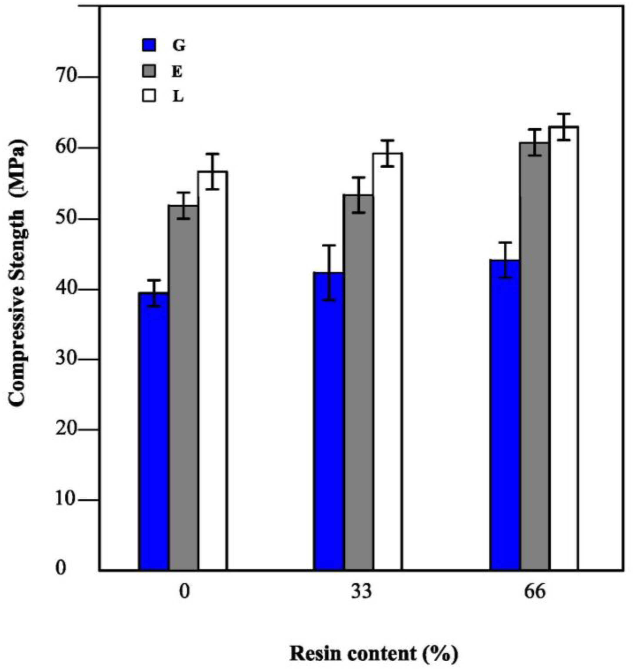
2.2.5. Compressive Strength Determination

2.2.6. Stress-Strain Response

| Mixtures | εult a | σult b (MPa) | εsps c | σsps d (MPa) |
|---|---|---|---|---|
| L66 | 0.0044 | 44.16 | 0.0016 | 61.89 |
| E66 | 0.0028 | 40.09 | 0.0013 | 58.03 |
| G66 | 0.0018 | 35.84 | 0.0012 | 43.16 |
3. Materials and Methodology
3.1. Materials and Design
3.1.1. Materials
| Mixtures | Values | Relevant regulation |
|---|---|---|
| Sand equivalent (%) | 97 | EN 933-8 |
| Apparent density (g/cm3) | 2.59 | MIP |
| Bulk density (g/cm3) | 1.64 | ISO 6782 |
| Water absorption (%) | 1.10 | ISO 7033 |
| Fineness modulus | 2.70 | UNI EN 12620 |
3.1.2. Preparation of the Specimens
Preparation of the Geopolymeric Mortars (G33/G66)
Preparation of The Hybrid Geopolymeric Mortars (E33/E66/L33/L66)
| System | Sodium hydroxide | Sodium silicate solution | MK | Epojet | EpojetLV | Sand |
|---|---|---|---|---|---|---|
| G * | 8.3 | 50.0 | 41.7 | – | – | – |
| G33 | 5.6 | 33.1 | 28.0 | – | – | 33.3 |
| G66 | 2.8 | 16.6 | 14.0 | – | – | 66.6 |
| E * | 6.7 | 40.0 | 33.3 | 20.0 | – | – |
| E33 | 4.4 | 26.8 | 22.1 | 13.4 | – | 33.3 |
| E66 | 2.2 | 13.4 | 11.1 | 6.7 | – | 66.6 |
| L * | 6.7 | 40.0 | 33.3 | – | 20.0 | – |
| L33 | 4.4 | 26.8 | 22.1 | – | 13.4 | 33.3 |
| L66 | 2.2 | 13.4 | 11.1 | – | 6.7 | 66.6 |
3.2. Analytical Techniques
4. Conclusions
- Improved strength: the polymer-modified mortars have improved compressive strength in comparison with unmodified ones. Furthermore, the polymer in the mortar helps restrain micro-crack propagation, which improves the overall toughness of the mortar.
- The total porosity decreases with the addition of the organic polymer. This may contribute to improve gas and water impermeability and consequently the durability.
References
- Davidovits, J. Geopolymers: Inorganic polymeric new materials. J. Therm. Anal. 1991, 37, 1633–1656. [Google Scholar] [CrossRef]
- Barbosa, V.F.F.; MacKenzie, K.J.D.; Thaumaturgo, C. Synthesis and characterisation of materials based on inorganic polymers of alumina and silica: Sodium polysialate polymers. Int. J. Inorg. Mater. 2000, 2, 309–317. [Google Scholar] [CrossRef]
- Komnitsas, K.; Zaharaki, D. Geopolymerisation: A review and prospects for the minerals industry. Miner. Eng. 2007, 20, 1261–1277. [Google Scholar] [CrossRef]
- Cioffi, R.; Maffucci, L.; Santoro, L. Optimization of geopolymer synthesis by calcination and polycondensation of a kaolinitic residue. Resour. Conserv. Recy. 2003, 40, 27–38. [Google Scholar] [CrossRef]
- MacKenzie, K.J.D.; Brew, D.R.M.; Fletcher, R.A.; Vagana, R. Formation of aluminosilicate geopolymers from 1:1 layer-lattice minerals pre-treated by various methods: A comparative study. J. Mater. Sci. 2007, 42, 4667–4674. [Google Scholar] [CrossRef]
- Komnitsas, K.; Zaharaki, D.; Perdikatsis, V. Geopolymerisation of low calcium ferronickel slags. J. Mater. Sci. 2007, 42, 3073–3082. [Google Scholar] [CrossRef]
- Andini, S.; Cioffi, R.; Colangelo, F.; Montagnaro, F.; Santoro, L. Coal fly ash as raw material for the manufacture of geopolymer-based products. Waste Manag. 2008, 28, 416–423. [Google Scholar] [CrossRef] [PubMed]
- Ferone, C.; Colangelo, F.; Cioffi, R.; Montagnaro, F.; Santoro, L. Use of reservoir clay sediments as raw materials for geopolymer binders. Adv. Appl. Ceram. 2013, 112, 184–189. [Google Scholar] [CrossRef]
- Palomo, A.; Macias, A.; Blanco, M.T.; Puertas, F. Physical, Chemical and Mechanical Characterization of Geopolymers. In Proceedings of the 9th International Congress on the Chemistry of Cement, New Delhi, India, 23–28 November 1992.
- Duxson, P.; Lukey, G.C.; van Deventer, J.S.J. Physical evolution of Na-geopolymer derived from metakaolin up to 1000 °C. J. Mater. Sci. 2007, 42, 3044–3054. [Google Scholar] [CrossRef]
- Davidovits, J. Geopolymer, Chemistry and Applications, 3rd ed.; Institute Geopolymer: Saint-Quentin, France, 2011; pp. 10–11. [Google Scholar]
- Ferone, C.; Colangelo, F.; Cioffi, R.; Montagnaro, F.; Santoro, L. Mechanical performances of weathered coal fly ash based geopolymer bricks. Procedia Eng. 2011, 21, 745–752. [Google Scholar] [CrossRef]
- Palomo, A.; Blanco-Varela, M.T.; Granizo, M.L.; Puertas, F.; Vasquez, T.; Grutzeck, M.W. Chemical stability of cementitious materials based on metakaolin. Cem. Concr. Res. 1999, 29, 997–1004. [Google Scholar] [CrossRef]
- Habert, G.; d’Espinose de Lacaillerie, J.B.; Roussel, N. An environmental evaluation of geopolymer based concrete production: Reviewing current research trends. J. Clean. Prod. 2011, 19, 1229–1238. [Google Scholar] [CrossRef]
- Colangelo, F.; Cioffi, R.; Montagnaro, F.; Santoro, L. Soluble salt removal from MSWI fly ash and its stabilization for safer disposal and recovery as road basement material. Waste Manag. 2012, 32, 1179–1185. [Google Scholar] [CrossRef] [PubMed]
- Colangelo, F.; Cioffi, R.; Lavorgna, M.; Verdolotti, L.; de Stefano, L. Treatment and recycling of asbestos-cement containing waste. J. Hazard. Mater. 2011, 195, 391–397. [Google Scholar] [CrossRef] [PubMed]
- Cioffi, R.; Colangelo, F.; Montagnaro, F.; Santoro, L. Manufacture of artificial aggregate using MSWI bottom ash. Waste Manag. 2011, 31, 281–288. [Google Scholar] [CrossRef] [PubMed]
- Iucolano, F.; Liguori, B.; Caputo, D.; Colangelo, F.; Cioffi, R. Recycled plastic aggregate in mortars composition: Effect on physical and mechanical properties. Mater. Design 2013, in press. [Google Scholar]
- Chang, F.-C.; Lee, M.-Y.; Lo, S.-L.; Lin, J.-D. Artificial aggregate made from waste stone sludge and waste silt. J. Environ. Manag. 2010, 91, 2289–2294. [Google Scholar] [CrossRef]
- Van Jaarsveld, J.G.S.; van Deventer, J.S.J.; Lorenzen, L. The potential use of geopolymeric materials to immobilise toxic metals: Part I. Theory and applications. Miner. Eng. 1997, 10, 659–669. [Google Scholar] [CrossRef]
- Kriven, W.M.; Bell, J.L.; Gordon, M. Geopolymer refractories for the glass manufacturing industry. Ceram. Eng. Sci. Proc. 2004, 25, 57–79. [Google Scholar]
- Lancellotti, I.; Kamseu, E.; Michelazzi, M.; Barbieri, L.; Corradi, A.; Leonelli, C. Chemical stability of geopolymers containing municipal solid waste incinerator fly ash. Waste Manag. 2010, 30, 673–679. [Google Scholar] [CrossRef] [PubMed]
- Andini, S.; Cioffi, R.; Colangelo, F.; Ferone, C.; Montagnaro, F.; Santoro, L. Characterization of geopolymer materials containing MSWI fly ash and coal fly ash. Adv. Sci. Technol. 2010, 69, 123–128. [Google Scholar] [CrossRef]
- Lancellotti, I.; Catauro, M.; Ponzoni, C.; Bollino, F.; Leonelli, C. Inorganic polymers from alkali activation of metakaolin: Effect of setting and curing on structure. J. Solid State Chem. 2013, 200, 341–348. [Google Scholar] [CrossRef]
- De Roma, A.; Yang, H.-J.; Milione, S.; Capacchione, C.; Roviello, G.; Grassi, A. Atom transfer radical polymerization of methylmethacrylate mediated by a naphtyl-nickel(II) phosphane complex. Inorg. Chem. Commun. 2011, 14, 542–544. [Google Scholar] [CrossRef]
- D’Auria, I.; Lamberti, M.; Mazzeo, M.; Milione, S.; Roviello, G.; Pellecchia, C. Coordination chemistry and reactivity of zinc complexes supported by a phosphido pincer ligand. Chem. Eur. J. 2012, 18, 2349–2360. [Google Scholar] [CrossRef] [PubMed]
- Roviello, G.N.; Roviello, G.; Musumeci, D.; Bucci, E.M.; Pedone, C. Dakin-west reaction on 1-thyminyl acetic acid for the synthesis of 1,3-bis(1-thyminyl)-2-propanone, a heteroaromatic compound with nucleopeptide-binding properties. Amino. Acids. 2012, 43, 1615–1623. [Google Scholar] [CrossRef] [PubMed]
- Carella, A; Borbone, F.; Roviello, A.; Roviello, G.; Tuzi, A.; Kravinsky, A.; Shikler, R.; Cantele, G.; Ninno, D. Benzodifuroxazinones, a new class of heteroacene molecules for possible applications in organic electronics: Synthesis, electronic properties and crystal structure. Dyes Pigments 2012, 95, 116–125. [Google Scholar] [CrossRef]
- Li, G.; Lamberti, M.; Roviello, G.; Pellecchia, C. New titanium and hafnium complexes bearing [-NNN-] pyrrolylpyridylamido ligands as olefin polymerization catalysts. Organometallics 2012, 31, 6772–6778. [Google Scholar] [CrossRef]
- Roviello, A.; Buono, A.; Carella, A.; Roviello, G.; Cassinese, A.; Barra, M.; Biasucci, M. Regioregularpoly[3-(4-alkoxyphenyl)thiophene]s. J. Polym. Sci. Pol. Chem. 2007, 45, 1758–1770. [Google Scholar] [CrossRef]
- Zhang, Y.J.; Li, S.; Xu, D.L.; Wang, B.Q.; Xu, G.M.; Yang, D.F.; Wang, N.; Liu, H.C.; Wang, Y.C. A novel method for preparation of organic resins reinforced geopolymer composites. J. Mater. Sci. 2010, 45, 1189–1192. [Google Scholar] [CrossRef]
- Zhang, Z.; Yao, X.; Zhu, H.; Hua, S.; Chen, Y. Preparation and mechanical properties of polypropylene fiber reinforced calcined kaolin-fly ash based geopolymer. J. Cent. South. Univ. Technol. 2009, 16, 49–52. [Google Scholar] [CrossRef]
- Zhang, Y.; Sun, W.; Li, Z. Impact behavior and microstructural characteristics of PVA fiber reinforced fly ash-geopolymer boards prepared by extrusion technique. J. Mater. Sci. 2006, 41, 2787–2794. [Google Scholar] [CrossRef]
- Zhang, Y.; Sun, W.; Li, Z.; Zhou, X. Impact properties of geopolymer based extrudates incorporated with fly ash and PVA short fiber. Constr. Build. Mater. 2008, 22, 370–383. [Google Scholar] [CrossRef]
- Zhang, S.; Gong, K.; Lu, J. Novel modification method for inorganic geopolymer by using water soluble organic polymers. Mater. Lett. 2004, 58, 1292–1296. [Google Scholar] [CrossRef]
- Ferone, C.; Roviello, G.; Colangelo, F.; Cioffi, R.; Tarallo, O. Novel hybrid organic-geopolymer materials. Appl. Clay Sci. 2013, 73, 42–50. [Google Scholar] [CrossRef]
- Dias, D.P.; Thaumaturgo, C. Fracture toughness of geopolymeric concretes reinforced with basalt fibers. Cem. Concr. Compos. 2005, 27, 49–54. [Google Scholar] [CrossRef]
- Tiesong, L.; Dechang, J.; Peigang, H.; Meirong, W.; Defu, L. Effects of fiber length on mechanical properties and fracture behavior of short carbon fiber reinforced geopolymer matrix composites. Mater. Sci. Eng. A 2008, 497, 181–185. [Google Scholar] [CrossRef]
- Zhao, Q.; Nair, B.; Rahimian, T.; Balaguru, P. Novel geopolymer based composites with enhanced ductility. J. Mater. Sci. 2007, 42, 3131–3137. [Google Scholar] [CrossRef]
- Andini, S.; Montagnaro, F.; Santoro, L.; Accardo, G.; Cioffi, R.; Colangelo, F. Mechanochemical processing of blast furnace slag for its reuse as adsorbent. Chem. Eng. Trans. 2013, 32, 2299–2304. [Google Scholar]
- Kuenzel, C.; Vandeperre, L.J.; Donatello, S.; Boccaccini, A.R.; Cheeseman, C. Ambient temperature drying shrinkage and cracking in metakaolin-based geopolymers. J. Am. Ceram. Soc. 2012, 95, 3270–3277. [Google Scholar] [CrossRef]
- Ferone, C.; Colangelo, F.; Roviello, G.; Asprone, D.; Menna, C.; Balsamo, A.; Prota, A.; Cioffi, R.; Manfredi, G. Application-oriented chemical optimization of a metakaolin based geopolymer. Mater. 2013, 6, 1583–1598. [Google Scholar]
- Bhowmick, A.; Ghosh, S. Effect of synthesizing parameters on workability and compressive strength of fly ash based geopolymer mortar. Int. J. Civ. Struct. Eng. 2012, 3, 168–177. [Google Scholar]
- Temuujin, J.; van Riessen, A.; MacKenzie, K.J.D. Preparation and characterisation of fly ash based geopolymer mortars. Constr. Build. Mater. 2010, 24, 1906–1910. [Google Scholar] [CrossRef]
- MAPEA. Available online: www.mapei.com/public/COM/products/367_epojet_gb.pdf (accessed on 6 March 2013).
- Roviello, G.; Ricciotti, L.; Ferone, C.; Colangelo, F.; Cioffi, R.; Tarallo, O. Synthesis and characterization of novel epoxy geopolymer hybrid composites. Materials 2013, in press. [Google Scholar]
- Zaharaki, D.; Komnitsas, K.; Perdikatsis, V. Use of analytical techniques for identification of inorganic polymer gel composition. J. Mater. Sci. 2010, 45, 2715–2724. [Google Scholar] [CrossRef]
- Monette, L.; Anderson, M.P. Effect of particle modulus and toughness on strength and toughness in brittle particulate composites. Scripta Metall. Mater. 1993, 28, 1095–1100. [Google Scholar] [CrossRef]
- Boccaccini, A.R.; Bücker, M.; Bossert, J.; Marszalek, K. Glass matrix composites from coal fly ash and waste glass. Waste Manag. 1997, 17, 39–45. [Google Scholar] [CrossRef]
- Kong, D.L.Y.; Sanjayan, J.G.; Sagoe-Crentsil, K. Comparative performance of geopolymers made with metakaolin and fly ash after exposure to elevated temperatures. Cem. Concr. Res. 2007, 37, 1583–1589. [Google Scholar] [CrossRef]
- Corinaldesi, V. Environmentally-friendly bedding mortars for repair of historical buildings. Constr. Build. Mater. 2012, 35, 778–784. [Google Scholar] [CrossRef]
- Demie, S.; Nuruddin, M. F.; Shafiq, N. Effects of micro-structure characteristics of interfacial transition zone on the compressive strength of self-compacting geopolymer concrete. Constr. Build. Mater. 2013, 41, 91–98. [Google Scholar] [CrossRef]
- Lee, W.K.W.; van Deventer, J.S.J. The interface between natural siliceous aggregates and geopolymers. Cem. Concr. Res. 2004, 34, 195–206. [Google Scholar] [CrossRef]
- Joseph, B.; Mathew, G. Influence of aggregate content on the behavior of fly ash based geopolymer concrete. Scientia Iranica A 2012, 19, 1188–1194. [Google Scholar] [CrossRef]
- Eurocode 2, EN 1992-1-1:2004. Design of Concrete Structures. Part 1.1: General Rules and Rules for Buildings; The EN Eurocodes: Brussels, Belgium, 1992.
- Design of concrete structures for building–CAN3-A23.3-94. In Concrete Design Handbook; Canadian Standard Association: Toronto, ON, Canada, 1995.
- Li, W.; Xu, J. Mechanical properties of basalt fiber reinforced geopolymeric concrete under impact loading. Mater. Sci. Eng. A Struct. 2009, 505, 178–186. [Google Scholar] [CrossRef]
- Swain, M.V. Toughening mechanisms for ceramics. In Materials forum; Institute of Metals and Materials Australasia: Victoria, Australia, 1989; pp. 237–253. [Google Scholar]
- Menna, C.; Asprone, D.; Ferone, C.; Colangelo, F.; Balsamo, A.; Prota, A.; Cioffi, R.; Manfredi, G. Use of geopolymers for composite external reinforcement of RC members. Compos. Part B Eng. 2013, 45, 1667–1676. [Google Scholar] [CrossRef]
© 2013 by the authors; licensee MDPI, Basel, Switzerland. This article is an open access article distributed under the terms and conditions of the Creative Commons Attribution license (http://creativecommons.org/licenses/by/3.0/).
Share and Cite
Colangelo, F.; Roviello, G.; Ricciotti, L.; Ferone, C.; Cioffi, R. Preparation and Characterization of New Geopolymer-Epoxy Resin Hybrid Mortars. Materials 2013, 6, 2989-3006. https://doi.org/10.3390/ma6072989
Colangelo F, Roviello G, Ricciotti L, Ferone C, Cioffi R. Preparation and Characterization of New Geopolymer-Epoxy Resin Hybrid Mortars. Materials. 2013; 6(7):2989-3006. https://doi.org/10.3390/ma6072989
Chicago/Turabian StyleColangelo, Francesco, Giuseppina Roviello, Laura Ricciotti, Claudio Ferone, and Raffaele Cioffi. 2013. "Preparation and Characterization of New Geopolymer-Epoxy Resin Hybrid Mortars" Materials 6, no. 7: 2989-3006. https://doi.org/10.3390/ma6072989
APA StyleColangelo, F., Roviello, G., Ricciotti, L., Ferone, C., & Cioffi, R. (2013). Preparation and Characterization of New Geopolymer-Epoxy Resin Hybrid Mortars. Materials, 6(7), 2989-3006. https://doi.org/10.3390/ma6072989
